株探米国株
英語
エドガーで原本を確認する
6-K 1 a6k-2q2025.htm 6-K Document

UNITED STATES
SECURITIES AND EXCHANGE COMMISSION
Washington, D.C. 20549
FORM 6-K
REPORT OF FOREIGN PRIVATE ISSUER PURSUANT TO RULE 13a-16 OR 15d-16 UNDER THE SECURITIES EXCHANGE ACT OF 1934
For the month of July 2025
Commission File Number: 001-41730
Corporación Inmobiliaria Vesta, S.A.B. de C.V.
(Exact name of registrant as specified in its charter)
Paseo de los Tamarindos No. 90,
Torre II, Piso 28, Col. Bosques de las
Lomas
Cuajimalpa, C.P. 05120
Mexico City
United Mexican States
+52 (55) 5950-0070
(Address of principal executive office)
Indicate by check mark whether the registrant files or will file annual reports under cover of Form 20-F or Form 40-F:
Form 20-F X Form 40-F  



TABLE OF CONTENTS



SIGNATURE
Pursuant to the requirements of the Securities Exchange Act of 1934, the registrant has duly caused this report to be signed on its behalf by the undersigned, thereunto duly authorized.
Corporación Inmobiliaria Vesta, S.A.B. de C.V.
 
 
By: /s/ Juan Felipe Sottil Achutegui
  Name: Juan Felipe Sottil Achutegui
  Title: Chief Financial Officer
Date: July 24, 2025

EX-99.1 2 quarterlyreport2q2025ex-991.htm EX-99.1 Document


Exhibit 99.1
cover.jpg
Q2
2025
EARNINGS RESULTS
Conference Call
Friday July 25, 2025
9:00 a.m. (Mexico City Time)
11:00 a.m. (Eastern Time)

To participate in the conference call please connect via webcast or by dialing:
International Toll-Free:    +1 (888) 350-3870
International Toll:    +1 (646) 960-0308
International Numbers:    https://events.q4irportal.com/custom/access/2324/
Participant Code:    1849111

Webcast:    https://events.q4inc.com/attendee/313151581

The replay will be available two hours after the call had ended and can be accessed from Vesta's IR website.

Juan Sottil
CFO
+52 55 5950-0070 ext. 133
jsottil@vesta.com.mx
Fernanda Bettinger
IRO
+52 55 5950-0070 ext. 163
mfbettinger@vesta.com.mx
investor.relations@vesta.com.mx
Barbara Cano
InspIR Group
+1 (646) 452-2334
barbara@inspirgroup.com



Mexico City, July 24, 2025 – Corporación Inmobiliaria Vesta S.A.B. de C.V., (“Vesta”, or the “Company”) (BMV: VESTA; NYSE: VTMX), a leading industrial real estate company in Mexico, today announced results for the second quarter ended June 30, 2025. All figures included herein were prepared in accordance with International Financial Reporting Standards (IFRS), which differs in certain significant respects from U.S. GAAP. This information should be read in conjunction with, and is qualified in its entirety by reference to, Vesta's consolidated financial statements, including the notes thereto. Vesta’s financial results are stated in US dollars unless otherwise noted.
Q2 2025 Highlights
•Vesta delivered strong financial results for the second quarter 2025: total income reached US$ 67.3 million; a 6.8% year over year increase, while total income excluding energy reached US$ 65.4 million; a 7.3% increase compared to US$ 61.0 million in the second quarter 2024. Second quarter 2025 Adjusted NOI1 margin and Adjusted EBITDA2 margin reached 94.5% and 84.1%, respectively.
•Vesta FFO reached US$ 43.1 million for the second quarter 2025; a 12.9% increase compared to US$ 38.2 million in the second quarter 2024, while Vesta FFO per share reached US$ 0.050; a 16.6% year over year increase.
•Second quarter 2025 leasing activity reached 1.8 million sf: 411 thousand sf in new contracts with both existing and new Vesta tenants in the electronics, food and beverage and automotive sectors, and 1.4 million sf in lease renewals with an average weighted lease life of approximately five years. Vesta’s second quarter 2025 total portfolio occupancy therefore was 92.3%, while stabilized and same-store occupancy reached 95.5% and 97.0%, respectively.
•Second quarter 2025 renewals and re-leasing reached 1.5 million sf with a trailing twelve-month weighted average spread of 13.7%. Same-store NOI increased by 1.9% year over year.
•During the second quarter 2025, Vesta acquired 128.4 acres of land in Guadalajara, representing 2.3 million square feet in buildable area. Also during the quarter, Vesta finalized its acquisition of 20.2 acres of land in Monterrey, representing a 449 thousand square foot buildable area, as was announced in the first quarter 2025.
•Vesta ended the second quarter 2025 with 1.3 million sf in current construction in progress; an estimated investment of approximately US$ 91.0 million with a projected yield on cost of 10.8%, in Querétaro and Monterrey.
•The Company expects to achieve its stated 2025 guidance and remains focused on the Vesta Route 2030 long-term strategy while navigating current uncertainty.
•Vesta paid US$ 17.4 million in dividends for the second quarter 2025 on July 15, 2025 , equivalent to PS$ 0.3796 per ordinary share.
•Vesta is pleased to announce the appointment of Rodrigo Cueto Bosch as Chief Investment Officer, effective on October 1, 2025 with the planned retirement of Guillermo Díaz, a founding executive whose contributions have been instrumental to the Company’s growth. A structured leadership transition will ensure continuity and upholds Vesta's strategic objectives, alignment, and long-term organizational success. Mr. Cueto has considerable investment and Real Estate finance expertise with a proven track record of delivering results. He has been an integral part of Vesta's team since 2021, most recently as Senior Vice President of Finance and Capital Markets.

1 Adjusted NOI and Adjusted NOI Margin calculations have been modified, please refer to Notes and Disclaimers.
2Adjusted EBITDA and Adjusted EBITDA Margin calculations have been modified, please refer to Notes and Disclaimers




6 months
Financial Indicators (million) Q2 2025 Q2 2024 Chg. % 2025 2024 Chg. %
Total Rental Income 67.3 63.0 6.8 134.3 123.6 8.7
Total Revenues (-) Energy 65.4 61.0 7.3 130.3 120.7 7.9
Adjusted NOI 61.8 57.7 7.2 123.9 115.0 7.8
Adjusted NOI Margin % 94.5% 94.6% 95.1% 95.2%
Adjusted EBITDA 55.0 50.4 9.0 110.3 101.1 9.1
Adjusted EBITDA Margin % 84.1% 82.7% 84.6% 83.7%
EBITDA Per Share 0.0641 0.0569 12.6 0.1278 0.1141 12.0
Total Comprehensive Income 31.4 109.6 (71.3) 43.7 233.6 (81.3)
Vesta FFO 43.1 38.2 12.9 88.1 78.6 12.1
Vesta FFO Per Share 0.0502 0.0431 1662.4 0.1021 0.0887 1501.0
Vesta FFO (-) Tax Expense 37.7 20.3 85.4 73.8 148.1 (50.2)
Vesta FFO (-) Tax Expense Per Share 0.0439 0.0229 91.5 0.0855 0.1672 (48.9)
Diluted EPS 0.0366 0.1237 (70.4) 0.0507 0.2638 (80.8)
Shares (average) 858.3 886.6 (3.2) 863.0 885.7 (2.6)
•Second quarter 2025 total revenue reached US$ 67.3 million; a 6.8% year on year increase from US$ 63.0 million in the second quarter 2024. Total revenues excluding energy increased to US$ 65.4 million; a 7.3% year on year increase from US$ 61.0 million in 2024 due to US$ 5.3 million in new revenue-generating contracts and a US$ 2.0 million inflationary benefit on second quarter 2025 results.
•Second quarter 2025 Adjusted Net Operating Income (Adjusted NOI) increased 7.2% to US$ 61.8 million, compared to US$ 57.7 million in the second quarter 2024. The second quarter 2025 Adjusted NOI margin was 94.5%; a 7-basis-point year on year decrease due to higher costs related to rental income generating properties.
•Adjusted EBITDA for the quarter increased 9.0% to US$ 55.0 million, as compared to US$ 50.4 million in the second quarter 2024. The Adjusted EBITDA margin was 84.1%; a 137-basis-point increase primarily due to an 8.0% decrease in administrative expenses compared to last year´s quarter, reflecting Vesta's continued discipline related to expense control aligned with internal budgeting, while identifying further opportunities for cost savings throughout the organization.
•Second quarter 2025 Vesta funds from operations after tax (Vesta FFO (-) Tax Expense) increased to US$ 37.7 million, from US$ 20.3 million for the same period in 2024. Vesta FFO after tax per share was US$ 0.0439 for the second quarter 2025 compared with US$ 0.0229 for the same period in 2024, a 91.5% increase. This increase is due to a combination of higher EBITDA, lower interest expenses and lower taxes, as well as a decreased number of shares outstanding in the second quarter 2025. Second quarter 2025 Vesta FFO excluding current tax was US$ 43.1 million compared to US$ 38.2 million in the second quarter 2024 due to higher 2025 profit and lower interest expenses compared to the same period in 2024.
•Second quarter 2025 total comprehensive income was US$ 31.4 million, versus a US$ 109.6 million gain in the second quarter 2024, primarily due to lower gain on revaluation during the second quarter 2024.
•The total value of Vesta’s investment property portfolio was US$ 3.9 billion as of June 30, 2025; a 4.4% increase compared to US$ 3.7 billion at the end of December 31, 2024.
image_005.jpg
3


Letter from the CEO
Leading with Operating Excellence and Resilience: Leveraging Portfolio Strength and Market Position Ahead of Renewed Momentum
The macro environment remains fluid and unsettled, with domestic uncertainties and U.S. tariff vulnerability that Mexico, and the world, continue to endure. Our country has largely withstood these pressures, and U.S. Census data for May shows Mexico's share of U.S. imports rose to 16.8%, led by USMCA-compliant exports and our important geographic proximity to the U.S. As I've noted previously, Mexico holds a competitive advantage relative to other global manufacturing hubs through preferential tariffs, and we saw a 47% year-over-year surge in May's heavy machinery exports— gains that reflect China’s declining market share.

On July 12 President Trump announced a planned tariff increase to 30% on Mexican imports which could take effect on August 1, 2025. USMCA-compliant goods remain exempt, preserving Mexico’s competitive edge with room for continued negotiation. And President Sheinbaum’s collaborative stance has enabled her to contain risks ahead of the 2026 USMCA review thus far, while Mexico focuses on its coordinated public-private strategy to promote a favorable USMCA review outcome.

Trade-related uncertainty therefore continues, complicating investment planning in general and for industrial real estate in particular. Nevertheless, we're seeing the U.S. industrial real estate market starting to accelerate and we believe it's just a matter of time for Mexico´s market to reactivate as well. We're already beginning to see signs of renewed momentum in Mexico with leasing transactions gradually picking up, and we're confident this will continue to build as more agreements are finalized. Our sense is that this has been a temporary deceleration rather than a structural shift, and remain focused on Vesta's strategic discipline, as we have in prior turbulent cycles, to ensure we emerge favorably positioned to capture growth when market momentum returns.

Vesta delivered strong second quarter performance despite a challenging macroeconomic environment— demonstrating resilience through solid leasing activity, operational execution, and disciplined cost and efficiency management. We are starting to see an increase in leasing activity pipeline which we are confident will accelerate once geopolitical and economic clarity improves, potentially towards year end.

Second quarter leasing activity reached 1.8 million square feet; 411 thousand square feet in new contracts with existing and new Vesta tenants in the electronics, food and beverage, and automotive sectors, and 1.4 million square feet in lease renewals with an average weighted lease life of approximately five years. Stabilized and same-store occupancy reached 95.5% and 97.0%, respectively. It's important to note that this is above both portfolios' historic average, which stand at 94.8% and 96.2%, respectively. It's also relevant that our portfolio's value continues to appreciate, to US$ 3.9 billion as of June 30, 2025; a 4.4% increase compared to US$ 3.7 billion at the end of December 31, 2024. Vesta's success in this regard reflects our team's close tenant relationships, quality assets and disciplined asset management- which drove high retention rates that enables sustained value.

During the second quarter we continued finalizing buildings under construction and acquiring land in Vesta's key anchor markets aligned with our Route 2030 plan. We acquired 128.4 acres of land in Guadalajara during the quarter, with a buildable area of 2.3 million square feet, and completed the acquisition of 20.2 acres of land in Monterrey, representing a 449 thousand square foot buildable area, as was announced last quarter. These acquisitions strengthen our footprint in strategic locations and position us to meet future demand to ensure Vesta's long-term growth.

Vesta achieved strong financial results for the second quarter, the result of effective cost containment and administrative expenses. And we delivered US$ 67.3 million in total income, a 6.8% year-on-year increase. NOI for the quarter reached US$ 61.8 million with a 94.5% margin; a 7.2% increase and a seven basis point margin decrease, respectively, compared to the same quarter last year. EBITDA reached US$ 55.0 million with an 84.1% margin; a 9.0% and 137 basis point increase, respectively, compared to the same period in 2024. Vesta FFO ended the quarter at US$ 43.1 million; a 12.9% increase compared to US$ 38.2 million in the second quarter 2024.

Discipline, foresight, and execution matter most during times of heightened volatility. These are the pillars of Vesta’s approach which have guided our Company through challenging operating cycles for more than 25 years. While we continue to navigate an unpredictable landscape, our strategy is clear: preserve value, strengthen our foundation, and invest in anticipation of the long-term demand which we're certain will return.
image_005.jpg
4


We are confident that Vesta’s privileged portfolio, strong financial performance, and prudent capital allocation positions us to capture renewed demand as conditions stabilize. As always, we remain committed to transparency, disciplined execution, and generating long-term value for our shareholders.

Thank you for your continued trust, support and partnership.

Lorenzo D. Berho
CEO

image_005.jpg
5


Second Quarter Financial Summary
Consolidated Statutory Accounts
The accompanying consolidated condensed interim financial statements have been prepared based on International Accounting Standards (IFRS), which differs in certain significant respects from U.S. GAAP. This information should be read in conjunction with, and is qualified in its entirety by reference to, our financial consolidated statements, including the notes thereto and are stated in US dollars unless otherwise noted.
All consolidated financial statements have been prepared using an historical cost basis, excluding investment properties and financial instruments at the end of each reporting period. Historical cost is largely based on the fair value of the consideration given in exchange for assets. Second quarter 2025 results are presented in comparison to the same period of the prior year and on an adjusted basis based on the same accounting rules.
Revenues
6 months
Consolidated Interim and Annual Statements of Profit and Other Comprehensive Income (million) Q2 2025 Q2 2024 Chg. % 2025 2024 Chg. %
Revenues
Rental income 62.2 57.7 7.9 122.8 113.5 8.2
Reimbursable building services 3.2 3.3 (4.3) 7.5 6.8 9.2
Energy Income 1.9 2.0 (8.4) 4.0 2.9 40.2
Management Fees 0.0 0.0 na 0.0 0.4 (94.0)
Total Revenues 67.3 63.0 6.8 134.3 123.6 8.7
Total Operating Property Costs (6.5) (6.2) 5.3 (11.7) (10.7) 9.6
Related to properties that generate rental income (5.6) (5.3) 4.8 (10.0) (9.3) 8.5
Costs related to properties (3.6) (3.3) 8.7 (6.4) (5.7) 10.7
Costs related to energy (2.0) (2.0) (1.5) (3.7) (3.5) 4.8
Related to properties that did not generate rental income (0.9) (0.8) 8.8 (1.7) (1.4) 17.2
Adjusted Net Operating Income 61.8 57.7 7.2 123.9 115.0 7.8
Vesta’s second quarter 2025 total revenues increased 6.8% to US$ 67.3 million, from US$ 63.0 million in the second quarter 2024. The US$ 4.3 million rental revenue increase was primarily due to: [i] a US$ 5.3 million, or 8.4%, increase from space rented in the second quarter of 2025 which had previously been vacant in the second quarter of 2024; and [ii] a US$ 2.0 million, or 3.2%, increase related to inflationary adjustments on rented property in the second quarter of 2025.
These results were partially offset by: [i] a US$ 1.8 million, or 2.9%, decrease related to lease agreements which expired and were not renewed during the second quarter 2025; [ii] a US$ 0.8 million, or 1.3%, decrease in rental income due to the conversion of peso-denominated rental income into US dollars; [iii] US$ 0.1 million, or 0.1%%, decrease related to lease agreements which were renewed during the second quarter 2025 at a lower rental rate in order to extend certain clients' short term renewal option to a longer term lease agreement; [iv] a US$ 0.1 million decrease in other income reflecting reimbursements for expenses paid by Vesta on behalf of clients that are not recorded as rental revenue; and [v] a US$ 0.2 million decrease in energy income.
89.4% of Vesta’s second quarter 2025 rental revenues were US dollar denominated and indexed to the US Consumer Price Index (CPI), an increase from 88.0% in the second quarter 2024. Contracts denominated in pesos are adjusted annually based on the equivalent Mexican Consumer Price Index, the “Indice Nacional de Precios al Consumidor” (INPC).
image_005.jpg
6


Property Operating Costs
Vesta’s second quarter 2025 total operating costs reached US$ 6.5 million, compared to US$ 6.2 million in the second quarter 2024; a US$ 0.3 million, or 5.3%, increase due to increased costs related to both rental income generating properties and non generating income properties.
During the second quarter 2025, costs related to investment properties generating rental revenues amounted to US$ 5.6 million, compared to US$ 5.3 million for the same period in 2024. This was primarily attributable to an increase in costs related to real estate taxes, insurance costs and other property related expenses, while second quarter 2025 energy-related costs remained unchanged from the second quarter 2024, at US$ 2.0 million.
Costs from investment properties which did not generate rental revenues during the second quarter 2025 increased by US$ 0.1 million, to US$ 0.9 million. This was primarily due to an increase in insurance costs, maintenance and other property related expenses. This slight increase is also due to higher vacancy rate at Vesta Parks compared to last year.
Adjusted Net Operating Income (Adjusted NOI) 3
Second quarter Adjusted Net Operating Income increased 7.2% to US$ 61.8 million year on year with a 7 basis-point NOI margin decrease, to 94.5%. This decrease was due to a slight increase in costs related to rental income generating properties resulting in a lower margin.
General and Administrative Expenses
6 months
Consolidated Interim and Annual Statements of Profit and Other Comprehensive Income (million) Q2 2025 Q2 2024 Chg. % 2025 2024 Chg. %
General and Administrative Expenses (8.3) (9.0) (8.0) (16.6) (17.3) (3.8)
Stock- based Compensation Expenses 2.4 2.7 (8.5) 4.6 4.8 (3.7)
Depreciation (0.1) (0.1) (23.0) (0.7) (0.5) 58.1
Adjusted EBITDA 55.0 50.4 9.0 110.3 101.1 9.1
Second quarter 2025 administrative expenses totaled US$ 8.3 million, compared to US$ 9.0 million in the second quarter of 2024; an 8.0% decrease. The decrease is primarily due to a decrease in the provision for employee annual salary and short term benefits, marketing expenses and other administrative expenses as part of the Company's cost control discipline.
Expenses related to the share-based payment of Vesta’s compensation plan amounted to US$ 2.4 million for the second quarter of 2025. For detailed information on Vesta’s expenses, please see Note 18 within the Company’s Financial Statements.
Depreciation
Second quarter 2025 depreciation was US$ 0.1 million, consistent with US$ 0.1 million in the second quarter of 2024. This amount reflects office space and equipment depreciation as well as the amortization of Vesta´s operating systems.
___________________________________
1.NOI and NOI Margin calculations have been modified, please refer to Notes and Disclaimers


image_005.jpg
7


Adjusted EBITDA 4
Second quarter 2025 Adjusted EBITDA increased by 9.0% to US$ 55.0 million, from US$ 50.4 million in the second quarter 2024, with a 137-basis-point EBITDA margin increase to 84.1%, as compared to 82.7% for the same period in 2024. This margin increase was due to lower administrative expenses during the second quarter 2025.
Other Income and Expense
6 months
Consolidated Interim and Annual Statements of Profit and Other Comprehensive Income (million) Q2 2025 Q2 2024 Chg. % 2025 2024 Chg. %
Other Income and Expenses
Interest income 0.4 4.1 (91.3) 1.4 9.1 (84.89)
Other (expenses) income 0.9 1.1 (21.4) 2.5 2.0 20.78
Other net income energy (0.9) (2.3) (60.5) (1.4) (3.4) (58.15)
Transaction cost on debt issuance 0.0 0.0 na 0.0 0.0 na
Interest expense (11.9) (12.3) (3.0) (22.2) (22.5) (1.30)
Exchange gain (loss) 6.3 (6.5) (197.1) 6.2 (5.7) (210.00)
Share of results of associates 0.0 0.0 na 0.0 0.0 na
Gain from properties sold (0.4) 0.0 na (0.4) 0.3 (263.98)
Gain on revaluation of investment properties 7.8 100.1 (92.2) (8.2) 207.4 (103.97)
Total other income (expenses) 2.2 84.2 (97.4) (22.2) 187.3 (111.83)
Total second quarter 2025 other expense reached US$ 2.2 million, compared to US$ 84.2 million in other income at the end of the second quarter 2024, a decrease primarily due to a decreased gain on revaluation of investment properties and lower interest income.
Second quarter 2025 interest income decreased to US$ 0.4 million year on year, from US$ 4.1 million in the second quarter 2024, due to a lower cash position during the second quarter 2025 as compared to the same quarter last year.
Second quarter 2025 other income resulted in a US$ 0.9 million gain due to the net result of the Company’s other accounting expenses.
Second quarter 2025 other net expense related to energy resulted in a US$ 0.9 million expense, which reflects energy sold to companies which are not Vesta´s clients.
Second quarter 2025 interest expense decreased to US$ 11.9 million, from US$ 12.3 million for the same quarter in 2024, reflecting a lower average debt balance compared to last year´s second quarter.
Vesta’s second quarter 2025 foreign exchange gain was US$ 6.3 million, compared to a US$ 6.5 million loss in second quarter 2024. This loss relates primarily to a sequential currency movement in Vesta’s dollar-denominated debt balance during second quarter 2025 within WTN, the Company’s only subsidiary that uses the Mexican peso as its functional currency.
Second quarter 2025 valuation of investment properties resulted in a US$ 7.8 million gain, compared to a US$ 100.1 million gain in the second quarter of 2024. This year-on-year decrease was due to lower number of new properties appraised during 2025, compared to 2024.
___________________________________
2.EBITDA and EBITDA Margin calculations have been modified, please refer to Notes and Disclaimers
image_005.jpg
8


Profit Before Income Taxes
6 months
Consolidated Interim and Annual Statements of Profit and Other Comprehensive Income (million) Q2 2025 Q2 2024 Chg. % 2025 2024 Chg. %
Profit Before Income Taxes 54.5 131.8 (58.7) 83.1 282.4 (70.6)
Income Tax Expense (26.8) (22.5) 18.9 (40.4) (48.3) (16.2)
Current Tax (5.4) (17.9) (69.6) (14.3) 69.5 (120.5)
Deferred Tax (21.4) (4.7) 357.9 (26.2) (117.8) (77.8)
Profit for the Period 27.7 109.3 (74.6) 42.6 234.2 (81.8)
Valuation of derivative financial instruments 0.0 0.0 na 0.0 0.0 na
Exchange differences on translating other functional currency operations 3.7 0.3 1,038.6 1.1 (0.5) (302.4)
Total Comprehensive Income for the period 31.4 109.6 (71.3) 43.7 233.6 (81.3)
Due to the above factors, second quarter 2025 profit before income tax reached US$ 54.5 million, compared to US$ 131.8 million for the same quarter last year.
Income Tax Expense
Vesta reported a US$ 26.8 million income tax expense in the second quarter 2025, compared to a US$ 22.5 million expense in second quarter 2024.
To calculate the income tax expense for each quarter of the year the Company estimated 2025 ETR considering stable balances, the statutory rate, the effects of expected exchange rates on tax balances and the expected effects of inflation.
Second Quarter 2025 Profit
Due to the above, the Company’s second quarter 2025 profit was US$ 27.7 million, compared to US$ 109.3 million profit in the second quarter 2024.
Total Comprehensive Income (Loss) for the Period
Vesta closed the second quarter 2025 with US$ 31.4 million in total comprehensive income, compared to a US$ 109.6 million gain at the end of the second quarter of 2024, due to the above factors. This comprehensive income was partially increased by a US$ 3.7 million gain in exchange differences when translating other functional currency operations.
image_005.jpg
9


Funds from Operations (FFO)
6 months
FFO Reconciliation (million) Q2 2025 Q2 2024 Chg. % 2025 2024 Chg. %
Profit for the year 27.7 109.3 (74.6) 42.6 234.2 (81.8)
Gain on revaluation of investment properties (7.8) (100.1) (92.2) 8.2 (207.4) (104.0)
Gain in properties sold 0.4 0.0 na 0.4 (0.3) na
FFO 20.3 9.2 120.2 51.3 26.5 93.4
Stock- based Compensation Expenses 2.4 2.7 (8.5) 4.6 4.8 (3.7)
Exchange Gain (Loss) (6.3) 6.5 (197.1) (6.2) 5.7 (210.0)
Depreciation 0.1 0.1 (23.0) 0.7 0.5 58.1
Other income (0.9) (1.1) (21.4) (2.5) (2.0) 20.8
Other income energy 0.9 2.3 (60.5) 1.4 3.4 (58.1)
Energy 0.1 0.0 1,482.0 (0.4) 0.6 (157.2)
Share of results of associates 0.0 0.0 na 0.0 0.0 na
Interest income (0.4) (4.1) (91.3) (1.4) (9.1) (84.9)
Income Tax Expense 26.8 22.5 18.9 40.4 48.3 na
Vesta FFO 43.1 38.2 12.9 88.1 78.6 12.1
Vesta FFO per share 0.0502 0.0431 16.6 0.1021 0.0887 15.0
Current Tax (5.4) (17.9) (69.6) (14.3) 69.5 na
Vesta FFO (-) Tax Expense 37.7 20.3 85.4 73.8 148.1 (50.2)
Vesta FFO (-) Tax Expense per share 0.0439 0.0229 91.5 0.0855 0.1672 (48.9)
Second quarter 2025 Vesta Funds from Operations (Vesta FFO (-) Tax Expense) after tax expense resulted in a US$ 37.7 million, or US$ 0.0439 per share, gain compared with a US$ 20.3 million, or US$ 0.0229 per share, gain for second quarter 2024.
Vesta FFO for the second quarter 2025 reached US$ 43.1 million; a 12.9% increase compared with US$ 38.2 million in second quarter 2024, while Vesta FFO per share reached US$ 0.0502 per share during the second quarter 2025, an 16.6% increase compared to last year´s second quarter.
Capex
Investing activities during the second quarter of 2025 were primarily related to payments for works in progress in the construction of new buildings in the Northern, Bajio and Central regions, as well as land bank purchases during the quarter, resulting in a US$ 111.1 million total expense.
Debt
As of June 30, 2025, the Company´s overall balance of debt was US$ 900.4 million, of which US$ 5.0 million is related to short-term liabilities and US$ 895.4 million is related to long-term liabilities. The secured portion of the debt is approximately 32.7% of total debt and is guaranteed by some of the Company’s investment properties, as well as by the related income derived from these properties. As of second quarter 2025, 100% of Vesta’s debt was denominated in US dollars and 88.9% of its interest rate was fixed.
Stabilized Portfolio
Vesta currently reports stabilized portfolio occupancy and same store occupancy as management believes these metrics are useful indicators of the performance of the Company’s operating portfolio. The additional metrics are intended to reflect market best practices and better enable the comparison of Vesta’s performance with the performance of its publicly traded industrial real estate peers.
The 'operating portfolio' calculation includes properties which have reached 80% occupancy or have been completed for more than one year, whichever occurs first.
image_005.jpg
10


Q2 2024 Q2 2025
Region Stabilized Portfolio Growth SF Stabilized Portfolio
SF % SF SF %
Central Mexico 7,256,310 19.7% 1,021,333 8,277,643 20.6%
Bajio 18,024,250 49.0% 913,446 18,937,695 47.1%
North 11,527,878 31.3% 1,462,464 12,990,342 32.3%
Total 36,808,437 100% 3,397,243 40,205,680 100%
Q2 2024 Q2 2025
Occupancy SF % Total Occupancy SF % Total
Central Mexico 7,256,310 100.0% 8,277,643 100.0%
Bajio 17,188,291 95.4% 18,183,753 96.0%
North 11,459,498 99.4% 11,927,045 91.8%
Total 35,904,098 97.5% 38,388,441 95.5%
Same-Store Portfolio
Based on this calculation, this metric will only include properties within the Company’s portfolio which have been stabilized for the entirety of current and comparable periods. This is intended to reflect market best practices and aid in the comparison of Vesta’s performance with the performance of its publicly traded industrial real estate peers. Vesta has provided below a reconciliation of the updated definition versus the prior definition.
Q2 2024 Q2 2025
Region Same Store Portfolio Growth SF Same Store Portfolio
SF % SF SF %
Central Mexico 7,179,938 21.5% 76,371 7,256,309 19.7%
Bajio 15,970,183 47.7% 2,056,459 18,026,641 49.0%
North 10,297,622 30.8% 1,183,232 11,480,854 31.2%
Total 33,447,743 100% 3,316,062 36,763,804 100%
Q2 2024 Q2 2025
Occupancy SF % Total Occupancy SF % Total
Central Mexico 7,179,938 100.0% 7,256,309 100.0%
Bajio 15,304,208 95.8% 17,272,699 95.8%
North 10,229,242 99.3% 11,146,638 97.1%
Total 32,713,387 97.8% 35,675,646 97.0%
Total Portfolio
As of June 30, 2025, the Company’s portfolio was comprised of 231 high-quality industrial assets, with a total gross leased area (“GLA”) of 41.7 million sf (3.9 million square meters “m2”) and with 89.4% of the Company’s income denominated in US dollars. The majority of Vesta’s properties are located in markets representing the most significant economic growth in the country, such as the Northern, Central and Bajio regions. Vesta’s tenants are predominantly multinational companies, and the Company has balanced industry exposure to sectors such as e-commerce/online retail, food and beverage, automotive, aerospace and logistics, among others.
image_005.jpg
11


Q1 2025 Q2 2025
Region Total Portfolio Growth SF Total Portfolio
SF % SF SF %
Central Mexico 8,405,555 20.4% 171,286 8,576,841 20.5%
Bajio 19,533,041 47.4% 0 19,533,041 46.8%
North 13,263,621 32.2% 364,540 13,628,161 32.7%
Total 41,202,217 100% 535,826 41,738,043 100%
Total Vacancy
Vesta’s property portfolio had an 7.7% vacancy rate as of June 30, 2025.
Q1 2025 Q2 2025
Vacant SF % Total Vacant SF % Total
Central Mexico 299,198 3.6% 299,198 3.5%
Bajio 1,377,640 7.1% 1,198,442 6.1%
North 1,297,365 9.8% 1,701,116 12.5%
Total 2,974,203 7.2% 3,198,756 7.7%
Projects Under Construction
Vesta is currently developing 1,291,613 sf (119,995 m2) in inventory and BTS buildings.
Projects under Construction
Project GLA (SF) GLA (m2) Investment (1) (thousand USD) Type Expected Termination Date City Region
Apodaca 8 730,762 67,890 57.2 Inventory 8/15/2025 Monterrey North Region
PIQ-13 186,983 17,371 12.3 Inventory 8/15/2025 Querétaro Bajio Region
Querétaro 8 218,194 20,271 12.2 Inventory 8/15/2025 Querétaro Bajio Region
Querétaro 9 155,674 14,463 9.3 Inventory 8/15/2025 Querétaro Bajio Region
Total 1,291,613 119,995 91.0
(1)Investment includes proportional cost of land and infrastructure.
*Adjusted based on final leasing terms.
image_005.jpg
12


Land Reserves
The Company had 40.3 million sf in land reserves as of June 30, 2025.
March 31, 2025 June 30, 2025
Region Gross Land Area (SF) Gross Land Area (SF) % Chg.
Tijuana 3,847,171 4,005,262 4%
Monterrey 0 885,988 na
Juárez 4,237,626 4,237,626 —%
San Luis Potosí 2,555,692 2,555,692 0.0%
Querétaro 3,561,966 3,561,966 0.0%
Guanajuato 3,404,979 3,404,979 0.0%
Aguascalientes 10,281,833 10,281,833 —%
SMA 3,597,220 3,597,220 0.0%
Guadalajara 1,408,555 7,001,510 397%
Puebla 0 0 na
Mexico City 815,780 815,780 —%
Total 33,710,821 40,347,855 19.7%
image_005.jpg
13


Summary of 6-Month 2025 Results
6 months
Consolidated Interim and Annual Statements of Profit and Other Comprehensive Income (million) Q2 2025 Q2 2024 Chg. % 2025 2024 Chg. %
Revenues
Rental income 62.2 57.7 7.9 122.8 113.5 8.2
Reimbursable building services 3.2 3.3 (4.3) 7.5 6.8 9.2
Energy Income 1.9 2.0 (8.4) 4.0 2.9 40.2
Management Fees 0.0 0.0 na 0.0 0.4 (94.0)
Total Revenues 67.3 63.0 6.8 134.3 123.6 8.7
Total Operating Property Costs (6.5) (6.2) 5.3 (11.7) (10.7) 9.6
Related to properties that generate rental income (5.6) (5.3) 4.8 (10.0) (9.3) 8.5
Costs related to properties (3.6) (3.3) 8.7 (6.4) (5.7) 10.7
Costs related to energy (2.0) (2.0) (1.5) (3.7) (3.5) 4.8
Related to properties that did not generate rental income (0.92) (0.85) 8.8 (1.7) (1.4) 17.2
Adjusted Net Operating Income 61.8 57.7 7.2 123.9 115.0 7.8
General and Administrative Expenses (8.3) (9.0) (8.0) (16.6) (17.3) (3.8)
Stock- based Compensation Expenses 2.4 2.7 (8.5) 4.6 4.8 (3.7)
Depreciation (0.1) (0.1) (23.0) (0.7) (0.5) 58.1
Adjusted EBITDA 55.0 50.4 9.0 110.3 101.1 9.1
Other Income and Expenses
Interest income 0.4 4.1 (91.3) 1.4 9.1 (84.9)
Other (expenses) income 0.9 1.1 (21.4) 2.5 2.0 20.8
Other net income energy (0.9) (2.3) (60.5) (1.4) (3.4) (58.1)
Transaction cost on debt issuance 0.0 0.0 na 0.0 0.0 na
Interest expense (11.9) (12.3) (3.0) (22.2) (22.5) (1.3)
Exchange gain (loss) 6.3 (6.5) (197.1) 6.2 (5.7) (210.0)
Share of results of associates 0.0 0.0 na 0.0 0.0 na
Gain from properties sold (0.4) 0.0 na (0.4) 0.3 (264.0)
Gain on revaluation of investment properties 7.8 100.1 (92.2) (8.2) 207.4 (104.0)
Total other income (expenses) 2.2 84.2 (97.4) (22.2) 187.3 (111.8)
Profit Before Income Taxes 54.5 131.8 (58.7) 83.1 282.4 (70.6)
Income Tax Expense (26.8) (22.5) 18.9 (40.4) (48.3) (16.2)
Current Tax (5.4) (17.9) (69.6) (14.3) 69.5 (120.5)
Deferred Tax (21.4) (4.7) 357.9 (26.2) (117.8) (77.8)
Profit for the Period 27.7 109.3 (74.6) 42.6 234.2 (81.8)
Valuation of derivative financial instruments 0.0 0.0 na 0.0 0.0 na
Exchange differences on translating other functional currency operations 3.7 0.3 1,038.6 1.1 (0.5) (302.4)
Total Comprehensive Income for the period 31.4 109.6 (71.3) 43.7 233.6 (81.3)
Shares (average) 858.3 886.6 (3.2) 863.0 885.7 (2.6)
Diluted EPS 0.0366 0.1237 0.0507 0.2638
Revenues increased 8.7% to US$ 134.3 million for the accumulated six months of 2025, compared to US$ 123.6 million in 2024, while operating costs increased to US$ 11.7 million, or 9.6%, compared to US$ 10.7 million in 2024, primarily due to the increase in both properties that generate income and which do not generate rental income.
image_005.jpg
14


Adjusted Net operating income for the six months 2025 was US$ 123.9 million, a 7.8% increase compared to US$ 115.0 million in the same period of 2024. The Adjusted NOI margin for the first six months 2025 reached 95.1% compared to 95.2% in the same period in 2024.
At the close of June 30, 2025, administrative expenses decreased by 3.8% to US$ 16.6 million for the first six months of 2025, as compared to US$ 17.3 million for the same period in 2024, primarily due to a decrease in the provision for employee salaries, marketing expenses, other expenses and Vesta´s stock-based compensation.
Adjusted EBITDA for the six months 2025 was US$ 110.3 million, a 9.1% increase compared to US$ 101.1 million in the same period of 2024. The Adjusted EBITDA margin for six months 2025 reached 84.6% compared to 83.7% in the same period of 2024.
Total other expense for the six months of 2025 was US$ 22.2 million, compared to US$ 187.3 million gain in the prior year. This reflects a decrease in the revaluation of investment properties and interest income.
The Company’s profit before tax therefore amounted to US$ 83.1 million for the first six months of 2025.
Income tax for the six months ending June 30, 2025 resulted in a US$ 40.4 million expense, compared to a US$ 48.3 million expense for the six months ended June 30, 2024. This year-on-year decrease was primarily due to an decrease in deferred taxes.
Profit for the six months of 2025 was US$ 42.6 million, compared to US$ 234.2 million in the same period of 2024, due to factors described above.
Vesta closed the six-month period ended June 30, 2025 with US$ 43.7 million in total comprehensive income, compared to US$ 233.6 million at the end of the same period in 2024, due to the factors previously described. This gain partially increased by a US$ 1.1 million gain in functional currency operations.
Capex for the first six-months of 2025 reached US$ 169.4 million, related to the investment property development as well as investment in land purchases.
image_005.jpg
15


Subsequent Events
Dividends:
Vesta shareholders approved a US$ 69.5 million-dollar dividend at the Company's Annual General Shareholders Meeting held on March 19, 2025, to be paid in quarterly installments at the closing exchange rate of the day prior to payment. The quarterly dividend per share will be determined based on the outstanding number of shares on the distribution date.
Vesta paid a cash dividend for the second quarter 2025 equivalent to PS$ 0.3796 per ordinary share on July 15, 2025. The dividend was paid through the S.D. Indeval S.A. de C.V. Institución para el Depósito de Valores (INDEVAL). This amount was provisioned within the Company’s financial statements at the end of the second quarter 2025 as dividends payable.
Dividends per share
Q1 2025 0.4137
Q2 2025 0.3796
image_005.jpg
16


Appendix: Financial Tables
6 months
Consolidated Interim and Annual Statements of Profit and Other Comprehensive Income (million) Q2 2025 Q2 2024 Chg. % 2025 2024 Chg. %
Revenues
Rental income 62.2 57.7 7.9 122.8 113.5 8.2
Reimbursable building services 3.2 3.3 (4.3) 7.5 6.8 9.2
Energy Income 1.9 2.0 (8.4) 4.0 2.9 40.2
Management Fees 0.0 0.0 na 0.0 0.4 (94.0)
Total Revenues 67.3 63.0 6.8 134.3 123.6 8.7
Total Operating Property Costs (6.5) (6.2) 5.3 (11.7) (10.7) 9.6
Related to properties that generate rental income (5.6) (5.3) 4.8 (10.0) (9.3) 8.5
Costs related to properties (3.6) (3.3) 8.7 (6.4) (5.7) 10.7
Costs related to energy (2.0) (2.0) (1.5) (3.7) (3.5) 4.8
Related to properties that did not generate rental income (0.92) (0.85) 8.8 (1.7) (1.4) 17.2
Adjusted Net Operating Income 61.8 57.7 7.2 123.9 115.0 7.8
General and Administrative Expenses (8.3) (9.0) (8.0) (16.6) (17.3) (3.8)
Stock- based Compensation Expenses 2.4 2.7 (8.5) 4.6 4.8 (3.7)
Depreciation (0.1) (0.1) (23.0) (0.7) (0.5) 58.1
Adjusted EBITDA 55.0 50.4 9.0 110.3 101.1 9.1
Other Income and Expenses
Interest income 0.4 4.1 (91.3) 1.4 9.1 (84.9)
Other (expenses) income 0.9 1.1 (21.4) 2.5 2.0 20.8
Other net income energy (0.9) (2.3) (60.5) (1.4) (3.4) (58.1)
Transaction cost on debt issuance 0.0 0.0 na 0.0 0.0 na
Interest expense (11.9) (12.3) (3.0) (22.2) (22.5) (1.3)
Exchange gain (loss) 6.3 (6.5) (197.1) 6.2 (5.7) (210.0)
Share of results of associates 0.0 0.0 na 0.0 0.0 na
Gain from properties sold (0.4) 0.0 na (0.4) 0.3 (264.0)
Gain on revaluation of investment properties 7.8 100.1 (92.2) (8.2) 207.4 (104.0)
Total other income (expenses) 2.2 84.2 (97.4) (22.2) 187.3 (111.8)
Profit Before Income Taxes 54.5 131.8 (58.7) 83.1 282.4 (70.6)
Income Tax Expense (26.8) (22.5) 18.9 (40.4) (48.3) (16.2)
Current Tax (5.4) (17.9) (69.6) (14.3) 69.5 (120.5)
Deferred Tax (21.4) (4.7) 357.9 (26.2) (117.8) (77.8)
Profit for the Period 27.7 109.3 (74.6) 42.6 234.2 (81.8)
Valuation of derivative financial instruments 0.0 0.0 na 0.0 0.0 na
Exchange differences on translating other functional currency operations 3.7 0.3 1,038.6 1.1 (0.5) (302.4)
Total Comprehensive Income for the period 31.4 109.6 (71.3) 43.7 233.6 (81.3)
Shares (average) 858.3 886.6 (3.2) 863.0 885.7 (2.6)
Diluted EPS 0.0366 0.1237 0.0507 0.2638
image_005.jpg
17


Consolidated Statements of Financial Position (million) June 30, 2025 December 31, 2024
ASSETS
CURRENT
Cash and cash equivalents 65.2 184.1
Financial assets held for trading 0.0 0.0
Accounts receivable- net 59.6 52.8
Operating lease receivable 6.1 4.7
Due from related parties 0.0 0.0
Prepaid expenses 7.7 2.1
Guarantee deposits made 0.0 0.0
Total current assets 138.7 243.8
NON-CURRENT
Investment properties 3,859.0 3,696.8
Leasing Terms 0.4 0.5
Office equipment - net 2.4 2.4
Derivative financial instruments 0.0 0.0
Guarantee Deposits made 15.1 14.5
Total non-current assets 3,877.6 3,714.2
TOTAL ASSETS 4,016.3 3,957.9
LIABILITIES AND SHAREHOLDERS' EQUITY
CURRENT LIABILITIES
Current portion of long-term debt 5.0 49.9
Financial leases payable-short term 0.2 0.4
Accrued interest 2.7 2.9
Accounts payable 9.8 14.2
Income tax payable 0.7 0.6
Dividends payable 52.2 16.2
Accrued expenses 5.7 6.6
Total current liabilities 76.3 90.8
NON-CURRENT
Long-term debt 895.4 797.2
Financial leases payable-long term 0.2 0.1
Derivative financial instruments 0.0 0.0
Guarantee deposits received 29.5 27.4
Long-term accounts payable 0.0 0.0
Employees benefits 2.9 2.2
Deferred income taxes 469.0 442.8
Total non-current liabilities 1,397.0 1,269.8
TOTAL LIABILITIES 1,473.3 1,360.7
STOCKHOLDERS' EQUITY
Capital stock 580.0 585.5
Additional paid-in capital 884.2 905.7
Retained earnings 1,121.5 1,148.4
Share-base payments reserve 2.5 3.9
Foreign currency translation (45.1) (46.2)
Valuation of derivative financial instruments 0.0 0.0
Total shareholders' equity 2,543.1 2,597.3
TOTAL LIABILITIES AND SHAREHOLDERS' EQUITY 4,016.3 3,957.9
image_005.jpg
18


Consolidated Statements of Cash Flows (million) June 30, 2025 June 30, 2024
Cash flow from operating activities:
Profit before income taxes 83.1 282.4
Adjustments:
Depreciation 0.5 0.3
Depreciation of right of use assets 0.3 0.1
Gain on revaluation of investment properties 8.2 (207.4)
Effect of foreign exchange rates (5.2) 5.1
Interest income (1.4) (9.1)
Interest expense 20.7 21.2
Amortization debt issuance-related expenses 0.7 1.2
Gain share of results of associates 0.0 0.0
Expense recognized related to share-based payments 8.0 4.8
Employee Benefits 0.7 0.4
Gain in sale of investment property 0.4 (0.3)
Income tax benefit from equity issuance costs 0.0 0.0
Working capital adjustments
(Increase) decrease in:
Operating leases receivables- net (1.5) (1.8)
Recoverable taxes (6.8) (1.9)
Guarantee Deposits made (0.6) 0.1
Prepaid expenses (5.6) (5.2)
(Increase) decrease in:
Accounts payable (0.2) 3.8
Accrued expenses (1.0) (1.8)
Guarantee Deposits received 2.1 (0.6)
Interest received 1.4 9.1
Income Tax Paid (14.2) (63.0)
Net cash generated by operating activities 89.73 37.7
Cash flow from investing activities
Purchases of investment property (169.4) (102.1)
Non-tenant reimburstments (0.7) 0.0
Sale of investment property (0.4) 0.8
Acquisition of office furniture (0.5) 0.0
Net cash used in investing activities (171.0) (101.3)
Cash flow from financing activities
Interest paid (20.8) (20.5)
Loans obtained 100.0 0.0
Loans Paid (47.4) (2.3)
Cost of debt issuance 0.0 0.0
Dividends paid (33.6) (31.3)
Repurchase of treasury shares 0.0 0.0
Equity issuance 0.0 0.0
Costs of equity issuance (36.4) 0.0
Payment of lease liabilities (0.4) (0.2)
Net cash (used in) generated by financing activities (38.6) (54.3)
Effects of exchange rates changes on cash 0.9 (6.3)
Net Increase in cash and cash equivalents (118.9) (124.2)
Cash, restricted cash and cash equivalents at the beginning of period 184.9 501.9
Cash, restricted cash and cash equivalents at the end of period 66.0 377.7
image_005.jpg
19


Consolidated Statements of Changes in Stockholders’ Equity (million) Capital Stock Additional Paid-in Capital Retained Earnings Share-based payment reserve Foreign Currency Translation Total Stockholders´ Equity
Balances as of January 1, 2024 591.6 934.9 989.7 3.7 (33.0) 2,487.0
Equity Issuance 0.0 0.0 0.0 0.0 0.0 0.0
Vested shares 2.4 13.7 0.0 16.0 0.0 32.1
Share-based payments 0.0 0.0 0.0 4.8 0.0 4.8
Dividends declared 0.0 0.0 64.7 0.0 0.0 64.7
Comprehensive income (loss) 0.0 0.0 234.2 0.0 0.5 234.7
Balances as of June 30, 2024 594.0 948.6 1,288.6 24.6 (32.5) 2,823.2
Balances as of January 1, 2025
585.5 905.7 1148.4 3.9 (46.2) 2597.3
Dividends declared 0.0 0.0 69.5 0.0 0.0 69.5
Vested shares 2.0 7.0 0.0 9.0 0.0 18.0
Share-based payments 0.1 0.3 0.0 7.7 0.0 8.0
Repurchase of shares 7.6 28.8 0.0 0.0 0.0 36.4
Comprehensive income (loss) 0.0 0.0 42.6 0.0 1.1 43.7
Balances as of June 30, 2025 595.2 941.8 1,260.6 20.6 (45.1) 2,773.0
image_005.jpg
20


Notes and Disclaimers
Interim Consolidated Condensed Financial Statements: The figures presented within this release for the three-month periods ending June 30, 2025 and 2024 have not been audited.
Exchange Rate: The exchange rates used for the figures expressed in US dollars (US$) were:
                  Date Exchange Rate
Balance Sheet
June 30, 2024 18.377
June 30, 2025 18.893
Income Statement
Q2 2024 (average) 17.206
Q2 2025 (average) 19.981
6M 2024 (average) 18.302
6M 2025 (average) 19.981
“Adjusted EBITDA” as the sum of profit for the year adjusted by (a) total income tax expense (b) interest income, (c) other income, (d) other expense (e) finance costs, (f) exchange gain (loss) – net, (g) gain on sale of investment property, (h) gain on revaluation of investment property, (i) depreciation, (j) stock-based compensation expense (k) energy income and (l) energy costs during the relevant period
“Adjusted EBITDA margin” means Adjusted EBITDA divided by total revenues minus energy income.
“NOI” means the sum of Adjusted EBITDA plus general and administrative expenses, reversing the discrete depreciation expense impact in Adjusted EBITDA minus and stock-based compensation expense during the relevant period.
“Adjusted NOI” means the sum of NOI plus property operating costs related to properties that did not generate rental income during the relevant period minus energy costs.
“Adjusted NOI margin” means Adjusted NOI divided by total revenues minus energy income.
“FFO” means profit for the period, excluding: (i) gain on sale of investment property and (ii) gain on revaluation of investment property.
“Vesta FFO” means the sum of FFO, as adjusted for the impact of exchange gain (loss) - net, other income – net, other energy income net, interest income, total income tax expense, depreciation and stock-based compensation expense and equity plus.
Prior period: Unless otherwise stated, the comparison of operating and financial figures compares the same prior year period.
Percentages may not sum to total due to rounding.
Build to Suit (BTS): a building which is custom-made in design and construction in order to meet client-specific needs.
Inventory buildings: buildings constructed in accordance with standard industry specifications, for those clients that do not require a BTS Building.
image_005.jpg
21


Analyst Coverage
In compliance with the internal regulation of the BMV, article 4.033.01 Frac. VIII, Vesta is covered by analysts at the following brokages:
•Actinver Casa de Bolsa, S.A. de C.V. Grupo Financiero Actinver
•Barclays Bank Mexico, S.A.
•Bank of America
•BBVA Bancomer S.A.
•Bradesco BBI Research
•BTG Pactual US Capital LLC
•Casa de Bolsa Credit Suisse S.A. de C.V.
•Casa de Bolsa Santander S.A. de C.V.
•Citigroup Global Markets Inc.
•GBM Grupo Bursátil Mexicano S.A. de C.V.
•Grupo Financiero Interacciones S.A. de C.V.
•Grupo Signum, S.A. de C.V.
•Goldman Sachs
•Itaú Corretora de Valores S.A
•J.P. Morgan Casa de Bolsa, S.A. de C.V.
•Morgan Stanley
•Scotia Inverlat Casa de Bolsa S.A. de C.V.
About Vesta
Vesta is a real estate owner, developer and asset manager of industrial buildings and distribution centers in Mexico. As of June 30, 2025, Vesta owned 231 properties located in modern industrial parks in 16 states of Mexico totaling a GLA of 41.7 million sf (3.9 million m2). Vesta has several world-class clients participating in a variety of industries such as automotive, aerospace, retail, high-tech, pharmaceuticals, electronics, food and beverage and packaging. For additional information visit: www.vesta.com.mx.
Note on Forward-Looking Statements
This report may contain certain forward-looking statements and information relating to the Company and its expected future performance that reflects the current views and/or expectations of the Company and its management with respect to its performance, business and future events. Forward looking statements include, without limitation, any statement that may predict, forecast, indicate or imply future results, performance or achievements, and may contain words like “believe,” “anticipate,” “expect,” “envisages,” “will likely result,” or any other words or phrases of similar meaning. Such statements are subject to a number of risks, uncertainties and assumptions. Some of the factors that may affect outcomes and results include, but are not limited to: (i) national, regional and local economic and political climates; (ii) changes in global financial markets, interest rates and foreign currency exchange rates; (iii) increased or unanticipated competition for our properties; (iv) risks associated with acquisitions, dispositions and development of
image_005.jpg
22


properties; (v) tax structuring and changes in income tax laws and rates; (vi) availability of financing and capital, the levels of debt that we maintain; (vii) environmental uncertainties, including risks of natural disasters; (viii) risks related to any potential health crisis and the measures that governments, agencies, law enforcement and/or health authorities implement to address such crisis; and (ix) those additional factors discussed in reports filed with the Bolsa Mexicana de Valores and in the U.S. Securities and Exchange Commission. We caution you that these important factors could cause actual results to differ materially from the plans, objectives, expectations, estimates and intentions expressed in this presentation and in oral statements made by authorized officers of the Company. Readers are cautioned not to place undue reliance on these forward-looking statements, which speak only as of their dates. The Company undertakes no obligation to update or revise any forward-looking statements, including any financial guidance, whether as a result of new information, future events or otherwise except as may be required by law.
Definitions / Discussion of Non-GAAP Financial Measures:
Change in Adjusted EBITDA, NOI, Adjusted NOI and Vesta FFO calculation methodology
During the year ended December 31, 2023, our business began to experience different effects associated with our tenants growing their operations in Mexico that among other impacts resulted in increased energy consumption which we recognize as an energy income and energy cost during the period. Our management considered these income and costs represent a business activity not actively managed by us and does not relate directly to our business operation and strategy; therefore, we updated our policy to further adjust our Adjusted EBITDA, NOI, Adjusted NOI and Vesta FFO to exclude energy income and energy costs.
We have applied the change in calculation methodology retroactively. This change had an impact on Adjusted EBITDA, NOI, Adjusted NOI and Vesta FFO of $0.3 million, ($0.4) million and $0.0 million as of December 31, 2023, 2022 and 2021.
Reconciliation of Adjusted EBITDA, NOI and Adjusted NOI
The table below sets forth a reconciliation of Adjusted EBITDA, NOI and Adjusted NOI to profit for the year, the most directly comparable IFRS financial measure, for each of the periods indicated, as reported in the Company’s financial statements. We calculate Adjusted EBITDA as the sum of profit for the year adjusted by (a) total income tax expense (b) interest income, (c) other income, (d) other expense (e) finance costs, (f) exchange gain (loss) – net, (g) gain on sale of investment property, (h) gain on revaluation of investment property, (i) depreciation, (j) stock-based compensation expense (k) energy income and (l) energy costs during the relevant period. We calculate NOI as the sum of Adjusted EBITDA plus general and administrative expenses, reversing the discrete depreciation expense impact in Adjusted EBITDA minus and stock-based compensation expense during the relevant period. We calculate Adjusted NOI as the sum of NOI plus property operating costs related to properties that did not generate rental income during the relevant period.
Adjusted EBITDA is not a financial measure recognized under IFRS and does not purport to be an alternative to profit or total comprehensive income for the period as a measure of operating performance or to cash flows from operating activities as a measure of liquidity. Additionally, Adjusted EBITDA is not intended to be a measure of free cash flow available for management’s discretionary use, as it does not consider certain cash requirements such as interest payments and tax payments. Our presentation of Adjusted EBITDA has limitations as an analytical tool, and you should not consider it in isolation or as a substitute for analysis of our results as reported under IFRS. Management uses Adjusted EBITDA to measure and evaluate the operating performance of our principal business (which consists of developing, leasing and managing industrial properties) before our cost of capital and income tax expense. Adjusted EBITDA is a measure commonly used in our industry, and we present Adjusted EBITDA to supplement investor understanding of our operating performance. We believe that Adjusted EBITDA provides investors and analysts with a measure of operating results unaffected by differences in tenant’s operation, capital structures, capital investment cycles and fair value adjustments of related assets among otherwise comparable companies.
NOI or Adjusted NOI are not financial measures recognized under IFRS and do not purport to be alternatives to profit for the period or total comprehensive income as measures of operating performance. NOI and Adjusted NOI are supplemental industry reporting measures used to evaluate the performance of our investments in real estate assets and our operating results. In addition, Adjusted NOI is a leading indicator of the trends related to NOI as we typically have a strong development portfolio of “speculative buildings.” Under IAS 40, we have adopted the fair value model to measure our investment property and, for that reason,
image_005.jpg
23


our financial statements do not reflect depreciation nor amortization of our investment properties, and therefore such items are not part of the calculations of NOI or Adjusted NOI. We believe that NOI is useful to investors as a performance measure and that it provides useful information regarding our results of operations and financial condition because, when compared across periods, it reflects the impact on operations from trends in occupancy rates, rental rates, operating costs and acquisition and development activity on an unleveraged basis, providing perspective not immediately apparent from profit for the year. For example, interest expense is not necessarily linked to the operating performance of a real estate asset and is often incurred at the corporate level as opposed to the property level. Similarly, interest expense may be incurred at the property level even though the financing proceeds may be used at the corporate level (e.g., used for other investment activity). As so defined, NOI and Adjusted NOI may not be comparable to net operating income or similar measures reported by other real estate companies that define NOI or Adjusted NOI differently.
Adjusted EBITDA margin, NOI margin and Adjusted NOI margin
The table below also includes a reconciliation of Adjusted EBITDA margin, NOI margin and Adjusted NOI margin to profit for the year, the most directly comparable IFRS financial measure, for each of the periods indicated, as reported in the Company’s financial statements. We present margin ratios to rental income plus management fees minus electricity income to compliment the understanding of our operating performance; measuring our profitability compared to the revenues directly related to our business activities.
For the Three-Month 6 months
Period Ended June 30, Cumulative
2025 2024 2025 2024
(millions of US$)
Profit for the period 27.7 109.3 42.6 234.2
(+) Total income tax expense 26.8 22.5 40.4 48.3
(-) Interest income (0.4) (4.1) (1.4) (9.1)
(-) Other income – net(1) (0.9) (1.1) (2.5) (2.0)
(-) Other income energy 0.9 2.3 1.4 3.4
(+) Finance costs 11.9 12.3 22.2 22.5
(-) Exchange gain (loss) - net (6.3) 6.5 (6.2) 5.7
(-) Share of results of associates 0.0 0.0 0.0 0.0
(-) Gain on sale of investment property 0.4 0.0 0.4 (0.3)
(-) Gain on revaluation of investment property (7.8) (100.1) 8.2 (207.4)
(+) Depreciation 0.1 0.1 0.7 0.5
(+) Long-term incentive plan and Equity plus 2.4 2.7 4.6 4.8
(+) Energy net 0.1 0.0 (0.4) 0.6
Adjusted EBITDA 55.0 50.4 110.3 101.1
(+) General and administrative expenses 8.3 9.0 16.6 17.3
(-) Long-term incentive plan and Equity plus (2.4) (2.7) (4.6) (4.8)
NOI 60.9 56.8 122.2 113.5
(+) Property operating costs related to properties that did not generate rental income 0.9 0.8 1.7 1.4
Adjusted NOI 61.8 57.7 123.9 115.0
(1)Includes other income and expenses unrelated to our operations, such as reimbursements from insurance proceeds, and sales of office equipment. For more information, see note 15 to our audited consolidated financial statements.
Reconciliation of FFO and Vesta FFO
The table below sets forth a reconciliation of FFO and Vesta FFO to profit for the period, the most directly comparable IFRS financial measure, for each of the periods indicated, as reported in the Company’s financial
image_005.jpg
24


statements. FFO is calculated as profit for the period, excluding: (i) gain on sale of investment property and (ii) gain on revaluation of investment property. We calculate Vesta FFO as the sum of FFO, as adjusted for the impact of exchange gain (loss) - net, other income – net, interest income, total income tax expense, depreciation and long-term incentive plan and equity plus.
The Company believes that Vesta FFO is useful to investors as a supplemental performance measure because it excludes the effects of certain items which can create significant earnings volatility, but which do not directly relate to our business operations. We believe Vesta FFO can facilitate comparisons of operating performance between periods, while also providing a more meaningful predictor of future earnings potential. Additionally, since Vesta FFO does not capture the level of capital expenditures per maintenance and improvements to maintain the operating performance of properties, which has a material economic impact on operating results, we believe Vesta FFO’s usefulness as a measure of performance may be limited.
Our computation of FFO and Vesta FFO may not be comparable to FFO measures reported by other REITs or real estate companies that define or interpret the FFO definition differently. FFO and Vesta FFO should not be considered as a substitute for net profit for the period attributable to our common shareholders.
For the Three-Month 6 months
Period Ended June 30, Cumulative
2025 2024 2025 2024
(millions of US$)
Profit for the period 27.7 109.3 42.6 234.2
(-) Gain on sale of investment property 0.4 0.0 0.4 (0.3)
(-) Gain on revaluation of investment property (7.8) (100.1) 8.2 (207.4)
FFO 20.3 9.2 51.3 26.5
(-) Exchange gain (loss) – net (6.3) 6.5 (6.2) 5.7
(-) Other income – net(1) (0.9) (1.1) (2.5) (2.0)
(-) Other income energy 0.9 2.3 1.4 3.4
(-) Share of results of associates 0.0 0.0 0.0 0.0
(-) Interest income (0.4) (4.1) (1.4) (9.1)
(+) Total income tax expense 26.8 22.5 40.4 48.3
(+) Depreciation 0.1 0.1 0.7 0.5
(+) Long-term incentive plan and Equity plus 2.4 2.7 4.6 4.8
(+) Energy net 0.1 0.0 (0.4) 0.6
Vesta FFO 43.1 38.2 88.1 78.6
(1)Includes other income and expenses unrelated to our operations, such as reimbursements from insurance proceeds, and sales of office equipment. For more information, see note 15 to Vesta’s consolidated financial statements.
image_005.jpg
25
EX-99.2 3 a130722-2q25_efvestaingl.htm EX-99.2 a130722-2q25_efvestaingl
Corporación Inmobiliaria Vesta, S. A. B. de C. V. and Subsidiaries Condensed Consolidated Interim Financial Statements for the six- and three months periods ended June 30, 2025, and 2024 (unaudited)


 
Corporación Inmobiliaria Vesta, S. A. B. de C. V. and Subsidiaries Unaudited Condensed Consolidated Interim Financial Statements for six and three-month periods ended June 30, 2025, and 2024 (unaudited) Table of contents Page Unaudited Condensed Consolidated Interim Statements of Financial Position 1 Unaudited Condensed Consolidated Interim Statements of Profit and Other Comprehensive Income 2 Unaudited Condensed Consolidated Interim Statements of Changes in Stockholders’ Equity 3 Unaudited Condensed Consolidated Interim Statements of Cash Flows 4 Notes to Unaudited Condensed Consolidated Interim Financial Statements 6


 
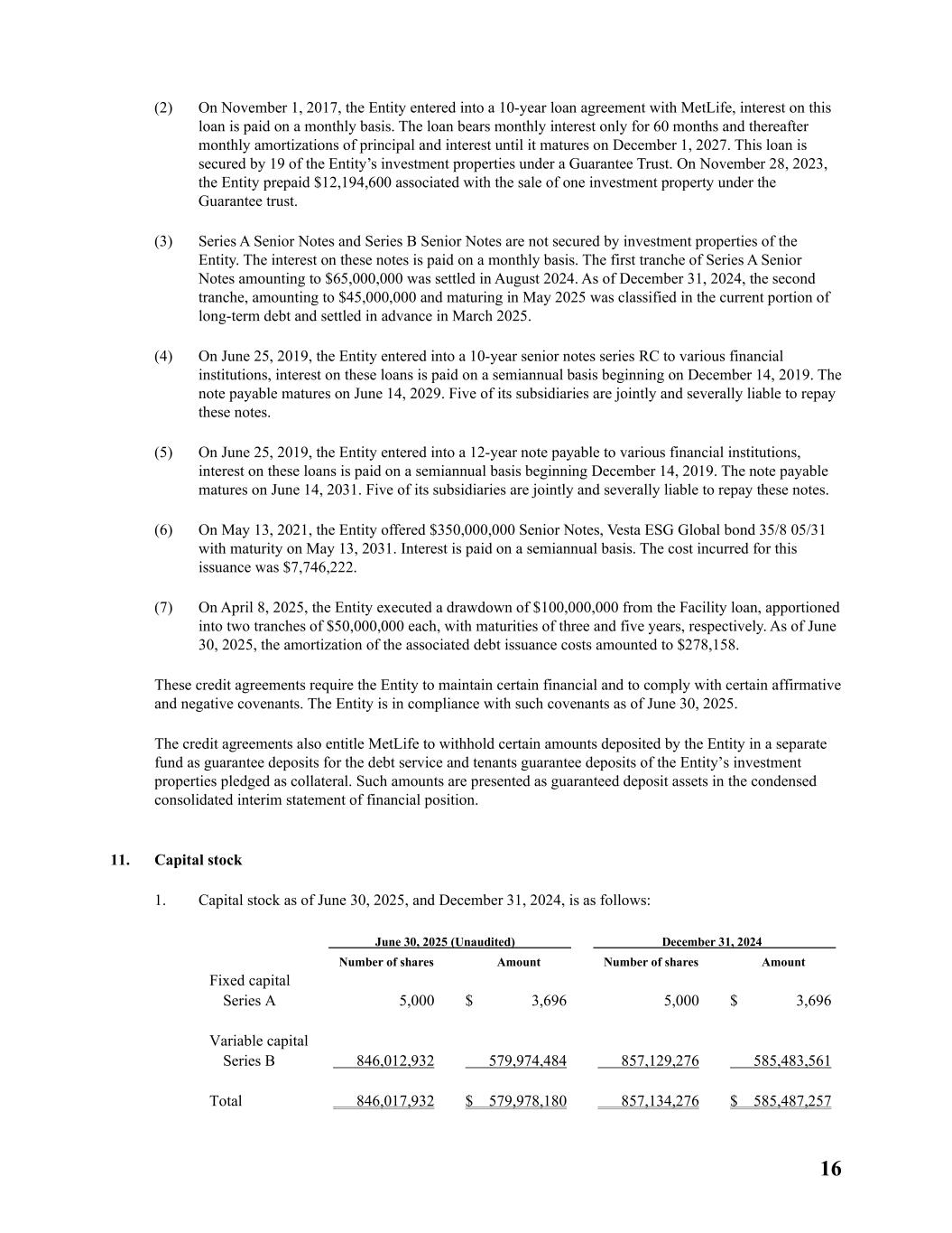
1 Corporación Inmobiliaria Vesta, S. A. B. de C. V. and Subsidiaries Unaudited Condensed Consolidated Interim Statements of Financial Position As of June 30, 2025, and December 31, 2024 (In US dollars) Assets Notes June 30, 2025 (Unaudited) December 31, 2024 Current assets: Cash, cash equivalents and restricted cash 5 $ 65,239,102 $ 184,120,894 Recoverable taxes 6 59,606,069 52,832,645 Operating lease receivables 7 6,146,796 4,681,020 Prepaid expenses and other current assets 7.vi 7,689,919 2,119,545 Total current assets 138,681,886 243,754,104 Non-current assets: Investment properties 8 3,858,976,389 3,696,768,269 Office furniture – Net 2,405,773 2,386,285 Investment in associates 732,166 - Right-of-use asset - Net of depreciation 9 444,004 533,792 Security deposits made, restricted cash and others 15,086,775 14,504,984 Total non-current assets 3,877,645,107 3,714,193,330 Total assets $ 4,016,326,993 $ 3,957,947,434 Liabilities and stockholders’ equity Current liabilities: Current portion of long-term debt 10 $ 4,970,189 $ 49,856,047 Lease liabilities – short-term 9 239,593 408,373 Accrued interest 2,729,504 2,911,864 Accounts payable 9,804,127 14,194,300 Income taxes payable 682,313 646,812 Accrued expenses and taxes 5,673,101 6,637,354 Dividends payable 11.4 52,153,480 16,171,622 Total current liabilities 76,252,307 90,826,372 Non-current liabilities: Long-term debt 10 895,387,620 797,194,627 Lease liabilities - long-term 9 200,041 149,743 Security deposits received 29,465,954 27,409,380 Employee benefits 2,943,435 2,240,425 Deferred income taxes 17 469,008,671 442,842,704 Total non-current liabilities 1,397,005,721 1,269,836,879 Total liabilities 1,473,258,028 1,360,663,251 Litigation and commitments 21 Stockholders’ equity: Capital stock 11.1 579,978,180 585,487,257 Additional paid-in capital 11.3 884,174,713 905,722,252 Retained earnings 1,121,498,175 1,148,396,077 Share-based payments reserve 19 2,540,507 3,884,108 Foreign currency translation (45,122,610) (46,205,511) Total stockholders’ equity 2,543,068,965 2,597,284,183 Total liabilities and stockholders’ equity $ 4,016,326,993 $ 3,957,947,434 See accompanying notes to unaudited condensed consolidated interim financial statements.


 
2 Corporación Inmobiliaria Vesta, S. A. B. de C. V. and Subsidiaries Unaudited Condensed Consolidated Interim Statements of Profit or Loss and Other Comprehensive Income For the six- and three-month periods ended June 30, 2025, and 2024 (In US dollars) For the six-month period ended For the three-month period ended Notes June 30, 2025 (Unaudited) June 30, 2024 (Unaudited) June 30, 2025 (Unaudited) June 30, 2024 (Unaudited) Revenues: Rental income 12 $ 134,312,614 $ 123,192,740 $ 67,274,134 $ 63,014,867 Management fees 24,648 413,263 - - 134,337,262 123,606,003 67,274,134 63,014,867 Property operating costs related to properties that generated rental income 13.1 (10,047,779) (9,262,643) (5,601,937) (5,346,155) Property operating costs related to properties that did not generate rental income 13.1 (1,679,759) (1,433,105) (921,060) (846,340) General and administrative expenses 13.2 (17,365,154) (17,750,399) (8,440,552) (9,193,604) Interest income 1,379,305 9,130,354 353,860 4,061,990 Other income 14 2,458,896 2,035,776 895,723 1,140,107 Other expenses 15 (1,429,549) (3,415,671) (910,987) (2,305,118) Finance cost 16 (22,172,026) (22,464,189) (11,886,774) (12,251,664) Exchange gain (loss) – Net 6,236,133 (5,669,409) 6,332,404 (6,523,491) Share of results of associates 2,920 - 2,920 - (Loss) gain on sale of investment property (409,946) 250,000 (409,946) - (Loss) gain on revaluation of investment property 8 (8,223,649) 207,405,525 7,814,557 100,079,500 Profit before income taxes 83,086,654 282,432,242 54,502,342 131,830,092 Income tax expense 17 (40,446,583) (48,259,114) (26,783,029) (22,526,023) Profit for the period 42,640,071 234,173,128 27,719,313 109,304,069 Other comprehensive gain - Net of tax: Items that may be reclassified subsequently to profit and loss: Exchange differences on translating other functional currency operations 1,082,901 (535,042) 3,700,015 324,953 Total other comprehensive income 1,082,901 (535,042) 3,700,015 324,953 Total comprehensive income for the period $ 43,722,972 $ 233,638,086 $ 31,419,328 $ 109,629,022 Basic earnings per share 11.5 $ 0.0501 $ 0.2679 $ 0.0328 $ 0.1250 Diluted earnings per share 11.5 $ 0.0494 $ 0.2644 $ 0.0323 $ 0.1233 See accompanying notes to unaudited condensed consolidated interim financial statements.


 
3 Corporación Inmobiliaria Vesta, S. A. B. de C. V. and Subsidiaries Unaudited Condensed Consolidated Interim Statements of Changes in Stockholders’ Equity For the six-month periods ended June 30, 2025, and 2024 (In US dollars) Capital stock Additional paid-in capital Retained earnings Share-based payments reserve Foreign currency translation Total stockholders’ equity Balances as of January 1, 2024 $ 591,600,113 $ 934,944,456 $ 989,736,218 $ 3,732,350 $ (33,044,712) $ 2,486,968,425 Dividends declared - - (64,686,487) - - (64,686,487) Vested shares 2,377,647 13,654,820 - (16,032,467) - - Share-based payments - - - 4,804,613 - 4,804,613 Comprehensive income - - 234,173,128 - (535,042) 233,638,086 Balances as of June 30, 2024 (Unaudited) 593,977,760 948,599,276 1,159,222,859 (7,495,504) (33,579,754) 2,660,724,637 Balances as of January 1, 2025 585,487,257 905,722,252 1,148,396,077 3,884,108 (46,205,511) 2,597,284,183 Dividends declared - - (69,537,973) - - (69,537,973) Vested shares 2,045,268 6,964,825 - (9,010,093) - - Share-based payments 65,627 283,509 - 7,666,492 - 8,015,628 Repurchase of shares (7,619,972) (28,795,873) - - - (36,415,845) Comprehensive income - - 42,640,071 - 1,082,901 43,722,972 Balances as of June 30, 2025 (Unaudited) $ 579,978,180 $ 884,174,713 $ 1,121,498,175 $ 2,540,507 $ (45,122,610) $ 2,543,068,965 See accompanying notes to unaudited condensed consolidated interim financial statements.


 
4 Corporación Inmobiliaria Vesta, S. A. B. de C. V. and Subsidiaries Unaudited Condensed Consolidated Interim Statements of Cash Flows For the six-months periods ended June 30, 2025, and 2024 (In US dollars) June 30, 2025 (Unaudited) June 30, 2024 (Unaudited) Cash flows from operating activities: Profit before income taxes $ 83,086,654 $ 282,432,242 Adjustments: Depreciation 454,451 333,122 Right-of-use asset depreciation 294,719 140,616 Loss (gain) on revaluation of investment properties 8,223,649 (207,405,525) Unrealized effect of foreign exchange rates (5,153,232) 5,134,367 Interest income (1,379,305) (9,130,354) Interest expense 21,433,564 21,231,097 Amortization of debt issuance costs 738,462 1,233,092 Gain equity method (2,920) - Expense recognized in respect of share-based payments 8,015,628 4,804,614 Employee benefits and pension costs 703,010 414,232 Loss (gain) on sale of investment properties 409,946 (250,000) Working capital adjustments: (Increase) decrease in: Operating lease receivables – Net (1,465,776) (1,799,680) Recoverable taxes (6,773,424) (1,928,855) Guarantee deposits paid (581,791) 109,359 Prepaid expenses and other receivables (5,570,374) (5,194,844) Increase (decrease) in: Accounts payable and client advances (158,979) 3,786,041 Accrued expenses and taxes (964,253) (1,763,319) Guarantee deposits collected 2,056,574 (556,958) Interest received 1,379,305 9,130,354 Income taxes paid (14,245,115) (62,996,814) Net cash generated by operating activities 90,500,793 37,722,787 Cash flows from investing activities: Purchases of investment properties (169,363,525) (102,052,438) Sale of investment property (409,946) 780,000 Purchases of office furniture and vehicles (473,939) (10,440) Investment in associates (729,246) - Net cash used in investing activities (170,976,656) (101,282,878) Cash flows from financing activities: Interest paid (21,584,182) (20,549,596) Loans obtained 100,000,000 - Loans paid (47,431,327) (2,300,976) Dividends paid (33,556,115) (31,326,933) Repurchase of treasury shares (36,415,845) - Payment of lease liabilities (355,155) (151,748) Net cash used in financing activities (39,342,624) (54,329,253)


 
5 June 30, 2025 (Unaudited) June 30, 2024 (Unaudited) Effects of exchange rates changes on cash 936,695 (6,335,317) Net decrease in cash, cash equivalents and restricted cash (118,881,792) (124,224,661) Cash, cash equivalents and restricted cash at the beginning of year 184,856,206 501,901,448 Cash, cash equivalents and restricted cash at the end of the period - Note 5 $ 65,974,414 $ 377,676,787 See accompanying notes to unaudited condensed consolidated interim financial statements.


 
6 Corporación Inmobiliaria Vesta, S. A. B. de C. V. and Subsidiaries Unaudited Notes to Condensed Consolidated Interim Financial Statements As of June 30, 2025, and December 31, 2024 and for the six-month periods ended June 30, 2025, and 2024 (In US dollars) 1. General information Corporación Inmobiliaria Vesta, S. A. B. de C. V. (“Vesta”) is a corporation incorporated in Mexico. The address of its registered office and principal place of business is Paseo de los Tamarindos 90, 28th floor, Mexico City. Vesta and subsidiaries (collectively, the “Entity”) are engaged in the development, acquisition and operation of industrial buildings and distribution facilities that are rented to corporations in eleven states throughout Mexico. 2. Application of new and revised International Financial Reporting Standards (IFRS) New and amended IFRS Accounting Standards that are effective for the current period There are no accounting pronouncements which have become effective from January 1, 2025, that have a significant impact on the Group’s interim condensed consolidated financial statements. 3. Material accounting policies a. Basis of preparation The unaudited condensed consolidated interim financial statements have been prepared on the historical cost basis except for investment properties and financial instruments that are measured at fair value at the end of each reporting period, as explained in the accounting policies below. i. Historical cost Historical cost is generally based on the fair value of the consideration given in exchange for goods and services. ii. Fair value Fair value is the price that would be received to sell an asset or paid to transfer a liability in an orderly transaction between market participants at the measurement date, regardless of whether that price is directly observable or estimated using another valuation technique. In estimating the fair value of an asset or a liability, the Entity takes into account the characteristics of the asset or liability if market participants would take those characteristics into account when pricing the asset or liability at the measurement date. Fair value for measurement and/or disclosure purposes in these unaudited condensed consolidated interim financial statements is determined on such a basis, except for share-based payment transactions that are within the scope of IFRS 2, Share-based Payments.


 
7 In addition, for financial reporting purposes, fair value measurements are categorized into Level 1, 2 or 3 based on the degree to which the inputs to the fair value measurements are observable and the significance of the inputs to the fair value measurement in its entirety, which are described as follows: • Level 1 inputs are quoted prices (unadjusted) in active markets for identical assets or liabilities that the entity can access at the measurement date; • Level 2 inputs are inputs, other than quoted prices included within Level 1, that are observable for the asset or liability, either directly or indirectly; and • Level 3 inputs are unobservable inputs for the asset or liability. iii. Going concern The unaudited condensed consolidated interim financial statements have been prepared by Management assuming that the Entity will continue to operate as a going concern. b. Interim financial condensed statements The accompanying unaudited condensed consolidated interim financial statements as of June 30, 2025 have been prepared in accordance with International Accounting Standard (“IAS”) 34, Interim Financial Reporting, and have not been audited. In the opinion of Entity management, all adjustments (consisting mainly of ordinary, recurring adjustments) necessary for a fair presentation of the accompanying condensed consolidated interim financial statements are included. The results of the periods are not necessarily indicative of the results for the full year. These unaudited condensed consolidated interim financial statements should be read in conjunction with the audited annual consolidated financial statements of the Entity and their respective notes for the year ended December 31, 2024. The accounting policies and methods of computation are consistent with the audited consolidated financial statements for the year ended December 31, 2024. c. Segment The Entity’s primary business is the acquisition, development, and management of industrial and distribution center real estate. Vesta manages its operations on an aggregated, single segment basis for purposes of assessing performance and making operating decisions and, accordingly, has only one reporting and operating segment. As of June 30, 2025 and December 31, 2024, all of our assets and operations are derived from assets located within Mexico. d. Financial liabilities All financial liabilities are measured subsequently at amortized cost using the effective interest method. Financial liabilities measured subsequently at amortized cost Financial liabilities (including borrowings) that are not (i) contingent consideration of an acquirer in a business combination, (ii) held-for-trading, or (iii) designated as at FVTPL, are measured subsequently at amortized cost using the effective interest method. The effective interest method is a method of calculating the amortized cost of financial liability and of allocating interest expense over the relevant period. The effective interest rate is the rate that exactly discounts estimated future cash payments (including all fees and expenses paid or received that form an integral part of the effective interest rate, transaction costs and other premiums or discounts) through the expected life of the financial liability, or (where appropriate) a shorter period, to the amortized cost of a financial liability.


 
8 For financial liabilities that are denominated in a foreign currency and are measured at amortized cost at the end of each reporting period, the foreign exchange gains and losses are determined based on the amortized cost of the instruments. These foreign exchange gains and losses are recognized in the ‘exchange (loss) gain - net’ line item in profit or loss for financial liabilities. Modification of contractual cash flows When the contractual cash flows of a financial instrument are modified and does not result in derecognition, differences between the recalculated gross carrying amount and the carrying amount before modification is recognized in profit or loss as modification gain or loss, at the date of modification. Financial liabilities linked to a sustainability factor ate accordingly, having no impact on profit or loss. For instruments where the sustainability factor is a non-financial variable, the Entity has determined that the definition of an embedded derivative is not met. When there are changes in cash flows resulting from changes in interest rates caused by the sustainability factor, the Entity revises the future cash flows and discounts them using the original effective interest rate. The difference between the carrying amount before the change and the remeasured carrying amount is recognized immediately in profit or loss. Derecognition of financial liabilities The Entity derecognizes financial liabilities when, and only when, the Entity’s obligations are discharged, cancelled or have expired. The difference between the carrying amount of the financial liability derecognized and the consideration paid and payable is recognized in profit or loss. When the Entity exchanges with the existing lender a debt instrument in another with substantially different terms, that exchange is accounted for as an extinction of the original financial liability and the recognition of a new financial liability. Similarly, the Entity considers the substantial modification of the terms of an existing liability or part of it as an extinction of the original financial liability and the recognition of a new liability. The terms are assumed to be substantially different if the discounted present value of the cash flows under the new terms, including any fees paid net of any fees received and discounted using the original effective rate, is at least 10% different from the current discounted rate. Value of the remaining cash flows of the original financial liability. If the modification is not material, the difference between: (1) the carrying amount of the liability before the modification; and (2) the present value of the cash flows after the modification should be recognized in profit or loss as the gain or loss from the modification within other gains and losses. The balance as of June 30, 2025, and December 2024 of short-term accounts payables was: June 30, 2025 (Unaudited) December 31, 2024 Construction in-progress (1) $ 5,990,555 $ 1,622,188 Land (2) - 7,431,219 Existing properties 2,534,965 4,217,995 Others accounts payables 1,278,607 922,898 $ 9,804,127 $ 14,194,300 (1) At the end of fiscal year 2024, the Entity began the construction of twelve investment properties. The amount represents the advances according to the construction contract, which will be paid during the first quarter of the following year. As of June 30, 2025, no construction was started. (2) During the third quarter of 2022 the Entity acquired a land reserve and signed promissory agreements for a total of $8,256,912 to be paid on quarterly installments of $91,744 starting March 2023 plus a final payment of $7,431,219 paid in June 2025.


 
9 4. Critical accounting judgments and key sources of estimation uncertainty In preparing these interim financial statements, management has made judgements and estimates that affect the application of accounting policies and the reported amounts of assets and liabilities, income and expense. Actual results may differ from these estimates. The significant judgements made by management in applying the Entity’s accounting policies and the key sources of estimation uncertainty were the same as those described in the last annual consolidated financial statements. 5. Cash, cash equivalents and restricted cash For purposes of the condensed consolidated interim statement of cash flows, cash and cash equivalents include cash on hand and in banks, including restricted cash. Cash and cash equivalents at the end of the reporting period as shown in the condensed consolidated interim statement of cash flows can be reconciled to the related items in the condensed consolidated interim statements of financial position as follows: June 30, 2025 (Unaudited) December 31, 2024 Cash and cash equivalents $ 65,154,005 $ 183,993,091 Restricted cash 85,097 127,803 65,239,102 184,120,894 Non-current restricted cash 735,312 735,312 Total $ 65,974,414 $ 184,856,206 Restricted cash represents balances held by the Entity that are only available for use under certain conditions pursuant to the loan agreements entered into by the Entity. Such conditions include payment of monthly debt service fee and compliance with certain covenants set forth in the loan agreement. These restrictions are classified according to their restriction period: less than 12 months and over one year, considering the period of time in which such restrictions are fulfilled. Non-current restricted cash was classified within guaranteed deposits made, restricted cash and others in the accompanying condensed consolidated interim statements of financial position. Non‑cash transactions Changes in liabilities arising from financing activities not requiring cash relate to a decrease for the amortization of debt issuance costs for $5,285,004 and $597,660 in the six-month periods ended June 30, 2025, and 2024, respectively. Unpaid dividends are included in Note 11.4. Other non-cash investing activities related to investment properties are included in Note 8. Additionally, the Entity recognized amortization of opening cost of a credit line for $278,158 and $247,316 in the six-month periods ended June 30, 2025, and 2024, respectively; included in security deposits made, restricted cash and others balance change. 6. Recoverable taxes June 30, 2025 (Unaudited) December 31, 2024 Recoverable value-added tax (“VAT”) $ 35,008,833 $ 32,763,309 Recoverable income taxes 24,552,307 20,014,044 Other receivables 44,929 55,292 $ 59,606,069 $ 52,832,645


 
10 7. Operating lease receivables, prepaid expenses and advance payments i. The aging profile of operating lease receivables as of the dates indicated below are as follows: June 30, 2025 (Unaudited) December 31, 2024 0-30 days $ 5,427,426 $ 3,926,519 30-60 days 128,819 12,684 60-90 days 220,443 109,356 Over 90 days 370,108 632,461 Total $ 6,146,796 $ 4,681,020 Pursuant to the lease agreements, rental payments should be received within 30 days following their due date; thereafter the payment is considered past due. As shown in the table above, 88% and 84% of all operating lease receivables are current as of June 30, 2025, and December 31, 2024, respectively. All rental payments past due are monitored by the Entity; for receivables outstanding from 30 to 90 days, efforts are made to collect payment from the respective client. Operating lease receivables outstanding for more than 30 days but less than 60 days represent 2% and 0.3% of all operating lease receivables as of June 30, 2025, and December 31, 2024, respectively. Operating lease receivables outstanding for more than 60 and less than 90 days represent 4% and 2% of all operating lease receivable as of June 30, 2025, and December 31, 2024, respectively. Operating lease receivables outstanding greater than 90 days represent 6% and 14% of all operating lease receivable as of June 30, 2025, and December 31, 2024, respectively. ii. Movement in the allowance for doubtful accounts receivable Lifetime ECL represents the expected credit losses that will result from all possible default events over the expected life of the operating lease receivable. The following table shows the movement in expected credit losses that has been recognized for the lease receivable: Amounts Balance as of January 1, 2024 $ 2,536,893 Increase in loss allowance recognized in the period 255,796 Decrease in loss allowance from derecognition of financial assets in the period (1,091,815) Balance as of June 30, 2024 (Unaudited) 1,700,874 Balance as of January 1, 2025 2,042,188 Increase in loss allowance recognized in the period 980,540 Decrease in loss allowance from derecognition of financial assets in the period (393,853) Balance as of June 30, 2025 (Unaudited) $ 2,628,875 iii. Client concentration risk As of June 30, 2025, and December 31, 2024, one of the Entity’s client accounts represents for 66% or $4,065,315 (Unaudited) and 63% or $2,970,380 respectively, of the operating lease receivables balance. The same client accounted for 4% (Unaudited) and 5% (Unaudited) of the total rental income of Entity for the six-months period ended June 30, 2025, and 2024, respectively. No other client accounted for more than 10% of the total rental income of the Entity for the six-month periods ended June 30, 2025, and 2024.


 
11 iv. Leasing agreements Operating leases relate to non-cancellable lease agreements over the investment properties owned by the Entity, which generally have terms ranging between 5 to 15 years, with options to extend the term up to a total term of 20 years. Rents are customarily payable on a monthly basis and are adjusted annually according to applicable inflation indices (US and Mexican inflation indices). Security deposits are typically equal to one or two months’ rent. Obtaining property insurance (third party liability) and operating maintenance are obligations of the tenants. All lease agreements include a rescission clause that entitles the Entity to collect all unpaid rents during the remaining term of the lease agreement in the event that the client defaults in its rental payments, vacates the properties, terminates the lease agreement or enters into bankruptcy or insolvency proceedings. All lease agreements are classified as operating leases and do not include purchase options. v. Non-cancellable operating lease receivables Future minimum lease payments receivable under non-cancellable operating lease agreements are as follows: June 30, 2025 (Unaudited) December 31, 2024 Not later than 1 year $ 255,759,917 $ 245,419,836 Later than 1 year and not later than 3 years 435,622,033 408,682,758 Later than 3 year and not later than 5 years 416,664,559 389,084,863 Later than 5 years 240,289,524 222,656,368 $ 1,348,336,033 $ 1,265,843,825 vi. Prepaid expenses, advance payments and other receivables June 30, 2025 (Unaudited) December 31, 2024 Other accounts receivables (1) 849,671 814,508 Property expenses 5,350,812 498,874 Prepaid expenses 1,489,436 806,163 $ 7,689,919 $ 2,119,545 (1) This amount relates to non-tenant improvements carried out by Vesta in Querétaro Industrial Park and other tenants that remain pending to be collected as of June 30, 2025, and December 31,2024, respectively. 8. Investment properties The Entity uses external appraisers to determine the fair value of its investment properties. The external appraisers hold recognized and relevant professional qualifications and have vast experience in the types of investment properties owned by the Entity. The external appraisers use valuation techniques such as the discounted cash flows approach, replacement cost approach and income cap rate approach. The techniques used to estimate the fair value of the Entity’s investment properties include assumptions, many of which are not directly observable in the market. These assumptions include discount rates, exit cap rates, long-term NOI, inflation rates, absorption periods, and market rents.


 
12 The values, determined by the external appraisers at each reporting date, are recognized as the fair value of the Entity’s investment properties at such date. The appraisers use a discounted cash flow approach to determine the fair value of land and buildings (using the expected net operating income (“NOI”) of the investment property) and a market approach to determine the fair value of land reserves. Gains or losses arising from changes in the fair values are included in the consolidated statements of profit or loss and other comprehensive (loss) income in the period in which they arise. The Entity’s investment properties are located in Mexico, and they are classified as Level 3 in the IFRS fair value hierarchy. The following table provides information about how the fair values of the investment properties are determined (in particular, the valuation technique and inputs used). Property Fair value hierarchy Valuation techniques Significant unobservable inputs Value/range (Unaudited) Relationship of unobservable inputs to fair value Buildings and land Level 3 Discounte d cash flows Discount rate Q2 2025: 8.00% to 12.21% 2024: 7.25% to 12.26% The higher the discount rate, the lower the fair value. Exit cap rate Q2 2025: 6.50% to 9.00% 2024: 6.50% to 9.25% The higher the exit cap rate, the lower the fair value Long-term NOI Based on contractual rent and then on market related rents The higher the NOI, the higher the fair value. Inflation rates Mexico: Q2 2025: 3.61% to 4.00% 2024: 3.64% to 4.00% U.S.: Q2 2025: 2.20% to 3.00% 2024: 2.30% to 3.00% The higher the inflation rate, the higher the fair value. Absorption period 12 months on average The shorter the absorption period, the higher the fair value. Market Related rents Depending on the park/state The higher the market rent, the higher the fair value Land reserves Level 3 Market value Price per acre Weighted average price per acre is $220,793 in Q2 2025, $173,772 in 2024 The higher the price, the higher the fair value. The table below sets forth the aggregate values of the Entity’s investment properties for the years indicated: June 30, 2025 (Unaudited) December 31, 2024 Buildings and land $ 3,708,445,000 $ 3,686,540,000 Land improvements 769,567 769,567 Land reserves 207,011,606 114,321,825 3,916,226,173 3,801,631,392 Less: Cost to conclude construction in-progress (57,249,784) (104,863,123) Balance at end of period $ 3,858,976,389 $ 3,696,768,269


 
13 The reconciliation of investment property is as follows: June 30, 2025 (Unaudited) December 31, 2024 Balance at beginning of year $ 3,696,768,269 $ 3,212,164,164 Additions 165,542,276 232,948,847 Foreign currency translation effect 5,299,439 (16,639,636) Disposal of investment properties - (2,452,767) Derecognition due to loss of investment properties (409,946) - (Loss) gain on revaluation of investment property (8,223,649) 270,747,661 Balance at end of period $ 3,858,976,389 $ 3,696,768,269 A total of $8,525,521 and $23,277,200 additions to investment property related to land reserves, existing properties and new buildings acquired from third parties that were not paid as of June 30, 2025, and 2024, respectively, and were therefore excluded from the condensed consolidated statements of cash flows for those periods. On April 7, 2025, the Entity recognized a loss related to the investment properties in Baja California, the cost associated with the sinister was $409,946. On January 24, 2024, the Entity sold a land reserve located in Queretaro totaling 64,583 square feet for $780,000, the cost associated with the sales was $530,000, generating a gain in sale of investment property of $250,000. Additionally, the Entity sold a land reserve located in Aguascalientes, totaling 699,654 square feet, for $4,290,000. The cost associated with this sale was $1,922,767, resulting in a gain of $2,367,233. Some of the Entity’s investment properties have been pledged as collateral to secure its long-term debt. 9. Entity as lessee 1. Right-of-use: Right-of-use January 1, 2025 Additions Disposals June 30, 2025 (Unaudited) Office space $ 2,552,121 $ - $ - $ 2,552,121 Vehicles and office equipment 1,154,358 204,931 - 1,359,289 Cost of right-of-use $ 3,706,479 $ 204,931 $ - $ 3,911,410 Depreciation of right-of-use Office space $ (2,395,065) $ (148,940) $ - $ (2,544,005) Vehicles and office equipment (777,622) (145,779) - (923,401) Accumulated depreciation (3,172,687) (294,719) - (3,467,406) Total $ 533,792 $ (89,788) $ - $ 444,004 Rights to use January 1, 2024 Additions Disposals June 30, 2024 (Unaudited) Office space $ 2,552,121 $ - $ - $ 2,552,121 Vehicles and office equipment 791,773 - - 791,773 Cost of rights-of-use 3,343,894 - - 3,343,894


 
14 Depreciation of rights-of-use January 1, 2024 Additions Disposals June 30, 2024 (Unaudited) Office space $ (1,961,025) (110,226) $ - $ (2,071,251) Vehicles and office equipment (548,670) (30,390) - (579,060) Accumulated depreciation (2,509,695) (140,616) - (2,650,311) Total $ 834,199 $ (140,616) $ - $ 693,583 2. Lease obligations: January 1, 2025 Additions Disposals Interests accrued Repayments June 30, 2025 (Unaudited) Lease liabilities $ 558,116 $ 204,931 $ - $ 31,742 $ (355,155) $ 439,634 January 1, 2024 Additions Disposals Interests accrued Repayments June 30, 2024 (Unaudited) Lease liabilities $ 897,651 $ - $ - $ 18,332 $ (170,080) $ 745,903 3. Analysis of maturity of liabilities by lease: Finance lease liabilities June 30, 2025 (Unaudited) December 31, 2024 Not later than 1 year $ 278,074 $ 445,054 Later than 1 year and not later than 5 years 215,918 161,166 493,992 606,220 Less: future finance cost (54,358) (48,104) Total lease liability $ 439,634 $ 558,116 Finance lease – short-term $ 239,593 $ 408,373 Finance lease – long-term 200,041 149,743 Total lease liability $ 439,634 $ 558,116 10. Long-term debt On December 18, 2024, Vesta closed the previously announced $545,000,000 Global Syndicated Sustainable Credit Facility (the "Facility") comprised of a $345,000,000 term loan available through two tranches, for three and five years, with an 18-month availability period and a $200,000,000 Revolving Credit Facility, substituting the Company’s prior $200,000,000 in-place un-drawn Revolving Credit Facility. The International Finance Corporation (IFC), BBVA, Citigroup, and Santander acted as Joint Lead Arrangers of the transaction. Tranche I - Three-year $172,500,000 Term Loan, at the equivalent coupon of SOFR plus a 130 basis points applicable margin. Tranche II - Five-year $172,500,000 Term Loan at the equivalent coupon of SOFR plus a 150 basis points applicable margin. Revolving Credit Facility – Four-year $200,000,000 facility at the equivalent coupon of SOFR plus a 150 basis points applicable margin. The three tranches of the Credit Facility are subject to a sustainability pricing adjustment to the applicable margins, equivalent to a reduction of five basis points, which is subject to Vesta’s compliance of its annual KPI target related to the total certified gross leasable area of the Company´s sustainability certified buildings. Vesta paid debt issuance costs in an amount of $5,563,162. On April 8, 2025, the Entity drew $100,000,000 from its term loan facility in two tranches of $50,000,000 each.


 
15 On May 13, 2021, the Entity offered $350,000,000 of Senior Notes (“Vesta ESG Global bond 35/8 05/31”) which matures on May 13, 2031. The notes bear annual interest at a rate of 3.625%. The cost of such debt issuance was $7,746,222. On June 25, 2019, the Entity entered into a 10-year senior notes series RC and 12-year senior notes series RD with various financial institutions, for and aggregated amounts of $70,000,000 and $15,000,000, respectively. Each series RC notes and Series RD notes bear interest on the unpaid balance at the rates of 5.18% and 5.28%, respectively. On May 31, 2018, the Entity entered into an agreement for the issuance and sale of Series A Senior Notes of $45,000,000 due on May 31, 2025, and Series B Senior Notes of $45,000,000 due on May 31, 2028. Each Series A Note and Series B Note bear interest on the unpaid balance at the rates of 5.50% and 5.85%, respectively. On November 1st, 2017, the Entity entered into a loan agreement with Metropolitan Life Insurance Company for $118,000,000 due on December 1st, 2027. This loan bears monthly interest at a rate of 4.75%. On September 22, 2017, the Entity entered into an agreement for an issuance and sale Series A Senior Notes of $65,000,000 due on September 22, 2024, and Series B Senior Notes of $60,000,000 due on September 22, 2027. Each Series A Note and Series B Note bear interest on the unpaid balance of such Series A Note and Series B Note at the rates of 5.03% and 5.31%, respectively, per annum payable semiannually on the September 22 and March 22 of each year. In August 2024, The Entity pay the principal of Seria A Senior Notes according to the agreement. On July 27, 2016, the Entity entered into a 10-year loan agreement with Metropolitan Life Insurance Company (“MetLife”) for a total amount of $150,000,000 due in August 2026. The long-term debt is comprised by the following notes: Loan Amount Annual interest rate Monthly amortization Maturity June 30, 2025 (Unaudited) December 31, 2024 MetLife 10-year 150,000,000 4.55% (1) August 2026 $ 140,353,517 $ 141,711,651 Series B Senior Note 60,000,000 5.31% (3) September 2027 60,000,000 60,000,000 Series A Senior Note 45,000,000 5.50% (3) May 2025 - 45,000,000 Series B Senior Note 45,000,000 5.85% (3) May 2028 45,000,000 45,000,000 MetLife 10-year 118,000,000 4.75% (2) December 2027 101,494,719 102,334,454 MetLife 8-year 26,600,000 4.75% (1) August 2026 24,950,022 25,183,482 Series RC Senior Note 70,000,000 5.18% (4) June 2029 70,000,000 70,000,000 Series RD Senior Note 15,000,000 5.28% (5) June 2031 15,000,000 15,000,000 Vesta ESG Global bond 35/8 05/31 350,000,000 3.63% (6) May 2031 350,000,000 350,000,000 Facility – Tranche I 50,000,000 SOFR + 130 bp (7) December 2027 50,000,000 - Facility – Tranche II 50,000,000 SOFR + 150 bp (7) December 2029 50,000,000 - 906,798,258 854,229,587 Less: Current portion (4,970,189) (49,856,047) Less: Direct issuance cost (6,440,449) (7,178,913) Total Long-term debt $ 895,387,620 $ 797,194,627 (1) On July 22, 2016, the Entity entered into a 10-year loan agreement with MetLife, interest on this loan is paid on a monthly basis. In March 2021, under this credit facility, an additional loan was contracted for $26,600,000 bearing interest on a monthly basis at a fixed interest rate of 4.75%. Principal amortization over the two loans commenced on September 1, 2023. This credit facility is guaranteed with 48 of the Entity’s properties.


 
16 (2) On November 1, 2017, the Entity entered into a 10-year loan agreement with MetLife, interest on this loan is paid on a monthly basis. The loan bears monthly interest only for 60 months and thereafter monthly amortizations of principal and interest until it matures on December 1, 2027. This loan is secured by 19 of the Entity’s investment properties under a Guarantee Trust. On November 28, 2023, the Entity prepaid $12,194,600 associated with the sale of one investment property under the Guarantee trust. (3) Series A Senior Notes and Series B Senior Notes are not secured by investment properties of the Entity. The interest on these notes is paid on a monthly basis. The first tranche of Series A Senior Notes amounting to $65,000,000 was settled in August 2024. As of December 31, 2024, the second tranche, amounting to $45,000,000 and maturing in May 2025 was classified in the current portion of long-term debt and settled in advance in March 2025. (4) On June 25, 2019, the Entity entered into a 10-year senior notes series RC to various financial institutions, interest on these loans is paid on a semiannual basis beginning on December 14, 2019. The note payable matures on June 14, 2029. Five of its subsidiaries are jointly and severally liable to repay these notes. (5) On June 25, 2019, the Entity entered into a 12-year note payable to various financial institutions, interest on these loans is paid on a semiannual basis beginning December 14, 2019. The note payable matures on June 14, 2031. Five of its subsidiaries are jointly and severally liable to repay these notes. (6) On May 13, 2021, the Entity offered $350,000,000 Senior Notes, Vesta ESG Global bond 35/8 05/31 with maturity on May 13, 2031. Interest is paid on a semiannual basis. The cost incurred for this issuance was $7,746,222. (7) On April 8, 2025, the Entity executed a drawdown of $100,000,000 from the Facility loan, apportioned into two tranches of $50,000,000 each, with maturities of three and five years, respectively. As of June 30, 2025, the amortization of the associated debt issuance costs amounted to $278,158. These credit agreements require the Entity to maintain certain financial and to comply with certain affirmative and negative covenants. The Entity is in compliance with such covenants as of June 30, 2025. The credit agreements also entitle MetLife to withhold certain amounts deposited by the Entity in a separate fund as guarantee deposits for the debt service and tenants guarantee deposits of the Entity’s investment properties pledged as collateral. Such amounts are presented as guaranteed deposit assets in the condensed consolidated interim statement of financial position. 11. Capital stock 1. Capital stock as of June 30, 2025, and December 31, 2024, is as follows: June 30, 2025 (Unaudited) December 31, 2024 Number of shares Amount Number of shares Amount Fixed capital Series A 5,000 $ 3,696 5,000 $ 3,696 Variable capital Series B 846,012,932 579,974,484 857,129,276 585,483,561 Total 846,017,932 $ 579,978,180 857,134,276 $ 585,487,257


 
17 2. Shares in treasury As of June 30, 2025, and December 31, 2024, total shares holding in treasury are as follows: June 30, 2025 (Unaudited) December 31, 2024 Shares in treasury (1) 29,870,992 18,937,036 Shares in long term incentive plan trust (2) 8,667,693 8,415,124 Total share in treasury 38,538,685 27,352,160 (1) Treasury shares are not included in the Total Capital Stock of the Entity, they represent the total stock outstanding under the repurchase program approved by the resolution of the general ordinary stockholders meeting on March 13, 2020. (2) Shares in long-term incentive plan trust are not included in the Total Capital Stock of the Entity. The trust was established in 2018 in accordance with the resolution of the general ordinary stockholders meeting on January 6, 2015, as the 20-20 Long Term Incentive Plan, this compensation plan was extended for the period 2021 to 2025, “Long Term Incentive Plan” by a resolution of the general ordinary stockholders meeting on March 13, 2020. Such trust was created by the Entity as a vehicle to distribute shares to employees under the mentioned incentive plan (see Note 19 and is consolidated by the Entity. The shares granted to the eligible executives and deposited in the trust accrue dividends for the employee any time the ordinary shareholders receive dividends and those dividends do not need to be returned to the Entity if the executive forfeits the granted shares. 3. Fully paid ordinary shares Number of shares Capital stock Additional paid-in capital Balance as of January 1, 2024 $ 870,109,128 $ 591,600,113 $ 934,944,456 Vested shares 4,257,018 2,475,270 6,355,460 Repurchase of shares (17,231,870) (8,588,126) (35,577,664) Balance as of December 31, 2024 857,134,276 585,487,257 905,722,252 Vested shares 4,227,426 2,045,268 6,964,825 Share-based payments 126,226 65,627 283,509 Repurchase of shares (15,469,996) (7,619,972) (28,795,873) Balance as of June 30, 2025 (Unaudited) $ 846,017,932 $ 579,978,180 $ 884,174,713 4. Dividend payments Pursuant to a resolution of the General Ordinary Stockholders Meeting on March 19, 2025, the Entity declared dividends totaling $69,537,973, approximately $0.018 per share, to be paid in four equal installments of $17,384,493 each. The first installment was paid on April 15, 2025. As of June 30, 2025, the remaining unpaid dividend, amounting to $52,153,480, will be paid in three installments on July 15, 2025, October 15, 2025, and January 19, 2026 Pursuant to a resolution of the General Ordinary Stockholders Meeting on March 30, 2024, the Entity declared dividends totaling $64,686,487, approximately $0.018 per share, to be paid in four equal installments of $16,171,622 each. The first three installments were paid on April 16, 2024, July 15, 2024, and October 15, 2024. As of December 31, 2024, the remaining unpaid dividend amounts to $16,171,622 and was paid on January 15, 2025.


 
18 5. Earnings per share For the six-month period ended June 30, 2025 (Unaudited) June 30, 2024 (unaudited) Basic earnings per share: Earnings attributable to ordinary share to outstanding $ 42,640,071 $ 234,173,128 Weighted average number of ordinary shares outstanding 851,611,853 874,198,251 Basic earnings per share $ 0.0501 $ 0.2679 For the six-month period ended June 30, 2025 (Unaudited) June 30, 2024 (Unaudited) Diluted earnings per share: Earnings attributable to ordinary shares outstanding and shares in Incentive Plan Trust $ 42,640,071 $ 234,173,128 Weighted average number of ordinary shares plus shares in Incentive Plan trust 863,037,775 885,680,777 Diluted earnings per share $ 0.0494 $ 0.2644 12. Rental income For the six-month period ended For the three-month period ended June 30, 2025 (Unaudited) June 30, 2024 (Unaudited) June 30, 2025 (Unaudited) June 30, 2024 (Unaudited) Rents $ 122,811,628 $ 113,478,210 $ 62,239,443 $ 57,668,018 Reimbursable building services 7,457,902 6,830,343 3,167,518 3,309,085 Energy income 4,043,084 2,884,187 1,867,173 2,037,764 Total rental income $ 134,312,614 $ 123,192,740 $ 67,274,134 $ 63,014,867 13. Property operating costs and administration expenses 1. Property operating costs consist of the following: a. Direct property operating costs from investment properties that generate rental income during the period: For the six-month period ended For the three-month period ended June 30, 2025 (Unaudited) June 30, 2024 (Unaudited) June 30, 2025 (Unaudited) June 30, 2024 (Unaudited) Real estate tax $ 1,769,766 $ 1,583,226 $ 929,201 $ 804,141 Insurance 755,407 696,338 399,191 349,458 Maintenance 888,748 990,506 584,968 713,190 Structural maintenance accrual - 59,072 - 31,034 Other property related expenses 2,950,607 2,419,776 1,671,985 1,401,123 Energy costs 3,683,251 3,513,725 2,016,592 2,047,209 $ 10,047,779 $ 9,262,643 $ 5,601,937 $ 5,346,155


 
19 b. Direct property operating costs from investment property that do not generate rental income during the period: For the six-month period ended For the three-month period ended June 30, 2025 (Unaudited) June 30, 2024 (Unaudited) June 30, 2025 (Unaudited) June 30, 2024 (Unaudited) Real estate tax $ 274,200 $ 269,744 $ 142,637 $ 142,125 Insurance 44,782 25,263 21,877 12,121 Maintenance 259,452 237,454 176,115 162,846 Other property related expenses 1,101,325 900,644 580,431 529,248 1,679,759 1,433,105 921,060 846,340 Total property operating costs $ 11,727,538 $ 10,695,748 $ 6,522,997 $ 6,192,495 2. General and administrative expenses consist of the following: For the six-month period ended For the three-month period ended June 30, 2025 (Unaudited) June 30, 2024 (Unaudited) June 30, 2025 (Unaudited) June 30, 2024 (Unaudited) Employee annual salary plus short-terms benefits $ 7,709,833 $ 8,134,150 $ 3,623,814 $ 3,981,236 Other administrative expenses 2,356,474 1,884,695 1,240,214 1,379,172 Auditing, legal and consulting expenses 1,171,061 1,383,635 557,738 609,386 Property appraisal and other fees 294,671 305,662 148,267 153,219 Marketing expenses 384,275 515,456 259,937 377,818 Other 70,821 248,450 65,672 (111,026) 11,987,135 12,472,048 5,895,642 6,389,805 For the six-month period ended For the three-month period ended June 30, 2025 (Unaudited) June 30, 2024 (Unaudited) June 30, 2025 (Unaudited) June 30, 2024 (Unaudited) Depreciation 749,170 473,738 112,517 146,099 Share-based compensation expense - Note 19.4 4,628,849 4,804,613 2,432,393 2,657,700 Total general and administrative expenses $ 17,365,154 $ 17,750,399 $ 8,440,552 $ 9,193,604 14. Other income For the six-month period ended For the three-month period ended June 30, 2025 (Unaudited) June 30, 2024 (Unaudited) June 30, 2025 (Unaudited) June 30, 2024 (Unaudited) Non-tenant electricity income $ 1,472,267 $ 1,856,276 $ 896,675 $ 1,043,386 Insurance 969,032 17,708 - 6,764 Inflationary effect on tax recovery 190 88,487 - 17,554 Others 17,407 73,305 (952) 72,403 Total $ 2,458,896 $ 2,035,776 $ 895,723 $ 1,140,107


 
20 15. Other expenses For the six-month period ended For the three-month period ended June 30, 2025 (Unaudited June 30, 2024 (Unaudited June 30, 2025 (Unaudited) June 30, 2024 (Unaudited) Non-tenant electricity expense $ 1,302,306 $ 1,683,890 $ 856,228 $ 771,681 Commissions paid 86,749 109,535 27,308 47,748 Others 40,494 1,622,246 27,451 1,485,689 Total $ 1,429,549 $ 3,415,671 $ 910,987 $ 2,305,118 16. Finance cost For the six-month period ended June 30, 2025 (Unaudited) June 30, 2024 (Unaudited) Interest on loans and others $ 21,155,406 $ 21,324,555 Loan prepayment fees 1,016,620 1,139,634 Total $ 22,172,026 $ 22,464,189 17. Income taxes The Entity is subject to Current Income Tax (“ISR”). The rate of ISR was 30%. Income tax expense is recognized at an amount determined by multiplying the profit before tax for the interim reporting period by management’s best estimate of the weighted-average annual income tax rate expected for the full financial year, adjusted for the tax effect of certain items recognized in full in the interim period. As such, the effective tax rate in the interim financial statements may differ from management’s estimate of the effective tax rate for the annual financial statements. The Entity’s consolidated effective tax rate for the six-month period ended June 30, 2025, y 2024 (Unaudited) was 48.7% and 17.1%, respectively. The effective ISR rates for fiscal period ended Jun 30, 2025, and December 2024 differ from the statutory rate as follows: June 30, 2025 (Unaudited) December 31, 2024 Statutory rate 30% 30% Effects of exchange rates on tax balances 23% 22% Effects of inflation (4%) (4%) Effective rate 49% 48% 18. Transactions and balances with related parties Compensation of key management personnel The remuneration of Entity’s management and key executives is determined by the remuneration committee taking in to account the individual performance of the officer and market trends. The performance bonus elected forshare-based compensation includes a 20% premium (Equity plus).


 
21 The following table details the general and administrative expense of the annual salary plus short-term benefits as well as the Long-term incentive plan and Equity plus that are reflected in the general and administrative expense of the Entity: For the six-month period ended For the three-month period ended June 30, 2025 (Unaudited) June 30, 2024 (Unaudited) June 30, 2025 (Unaudited) June 30, 2024 (Unaudited) Short-term benefits $ 3,366,960 $ 3,644,834 $ 1,689,160 $ 1,848,113 Share-based compensation expense 4,628,849 4,804,613 2,432,393 2,657,700 $ 7,995,809 $ 8,449,447 $ 4,121,553 $ 4,505,813 Number of key executives 25 24 25 24 19. Share-based payments 19.1 Share units granted during the period Vesta Long Term Incentive Plan - a total of 3,978,481 and 3,722,427 shares were granted during the six-months periods ended June 30, 2025, and 2024, respectively (unaudited). During the three-months period ended March 31, 2025, Vesta granted a total of 126,228 shares to its board members as compensation for services provided during the prior year. 19.2 Share units vested during the period A total of 4,353,652 and 4,257,018 shares vested during the six-month periods ended Jun 30, 2025, and 2024, respectively under the Vesta Long Term Incentive Plan, the short-term incentive plan and the shares to its board members (unaudited). 19.3 Share awards outstanding at the end of the period As of Jun 30, 2025, and December 31, 2024, there are 8,597,214 (unaudited) and 8,415,124 shares outstanding with a weighted average remaining contractual life of 24 months. 19.4 Compensation expense recognized The long-term incentive expense for the six months ended June 30, 2025, and 2024 was as follows: For the six-month period ended For the three-month period ended June 30, 2025 (Unaudited) June 30, 2024 (Unaudited) June 30, 2025 (Unaudited) June 30, 2024 (Unaudited) Vesta 20-20 Incentive Plan $ 4,628,849 $ 4,804,613 $ 2,432,393 $ 2,657,700 Compensation expense related to these plans will continue to be accrued through the end of the service period. 20. Interest rate risk management The Entity minimizes its exposure to interest rate risk by borrowing funds at fixed rates. This minimizes interest rate risk together with the fact that properties owned by the Entity generate a fixed income in the form of rental income which is indexed to inflation.


 
22 21. Litigation and commitments Litigation In the ordinary course of business, the Entity is party to various legal proceedings. The Entity is not involved in any litigation or arbitration proceeding for which the Entity believes it is not adequately insured or indemnified, or which, if determined adversely, would have a material adverse effect on the Entity or its financial position, results of operations or cash flows. Commitments All rights to construction, improvements and infrastructure built by the Entity in the Queretaro Aerospace Park and in the DSP Park automatically revert back to the government of the State of Queretaro and to Nissan at the end of the concessions, which is approximately in 40 and 33 years, respectively. 22. Events after the reporting period The second installment of the 2025 declared dividends was paid on July 15, 2025, by approximately $0.0814 per share, for a total dividend of $17,384,493. The Entity invest in an associate company approximately $732,166 on April 2025, for development and management energy assets. 23. Condensed consolidated interim financial statements issuance authorization The accompanying condensed consolidated interim financial statements were approved by the Board of Directors on July 24, 2025. * * * * *