株探米国株
英語
エドガーで原本を確認する
6-K 1 jhxform6k26nov2025.htm 6-K Document

UNITED STATES
SECURITIES AND EXCHANGE COMMISSION
Washington, D.C. 20549
FORM 6-K
Report of Foreign Private Issuer Pursuant to Rule 13a-16 or 15d-16
under the Securities Exchange Act of 1934
For the Month of November 2025
1-15240
(Commission File Number)
JAMES HARDIE INDUSTRIES plc
(Translation of registrant’s name into English)
1st Floor, Block A
One Park Place
Upper Hatch Street, Dublin 2, D02, FD79, Ireland
(Address of principal executive offices)
Indicate by check mark whether the registrant files or will file annual reports under cover Form 20-F or Form 40-F.
Form 20-F..X....  Form 40-F.........
Indicate by check mark if the registrant is submitting the Form 6-K in paper as permitted by Regulation S-T Rule 101(b)(1): Not Applicable
Indicate by check mark if the registrant is submitting the Form 6-K in paper as permitted by Regulation S-T Rule 101(b)(7): Not Applicable



TABLE OF CONTENTS

2

Forward-Looking Statements
This Form 6-K contains forward-looking statements. James Hardie Industries plc (the “Company”) may from time to time make forward-looking statements in its periodic reports filed with or furnished to the Securities and Exchange Commission, on Forms 20-F and 6-K, in its annual reports to shareholders, in offering circulars, invitation memoranda and prospectuses, in media and earnings releases and other written materials and in oral statements made by the Company’s officers, directors or employees to analysts, institutional investors, existing and potential lenders, representatives of the media and others. Statements that are not historical facts are forward-looking statements and such forward-looking statements are statements made pursuant to the Safe Harbor Provisions of the Private Securities Litigation Reform Act of 1995.
Examples of forward-looking statements include:
•statements about the future integration of AZEK, including its anticipated benefits;
•statements about the Company’s future performance;
•projections of the Company’s results of operations or financial condition;
•statements regarding the Company’s plans, objectives or goals, including those relating to strategies, initiatives, competition, acquisitions, dispositions and/or its products;
•expectations concerning the costs associated with the suspension or closure of operations at any of the Company’s plants and future plans with respect to any such plants;
•expectations concerning the costs associated with the significant capital expenditure projects at any of the Company’s plants and future plans with respect to any such projects;
•expectations regarding the extension or renewal of the Company’s credit facilities including changes to terms, covenants or ratios;
•expectations concerning dividend payments and share buy-backs;
•statements concerning the Company’s Corporate and tax domiciles and structures and potential changes to them, including potential tax charges;
•statements regarding tax liabilities and related audits, reviews and proceedings;
•statements regarding the possible consequences and/or potential outcome of legal proceedings brought against us and the potential liabilities, if any, associated with such proceedings;
•expectations about the timing and amount of contributions to AICF, a special purpose fund for the compensation of proven Australian asbestos-related personal injury and death claims;
•statements regarding the Company’s ability to manage legal and regulatory matters (including but not limited to product liability, environmental, intellectual property and competition law matters) and to resolve any such pending legal and regulatory matters within current estimates and in anticipation of certain third-party recoveries; and
•statements about economic or housing market conditions in the regions in which we operate, including but not limited to, the levels of new home construction and home renovations, unemployment levels, changes in consumer income, changes or stability in housing values, the availability of mortgages and other financing, mortgage and other interest rates, housing affordability and supply, the levels of foreclosures and home resales, currency exchange rates, and builder and consumer confidence.

Words such as “believe,” “anticipate,” “plan,” “expect,” “intend,” “target,” “estimate,” “project,” “predict,” “forecast,” “guideline,” “aim,” “will,” “should,” “likely,” “continue,” “may,” “objective,” “outlook” and similar expressions are intended to identify forward-looking statements but are not the exclusive means of identifying such statements. Readers are cautioned not to place undue reliance on these forward-looking statements and all such forward-looking statements are qualified in their entirety by reference to the following cautionary statements.
3

Forward-looking statements are based on the Company’s current expectations, estimates and assumptions and because forward-looking statements address future results, events and conditions, they, by their very nature, involve inherent risks and uncertainties, many of which are unforeseeable and beyond the Company’s control. Such known and unknown risks, uncertainties and other factors may cause actual results, performance or other achievements to differ materially from the anticipated results, performance or achievements expressed, projected or implied by these forward-looking statements. These factors, some of which are discussed under “Risk Factors” in Section 3 of our Form 20-F filed with the Securities and Exchange Commission on 20 May 2025, include, but are not limited to: all matters relating to or arising out of the prior manufacture of products that contained asbestos by current and former Company subsidiaries; required contributions to AICF, any shortfall in AICF funding and the effect of currency exchange rate movements on the amount recorded in the Company’s financial statements as an asbestos liability; compliance with and changes in tax laws and treatments; competition and product pricing in the markets in which the Company operates; the consequences of product failures or defects; exposure to environmental, asbestos, putative consumer class action or other legal proceedings; general economic and market conditions; the supply and cost of raw materials; possible increases in competition and the potential that competitors could copy the Company’s products; compliance with and changes in environmental and health and safety laws; risks of conducting business internationally; compliance with and changes in laws and regulations; currency exchange risks; dependence on customer preference and the concentration of the Company’s customer base; dependence on residential and commercial construction markets; the effect of adverse changes in climate or weather patterns; use of accounting estimates; the AZEK acquisition; and all other risks identified in the Company’s reports filed with Australian, Irish and US securities regulatory agencies and exchanges (as appropriate). The Company cautions you that the foregoing list of factors is not exhaustive and that other risks and uncertainties may cause actual results to differ materially from those referenced in the Company’s forward-looking statements. Forward-looking statements speak only as of the date they are made and are statements of the Company’s current expectations concerning future results, events and conditions. The Company assumes no obligation to update any forward-looking statements or information except as required by law.


4

EXHIBIT INDEX
 
Exhibit No.   Description
Application for quotation of securities - JHX
Appointment of Chair of Board of Directors
Appointment of Chief Financial Officer
Change in substantial holding
Notification regarding unquoted securities - JHX
Application for quotation of securities - JHX
Notification regarding unquoted securities - JHX
Notification regarding unquoted securities - JHX

5

SIGNATURES
Pursuant to the requirements of the Securities Exchange Act of 1934, the registrant has duly caused this report to be signed on its behalf by the undersigned, thereunto duly authorized.
James Hardie Industries plc
Date:   26 November 2025
By:  /s/ Aoife Rockett
 
Aoife Rockett
 
Company Secretary

6

EXHIBIT INDEX
 
Exhibit No.   Description
Application for quotation of securities - JHX
Appointment of Chair of Board of Directors
Appointment of Chief Financial Officer
Change in substantial holding
Notification regarding unquoted securities - JHX
Application for quotation of securities - JHX
Notification regarding unquoted securities - JHX
Notification regarding unquoted securities - JHX
7
EX-99.1 2 ex991applicationforquota.htm EX-99.1 ex991applicationforquota
Appendix 2A - Application for quotation of securities Appendix 2A - Application for quotation of securities 1 / 6 Announcement Summary Entity name JAMES HARDIE INDUSTRIES PLC Announcement Type New announcement Date of this announcement Monday November 17, 2025 The +securities to be quoted are: Total number of +securities to be quoted ASX +security code Security description Number of +securities to be quoted Issue date JHX CHESS DEPOSITARY INTERESTS 1:1 883 10/11/2025 Refer to next page for full details of the announcement +Securities issued under an +employee incentive scheme that are not subject to a restriction on transfer or that are to be quoted notwithstanding there is a restriction on transfer


 
Appendix 2A - Application for quotation of securities Appendix 2A - Application for quotation of securities 2 / 6 Part 1 - Entity and announcement details 1.1 Name of entity JAMES HARDIE INDUSTRIES PLC We (the entity named above) apply for +quotation of the following +securities and agree to the matters set out in Appendix 2A of the ASX Listing Rules. 1.2 Registered number type ARBN Registration number 097829895 1.3 ASX issuer code JHX 1.4 The announcement is 1.5 Date of this announcement 17/11/2025 New announcement


 
Appendix 2A - Application for quotation of securities Appendix 2A - Application for quotation of securities 3 / 6 Part 2 - Type of Issue 2.1 The +securities to be quoted are: 2.2 The +class of +securities to be quoted is: Additional +securities in a class that is already quoted on ASX ("existing class") +Securities issued under an +employee incentive scheme that are not subject to a restriction on transfer or that are to be quoted notwithstanding there is a restriction on transfer


 
Appendix 2A - Application for quotation of securities Appendix 2A - Application for quotation of securities 4 / 6 Part 3B - number and type of +securities to be quoted (existing class) where issue has not previously been notified to ASX in an Appendix 3B Additional +securities to be quoted in an existing class issued under an +employee incentive scheme FROM (Existing Class) ASX +security code and description JHXAK : RESTRICTED STOCK UNIT TO (Existing Class) ASX +security code and description JHX : CHESS DEPOSITARY INTERESTS 1:1 Please state the number of +securities issued under the +employee incentive scheme that are not subject to a restriction on transfer or that are to be quoted notwithstanding there is a restriction on transfer 883 Please provide details of a URL link for a document lodged with ASX detailing the terms of the +employee incentive scheme or a summary of the terms Refer to the 2001 Plan: https://ir.jameshardie.com.au/public/download.jsp?id=5562 Are any of these +securities being issued to +key management personnel (KMP) or an +associate Issue date 10/11/2025 Will the +securities to be quoted rank equally in all respects from their issue date with the existing issued +securities in that class? Issue details Number of +securities to be quoted 883 Are the +securities being issued for a cash consideration? In what currency is the cash consideration being paid? USD - US Dollar What is the issue price per +security? USD 0.68216000 Any other information the entity wishes to provide about the +securities to be quoted Yes Yes No


 
Appendix 2A - Application for quotation of securities Appendix 2A - Application for quotation of securities 5 / 6 Part 4 - Issued capital following quotation Following the quotation of the +securities the subject of this application, the issued capital of the entity will comprise: The figures in parts 4.1 and 4.2 below are automatically generated and may not reflect the entity's current issued capital if other Appendix 2A, Appendix 3G or Appendix 3H forms are currently with ASX for processing. 4.1 Quoted +securities (total number of each +class of +securities quoted on ASX following the +quotation of the +securities subject of this application) ASX +security code and description Total number of +securities on issue JHX : CHESS DEPOSITARY INTERESTS 1:1 430,077,295 4.2 Unquoted +securities (total number of each +class of +securities issued but not quoted on ASX) ASX +security code and description Total number of +securities on issue JHXAK : RESTRICTED STOCK UNIT 4,885,726 JHXAM : ORDINARY SHARES 149,177,965 JHXAL : OPTION EXPIRING 03-NOV-2027 EX $33.05 269,221


 
Appendix 2A - Application for quotation of securities Appendix 2A - Application for quotation of securities 6 / 6 Part 5 - Other Listing Rule requirements 5.1 Are the +securities being issued under an exception in Listing Rule 7.2 and therefore the issue does not need any security holder approval under Listing Rule 7.1? 5.1a Select the number of the applicable exception in Listing Rule 7.2 13 Yes


 
EX-99.2 3 ex992appointmentofchairofb.htm EX-99.2 Document
Exhibit 99.2
image_01.jpg

James Hardie Announces Appointment of Nigel
Stein as Chair of its Board of Directors

Forms Integration and Performance Committee of the Board

SYDNEY & CHICAGO -- November 17, 2025 -- James Hardie Industries plc (NYSE/ASX: JHX) ("James Hardie" or the "Company"), a leading provider of exterior home and outdoor living solutions, today announced the appointment of Nigel Stein as Chair of the James Hardie Board of Directors, effective November 17, 2025. Mr. Stein is an independent non-executive director of James Hardie and serves on the Board’s Nominating and Governance Committee.

Consistent with the Company’s commitment to shareholder value creation and supporting the successful integration of the AZEK business, the Company also announced the formation of an ad-hoc Integration and Performance Committee of the Board (the “Committee”) during this important period, which will oversee and support the integration, synergy delivery, and overall business performance. The Committee will be chaired by Jesse Singh, current member of the Board, and will include Aaron Erter, CEO and member of the Board, as well as current Board members Howard Heckes and Persio Lisboa.

Commenting on his appointment, Mr. Stein said, “I am honored to take on this responsibility at such an important moment for James Hardie. As a strong, industry leader with an increased presence in key markets around the globe and a broad portfolio, the Company is poised to capture the significant growth opportunities ahead. At the same time, we remain deeply cognizant of James Hardie’s founding as an Australian company.”

Mr. Stein continued, “We are taking the outcome of James Hardie’s Annual Meeting seriously and recognize shareholders’ desire for change. We appreciate the extensive engagement that we have had with our investors across both of our share registers during the past several months and are carefully considering the constructive input we have received. I will travel soon to Australia for face-to-face meetings as we look to enhance shareholder engagement, to identify Australian independent director candidates who could provide additional perspectives and skills for our Board and to review our remuneration practices to align with performance. I look forward to constructively and openly engaging with all of our shareholders, along with Aaron and the rest of the Board.”

About Nigel Stein

Mr. Stein has extensive experience in the global automotive and manufacturing sectors. He previously served as Chairman of Inchcape plc (Inchcape), an automotive distribution, retail and financing company, a position he held from May 2018 to May 2024 and as a non-executive director from October 2015 to May 2024.




Prior to holding this position, Mr. Stein served as Chief Executive Officer of GKN Ltd (GKN) (formerly GKN plc) from January 2012 to December 2017. He joined the automotive and aerospace components supplier in 1994 and during his time with GKN held various senior positions in general management and finance including six years as Group Chief Financial Officer. From 2003 until 2011, he served as an independent non-executive director on the Board of Ferguson (formerly Wolseley) plc, the leading specialist distributor of plumbing and heating products in North America. Mr. Stein is a member of the Institute of Chartered Accountants of Scotland.

About James Hardie

James Hardie Industries plc is the industry leader in exterior home and outdoor living solutions, with a portfolio that includes fiber cement, fiber gypsum, and composite and PVC decking and railing products. Products offered by James Hardie are engineered for beauty, durability, and climate resilience, and include trusted brands like Hardie®, TimberTech®, AZEK® Exteriors, Versatex®, fermacell® and StruXure®. With a global footprint, the James Hardie portfolio is marketed and sold throughout North America, Europe, Australia and New Zealand.

James Hardie Industries plc is incorporated and existing under the laws of Ireland. As an Irish plc, James Hardie is governed by the Irish Companies Act. James Hardie’s principal executive offices are located at 1st Floor, Block A, One Park Place, Upper Hatch Street, Dublin 2, D02 FD79, Ireland.

Forward-Looking Statements

This communication contains forward-looking statements and information that are subject to risks, uncertainties and assumptions. Many factors could cause the actual results, performance or achievements of James Hardie to be materially different from those expressed or implied in this communication, including, among others, the risks and uncertainties set forth in Section 3 "Risk Factors" in James Hardie’s Annual Report on Form 20-F for the fiscal year ended March 31, 2025; changes in general economic, political, governmental and business conditions globally and in the countries in which James Hardie does business; changes in interest rates; changes in inflation rates; changes in exchange rates; the level of construction generally; changes in cement demand and prices; changes in raw material and energy prices; changes in business strategy; the AZEK acquisition and various other factors. Should one or more of these risks or uncertainties materialize, or should underlying assumptions prove incorrect, actual results may vary materially from those described herein. James Hardie assumes no obligation to update or correct the information contained in this Press Release except as required by law.

This media release has been authorized by the James Hardie Board of Directors.

END




James Hardie Contacts:

Investors:
Joe Ahlersmeyer, CFA
Vice President, Investor Relations
+1 773-970-1213
investors@jameshardie.com

Media:
Ed Trissel / Aaron Palash
Joele Frank, Wilkinson Brimmer Katcher
+1 212-355-4449

Jack Gordon
Sodali & Co.
+61 478 060 362
jack.gordon@sodali.com

EX-99.3 4 ex993appointmentofchieffin.htm EX-99.3 Document
Exhibit 99.3
image_0.jpg

James Hardie Industries Appoints Ryan Lada
as Chief Financial Officer
Rachel Wilson Steps Down; Will Serve as an Advisor During the Transition
SYDNEY & CHICAGO-- November 17, 2025 -- James Hardie Industries plc (NYSE/ASX: JHX) ("James Hardie" or the "Company"), a leading provider of exterior home and outdoor living solutions, today announced the appointment of Ryan Lada as the Company’s Chief Financial Officer, effective immediately. Mr. Lada succeeds Rachel Wilson, who has decided to step down after two years in her role. To facilitate a smooth transition, Ms. Wilson will remain with the Company in an advisory role until March 31, 2026.
An experienced CFO and capital markets executive, Mr. Lada was most recently CFO at Watts Water Technologies, and immediately prior, CFO of The AZEK Company (“AZEK”). Mr. Lada joined AZEK as Vice President of Corporate Finance in July 2022 where he oversaw financial planning and analysis, accounting, commercial and operational finance capabilities, and investor relations. He brings nearly two decades of global finance experience and leadership to the role, with diverse expertise in public market finance, and supply chain and logistics, invaluable attributes for James Hardie and its shareholders.
On Mr. Lada’s appointment, Aaron Erter, CEO of James Hardie said, “Ryan brings deep industry knowledge, financial expertise and a proven track record of delivering impressive results, and we could not be more pleased to welcome him to the James Hardie team. We are confident Ryan has the ideal skillset to help us deliver on our strategy to drive growth, capitalize on our strong forward momentum, and enhance shareholder value.”
“I am excited to join James Hardie at this pivotal time and look forward to partnering with Aaron and the rest of the management team to drive outperformance over the long-term and accelerate value creation for shareholders,” said Mr. Lada. “We are at the beginning of a transformative journey, and I look forward to engaging with our investment community as we deliver on the promises we have made as a global sector leader in both Australia and the United States.”
Commenting on Ms. Wilson’s departure, Mr. Erter continued, “Rachel has worked tirelessly for James Hardie, and I have valued her partnership over the last two years. We are grateful she will be supporting Ryan through the transition. On behalf of the Board and management team, we wish her all the best in her future endeavors.”
Ms. Wilson’s departure is not a result of any disagreement with the Company or Board regarding any matter related to the Company’s accounting principles or practices, financial disclosures, or internal controls.
Q2 FY26 Results
In a separate press release issued today, James Hardie reported its financial results for the second quarter of its 2026 fiscal year. The Company will host a conference call on Tuesday, November 18, 2025, at 8:00 AM EST to discuss its results.



About James Hardie

James Hardie Industries plc is the industry leader in exterior home and outdoor living solutions, with a portfolio that includes fiber cement, fiber gypsum, and composite and PVC decking and railing products. Products offered by James Hardie are engineered for beauty, durability, and climate resilience, and include trusted brands like Hardie®, TimberTech®, AZEK® Exteriors, Versatex®, fermacell® and StruXure®. With a global footprint, the James Hardie portfolio is marketed and sold throughout North America, Europe, Australia and New Zealand.

James Hardie Industries plc is incorporated and existing under the laws of Ireland. As an Irish plc, James Hardie is governed by the Irish Companies Act. James Hardie’s principal executive offices are located at 1st Floor, Block A, One Park Place, Upper Hatch Street, Dublin 2, D02 FD79, Ireland.

Forward-Looking Statements

This communication contains forward-looking statements and information that are subject to risks, uncertainties and assumptions. Many factors could cause the actual results, performance or achievements of James Hardie to be materially different from those expressed or implied in this communication, including, among others, the risks and uncertainties set forth in Section 3 "Risk Factors" in James Hardie’s Annual Report on Form 20-F for the fiscal year ended March 31, 2025; changes in general economic, political, governmental and business conditions globally and in the countries in which James Hardie does business; changes in interest rates; changes in inflation rates; changes in exchange rates; the level of construction generally; changes in cement demand and prices; changes in raw material and energy prices; changes in business strategy; the AZEK acquisition and various other factors. Should one or more of these risks or uncertainties materialize, or should underlying assumptions prove incorrect, actual results may vary materially from those described herein. James Hardie assumes no obligation to update or correct the information contained in this Press Release except as required by law.

This media release has been authorized by the James Hardie Board of Directors.

END

James Hardie Contacts:

Investors:
Joe Ahlersmeyer, CFA
Vice President, Investor Relations
+1 773-970-1213
investors@jameshardie.com




Media:
Ed Trissel / Aaron Palash
Joele Frank, Wilkinson Brimmer Katcher
+1 212-355-4449

Jack Gordon
Sodali & Co.
+61 478 060 362
jack.gordon@sodali.com


EX-99.4 5 ex994changeinsubstantial.htm EX-99.4 ex994changeinsubstantial
James Hardie Industries plc 1st Floor, Block A, One Park Place, Upper Hatch Street, Dublin 2, D02 FD79, Ireland T: +353 (0) 1 411 6924 F: +353 (0) 1 479 1128 James Hardie Industries plc is a limited liability company incorporated in Ireland with its registered office at 1st Floor, Block A, One Park Place, Upper Hatch Street, Dublin 2, D02 FD79, Ireland. Directors: Nigel Stein (Chair, UK), Howard Heckes (USA), Gary Hendrickson (USA), Persio Lisboa (USA), Renee Peterson (USA), John Pfeifer (USA), Suzanne B. Rowland (USA), Jesse Singh (USA). Chief Executive Officer and Director: Aaron Erter (USA) Company number: 485719 ARBN: 097 829 895 19 November 2025 The Manager Company Announcements Office Australian Securities Exchange Limited 20 Bridge Street SYDNEY NSW 2000 Dear Sir/Madam Substantial Holding Notice As required under ASX Listing Rule 3.17.3 please see attached a copy of the substantial holding notice received by James Hardie Industries plc on 18 November 2025. Regards Aoife Rockett Company Secretary This announcement has been authorised for release by the Company Secretary, Ms Aoife Rockett.


 
Standard Form TR-1 Standard form for notification of major holdings 2. Reason for the notification (please tick the appropriate box or boxes): [ X ] An acquisition or disposal of voting rights [ ] An acquisition or disposal of financial instruments [ ] An event changing the breakdown of voting rights [ ] Other (please specify) iii: 3. Details of person subject to the notification obligation iv : Name: City and country of registered office (if applicable): 4. Full name of shareholder(s) (if different from 3.) v: 8. Total positions of person(s) subject to the notification obligation: A: Voting rights attached to shares Class/type of 2.71% Direct Number of voting rights ix 6. Date on which issuer notified: Resulting situation on the date on which threshold was crossed or reached 14,401,945 1. Identity of the issuer or the underlying issuer of existing shares to which voting rights are attached ii: Total of both in % (9.A + 9.B) NOTIFICATION OF MAJOR HOLDINGS (to be sent to the relevant issuer and to the Central Bank of Ireland) i 18-Nov-2025 Below 3.00% 3.02% SUBTOTAL A 15,699,789 STATE STREET GLOBAL ADVISORS, AUSTRALIA, LIMITED Indirect SSGA FUNDS MANAGEMENT, INC. STATE STREET GLOBAL ADVISORS LIMITED Total number of voting rights of issuer vii 1,297,844 Ordinary % of voting rights % of voting rights attached to shares (total of 9.A) 2.71% Ordinary 9. Notified details of the resulting situation on the date on which the threshold was crossed or reached viii: JAMES HARDIE INDUSTRIES plc IE000R94NGM2 11-Nov-2025 Direct 3.02% STATE STREET CORPORATION STATE STREET GLOBAL ADVISORS ASIA LIMITED STATE STREET BANK AND TRUST COMPANY BOSTON, US STATE STREET GLOBAL ADVISORS EUROPE LIMITED STATE STREET GLOBAL ADVISORS TRUST COMPANY STATE STREET GLOBAL ADVISORS (JAPAN) CO., LTD. shares ISIN CODE (if possible) AU000000JHX1 2.49% 0.22% Indirect 7. Threshold(s) that is/are crossed or reached: Position of previous notification (if applicable) 5. Date on which the threshold was crossed or reached vi: 579,252,286 STATE STREET GLOBAL ADVISORS, LTD. % of voting rights through financial instruments (total of 9.B.1 + 9.B.2) 2.71%


 
B 1: Financial Instruments according to Regulation 17(1)(a) of the Regulations [ ] Person subject to the notification obligation is not controlled by any natural person or legal [ X ] Full chain of controlled undertakings through which the voting rights and/or the and voting 12. Additional information xvi: Done at on STATE STREET GLOBAL ADVISORS ASIA LIMITED STATE STREET GLOBAL ADVISORS, AUSTRALIA, LIMITED STATE STREET GLOBAL ADVISORS LIMITED 18-Nov-2025. 0.79% entity and does not control any other undertaking(s) holding directly or indirectly an interest in the (underlying) issuer. xiii Type of financial instrument % of voting rights Name xv Number of voting rights that may be acquired if the instrument is exercised/converted. STATE STREET BANK AND TRUST COMPANY BOSTON MA USA rights as of Exercise/ Conversion Period xi Expiration date x 2.71% 0.03% 0.09% 0.01% 2.71% 0.79% 0.03% will cease to hold % of voting rights STATE STREET GLOBAL ADVISORS (JAPAN) CO., LTD. STATE STREET GLOBAL ADVISORS, LTD. STATE STREET GLOBAL ADVISORS TRUST COMPANY 0.09% 0.01% Exercise/ Conversion Period xi Number of voting rights SSGA FUNDS MANAGEMENT, INC. SUBTOTAL B.2 B 2: Financial Instruments with similar economic effect according to Regulation 17(1)(b) of the Regulations Physical or cash settlement xii financial instruments are effectively held starting with the ultimate controlling natural person or legal entity xiv: Type of financial instrument 10. Information in relation to the person subject to the notification obligation (please tick the applicable box): % of voting rights through financial instruments if it equals or is higher than the notifiable threshold Total of both if it equals or is higher than the notifiable threshold 0.18% 0.00% 0.50% % of voting rights if it equals or is higher than the notifiable threshold 0.18% 0.00% 11. In case of proxy voting: Expiration date x SUBTOTAL B.1 0.50% 1.09% 0.02% 1.09% 0.02% STATE STREET CORPORATION STATE STREET GLOBAL ADVISORS EUROPE LIMITED


 
EX-99.5 6 ex995notificationregardi.htm EX-99.5 ex995notificationregardi
Appendix 3G - Notification of issue, conversion or payment up of unquoted equity securities Appendix 3G - Notification of issue, conversion or payment up of unquoted equity securities 1 / 5 Announcement Summary Entity name JAMES HARDIE INDUSTRIES PLC Date of this announcement Saturday November 22, 2025 The +securities the subject of this notification are: Total number of +securities to be issued/transferred ASX +security code Security description Total number of +securities to be issued/transferred Issue date JHXAM ORDINARY SHARES 18,586 17/11/2025 Refer to next page for full details of the announcement +Securities issued as part of a transaction or transactions previously announced to the market in an Appendix 3B that are not quoted, and are not intended to be quoted, on ASX


 
Appendix 3G - Notification of issue, conversion or payment up of unquoted equity securities Appendix 3G - Notification of issue, conversion or payment up of unquoted equity securities 2 / 5 Part 1 - Entity and announcement details 1.1 Name of entity JAMES HARDIE INDUSTRIES PLC We (the entity named above) give notice of the issue, conversion or payment up of the following unquoted +securities. 1.2 Registered number type ARBN Registration number 097829895 1.3 ASX issuer code JHX 1.4 The announcement is 1.5 Date of this announcement 22/11/2025 New announcement


 
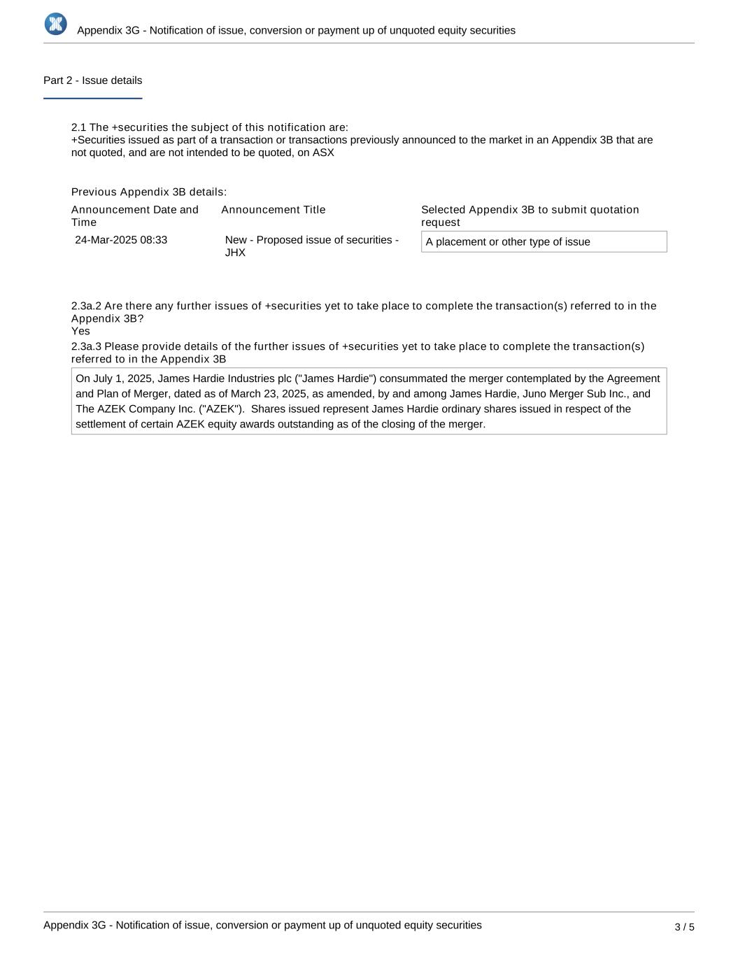
Appendix 3G - Notification of issue, conversion or payment up of unquoted equity securities Appendix 3G - Notification of issue, conversion or payment up of unquoted equity securities 3 / 5 Part 2 - Issue details 2.1 The +securities the subject of this notification are: Previous Appendix 3B details: Announcement Date and Time 24-Mar-2025 08:33 Announcement Title New - Proposed issue of securities - JHX Selected Appendix 3B to submit quotation request A placement or other type of issue 2.3a.2 Are there any further issues of +securities yet to take place to complete the transaction(s) referred to in the Appendix 3B? 2.3a.3 Please provide details of the further issues of +securities yet to take place to complete the transaction(s) referred to in the Appendix 3B On July 1, 2025, James Hardie Industries plc ("James Hardie") consummated the merger contemplated by the Agreement and Plan of Merger, dated as of March 23, 2025, as amended, by and among James Hardie, Juno Merger Sub Inc., and The AZEK Company Inc. ("AZEK"). Shares issued represent James Hardie ordinary shares issued in respect of the settlement of certain AZEK equity awards outstanding as of the closing of the merger. Yes +Securities issued as part of a transaction or transactions previously announced to the market in an Appendix 3B that are not quoted, and are not intended to be quoted, on ASX


 
Appendix 3G - Notification of issue, conversion or payment up of unquoted equity securities Appendix 3G - Notification of issue, conversion or payment up of unquoted equity securities 4 / 5 Part 3A - number and type of +securities the subject of this notification (existing class or new class) where issue has previously been notified to ASX in an Appendix 3B Placement Details ASX +security code and description JHXAM : ORDINARY SHARES Date the +securities the subject of this notification were issued 17/11/2025 Any other information the entity wishes to provide about the +securities the subject of this notification James Hardie Industries plc applied for a waiver from Listing Rule 2.4 in respect to the issuance of the unquoted securities described in this appendix on 7 July 2025. ASX granted the waiver on 16 July 2025. Issue details Number of +securities 18,586 Were the +securities issued for a cash consideration? In what currency was the cash consideration being paid? USD - US Dollar What was the issue price per +security? USD 0.68450000 Yes


 
Appendix 3G - Notification of issue, conversion or payment up of unquoted equity securities Appendix 3G - Notification of issue, conversion or payment up of unquoted equity securities 5 / 5 Part 4 - +Securities on issue Following the issue, conversion or payment up of the +securities the subject of this notification, the +securities of the entity will comprise: The figures in parts 4.1 and 4.2 below are automatically generated and may not reflect the entity's current issued capital if other Appendix 2A, Appendix 3G or Appendix 3H forms are currently with ASX for processing. 4.1 Quoted +securities (Total number of each +class of +securities issued and quoted on ASX) ASX +security code and description Total number of +securities on issue JHX : CHESS DEPOSITARY INTERESTS 1:1 430,077,295 4.2 Unquoted +securities (Total number of each +class of +securities issued but not quoted on ASX) ASX +security code and description Total number of +securities on issue JHXAK : RESTRICTED STOCK UNIT 4,885,726 JHXAM : ORDINARY SHARES 149,196,551 JHXAL : OPTION EXPIRING 03-NOV-2027 EX $33.05 269,221


 
EX-99.6 7 ex996applicationforquota.htm EX-99.6 ex996applicationforquota
Appendix 2A - Application for quotation of securities Appendix 2A - Application for quotation of securities 1 / 6 Announcement Summary Entity name JAMES HARDIE INDUSTRIES PLC Announcement Type New announcement Date of this announcement Saturday November 22, 2025 The +securities to be quoted are: Total number of +securities to be quoted ASX +security code Security description Number of +securities to be quoted Issue date JHX CHESS DEPOSITARY INTERESTS 1:1 6,678 18/11/2025 Refer to next page for full details of the announcement +Securities issued under an +employee incentive scheme that are not subject to a restriction on transfer or that are to be quoted notwithstanding there is a restriction on transfer


 
Appendix 2A - Application for quotation of securities Appendix 2A - Application for quotation of securities 2 / 6 Part 1 - Entity and announcement details 1.1 Name of entity JAMES HARDIE INDUSTRIES PLC We (the entity named above) apply for +quotation of the following +securities and agree to the matters set out in Appendix 2A of the ASX Listing Rules. 1.2 Registered number type ARBN Registration number 097829895 1.3 ASX issuer code JHX 1.4 The announcement is 1.5 Date of this announcement 22/11/2025 New announcement


 
Appendix 2A - Application for quotation of securities Appendix 2A - Application for quotation of securities 3 / 6 Part 2 - Type of Issue 2.1 The +securities to be quoted are: 2.2 The +class of +securities to be quoted is: Additional +securities in a class that is already quoted on ASX ("existing class") +Securities issued under an +employee incentive scheme that are not subject to a restriction on transfer or that are to be quoted notwithstanding there is a restriction on transfer


 
Appendix 2A - Application for quotation of securities Appendix 2A - Application for quotation of securities 4 / 6 Part 3B - number and type of +securities to be quoted (existing class) where issue has not previously been notified to ASX in an Appendix 3B Additional +securities to be quoted in an existing class issued under an +employee incentive scheme FROM (Existing Class) ASX +security code and description JHXAK : RESTRICTED STOCK UNIT TO (Existing Class) ASX +security code and description JHX : CHESS DEPOSITARY INTERESTS 1:1 Please state the number of +securities issued under the +employee incentive scheme that are not subject to a restriction on transfer or that are to be quoted notwithstanding there is a restriction on transfer 6,678 Please provide details of a URL link for a document lodged with ASX detailing the terms of the +employee incentive scheme or a summary of the terms Refer to the 2001 Plan: https://ir.jameshardie.com.au/public/download.jsp?id=5562 Are any of these +securities being issued to +key management personnel (KMP) or an +associate Issue date 18/11/2025 Will the +securities to be quoted rank equally in all respects from their issue date with the existing issued +securities in that class? Issue details Number of +securities to be quoted 6,678 Are the +securities being issued for a cash consideration? In what currency is the cash consideration being paid? USD - US Dollar What is the issue price per +security? USD 0.68430000 Any other information the entity wishes to provide about the +securities to be quoted Yes Yes No


 
Appendix 2A - Application for quotation of securities Appendix 2A - Application for quotation of securities 5 / 6 Part 4 - Issued capital following quotation Following the quotation of the +securities the subject of this application, the issued capital of the entity will comprise: The figures in parts 4.1 and 4.2 below are automatically generated and may not reflect the entity's current issued capital if other Appendix 2A, Appendix 3G or Appendix 3H forms are currently with ASX for processing. 4.1 Quoted +securities (total number of each +class of +securities quoted on ASX following the +quotation of the +securities subject of this application) ASX +security code and description Total number of +securities on issue JHX : CHESS DEPOSITARY INTERESTS 1:1 430,083,973 4.2 Unquoted +securities (total number of each +class of +securities issued but not quoted on ASX) ASX +security code and description Total number of +securities on issue JHXAK : RESTRICTED STOCK UNIT 4,879,048 JHXAM : ORDINARY SHARES 149,177,965 JHXAL : OPTION EXPIRING 03-NOV-2027 EX $33.05 269,221


 
Appendix 2A - Application for quotation of securities Appendix 2A - Application for quotation of securities 6 / 6 Part 5 - Other Listing Rule requirements 5.1 Are the +securities being issued under an exception in Listing Rule 7.2 and therefore the issue does not need any security holder approval under Listing Rule 7.1? 5.1a Select the number of the applicable exception in Listing Rule 7.2 13 Yes


 
EX-99.7 8 ex997notificationregardi.htm EX-99.7 ex997notificationregardi
Appendix 3G - Notification of issue, conversion or payment up of unquoted equity securities Appendix 3G - Notification of issue, conversion or payment up of unquoted equity securities 1 / 5 Announcement Summary Entity name JAMES HARDIE INDUSTRIES PLC Date of this announcement Saturday November 22, 2025 The +securities the subject of this notification are: Total number of +securities to be issued/transferred ASX +security code Security description Total number of +securities to be issued/transferred Issue date JHXAM ORDINARY SHARES 8,519 19/11/2025 Refer to next page for full details of the announcement +Securities issued as part of a transaction or transactions previously announced to the market in an Appendix 3B that are not quoted, and are not intended to be quoted, on ASX


 
Appendix 3G - Notification of issue, conversion or payment up of unquoted equity securities Appendix 3G - Notification of issue, conversion or payment up of unquoted equity securities 2 / 5 Part 1 - Entity and announcement details 1.1 Name of entity JAMES HARDIE INDUSTRIES PLC We (the entity named above) give notice of the issue, conversion or payment up of the following unquoted +securities. 1.2 Registered number type ARBN Registration number 097829895 1.3 ASX issuer code JHX 1.4 The announcement is 1.5 Date of this announcement 22/11/2025 New announcement


 
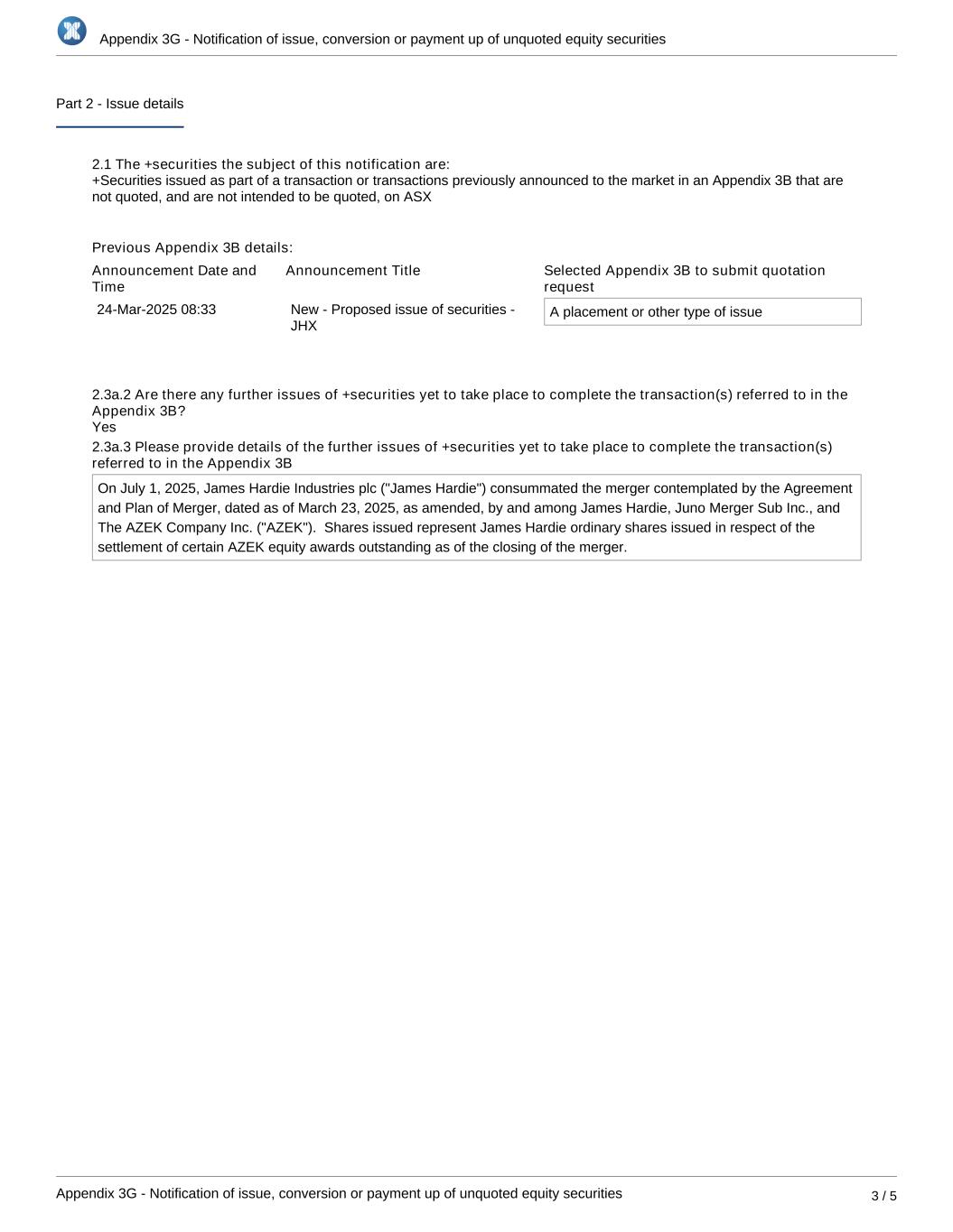
Appendix 3G - Notification of issue, conversion or payment up of unquoted equity securities Appendix 3G - Notification of issue, conversion or payment up of unquoted equity securities 3 / 5 Part 2 - Issue details 2.1 The +securities the subject of this notification are: Previous Appendix 3B details: Announcement Date and Time 24-Mar-2025 08:33 Announcement Title New - Proposed issue of securities - JHX Selected Appendix 3B to submit quotation request A placement or other type of issue 2.3a.2 Are there any further issues of +securities yet to take place to complete the transaction(s) referred to in the Appendix 3B? 2.3a.3 Please provide details of the further issues of +securities yet to take place to complete the transaction(s) referred to in the Appendix 3B On July 1, 2025, James Hardie Industries plc ("James Hardie") consummated the merger contemplated by the Agreement and Plan of Merger, dated as of March 23, 2025, as amended, by and among James Hardie, Juno Merger Sub Inc., and The AZEK Company Inc. ("AZEK"). Shares issued represent James Hardie ordinary shares issued in respect of the settlement of certain AZEK equity awards outstanding as of the closing of the merger. Yes +Securities issued as part of a transaction or transactions previously announced to the market in an Appendix 3B that are not quoted, and are not intended to be quoted, on ASX


 
Appendix 3G - Notification of issue, conversion or payment up of unquoted equity securities Appendix 3G - Notification of issue, conversion or payment up of unquoted equity securities 4 / 5 Part 3A - number and type of +securities the subject of this notification (existing class or new class) where issue has previously been notified to ASX in an Appendix 3B Placement Details ASX +security code and description JHXAM : ORDINARY SHARES Date the +securities the subject of this notification were issued 19/11/2025 Any other information the entity wishes to provide about the +securities the subject of this notification James Hardie Industries plc applied for a waiver from Listing Rule 2.4 in respect to the issuance of the unquoted securities described in this appendix on 7 July 2025. ASX granted the waiver on 16 July 2025. Issue details Number of +securities 8,519 Were the +securities issued for a cash consideration? In what currency was the cash consideration being paid? USD - US Dollar What was the issue price per +security? USD 0.68380000 Yes


 
Appendix 3G - Notification of issue, conversion or payment up of unquoted equity securities Appendix 3G - Notification of issue, conversion or payment up of unquoted equity securities 5 / 5 Part 4 - +Securities on issue Following the issue, conversion or payment up of the +securities the subject of this notification, the +securities of the entity will comprise: The figures in parts 4.1 and 4.2 below are automatically generated and may not reflect the entity's current issued capital if other Appendix 2A, Appendix 3G or Appendix 3H forms are currently with ASX for processing. 4.1 Quoted +securities (Total number of each +class of +securities issued and quoted on ASX) ASX +security code and description Total number of +securities on issue JHX : CHESS DEPOSITARY INTERESTS 1:1 430,077,295 4.2 Unquoted +securities (Total number of each +class of +securities issued but not quoted on ASX) ASX +security code and description Total number of +securities on issue JHXAK : RESTRICTED STOCK UNIT 4,885,726 JHXAM : ORDINARY SHARES 149,186,484 JHXAL : OPTION EXPIRING 03-NOV-2027 EX $33.05 269,221


 
EX-99.8 9 ex998notificationregardi.htm EX-99.8 ex998notificationregardi
Appendix 3G - Notification of issue, conversion or payment up of unquoted equity securities Appendix 3G - Notification of issue, conversion or payment up of unquoted equity securities 1 / 5 Announcement Summary Entity name JAMES HARDIE INDUSTRIES PLC Date of this announcement Saturday November 22, 2025 The +securities the subject of this notification are: Total number of +securities to be issued/transferred ASX +security code Security description Total number of +securities to be issued/transferred Issue date JHXAM ORDINARY SHARES 2,323 20/11/2025 Refer to next page for full details of the announcement +Securities issued as part of a transaction or transactions previously announced to the market in an Appendix 3B that are not quoted, and are not intended to be quoted, on ASX


 
Appendix 3G - Notification of issue, conversion or payment up of unquoted equity securities Appendix 3G - Notification of issue, conversion or payment up of unquoted equity securities 2 / 5 Part 1 - Entity and announcement details 1.1 Name of entity JAMES HARDIE INDUSTRIES PLC We (the entity named above) give notice of the issue, conversion or payment up of the following unquoted +securities. 1.2 Registered number type ARBN Registration number 097829895 1.3 ASX issuer code JHX 1.4 The announcement is 1.5 Date of this announcement 22/11/2025 New announcement


 
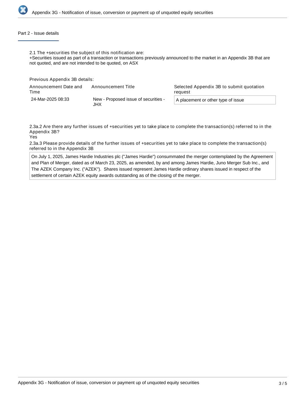
Appendix 3G - Notification of issue, conversion or payment up of unquoted equity securities Appendix 3G - Notification of issue, conversion or payment up of unquoted equity securities 3 / 5 Part 2 - Issue details 2.1 The +securities the subject of this notification are: Previous Appendix 3B details: Announcement Date and Time 24-Mar-2025 08:33 Announcement Title New - Proposed issue of securities - JHX Selected Appendix 3B to submit quotation request A placement or other type of issue 2.3a.2 Are there any further issues of +securities yet to take place to complete the transaction(s) referred to in the Appendix 3B? 2.3a.3 Please provide details of the further issues of +securities yet to take place to complete the transaction(s) referred to in the Appendix 3B On July 1, 2025, James Hardie Industries plc ("James Hardie") consummated the merger contemplated by the Agreement and Plan of Merger, dated as of March 23, 2025, as amended, by and among James Hardie, Juno Merger Sub Inc., and The AZEK Company Inc. ("AZEK"). Shares issued represent James Hardie ordinary shares issued in respect of the settlement of certain AZEK equity awards outstanding as of the closing of the merger. Yes +Securities issued as part of a transaction or transactions previously announced to the market in an Appendix 3B that are not quoted, and are not intended to be quoted, on ASX


 
Appendix 3G - Notification of issue, conversion or payment up of unquoted equity securities Appendix 3G - Notification of issue, conversion or payment up of unquoted equity securities 4 / 5 Part 3A - number and type of +securities the subject of this notification (existing class or new class) where issue has previously been notified to ASX in an Appendix 3B Placement Details ASX +security code and description JHXAM : ORDINARY SHARES Date the +securities the subject of this notification were issued 20/11/2025 Any other information the entity wishes to provide about the +securities the subject of this notification James Hardie Industries plc applied for a waiver from Listing Rule 2.4 in respect to the issuance of the unquoted securities described in this appendix on 7 July 2025. ASX granted the waiver on 16 July 2025. Issue details Number of +securities 2,323 Were the +securities issued for a cash consideration? In what currency was the cash consideration being paid? USD - US Dollar What was the issue price per +security? USD 0.67940000 Yes


 
Appendix 3G - Notification of issue, conversion or payment up of unquoted equity securities Appendix 3G - Notification of issue, conversion or payment up of unquoted equity securities 5 / 5 Part 4 - +Securities on issue Following the issue, conversion or payment up of the +securities the subject of this notification, the +securities of the entity will comprise: The figures in parts 4.1 and 4.2 below are automatically generated and may not reflect the entity's current issued capital if other Appendix 2A, Appendix 3G or Appendix 3H forms are currently with ASX for processing. 4.1 Quoted +securities (Total number of each +class of +securities issued and quoted on ASX) ASX +security code and description Total number of +securities on issue JHX : CHESS DEPOSITARY INTERESTS 1:1 430,077,295 4.2 Unquoted +securities (Total number of each +class of +securities issued but not quoted on ASX) ASX +security code and description Total number of +securities on issue JHXAK : RESTRICTED STOCK UNIT 4,885,726 JHXAM : ORDINARY SHARES 149,180,288 JHXAL : OPTION EXPIRING 03-NOV-2027 EX $33.05 269,221