UNITED STATES
SECURITIES AND EXCHANGE COMMISSION
Washington, D.C. 20549
FORM 8-K
CURRENT REPORT
PURSUANT TO SECTION 13 OR 15(D)
OF THE SECURITIES EXCHANGE ACT OF 1934
Date of Report: April 3, 2025
AGAPE ATP CORPORATION
(Exact name of registrant as specified in its charter)
| Nevada | 001-41835 | 36-4838886 | ||
| (State or other jurisdiction | (Commission | (IRS Employer | ||
| of incorporation) | File Number) | Identification No.) |
1705 – 1708, Level 17, Tower 2, Faber Towers, Jalan Desa Bahagia,
Taman Desa, Kuala Lumpur, Malaysia 58100
(Address of principal executive offices) (Zip Code)
+(60) 192230099
(Registrant’s telephone number, including area code)
N/A
(Former name or former address, if changed since last report.)
Check the appropriate box below if the Form 8-K filing is intended to simultaneously satisfy the filing obligation of the registrant under any of the following provisions (see General Instruction A.2. below):
| ☐ | Written communications pursuant to Rule 425 under the Securities Act (17 CFR 230.425) |
| ☐ | Soliciting material pursuant to Rule 14a-12 under the Exchange Act (17 CFR 240.14a-12) |
| ☐ | Pre-commencement communications pursuant to Rule 14d-2(b) under the Exchange Act (17 CFR 240.14d-2(b)) |
| ☐ | Pre-commencement communications pursuant to Rule 13e-4(c) under the Exchange Act (17 CFR 240.13e-4(c)) |
Securities registered pursuant to Section 12(b) of the Act:
| Title of each class | Trading Symbol(s) | Name of each exchange on which registered | ||
| Common Stock, par value $0.0001 per share | ATPC | NASDAQ Capital Market |
Indicate by check mark whether the registrant is an emerging growth company as defined in Rule 405 of the Securities Act of 1933 (§230.405 of this chapter) or Rule 12b-2 of the Securities Exchange Act of 1934 (§240.12b-2 of this chapter).
Emerging Growth Company ☐
If an emerging growth company, indicate by check mark if the registrant has elected not to use the extended transition period for complying with any new or revised financial accounting standards provided pursuant to Section 13(a) of the Exchange Act. ☐
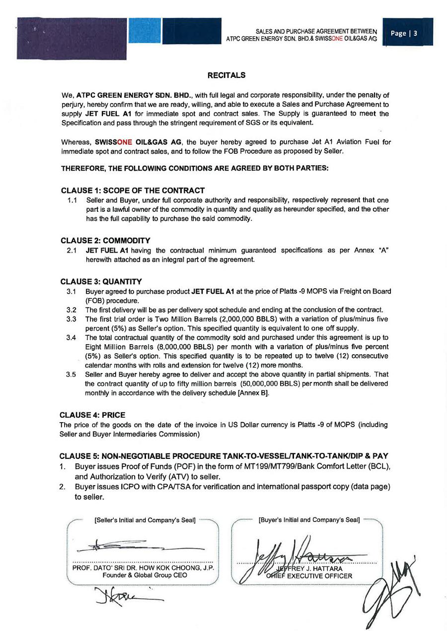
Item 1.01 Entry into a Material Definitive Agreement
As previously disclosed, on February 24, 2025, Agape ATP Corporation (the “Company”) issued a press release announcing a strategic partnership to enhance oil and gas sales and purchase operations.
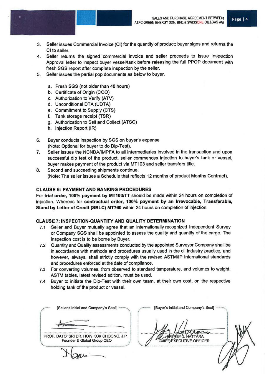
On March 29, 2025, the Company, through its subsidiary ATPC Green Energy Sdn. Bhd. (“ATPC Green Energy”), entered into two Sales and Purchase Agreements (together, the “SPAs”) with Swiss One Oil & Gas AG, for the sales and purchase of Jet Fuel A1 and EN590 10PPM Diesel, respectively.
On April 3, 2025, the Company issued a press release (the “Press Release”) announcing the entry into the SPAs. The Press Release and a copy of the SPA is furnished as Exhibit 99.2, 99.3 and 99.4, respectively to this Current Report on Form 8-K and incorporated herein by reference.
Exhibit Index
| Exhibit No. | Description | |
| 99.1* | Press Release dated February 24, 2025 | |
| 99.2 | Press Release dated April 3, 2025 | |
| 99.3 | Form of Sales and Purchase Agreement between ATPC Green Energy Sdn. Bhd. and Swiss One Oil & Gas AG for Jet Fuel A1 | |
| 99.4 | Form of Sales and Purchase Agreement between ATPC Green Energy Sdn. Bhd. and Swiss One Oil & Gas AG for EN590 10PPM Diesel | |
| 104 | Cover Page Interactive Data File (embedded within the Inline XBRL document) |
*Previously Filed
|
|
SIGNATURE
Pursuant to the requirements of the Securities Exchange Act of 1934, the registrant has duly caused this report to be signed on its behalf by the undersigned hereunto duly authorized.
| AGAPE ATP CORPORATION | ||
| Date: April 3, 2025 | By: | /s/ How Kok Choong |
| Name: | How Kok Choong | |
| Title: | Chief Executive Officer, President, Director, Secretary and Treasurer (Principal Executive Officer) | |
|
|
Exhibit 99.2


Agape ATP Corporation Secured Landmark Jet Fuel Supply Agreement with Swiss One Oil & Gas AG
Strategic partnership positions ATPC for long-term growth in the global energy market
KUALA LUMPUR, 3 APRIL 2025 – NASDAQ-listed AGAPE ATP Corporation (“ATPC”) through its subsidiary ATPC Green Energy Sdn. Bhd. (“ATPC Green Energy”), has entered into two Sales and Purchase Agreements (“SPAs”) with an aggregate value of approximately USD 24 billion with Swiss One Oil & Gas AG (“Swiss One”).
This SPAs build upon an earlier Initial Corporate Purchase Order (“ICPO”) signed in February 2025, which laid the foundation for the procurement and supply of refined fuels, including Jet Fuel A1 and EN590 10PPM diesel. The ICPO covered a trial shipment of 100,000 metric tonnes of EN590 10PPM diesel and one million barrels of Jet Fuel A1. The successful completion of this phase has now led to long-term structured agreements between the parties.
Under the terms of the SPAs, ATPC Green Energy will supply EN590 10PPM diesel and Jet Fuel A1 to Swiss One over a 12-month period plus rolls and extensions, with an initial trial order comprising 200,000 metric tonnes of EN590 10PPM diesel and 2 million barrels of Jet Fuel A1. The trial shipment is scheduled to commence in March 2025. Upon successful completion of the trial, the contract will transition into full-scale supply, with weekly deliveries of 500,000 metric tonnes of EN590 10PPM diesel and 2 million barrels of Jet Fuel A1 to meet growing global demand.
All deliveries will be executed through Free on Board (“FOB”) procedures at major international ports, ensuring seamless logistics and adherence to international trade protocols. The agreement also maintains compliance with global quality standards, with SGS or equivalent inspection authorities conducting independent quality assessments to ensure that the fuel meets ASTM/IP international standards.
|
(L-R, front row): Prof. Dr. Md Nasir Ibrahim, GM of Golden Pristine Synergy; Prof. Dato’ Sri Dr. How Kok Choong, Founder & Group CEO of ATPC; Jeffrey Hattara, CEO, and Magedaragamage, Consultant of Swiss One Oil & Gas AG.
(L-R, back row): Dr. Vong John Hing, Deputy Chairman, and Dr. Fernando Cortizo, Executive Director, ATPC. (link) |
Prof Dato’ Sri Dr How Kok Choong, the Founder and Global Group CEO of ATPC said, “Our initial ICPO with Swiss One Oil & Gas AG was a crucial step in trust and operational efficiency in the oil and gas sector. The transition to a full-scale SPA reflects the confidence and trust built between our organizations and positions ATPC as a reliable supplier capable of meeting high-volume fuel demands with consistency and quality assurance.” |
Jeff Hattara, CEO of Swiss One Oil and Gas said, “I would like to express my gratitude to Mr. Steven Huffman, President and Director of Swiss One Oil & Gas Asia Pacific Operations as well as Mr. Magedaragamage, consultant to Swiss One Oil & Gas for their efforts and assistance in Agape venture. Both Mr. Huffman and Mr. Magedaragamage will be onsite to work alongside Agape with the logistics and future operations.”
With this strategic partnership, ATPC reinforces its commitment to enhancing its energy trading portfolio, expanding its market reach, and securing sustainable business growth. This move is expected to contribute significantly to ATPC’s revenue streams while aligning with its long-term vision of creating a diversified and future-ready business model.
###
| Page |
About AGAPE ATP Corporation
Agape ATP Corporation (ATPC) is dedicated to enhancing the quality of life and promoting sustainable development. With a strong foundation built on two core business pillars, ATPC specializes in the provision of health and wellness products that caters to the diverse needs of its customers, ensuring their well-being and vitality. Additionally, APTC delivers comprehensive energy-saving solutions that empower companies to drive sustainability initiatives, reduce energy consumption, and achieve their sustainability goals.
For more information, visit www.agapeatpgroup.com.
Issued By: Koa International Sdn. Bhd. on behalf of Agape ATP Corporation
For more information, please contact:
Jazzmin Wan
Tel: +60 17-289 4110
Email: j.wan@swanconsultancy.biz
Mandy Tan
Tel: +60 16-477 2257
Email: m.tan@swanconsultancy.biz
FORWARD-LOOKING STATEMENT
Certain statements contained in this press release about future expectations, plans, and prospects, as well as any other statements regarding matters that are not historical facts, may constitute “forward-looking statements” within the meaning of the Private Securities Litigation Reform Act of 1995. These statements include, but are not limited to, statements relating to the expected benefits and outcomes of the partnership announced by AGAPE ATP Corporation (“ATPC”) and Swiss One Oil & Gas AG (“Swiss One”), and the potential for optimizing supply chain efficiency, integrating advanced technologies, and expanding global market reach through this collaboration. The words “anticipate,” “believe,” “continue,” “could,” “estimate,” “expect,” “intend,” “may,” “plan,” “potential,” “predict,” “project,” “should,” “target,” “will,” “would,” and similar expressions are intended to identify forward-looking statements, although not all forward-looking statements contain these identifying words. Forward-looking statements are not guarantees of future performance and involve risks and uncertainties that may cause actual results to differ materially from the Company’s expectations discussed in the forward-looking statements. These statements are subject to uncertainties and risks including, but not limited to, the Company’s ability to execute its strategies, manage growth, and maintain its corporate culture; the Company’s future business development, financial conditions, and results of operations; expectations regarding demand for and market acceptance of our products and services; changes in technology; economic conditions; reputation and brand; the impact of competition and pricing; government regulations; fluctuations in general economic and business conditions in Malaysia and the international markets the Company plans to serve, and assumptions underlying or related to any of the foregoing and other risks contained in reports filed by the Company with the SEC. For these reasons, among others, investors are cautioned not to place undue reliance upon any forward-looking statements in this press release. Any forward-looking statements contained in this press release speak only as of the date hereof, and AGAPE ATP Corporation specifically disclaims any obligation to update any forward-looking statement, whether as a result of new information, future events, or otherwise, except as required by law.
| Page |
Exhibit 99.3














Exhibit 99.4













