株探米国株
英語
エドガーで原本を確認する

 

UNITED STATES 

SECURITIES AND EXCHANGE COMMISSION 

Washington, D.C. 20549 

 

FORM 8-K

 

CURRENT REPORT 

Pursuant to Section 13 or Section 15(d) 

of the Securities Exchange Act of 1934 

 

Date of Report (Date of earliest event reported): February 11, 2025

 

BioNexus Gene Lab Corp.

(Exact name of registrant as specified in its charter) 

 

Wyoming

 

001-41750

 

35-2604830

(State or other jurisdiction

of incorporation)

 

(Commission

File Number)

 

(IRS Employer

Identification No.)

 

Unit A-28-7, Tower A, Menara UOA Bangsar,

No.5 Jln Bangsar Utama 1,

59000 Kuala Lumpur

 

59200

(Address of Principal Executive Offices)

 

Zip Code

 

Registrant’s telephone number, including area code: +1 307 241 6898

 

Check the appropriate box below if the Form 8-K filing is intended to simultaneously satisfy the filing obligation to the registrant under any of the following provisions: 

 

Written communications pursuant to Rule 425 under the Securities Act (17 CFR 230.425) 

 

Soliciting material pursuant to Rule 14a-12 under the Exchange Act (17 CFR 240.14a-12) 

 

Pre-commencement communications pursuant to Rule 14d-2(b) under the Exchange Act (17 CFR 240.14d-2(b)) 

 

Pre-commencement communications pursuant to Rule 13e-4(c) under the Exchange Act (17 CFR 240.13e-4(c)) 

 

Securities registered or to be registered pursuant to Section 12(b) of the Act. 

 

Title of each class

 

Trading

Symbol(s)

 

Name of each exchange

on which registered

Common Stock, no par value

 

BGLC

 

The Nasdaq Stock Market LLC

 

Indicate by check mark whether the registrant is an emerging growth company as defined in Rule 405 of the Securities Act of 1933 (§230.405 of this chapter) or Rule 12b-2 of the Securities Exchange Act of 1934 (§240.12b-2 of this chapter). 

 

Emerging growth company ☒

 

If an emerging growth company, indicate by check mark if the registrant has elected not to use the extended transition period for complying with any new or revised financial accounting standards provided pursuant to Section 13(a) of the Exchange Act.  ☐

 






 

Item 3.02 Unregistered Sales of Equity Securities.

 

The information contained in Item 5.03 of this report is incorporated by reference herein. Based in part upon the sophistication and Company knowledge of the holder of the Series Z Preferred Stock, the stock issuance was exempt from registration under Section 4(a)(2) of the Securities Act of 1933, as amended.

 

Item 3.03 Material Modification to Rights of Security Holders.

 

The information contained in Item 5.03 of this report is incorporated by reference herein.

 

Item 5.03 Amendments to Articles of Incorporation or Bylaws; Change in Fiscal Year.

 

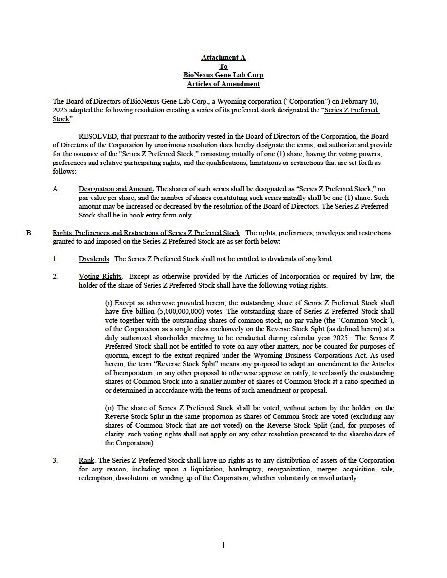
Creation and Issuance of the Series Z Preferred Stock.

 

On February 11, 2025, the Company filed with the Wyoming Secretary of State Articles of Amendment to its Articles of Incorporation (a true and correct copy of which is attached hereto as Exhibit 3.6) (“Amendment”). The Amendment authorizes the creation of one (1) share of the Series Z Convertible Preferred Stock. On February 10, 2025, the Company’s Board of Directors approved the creation of the Series Z Preferred Stock and the filing of the Amendment with the Wyoming Secretary of State. On that same date, the Board of Directors approved the issuance of the Series Z Preferred Stock to Muhammad Azrul bin Abdul Hamid, a member of the Board of Directors and the Audit Committee.

 

Rights of the Series Z Preferred Stock.

 

As stated in the Amendment, the outstanding share of Series Z Preferred Stock shall have five billion (5,000,000,000) votes. The outstanding share of Series Z Preferred Stock shall vote together with the outstanding shares of common stock, no par value (the “Common Stock”), of the Corporation as a single class exclusively on the Reverse Stock Split (as defined herein) at a duly authorized shareholder meeting to be conducted during calendar year 2025. The Series Z Preferred Stock will not be entitled to vote on any other matters, nor be counted for purposes of quorum, except to the extent required under the Wyoming Business Corporations Act. “Reverse Stock Split” means any proposal to adopt an amendment to the Articles of Incorporation, or any other proposal to otherwise approve or ratify, to reclassify the outstanding shares of Common Stock into a smaller number of shares of Common Stock at a ratio specified in or determined in accordance with the terms of such amendment or proposal.

 

The share of Series Z Preferred Stock will be voted, without action by the holder, on the Reverse Stock Split in the same proportion as shares of Common Stock are voted (excluding any shares of Common Stock that are not voted) on the Reverse Stock Split (and, for purposes of clarity, such voting rights shall not apply on any other resolution presented to the shareholders of the Corporation).

 

The outstanding share of Series Z Preferred Stock may be cancelled, in whole, but not in part, at any time (a) if such cancellation is ordered by the Board of Directors in its sole discretion, automatically and effective on such time and date specified by the Board of Directors in its sole discretion, or (b) automatically upon the approval by the Company’s shareholders of the Reverse Stock Split at any meeting of shareholders or any adjournment thereof.

 

Other than as stated herein, the Series Z Preferred Stock has no other rights, privileges or features.

 

The above description of the Series Z Preferred Stock is qualified in its entirety by reference to the Amendment filed as an exhibit hereto.

 

Purpose of the Series Z.

 

The purpose of the Series Z Preferred Stock increases the likelihood of procuring the votes necessary to effectuate the Reverse Stock Split Proposal should a majority of the common stockholders vote in favor of the Reverse Stock Split Proposal in the upcoming Special Shareholders’ Meeting as set forth in the recent Preliminary Proxy Statement filed by the Company. The Series Z Preferred Stock will proportionately “mirror” the votes placed by the common stockholders of the Company at the Special Shareholders’ Meeting.

 

The Series Z preferred shares would not affect the percentage of votes cast for or against the proposal, but instead would only have the effect of increasing the aggregate voting power of the Company’s outstanding capital stock that is voted on the matter.

 

On this basis, the Company believes that this action is compliant with Nasdaq rule 5640, as reviewed against Nasdaq Staff Interpretation Letter, identification number 1841.

 

 

2

 

 

Item 9.01 Financial Statements and Exhibits. 

 

Exhibit

 

Description

3.6

 

Articles of Amendment filed with the Wyoming Secretary of State on February 11, 2025.

104

 

Cover Page Interactive Data File (embedded within the Inline XBRL document)

 

 

3

 

 

SIGNATURES

 

Pursuant to the requirements of the Securities Exchange Act of 1934, the registrant has duly caused this report to be signed on its behalf by the undersigned hereunto duly authorized. 

 

 

BioNexus Gene Lab Corp.

 

 

 

 

Date: February 14, 2025

By:

/s/ Su-Leng Tan Lee

 

 

Name:

Su-Leng Tan Lee

 

Title:

Chief Executive Officer

 

 

 

4

 

EX-3.6 2 bglc_ex36.htm ARTICLES OF AMENDMENT bglc_ex36.htm

EXHIBIT 3.6