株探米国株
英語
エドガーで原本を確認する
6-K 1 jhxform6k05sep2025.htm 6-K Document

UNITED STATES
SECURITIES AND EXCHANGE COMMISSION
Washington, D.C. 20549
FORM 6-K
Report of Foreign Private Issuer Pursuant to Rule 13a-16 or 15d-16
under the Securities Exchange Act of 1934
For the Month of September 2025
1-15240
(Commission File Number)
JAMES HARDIE INDUSTRIES plc
(Translation of registrant’s name into English)
1st Floor, Block A
One Park Place
Upper Hatch Street, Dublin 2, D02, FD79, Ireland
(Address of principal executive offices)
Indicate by check mark whether the registrant files or will file annual reports under cover Form 20-F or Form 40-F.
Form 20-F..X....  Form 40-F.........
Indicate by check mark if the registrant is submitting the Form 6-K in paper as permitted by Regulation S-T Rule 101(b)(1): Not Applicable
Indicate by check mark if the registrant is submitting the Form 6-K in paper as permitted by Regulation S-T Rule 101(b)(7): Not Applicable



TABLE OF CONTENTS

2

Forward-Looking Statements
This Form 6-K contains forward-looking statements. James Hardie Industries plc (the “Company”) may from time to time make forward-looking statements in its periodic reports filed with or furnished to the Securities and Exchange Commission, on Forms 20-F and 6-K, in its annual reports to shareholders, in offering circulars, invitation memoranda and prospectuses, in media and earnings releases and other written materials and in oral statements made by the Company’s officers, directors or employees to analysts, institutional investors, existing and potential lenders, representatives of the media and others. Statements that are not historical facts are forward-looking statements and such forward-looking statements are statements made pursuant to the Safe Harbor Provisions of the Private Securities Litigation Reform Act of 1995.
Examples of forward-looking statements include:
•statements about the acquisition of AZEK, including its anticipated benefits;
•statements about the Company’s future performance;
•projections of the Company’s results of operations or financial condition;
•statements regarding the Company’s plans, objectives or goals, including those relating to strategies, initiatives, competition, acquisitions, dispositions and/or its products;
•expectations concerning the costs associated with the suspension or closure of operations at any of the Company’s plants and future plans with respect to any such plants;
•expectations concerning the costs associated with the significant capital expenditure projects at any of the Company’s plants and future plans with respect to any such projects;
•expectations regarding the extension or renewal of the Company’s credit facilities including changes to terms, covenants or ratios;
•expectations concerning dividend payments and share buy-backs;
•statements concerning the Company’s Corporate and tax domiciles and structures and potential changes to them, including potential tax charges;
•statements regarding tax liabilities and related audits, reviews and proceedings;
•statements regarding the possible consequences and/or potential outcome of legal proceedings brought against us and the potential liabilities, if any, associated with such proceedings;
•expectations about the timing and amount of contributions to AICF, a special purpose fund for the compensation of proven Australian asbestos-related personal injury and death claims;
•statements regarding the Company’s ability to manage legal and regulatory matters (including but not limited to product liability, environmental, intellectual property and competition law matters) and to resolve any such pending legal and regulatory matters within current estimates and in anticipation of certain third-party recoveries; and
•statements about economic or housing market conditions in the regions in which we operate, including but not limited to, the levels of new home construction and home renovations, unemployment levels, changes in consumer income, changes or stability in housing values, the availability of mortgages and other financing, mortgage and other interest rates, housing affordability and supply, the levels of foreclosures and home resales, currency exchange rates, and builder and consumer confidence.

Words such as “believe,” “anticipate,” “plan,” “expect,” “intend,” “target,” “estimate,” “project,” “predict,” “forecast,” “guideline,” “aim,” “will,” “should,” “likely,” “continue,” “may,” “objective,” “outlook” and similar expressions are intended to identify forward-looking statements but are not the exclusive means of identifying such statements. Readers are cautioned not to place undue reliance on these forward-looking statements and all such forward-looking statements are qualified in their entirety by reference to the following cautionary statements.
3

Forward-looking statements are based on the Company’s current expectations, estimates and assumptions and because forward-looking statements address future results, events and conditions, they, by their very nature, involve inherent risks and uncertainties, many of which are unforeseeable and beyond the Company’s control. Such known and unknown risks, uncertainties and other factors may cause actual results, performance or other achievements to differ materially from the anticipated results, performance or achievements expressed, projected or implied by these forward-looking statements. These factors, some of which are discussed under “Risk Factors” in Section 3 of our Form 20-F filed with the Securities and Exchange Commission on 20 May 2025, include, but are not limited to: all matters relating to or arising out of the prior manufacture of products that contained asbestos by current and former Company subsidiaries; required contributions to AICF, any shortfall in AICF funding and the effect of currency exchange rate movements on the amount recorded in the Company’s financial statements as an asbestos liability; compliance with and changes in tax laws and treatments; competition and product pricing in the markets in which the Company operates; the consequences of product failures or defects; exposure to environmental, asbestos, putative consumer class action or other legal proceedings; general economic and market conditions; the supply and cost of raw materials; possible increases in competition and the potential that competitors could copy the Company’s products; compliance with and changes in environmental and health and safety laws; risks of conducting business internationally; compliance with and changes in laws and regulations; currency exchange risks; dependence on customer preference and the concentration of the Company’s customer base; dependence on residential and commercial construction markets; the effect of adverse changes in climate or weather patterns; use of accounting estimates; the AZEK acquisition; and all other risks identified in the Company’s reports filed with Australian, Irish and US securities regulatory agencies and exchanges (as appropriate). The Company cautions you that the foregoing list of factors is not exhaustive and that other risks and uncertainties may cause actual results to differ materially from those referenced in the Company’s forward-looking statements. Forward-looking statements speak only as of the date they are made and are statements of the Company’s current expectations concerning future results, events and conditions. The Company assumes no obligation to update any forward-looking statements or information except as required by law.


4

EXHIBIT INDEX
 
Exhibit No.   Description
Notification regarding unquoted securities - JHX
2025 Sustainability Report

5

SIGNATURES
Pursuant to the requirements of the Securities Exchange Act of 1934, the registrant has duly caused this report to be signed on its behalf by the undersigned, thereunto duly authorized.
James Hardie Industries plc
Date:   05 September 2025
By:  /s/ Aoife Rockett
 
Aoife Rockett
 
Company Secretary

6

EXHIBIT INDEX
 
Exhibit No.   Description
Notification regarding unquoted securities - JHX
2025 Sustainability Report
7
EX-99.1 2 ex991notificationregardi.htm EX-99.1 ex991notificationregardi
Appendix 3G - Notification of issue, conversion or payment up of unquoted equity securities Appendix 3G - Notification of issue, conversion or payment up of unquoted equity securities 1 / 5 Announcement Summary Entity name JAMES HARDIE INDUSTRIES PLC Date of this announcement Friday August 29, 2025 The +securities the subject of this notification are: Total number of +securities to be issued/transferred ASX +security code Security description Total number of +securities to be issued/transferred Issue date JHXAM ORDINARY SHARES 15,266 28/08/2025 Refer to next page for full details of the announcement +Securities issued as part of a transaction or transactions previously announced to the market in an Appendix 3B that are not quoted, and are not intended to be quoted, on ASX


 
Appendix 3G - Notification of issue, conversion or payment up of unquoted equity securities Appendix 3G - Notification of issue, conversion or payment up of unquoted equity securities 2 / 5 Part 1 - Entity and announcement details 1.1 Name of entity JAMES HARDIE INDUSTRIES PLC We (the entity named above) give notice of the issue, conversion or payment up of the following unquoted +securities. 1.2 Registered number type ARBN Registration number 097829895 1.3 ASX issuer code JHX 1.4 The announcement is 1.5 Date of this announcement 29/8/2025 New announcement


 
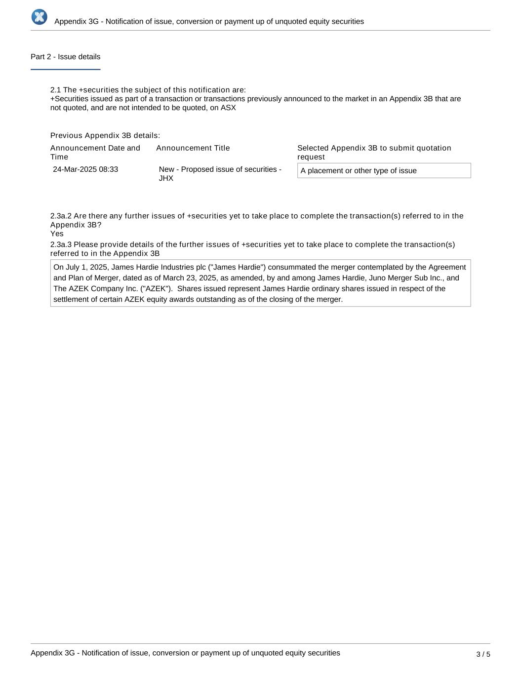
Appendix 3G - Notification of issue, conversion or payment up of unquoted equity securities Appendix 3G - Notification of issue, conversion or payment up of unquoted equity securities 3 / 5 Part 2 - Issue details 2.1 The +securities the subject of this notification are: Previous Appendix 3B details: Announcement Date and Time 24-Mar-2025 08:33 Announcement Title New - Proposed issue of securities - JHX Selected Appendix 3B to submit quotation request A placement or other type of issue 2.3a.2 Are there any further issues of +securities yet to take place to complete the transaction(s) referred to in the Appendix 3B? 2.3a.3 Please provide details of the further issues of +securities yet to take place to complete the transaction(s) referred to in the Appendix 3B On July 1, 2025, James Hardie Industries plc ("James Hardie") consummated the merger contemplated by the Agreement and Plan of Merger, dated as of March 23, 2025, as amended, by and among James Hardie, Juno Merger Sub Inc., and The AZEK Company Inc. ("AZEK"). Shares issued represent James Hardie ordinary shares issued in respect of the settlement of certain AZEK equity awards outstanding as of the closing of the merger. Yes +Securities issued as part of a transaction or transactions previously announced to the market in an Appendix 3B that are not quoted, and are not intended to be quoted, on ASX


 
Appendix 3G - Notification of issue, conversion or payment up of unquoted equity securities Appendix 3G - Notification of issue, conversion or payment up of unquoted equity securities 4 / 5 Part 3A - number and type of +securities the subject of this notification (existing class or new class) where issue has previously been notified to ASX in an Appendix 3B Placement Details ASX +security code and description JHXAM : ORDINARY SHARES Date the +securities the subject of this notification were issued 28/8/2025 Any other information the entity wishes to provide about the +securities the subject of this notification James Hardie Industries plc applied for a waiver from Listing Rule 2.4 in respect to the issuance of the unquoted securities described in this appendix on 7 July 2025. ASX granted the waiver on 16 July 2025. Issue details Number of +securities 15,266 Were the +securities issued for a cash consideration? In what currency was the cash consideration being paid? USD - US Dollar What was the issue price per +security? USD 0.68676000 Yes


 
Appendix 3G - Notification of issue, conversion or payment up of unquoted equity securities Appendix 3G - Notification of issue, conversion or payment up of unquoted equity securities 5 / 5 Part 4 - +Securities on issue Following the issue, conversion or payment up of the +securities the subject of this notification, the +securities of the entity will comprise: The figures in parts 4.1 and 4.2 below are automatically generated and may not reflect the entity's current issued capital if other Appendix 2A, Appendix 3G or Appendix 3H forms are currently with ASX for processing. 4.1 Quoted +securities (Total number of each +class of +securities issued and quoted on ASX) ASX +security code and description Total number of +securities on issue JHX : CHESS DEPOSITARY INTERESTS 1:1 430,019,038 4.2 Unquoted +securities (Total number of each +class of +securities issued but not quoted on ASX) ASX +security code and description Total number of +securities on issue JHXAK : RESTRICTED STOCK UNIT 3,970,520 JHXAM : ORDINARY SHARES 149,094,534 JHXAL : OPTION EXPIRING 03-NOV-2027 EX $33.05 269,221


 
EX-99.2 3 ex9922025sustainabilityr.htm EX-99.2 ex9922025sustainabilityr
James Hardie Releases Annual Sustainability Report Company announces progress in building resilience through process integration, product innovation and strengthening communities SYDNEY & CHICAGO, September 3, 2025 - James Hardie Industries plc (NYSE / ASX : JHX) ("James Hardie" or the "Company"), a leading provider of exterior home and outdoor living solutions, and a company inspiring how communities design, build and grow, today released its latest annual sustainability report entitled “Building Resilience.” “At James Hardie, sustainability is foundational to how we do business. We are continuing to make progress, evolve and innovate to ensure homes are built to last,” said Aaron Erter, Chief Executive Officer. “Sustainability is a journey, and this continues with our recent acquisition of The AZEK® Company in July 2025. As the industry leader in exterior home and outdoor living solutions, we have never been better positioned to explore a variety of ways we can improve our communities and our planet. At James Hardie we are constantly working towards our purpose of Building a Better Future for All™.” The report features initiatives to advance the Company’s purpose and details progress across the four primary pillars of the Company’s environmental, social and governance (ESG) strategy: Zero Harm, Planet, Innovation and Communities. Highlights from the report for fiscal year 2025 include: Integration into Business Processes • Sustainability strategies continue to be integrated into the Hardie Manufacturing Operating System (HMOS). • Short-term internal natural gas targets were set for each region, helping drive the reduction of Scope 1+2 emissions by 14 percent in fiscal year 2025 from the calendar year 2021 baseline. Circular Supply Chain • Efforts to reduce waste and create a circular supply chain for fiber cement products in North America plants diverted over 11 percent of manufacturing waste from local landfills in fiscal year 2025. • In the Asia Pacific region, James Hardie eliminated 98 percent of waste material sent to landfills by either recycling it back into production processes or sending it to local companies to keep waste materials in the value stream. Zero Harm • Over a three-year period, James Hardie is investing more than $75 million in strategic safety infrastructure projects globally. • Safety standards for energy control processes, machine guarding, working from heights and electrical safety were developed and independently approved in North America and Asia Pacific. Product Innovation • James Hardie debuted the TimberHue™ Collection in North America, featuring two-tone, premium finishes in eight authentic wood-look colors – engineered to withstand harsh weather and made with noncombustible* James Hardie technology. In addition, its long-


 
lasting performance reduces the need for replacement over time, conserving materials and resources. • The Hardie™ Architectural Collection expanded to include Hardie® Artisan® Siding, featuring extra-thick lap boards and deep shadow lines for a natural wood aesthetic with the strength and resilience of fiber cement, providing superior overall durability to help protect homes from fire damage while delivering a long-lasting, low-maintenance solution that supports more sustainable home exteriors. • In Europe, fermacell® Therm25™, an easy-to-install fiber gypsum product, has lower CO2 emissions compared to conventional flooring and incorporates recycled gypsum, reducing landfill waste and reliance on mined materials. • In the United States, Green Builder Media recognized James Hardie as an innovation and brand leader, naming Hardie® Artisan® Trim as a 2025 Sustainable Product of the Year for its distinctive design, superior performance and lasting value. Respecting Human Rights • James Hardie launched a global human rights policy and completed the first salient issues review, conducting on-site social compliance audits of the few tier-one suppliers in high-risk environments. Stronger Workforce • The launch of the BuildWell program is helping to create a culture of well-being, where employees are supported with education, resources and opportunities for their physical, mental, social and financial well-being, tailored to the specific needs of employees in different regions. Stronger Communities • James Hardie contributed $1.65 billion in economic value to the communities in which it operates through capital expenditures at plants and by investing in employees, local ecosystems and across the supplier base. • James Hardie continued its global collaboration with Habitat for Humanity® International, and provided 29 Habitat Strong grants to build affordable and climate-resilient homes in fiscal year 2025. Integrating with The AZEK® Company As announced in July 2025, James Hardie successfully completed its previously announced acquisition of The AZEK® Company (“AZEK”). James Hardie now features a portfolio of high- performance, low-maintenance exterior and outdoor living brands, including Hardie®, TimberTech®, AZEK® Exteriors, Versatex®, fermacell®, StruXure®, Ultralox® and Intex®. AZEK® embeds sustainability into every stage of its operations, from material sourcing and manufacturing to product durability and end-of-life solutions. Guided by a full-circle approach, AZEK® transforms waste and scrap into high-performance, long-lasting materials and aims to incorporate one billion pounds of recycled content into its manufacturing annually. Its latest and final stand-alone FULL-CIRCLE report highlighting progress toward environmental and recycling initiatives during AZEK®’s fiscal 2024 is available here. “As we continue to integrate with AZEK®, we are harnessing our collective strengths to advance our sustainability leadership and position the combined company for even greater impact. This


 
work is shaping the next generation of our sustainability goals, and we look forward to sharing more on this important topic in the future,” said Amanda Cimaglia, Vice President, Global Sustainability. Building Resilience James Hardie’s sustainability goals align directly with issues that matter most to its stakeholders and overall corporate objectives. The Company’s sustainability strategy is driven through cross- functional collaboration, including research and development, engineering, manufacturing, finance and human resources leadership. In fiscal year 2023, James Hardie adopted new, more ambitious sustainability goals to help track and assess progress. In fiscal year 2024, the Company set near-term regional targets that roll up to overall longer-term goals. Each regional president is held accountable for attaining these targets in the region and is provided funding in the regional budget to support initiatives at the local level. As a result, the entire organization is engaged in and committed to these goals. *Hardie® fiber cement products are noncombustible and/or have a Class A fire rating when tested in accordance with ASTM E84. Fiber cement fire resistance does not extend to applied paints or coatings, which may be damaged or char when exposed to flames. The use of noncombustible siding, combined with other fire mitigation measures, may help harden a home against external fire. ### For more information about James Hardie Building Products Inc., visit www.jameshardie.com. About James Hardie James Hardie Industries plc is the industry leader in exterior home and outdoor living solutions, with a portfolio that includes fiber cement, fiber gypsum, and composite and PVC decking and railing products. Products offered by James Hardie are engineered for beauty, durability, and climate resilience, and include trusted brands like Hardie®, TimberTech®, AZEK® Exteriors, Versatex®, fermacell® and StruXure®. With a global footprint, the James Hardie portfolio is marketed and sold throughout North America, Europe, Australia and New Zealand. James Hardie Industries plc is incorporated and existing under the laws of Ireland. As an Irish plc, James Hardie is governed by the Irish Companies Act. James Hardie’s principal executive offices are located at 1st Floor, Block A, One Park Place, Upper Hatch Street, Dublin 2, D02 FD79, Ireland. For more information and media resources, visit JamesHardie.com/about-us/media resources./about-us/media-resources. For investor information, please visit ir.jameshardie.com.au. Connect with James Hardie on social media: LinkedIn Instagram


 
Facebook X (formerly Twitter) Forward-Looking Statements This Media Release contains forward-looking statements and information that are necessarily subject to risks, uncertainties and assumptions. Additional important factors relating to the Company that could cause actual results to differ materially from those reflected in forward- looking statements include, but are not limited to, the risks and uncertainties set forth in Section 3 "Risk Factors" in the Company’s Annual Report on Form 20-F for the fiscal year ended March 31, 2025 (the “Company 2025 Annual Report”); changes in general economic, political, governmental and business conditions globally and in the countries in which the Company does business; changes in interest rates; changes in inflation rates; changes in exchange rates; the level of construction generally; changes in cement demand and prices; changes in raw material and energy prices; changes in business strategy and various other factors. Should one or more of these risks or uncertainties materialize, or should underlying assumptions prove incorrect, actual results may vary materially from those described herein. James Hardie assumes no obligation to update or correct the information contained in this Media Release except as required by law. This media release has been authorized by the James Hardie Board of Directors. END Investor and Media Contact Joe Ahlersmeyer, CFA Vice President, Investor Relations Telephone: +1 773-970-1213 Email: mailto:investors@jameshardie.com James Hardie Industries plc is a limited liability company incorporated in Ireland with its registered office at 1st Floor, Block A, One Park Place, Upper Hatch Street, Dublin 2, D02 FD79, Ireland.


 
Building Resilience SUSTAINABILITY REPORT | FISCAL YEAR 2025


 
At James Hardie, we pride ourselves on providing products that help craft more resilient, durable homes and buildings. Our sustainability commitments are integrated into our business operations, governance structure and company culture. Our fifth annual Sustainability Report provides an update on our programs and progress from the last fiscal year. The voices of our team members — from front line employees to leadership — help tell the story of how we are living our purpose: Building a Better Future for All™. Table of Contents Message from our CEO 2 About James Hardie 3 Our Sustainability Goals 4 Our Supply Chain 5 Our People 8 Our Operations 13 Our Products 20 Our Communities 23 Appendix 27 Additional definitions, supporting data and disclaimers applicable to this report can be found in Endnotes. James Hardie | Building Resilience Sustainability Repor t | FY 2025


 
Message from our CEO At James Hardie, sustainability is foundational to how we do business. From our manufacturing teams who are finding new ways to reduce our environmental impact to the homeowners who select our products for their durability, sustainability is a key component to fulfilling our vision of inspiring how communities design, build and grow today and tomorrow. Our commitment starts with our people, who are putting sustainability into action. Teams are reducing waste from our operations and utilizing recycled water in our plants. They’re continually evolving processes and innovating new technology with the goal of reducing the carbon dioxide (CO2) impact in our fiber cement products. By integrating our sustainability goals into our Hardie Manufacturing Operating System (HMOS), we're leveraging our culture of continuous improvement to drive action and track performance. Sustainability also goes beyond our workplace and manufacturing processes. James Hardie is creating homes that can withstand a variety of climate conditions and weather extremes. At the 2025 International Builders’ Show, we showcased new product innovations and participated in a podcast conversation with sustainability-focused builders who are utilizing our Engineered for Climate® fiber cement products. Alongside other industry leaders, we’re continuing to progress, evolve and innovate to ensure homes are built to last. “Do the Right Thing” and “Collaborate for Greatness” are two of our company’s core values. Many of our team members have demonstrated these values by volunteering to build homes wrapped in Hardie® siding for Habitat for Humanity® International over the past year. James Hardie is a proud corporate sponsor of this life-changing organization, and we look forward to continuing this inspiring work this coming year. Sustainability is a journey, and this continues with our recent acquisition of The AZEK Company Inc. in July 2025. As the industry leader in exterior home and outdoor living solutions, we have never been better positioned to explore the myriad ways we can improve our communities and our planet. As one James Hardie, we are working towards our purpose of Building a Better Future for All™. Aaron M. Erter CEO Aaron M. Erter CEO At James Hardie, our purpose is Building a Better Future for All™. Those aren't just words — we're continuing to make progress, evolve and innovate to ensure homes are built to last.” 2 James Hardie | Building Resilience Sustainability Repor t | FY 2025 About Sustainability Goals Supply Chain OperationsMessage from our CEO People Products Communities Appendix


 
About James Hardie James Hardie is the world’s No. 1 producer and marketer of high-performance fiber cement siding and backer board and a market leader in Europe for fiber gypsum products. James Hardie successfully uses innovation to drive market value. Our products are made from high quality and durable raw materials, delivering personalized design possibilities to consumers. We manufacture a variety of patterned profiles, surface finishes and colors for a range of applications, including siding, trim, soffit, walls, facades, floors and tile underlayment for use in residential, commercial and industrial applications. James Hardie is a public limited company incorporated, headquartered and existing under the laws of the Republic of Ireland. In the fiscal year ending 31 March 2025 (FY25), James Hardie generated approximately $3.9 billion in net sales. During the period covered by this report, James Hardie employed a global workforce of approximately 5,800 employees across operations in North America, Europe, Australia, New Zealand and the Philippines that included 19 manufacturing facilities and three research and development centers. We have since closed our Philippines manufacturing and commercial operations. As of 01 July 2025, James Hardie has acquired The AZEK Company Inc. Data in this report include all sites under James Hardie’s operational control during FY25 (except where noted). Future reports will include performance data from the consolidated company. More information on AZEK's sustainability journey is available on James Hardie’s website. Purpose Building a Better Future for All™ Vision To inspire how communities design, build and grow today and tomorrow. Mission Be the most respected and desired building materials brand in the world. Our values guide our behavior as we work to achieve our purpose. STARTS & ENDS WITH THE CUSTOMER HONOR OUR COMMITMENTS COLL ABOR ATE FOR GRE ATNESS BE BOLD AND PROGRESSIVE DO THE R IGHT THING EMBR ACE OUR DIVERSIT Y 3 James Hardie | Building Resilience Sustainability Repor t | FY 2025 About Sustainability Goals Supply Chain OperationsMessage from our CEO People Products Communities Appendix


 
Our Sustainability Goals Tracking progress and building for tomorrow James Hardie is committed to proactively improving our performance by carefully managing our social and environmental impacts. Our sustainability goals align directly with issues that matter most to our stakeholders and with our overall corporate objectives. This ensures that James Hardie is striving to positively impact our employees, the customers we serve and the communities in which we operate while creating value for our business. In FY23, we adopted new, more ambitious sustainability goals to help us track and assess our progress. We advanced that work in FY24 by setting near-term regional targets that roll up to our overall longer-term goals. Each president is held accountable for attaining these targets in their region and is provided funding in their regional budget to support initiatives at the local level. As a result, the entire organization is engaged in and committed to our goals. We continued to make progress in FY25 towards our global goals because each region prioritized its interim targets. Our Hardie Manufacturing Operating System (HMOS) initiatives were also key drivers of progress. As we look ahead, we are building for tomorrow with durability, resilience and sustainability as the foundation of progress. S U S T A I N A B I L I T Y G O A L P R O G R E S S Reducing Scope 1+2 emissions 42% absolute reduction in Scope 1+2 GHG emissions by 2030, compared to CY21 baseline, and work towards net zero by 2050 Recycling water Recycle an additional 20M cubic feet of water per year by 2030, compared to CY19 baseline Minimizing waste Zero manufacturing waste to landfill by 2035 Representation in senior leadership and management Gender and underrepresented minority representation Prioritizing safety Continuously improve our Zero Harm culture, processes and systems 4 James Hardie | Building Resilience Sustainability Repor t | FY 2025 About Sustainability Goals Supply Chain OperationsMessage from our CEO People Products Communities Appendix 2030 Target 42% Scope 1+2 emissions reduction from CY21 baseline 14% CY24 10% CY23 2% CY22 2030 Target 20M Additional water recycled per year vs CY19 (cubic feet) CY24 11.06M CY23 9.35MCY22 5.48MCY21 3.87M 2035 Target ZERO Manufacturing waste disposed to landfill (thousand MT) CY24 196 CY23 231252 CY22 251 CY21 Underrepresented minority representation in management (U.S.) FY25 22% FY24 23% FY23 23% Female representation in management FY25 24% FY24 23% FY23 19% Female representation in senior leadership FY25 24% FY24 23%FY23 21% Industry Average 2.30 Days away from work, restricted work activity or job transfer rate (DART) FY25 0.84FY24 0.63 FY23 0.65 FY22 0.72


 
Our Supply Chain Developing a more circular supply chain James Hardie is committed to developing a more circular supply chain to reduce our impact on the environment and on local landfills while strengthening our business. By increasing the use of recycled materials in our production processes and keeping manufacturing waste out of landfills, we are transitioning to a more sustainable supply chain that will allow us to produce high quality fiber cement and fiber gypsum products for decades to come. At the same time, we are reducing current and future landfill costs for our business and doing the right thing for our communities and the environment, making this a win-win strategy. We continually strive to maintain an efficient supply chain and locate our plants near our customers, benefiting our suppliers, our customers and our bottom line while reducing the impact on the environment. Our fiber cement products We continue to reduce waste by making our operations more efficient by employing our Hardie Manufacturing Operating System (HMOS), LEAN thinking and best practices across facilities. We are finding new ways to reuse materials within our plants. For example, we are increasing sludge reclamation across our operations and collaborating with local suppliers who can put some leftover materials to beneficial reuse. Efforts to reduce waste and create a circular supply chain for our fiber cement products are growing at our North America plants. Our procurement team is embracing the opportunity to reduce fiber cement discarded materials while delivering value to the business. These initiatives delivered $2 million in savings and diverted over 11% of manufacturing discarded materials from local landfills in FY25. In APAC, we eliminated 98% of the discarded materials going to landfills. Some material is recycled back into our production processes or sent to local companies to keep materials in the value stream. Our fiber gypsum products Our fermacell® fiber gypsum boards were developed as a circular product — using industrial by-product gypsum and recycled paper product — and are fully recyclable into new boards within our own production process. We adapted our processes and made a significant investment in new equipment at our Siglingen, Germany, plant to enable the use of more diverse recycled paper input streams in our fiber gypsum board production. Our fermacell® products also use recycled gypsum, which is gypsum material that has been recovered from waste drywall and other construction materials, rather than being mined as a raw material. This process diverts waste from landfills and provides an additional, sustainable source of gypsum for our products. 5 James Hardie | Building Resilience Sustainability Repor t | FY 2025 About Sustainability Goals Supply Chain OperationsMessage from our CEO People Products Communities Appendix


 
81% of raw materials sourced within 150 miles of our manufacturing facilities Sourcing responsibly and respecting human rights The responsible procurement of materials and services is important for James Hardie as we work to reduce our environmental and social impacts while strengthening our supply chain. We are continuing to enhance the governance of human rights issues across our value chain by maturing our understanding of potential impacts and opportunities. In FY25, we completed our first formal human rights salient issues review. Working with a third-party consultant, we engaged with internal and external stakeholders, reviewed our business operations and industry context and assessed our policies and processes to identify the issues where we have the greatest impact on people across our value chain. We emerged with a list of prioritized human rights areas for us to stay focused on, including where we're currently mitigating risks and where there are opportunities. This information will allow us to enhance our human rights due diligence program, enabling more focused collaboration externally with suppliers and business partners, and internally across the organization — ultimately strengthening our company’s accountability and preparedness. Last year, we risk mapped 100% of our in-scope Tier 1 suppliers around the globe to provide greater transparency into our supply chain and enhance our understanding of the potential risks of human and labor rights violations, including modern slavery. The results identified approximately 99% of spend of those suppliers as operating in low- to moderate-risk environments. In FY25, using a third-party service, we initiated onsite social compliance audits of the few Tier 1 suppliers identified as operating in high-risk environments. We will continue to make our supply chain even more resilient by taking steps to reduce risks through enhanced due diligence in the coming year. $1.65B in economic value* contributed in communities where we operate * We contribute to local economies through capital expenditure at our plants and by investing significantly in our employees, in local ecosystems and across our supplier base. Our direct spending through the purchase of local materials, payroll and taxes, and our local distribution network makes a positive economic impact that benefits both local economies and our customers. 6 James Hardie | Building Resilience Sustainability Repor t | FY 2025 About Sustainability Goals Supply Chain OperationsMessage from our CEO People Products Communities Appendix


 
E M P L O Y E E S P O T L I G H T Increasing supply chain transparency As a member of the Procurement Center of Excellence team, Patrice worked closely with social impact and regional procurement teams to help gather information to risk map our suppliers, providing greater transparency into our supply chain to understand the potential risks of human and labor rights violations. Patrice Davis Senior Compliance Analyst F Y 2 5 H I G H L I G H T S + We developed and launched our Global Human Rights Policy that outlines our commitment to respect internationally recognized human rights standards across our value chain. We continued implementing our revised Global Supplier Code of Conduct (Code), which sets out the principles and standards that we expect our suppliers to support, embrace and uphold. Our aim is to ensure that all suppliers operate in line with our values, uphold our Code and applicable local laws, and are committed to combating modern slavery throughout the value chain. + An important feature of our fermacell® flooring is pre-milled pipe recesses for underfloor heating. In FY25, we invested in upgrades at our Siglingen, Germany, plant and in training for our employees to move the milling process in-house, reducing transportation impacts and increasing our margins significantly. The changes also helped boost overall employee engagement to 87%, an increase of 9 percentage points compared to the previous year. In addition, we are extracting the milling dust and using it to make new boards. We plan to add two milling lines in FY26. + Our largest manufacturing plant in Prattville, Alabama, neared the end of a multi-year expansion project that will double production capabilities and workforce, which will allow the plant to produce an impressive 1 billion standard feet of siding annually while sourcing raw materials locally. This expansion not only enhances our manufacturing footprint but also integrates cutting-edge technology to boost efficiency, quality and sustainability. Learn more by watching this video. 7 James Hardie | Building Resilience Sustainability Repor t | FY 2025 About Sustainability Goals Supply Chain OperationsMessage from our CEO People Products Communities Appendix


 
Our People Investing in our strongest assets We are committed to providing a best-in-class work environment for our strongest assets — our people and teams around the world. Our culture promotes inclusion, innovation, performance and growth. In FY25, we continued to grow our People Strategy, which is comprised of three pillars: building and retaining a robust talent pool, expanding technical and leadership capabilities, and inspiring and engaging employees to enable their best selves. 93% of employees hired from local communities in which we operate Growing our learning culture We believe in investing in our employees to help them develop satisfying careers at James Hardie. Grow@Hardie brings our purpose of Building a Better Future For All™ to life by empowering our employees to drive their careers and build a better future for themselves. Building off the successes and lessons learned from the program’s inaugural year in FY24, Grow@Hardie continued its mission to engage employees through growth and career development opportunities year-round. We held our first Employee Development Month in September with virtual and in-house programs led by expert instructors. The learning and professional development opportunities focused on individual development planning, career growth strategies, skills development and more. Employees also participated in regional Core Development Days hosted at all our offices and plants around the world. Events included keynote addresses by renowned guest speakers, presentations and panel discussions with senior leadership, breakout sessions and networking opportunities. In FY25, we invested in a new leadership training program in Europe, where all 150 leaders were expected to complete an extensive four-day course to improve their skills. This program is built on lessons learned by our APAC team, who developed a similar training for their leaders. Meanwhile, we continue to invest in other training initiatives and build organizational capabilities across our workforce by expanding our talent development team, creating individual development plans for our employees and taking a more holistic approach. Our James Hardie University Online offers a variety of training opportunities to employees. By helping our employees continue to grow and reach their potential, we build a more stable and resilient workforce. 8 James Hardie | Building Resilience Sustainability Repor t | FY 2025 About Sustainability Goals Supply Chain OperationsMessage from our CEO People Products Communities Appendix


 
Building a stronger workforce Well-being is valued and integrated into every aspect of our business, empowering our people to thrive inside and outside of James Hardie. BuildWell cultivates a culture of well-being, where employees are supported with education, resources and opportunities for their physical, mental, social and financial well-being. BuildWell is tailored to the specific needs of employees in different regions. For example, under our BuildStability pillar, we are rolling out a stock purchase program and a pension program for all our European employees that includes an employer match. As part of our BuildMindfulness and BuildStrength pillars, we now provide free professional physiotherapist and psychiatrist services onsite at our plants in Australia. In Europe, we began offering supplemental health insurance that allows our employees to access private coverage in addition to public health care and gives them full dental coverage. This new benefit is helping our employees get the quality health care they need when they need it. By having the ability to see a private provider, they can be treated more quickly and hopefully return to work sooner. BuildMindfulness: building emotional well-being 2 Our new holistic BuildWell strategy is founded on four pillars: 1 BuildStrength: building physical well-being3 BuildStability: building financial well-being 4 BuildConnections: building social well-being F Y 2 5 H I G H L I G H T S + We created Rise@Hardie, a 12-week formal internship program. This year, 41 interns participated and were provided with meaningful assignments, professional development and mentorship to enable a smooth transition to their professional careers. Our interns represent a promising talent pool for future employment at James Hardie. + We encourage healthy lifestyle behaviors by offering comprehensive, regionally tailored compensation packages that include benefits and incentives to address physical, mental and financial well-being. In FY25, we expanded our wellness tools and resources, guided by the results of a global well-being survey. + The Financial Review BOSS Best Places to Work list ranked James Hardie Australia the No. 2 Best Place to Work in the Manufacturing, Consumer Goods and Utilities Category in 2025. The award recognizes organizations that are pioneering new ways of working and pushing boundaries when it comes to workplace policies and practices. James Hardie was also named one of the World’s Best Companies of 2024 by TIME and Statista. This list recognizes the top 1,000 companies who are changing the world. 9 James Hardie | Building Resilience Sustainability Repor t | FY 2025 About Sustainability Goals Supply Chain OperationsMessage from our CEO People Products Communities Appendix


 
F Y 2 5 H I G H L I G H T S C O N T I N U E D + We conducted our second annual global employee engagement survey — Hardie Heartbeat™ — to help gauge our progress and chart a path forward as we evolve our talent management efforts. The survey achieved an 86% response rate, putting us ahead of manufacturing benchmark companies, and scores across all categories increased over last year. A new People Leadership score comprised of nine questions was included to provide insight into our leaders’ ability to inspire, engage, recognize and develop their organizations and to help hold them accountable. We held listening sessions to discuss the results and are using that feedback to shape new programs and strengthen existing initiatives across the company in FY26 and beyond. H A R D I E H E A R T B E A T ™ S U R V E Y H I G H L I G H T S overall employee engagement score. 85% are proud to work for James Hardie. 93% feel free to openly discuss work hazards and safety issues. 88% believe in the company values. 83% believe we have an outstanding future. 81% E M P L O Y E E S P O T L I G H T Engaging with our employees James Hardie employees shared their thoughts as part of our Hardie Heartbeat survey. We received nearly 7,250 comments — more than twice as many as last year — and will use the feedback to help guide our global priorities and initiatives in the coming years. Many comments reflected why employees are proud to work at James Hardie and expressed appreciation for the work that has been done to create a supportive, inclusive culture. Employees told us they value: The opportunity to work with highly skilled, smart colleagues who share in the company’s vision and opportunities.” The people, the atmosphere and that the products we make are good quality and have a positive impact on people’s lives.” James Hardie’s strong commitment to employee development, safety and innovation.” 10 James Hardie | Building Resilience Sustainability Repor t | FY 2025 About Sustainability Goals Supply Chain OperationsMessage from our CEO People Products Communities Appendix


 
Belonging Inclusion and belonging are foundational to our culture and our business. We aim to ensure employees feel welcome and are able to do their best work. When we bring together people from different backgrounds, we strengthen our teams and generate value for our business. We have adopted a more strategic approach to hiring, leveraging technology and elevating the candidate experience to attract the best talent. We are also launching new initiatives in North America to increase the pipeline of qualified candidates. In addition, we are expanding engagement with universities and professional organizations such as the Society of Women Engineers and focusing on recruiting early career hires who can become candidates for higher-level positions. By revising job descriptions to be more attractive to a broader population and streamlining our applicant review process, we have reduced the time it takes to fill positions in North America. Our recruitment, HR and learning and development teams collaborate to optimize hiring, onboarding and ongoing employee development at all levels. F Y 2 5 H I G H L I G H T S + The James Hardie Engineering Development Program (EDP) is instrumental in attracting recent graduates to engineering positions at our manufacturing facilities. This full-time, rotational program is a gateway for professional growth and hands-on learning with extensive training that ranges from working with crew members on the manufacturing floor to connecting with fellow engineers across the network. Collaboration is at the heart of the EDP, allowing participants to build lasting relationships and share insights and solutions to drive continuous improvement across different plants. The program is also an important opportunity for us to build a more inclusive workforce. + In Europe, we launched training to help build cultural awareness among our employees. This program aids in creating more equitable hiring and performance processes to support our workplace goals. + We celebrated International Women’s Day across our global operations. For example, APAC held a facilitated discussion between James Hardie women employees and the Parramatta Eels Women’s rugby team. Panelists shared their career journeys in both sporting and corporate settings, highlighting barriers they had broken through and how their organizations had supported them in achieving success. 11 James Hardie | Building Resilience Sustainability Repor t | FY 2025 About Sustainability Goals Supply Chain OperationsMessage from our CEO People Products Communities Appendix


 
Promoting a winning culture Our Employee Resource Groups (ERGs) provide specialized programs that increase cultural awareness, engagement and retention. Members have the opportunity to develop professionally, expand their networks and make an impact within their external and internal James Hardie communities. Our ERGs are initiated and led by employees, sponsored by an executive champion and, consistent with our inclusive culture, open to all employees at the company. As our ERGs mature, their influence on our business and operations is growing. They can move quickly on initiatives and have become catalysts for positive change. We are encouraging involvement in ERGs at the plant level and have completed Gemba visits to see how we can best bring ERGs to our frontline employees. Gemba, which is embedded in our Hardie Operating System (HOS), refers to going to “the real place” to get real knowledge to solve a problem. By asking questions and talking to people on the ground, we are learning what their needs are and using those insights to shape a more inclusive, supportive culture. F Y 2 5 H I G H L I G H T S + In May, our AMIGOS ERG group hosted a cultural celebration at our Cleburne, Texas, manufacturing facility that was attended by over 300 employees. Participants enjoyed a range of activities, including ERG leadership panel discussions, a plant tour and a mariachi band performance. The AMIGOS team engaged with guests on the details of ERGs and well-being benefits at James Hardie, all while celebrating the local Cleburne community and the Cinco de Mayo holiday. + In honor of Women’s History Month and International Women’s Day, James Hardie and the North America chapter of the Women’s Initiative Network (WIN) ERG presented a special speaker series, “Breaking Barriers,” featuring Nicole Malachowski. Nicole is the first woman Thunderbird pilot, combat veteran, fighter squadron commander and White House Fellow & Advisor. She provided her valuable insights on leadership, resilience and the power of perseverance to our employees. + All of our AMIGOS events, including collaborations with other ERGs, source from local businesses. We also promote local businesses at our events. + Our ASPAN ERG piloted two grassroots learning and development efforts that grew out of members identifying opportunities for growth: one for public speaking and another for mentoring. + For Women’s Health Week, the APAC WIN Network group organized a week of physical, mental and financial health activities for staff and also supported the Share the Dignity charity, which supports women who are experiencing or at risk of homelessness, domestic violence or poverty. 12 James Hardie | Building Resilience Sustainability Repor t | FY 2025 About Sustainability Goals Supply Chain OperationsMessage from our CEO People Products Communities Appendix


 
Our Operations Integrating sustainability throughout our processes Sustainability is a foundational imperative for James Hardie, and we are integrating it throughout all aspects of our business. One key element is the integration of sustainability goals into HMOS, which helps us execute at all levels of our operations. HMOS encompasses our culture of continuous improvement and LEAN manufacturing and empowers our people to champion improvements to environmental performance. While some goals are a challenge to achieve, our teams remain focused and driven. We continue to innovate and find ways to make an impact. Our HMOS process guides the implementation of new initiatives and helps us to operationalize sustainability goals. For example, we pilot new technology solutions, such as water treatment processes, at one plant and then use what we learn to expand to other locations. In Europe, we leverage HMOS by integrating energy efficiency and intensity tracking updates for our plants into daily discussions. F Y 2 5 H I G H L I G H T S + As we studied ways to achieve a closed loop water system at our plants throughout Europe, we analyzed how much water is emitted in the exhaust systems. We assessed potential solutions and developed a plan that will allow us to eliminate that water loss. The plan also aligns with our decarbonization strategies, which include newer technology solutions designed to reduce emissions and improve efficiency. + Innovation Councils in each global region foster cross- functional collaboration and leadership accountability. We continue to invest in research and development (R&D) efforts which support product development and operational and process improvements. E M P L O Y E E S P O T L I G H T Recycling process waste for reuse in fiber cement production Our cross-functional RTY (rolled throughput yield) Improvement Team in Rosehill, Australia, developed and implemented technology to recycle dust created during the low-density additive process back into our fiber cement manufacturing. This process eliminates the equivalent of 200 metric tons of dust per year from landfill and saves an estimated AU$80,000 a year in waste costs. Ishita Puri Research Scientist, R&D John Garrard Quality Manager Lindsay Hill Raw Materials & Product Support Lead, R&D Mayank Bhardwaj Raw Materials Engineer, Manufacturing 13 James Hardie | Building Resilience Sustainability Repor t | FY 2025 About Sustainability Goals Supply Chain OperationsMessage from our CEO People Products Communities Appendix


 
Reducing our Scope 1+2 carbon footprint Based on the path we charted to reduce our Scope 1+2 greenhouse gas (GHG) emissions and work toward net zero by 2050, we continue to focus on one of our biggest levers — natural gas efficiency in our facilities. To underscore that these are companywide goals, we also set short-term internal natural gas targets (FY25-FY27) for each region. These targets form part of each regional president’s annual goals and are cascaded throughout the organization. This helps drive action and accountability across all facets at James Hardie. Natural gas opportunities were further developed with approval for pilot projects to validate assumptions on our journey to reduce our GHG footprint. We reduced our CY24 Scope 1+2 emissions by 14% from our CY21 baseline. This reduction reflects a combination of lower volumes, ceasing operations in the Philippines, grid decarbonization and internal projects, including our transition away from coal. In APAC, we reduced our natural gas intensity per unit of production by over 6% in FY25. Because energy costs in Australia are very high and increasing rapidly, efficiency measures help deliver up to AU$700,000 a year in savings as well as sustainability benefits. We are taking the learnings from our gas reduction efforts and replicating them in our other facilities, as well as applying this approach to explore opportunities in reducing our electricity intensity. The use of renewable electricity is the second of our biggest levers toward achieving our GHG emissions reduction goals. In light of increased renewable electricity costs, we focused our FY25 emission reduction efforts on operational efficiencies in collaboration with our advanced manufacturing group. Making our operations more efficient also makes them more resilient. Our strategic decarbonization plan includes five workstreams focusing on operational improvements, replicating best available technology across our network, exploring newer technology solutions, renewable electricity, and tracking and reporting tools. K E Y L E V E R S S C O P E 1 + 2 G H G E M I S S I O N S M T CO2e CY30 TARGET 42% reduction CY23 10% reduction reduction CY24 14% CY22 CY21 2% reduction Baseline Use of renewable electricity Natural gas efficiency Switch equipment to electric Remove coal from operations Grid decarbonization We take our commitment to GHG emission reductions seriously. Cross-functional task forces identified the use of renewable electricity and improvements in natural gas efficiency as our two most important levers. 14 James Hardie | Building Resilience Sustainability Repor t | FY 2025 About Sustainability Goals Supply Chain OperationsMessage from our CEO People Products Communities Appendix


 
Advancing our Low Carbon Cement Technology Development Roadmap In FY25, we continued to make significant progress along our journey to develop the technology that will allow us to reduce the CO2 impact of our fiber cement products by at least 50%. Once validated, implementing the technology at the plant level will depend on market conditions and timing that align with our business strategy. We began rolling out the technology developed during the first phase of our roadmap across the North American network, having conducted extensive research and development, followed by lab testing, manufacturing validation and third-party certification in partnership with world leading institutions and suppliers. While we have yet to fully realize the phase one reduction in CO2 impact across our products, due to the ongoing rollout, this work confirmed that our products maintain the durability, quality and resilience our customers have come to expect. The advances we have made in reducing carbon impacts have also had a positive effect on costs, making them a win for our bottom line. As we ramp up work on phase two of the roadmap and look forward to phase three, we made a sizeable financial investment to build a state-of-the-art low carbon cement laboratory that will allow us to accelerate our R&D efforts and refine the technology to further reduce the CO2 impact of cement. Because the cement we use in our products accounts for about a third of our GHG emissions, implementing a lower carbon solution is an important element of our overall GHG reduction strategy and will help us maintain leadership in the fiber cement industry as we drive toward a low carbon economy. L O W C A R B O N C E M E N T T E C H N O L O GY D E V E L O P M E N T R O A D M A P T H R O U G H F Y 3 0 F Y 2 5 H I G H L I G H T S + In Europe, we are investigating ways to reduce our energy use and move away from natural gas as part of our journey to net zero Scope 1+2 GHG emissions. We are also making our processes more efficient and, in FY25, we began the engineering work that is setting the stage for electrification trials. + We took the best practices learned from our natural gas efficiency efforts in APAC and put them into practice at roughly half of our North America plants. We expect to see the benefits in FY26. E M P L O Y E E S P O T L I G H T Saving costs by reducing natural gas use Julian’s precision and innovation reduced natural gas usage per standard meter of board produced by 10% in Münchehof, Germany. This work is anchored in HMOS driving long-term sustainable results. Building on the success of his work, this initiative will be implemented in Orejo, Spain. Julian Laumann Process Engineer Baseline CO² impact of cement 10%-15% reduction in cement CO² impact using lower carbon cement FY23-FY25 Phase 1 FY26-FY28 35% reduction in cement CO² impact through partnerships developing low carbon binder Phase 2 FY29+ 50%+ reduction in cement CO² impact using alternative binder created through industry collaborations Phase 3 15 James Hardie | Building Resilience Sustainability Repor t | FY 2025 About Sustainability Goals Supply Chain OperationsMessage from our CEO People Products Communities Appendix


 
Reducing waste for a more resilient planet and business Reducing — and ultimately eliminating — the waste generated by our manufacturing operations is a responsibility James Hardie takes seriously. We continue to develop new ways to recycle materials and resources within our plants. We also collaborate with companies throughout our supply chain to keep potential waste materials in the value stream and partner with local suppliers who can put some of the leftover materials from our operations to beneficial reuse. Finding beneficial uses for the materials left over from our operations is also a key driver toward achieving our goal of zero manufacturing waste to landfill by 2035. These efforts not only help to reduce our impact on the environment and on local landfills but also strengthen our business. In North America, we secured permits to send reject boards from several locations to local cement manufacturers. In Australia, we continue to work with concrete supplier Boral, which has a net-zero goal, to reuse waste from our plants in its manufacturing process. In FY25, we identified beneficial reuse applications for the waste from our Calbe, Germany, plant where we produce cement bonded boards for niche applications such as fire protection. We invested several million dollars to set up milling equipment to crush reject materials. We will recycle a portion of the crushed material to make new boards and work with a partner for the beneficial reuse of the remainder, while we continue to work on increasing internal recycling. This effort will divert approximately 8,000 metric tons of waste a year from landfills — a significant portion of landfill waste currently generated in Europe — and creates a closed loop in our value chain because the cement that is made with the crushed materials goes back into the manufacture of our products. This is a win for the environment and our bottom line, and we will continue working to increase the amount of material we can reuse within our plants. F Y 2 5 H I G H L I G H T S + We regularly ship pallets of product from North America to Europe where it is painted in custom colors for our customers. In FY25, we developed a recycling program that allows us to reuse these costly pallets, which must meet import/export requirements. By returning the pallets to our Pulaski, Virginia, plant for reuse, we are saving $1.5 million a year. + We continue to maintain ISO 14001 certification for our environmental management systems at the corporate level and at nine of our plants globally, including all our locations throughout Europe. + We maintain ISO 50001 certification for our energy management system across four of our European plants and are in the process of rolling it out to two further facilities. E M P L O Y E E S P O T L I G H T Creating more reusable material while reducing waste Chris and the Tacoma 1 team reduced machine cone purges by 75%, resulting in more reusable material and less sludge hauls. Their innovation to automate the recirculation in the machine cone during delay events has eliminated cone purges on startups and saves the plant approximately $80,000 a year in sludge haul costs. Chris Kerr Raw Materials Engineer 16 James Hardie | Building Resilience Sustainability Repor t | FY 2025 About Sustainability Goals Supply Chain OperationsMessage from our CEO People Products Communities Appendix


 
Optimizing water conservation Water is a scarce and valuable natural resource, and we are committed to optimizing our water use globally. We are raising the bar and setting new internal standards that go beyond regulatory requirements as we pursue water recycling opportunities as appropriate by site. We continue to invest in the development of advanced technology to manage our water use and reduce wastewater discharge, including ways to incorporate treated wastewater into our production processes. These actions improve our operational capabilities while building resilience in the communities where we live and operate, doing the right thing for the environment and reducing our costs. We brought our state-of-the-art water treatment plant at Carole Park, Australia, online in FY25. This multi- million-dollar plant, one of the most advanced water treatment plants across James Hardie, could enable us to recycle most of our wastewater once fully optimized. The system treats wastewater to remove and neutralize harmful chemicals so that it can be reused multiple times, contributing significantly to our goal of recycling 20 million cubic feet of water per year by 2030. The work we are doing in Carole Park is a foundational first step toward creating a closed loop system for water use and meeting our water recycling goal and will be leveraged to improve operations across the company. Planning ahead now for potential water scarcity or regulatory changes that affect water supplies makes our operations more resilient. F Y 2 5 H I G H L I G H T S + We made a financial investment to build a mobile water lab with sophisticated testing capabilities that will help us increase water recycling. Because the water coming into our plants is different at each site, this new lab will give us a holistic view of the water chemistry and allow us to customize the best solution for recycling at each location. Beginning in FY26, we will take the lab to plants where we have invested heavily in water treatment and regulatory compliance. This transformative investment represents a cross- functional collaboration across our R&D, sustainability, manufacturing, and environmental, health and safety departments. + Our engineers are working to optimize water use at several of our North America locations, making our use of this precious resource more efficient and effective. + After demonstrating the effectiveness of sulfate reduction technology at our Summerville, South Carolina, plant, we are testing the system in Pulaski, Virginia. By replacing barium with a safer compound in the water treatment process, we are able to remove sulfates more efficiently and more safely. E M P L O Y E E S P O T L I G H T Repurifying water for reuse When installing and commissioning new laboratory testing equipment at our Rosehill, Australia, facility, Anna found that our existing high-grade purified water was insufficient. But rather than increasing primary purification capacity, she identified a system that could repurify the water to be used again. This system not only increased purified water availability to our labs but also reduced project costs by 70% and reduced total freshwater consumption and waste from the system by 90%. Anna Labuz Research Scientist 17 James Hardie | Building Resilience Sustainability Repor t | FY 2025 About Sustainability Goals Supply Chain OperationsMessage from our CEO People Products Communities Appendix


 
Prioritizing Zero Harm Safety is embedded in our global corporate culture through our Zero Harm practices and philosophy in HMOS and our commitment to continuous improvement. We consider safety everyone’s responsibility and work diligently 24/7 to ensure the protection of our people and those who use or interact with our products. We believe that every incident is preventable, and we work toward Zero Harm through a focus on safe people, safe places and safe systems. Over a three-year period, we are investing more than $75 million in strategic safety infrastructure projects globally. We are upgrading safety equipment as part of our focus on the areas of highest risk for our employees: working from heights, machine guarding and energy control processes. Our engineered solutions also include special attention to the control of hazardous energy. In FY25, we installed sophisticated engineered fall arrest systems in all our North American plants. We also have made advances in machine guarding across the region. Machine guards provide protection for our employees while promoting risk awareness. Our Tacoma, Washington, plant installed guards in the entire sheet machine area, a first for the region, and is moving on to guarding in the cutting lines. In keeping with our HMOS philosophy, we plan to apply that successful framework to other safety processes over the next three years by piloting the solution at one plant and then taking advantage of the learnings as we move on to the next location. Our APAC and Europe regions also completed machine guarding installations and upgrades to make working from heights safer; additional upgrades are planned there over the next two years. We relentlessly pursue critical risk reductions through a focused approach on global standardization of best practices. Safety standards for energy control processes, machine guarding, working from heights and electrical safety have been developed and independently approved in North America and APAC. While our overall FY25 DART rate remains well below the industry average, we acknowledge that it did increase from our FY24 rate. We are actively addressing this through increased leadership engagement, continued execution of strategic safety projects and proactive risk mitigation on the plant floor. Looking forward, we plan to work with a consultant to develop a strategic long-term environmental health, safety and security roadmap and continue to leverage our HOS to spark engagement across the company. E M P L O Y E E S P O T L I G H T Recognizing exemplary safety leadership To coincide with our Global Zero Harm Month, we presented our second annual Zero Harm CEO Awards to sites and individual employees from each region to recognize those who routinely go above and beyond when it comes to safety. Each winning site (Tacoma 2, Washington; Rosehill, Australia; and Orejo, Spain) demonstrated continuous improvement and increased engagement and consistently works to achieve established global standards in Zero Harm. Our individual winners demonstrated exemplary safety leadership and behaviors daily and are committed to the James Hardie Zero Harm philosophy. Adrian Magaldi EHS Manager Orejo, Spain Mike Dye Specialist Operator Peru, Illinois Cade Watkins Engineer Westfield, Massachusetts Nathan Anderson Operator Carole Park, Australia 18 James Hardie | Building Resilience Sustainability Repor t | FY 2025 About Sustainability Goals Supply Chain OperationsMessage from our CEO People Products Communities Appendix


 
+ We surveyed employees to get their feedback on this year’s Global Zero Harm Month so that we can continually improve this event. Hundreds of employees shared what safety ownership meant to them, and their responses were transformed into a graphical representation of our Zero Harm culture. Here’s a sampling of what we heard: Taking ownership of safety means taking personal responsibility for my own safety, as well as contributing to the safety of those around me. It means being aware of my (surroundings), taking proactive measures to foster a safe environment, speaking up when I am uncomfortable, and supporting others to foster a community where we all look out for one another.” It is ultimately my responsibility to make sure that I take safety seriously, as seriously I take everything else, because everything else is irrelevant if something were to happen.” I have the power to make sure that both myself and the people around me go home every day to our families just as we came to work in the morning.” F Y 2 5 H I G H L I G H T S + Our second annual Global Zero Harm Month rallied team members around our theme of “Safety Ownership Starts with Me.” Through 35 events, we brought our Zero Harm foundational imperative to life with a focus on our individual and shared accountability to maintain a safe working environment for ourselves and others. Global focus areas this year included fall protection, machine guarding, lockout tagout and mental health and wellness. Local events featured impactful keynote addresses targeted to each unique work environment in addition to a selection of 16 demonstrations all tied to critical risk and other key safety topics. 19 James Hardie | Building Resilience Sustainability Repor t | FY 2025 About Sustainability Goals Supply Chain OperationsMessage from our CEO People Products Communities Appendix


 
Our Products Building materials that are made to last By developing products that are durable, resilient and low maintenance by design, James Hardie is helping create homes that can withstand a variety of climate conditions and weather extremes. Even as we drive down our carbon footprint, we are preserving and enhancing the quality and performance that make Hardie® products a valued solution for our customers. As the frequency of climate-driven events such as hurricanes and wildfires increases, the resiliency that our products provide remains our priority. Our Engineered for Climate® fiber cement products are noncombustible*, flood-zone rated (U.S. only) and resistant to damage from pests. They build value for homeowners and meet demand for high-quality products, contributing to a more future-ready built environment. Our fiber cement products capture CO2 from the environment as cement absorbs and reacts with CO2 from the air, providing an array of benefits throughout their service life. In Europe, our Hardie® Panel high-performance facade cladding has one of the lowest CO2 emissions of A2 fire-rated fiber cement facades^. In addition to siding and trim, we produce products tailored to the European market. Our fermacell® Therm25™ underfloor heating system is an ideal solution for new residential construction and renovation projects with electric heat pumps, which are becoming more popular as the EU moves away from combustion heating. Compared to conventional flooring that requires a wet concrete pour, Therm25™ is a fast and easy-to-install fiber gypsum product and has lower CO2 emissions. By helping reduce dependence on fossil fuels for home heating, we are contributing to a resilient future. By developing solutions that meet the needs of our global markets, we are reducing costs for our customers and delivering more durable and beautiful products. 65% of product deliveries within 500 miles of our manufacturing facilities * Hardie® fiber cement products are noncombustible and/or have a Class A fire rating when tested in accordance with ASTM E84. Fiber cement fire resistance does not extend to applied paints or coatings, which may be damaged or char when exposed to flames. The use of noncombustible siding, combined with other fire mitigation measures, may help harden a home against external fire. ^ Construction material class as per EN 13501-1: has a fire classification of A2-s1,d0. 20 James Hardie | Building Resilience Sustainability Repor t | FY 2025 About Sustainability Goals Supply Chain OperationsMessage from our CEO People Products Communities Appendix


 
Innovation for Building a Better Future for All™ Our Homeowner Focused, Customer and Contractor Driven™ philosophy is powered by innovation and the needs of those who use our products. We continue to develop new solutions that provide superior value to our customers and help them build better homes and more resilient communities. Our innovative approach is unlocking the potential for these benefits to be more affordable and available for homeowners across all price points. Cross-functional collaboration among our R&D, marketing, sales and products teams is driving this affordability focus across our value chain. We are combining our work with contractors and installers with our innovations, such as improvements to our Statement Collection® offer and distribution model, to materially lower the price that a homeowner pays for Hardie® siding. For example, our new Trim Over install methodology, coupled with efforts through the James Hardie™ ALLIANCE program, has led to price reductions in specific markets. We plan to expand these efforts and continue the development of our solutions to reduce on-the-wall costs to continue driving meaningful value to the market over the coming months and years. Showcasing beauty that stands the test of time James Hardie collaborates with leading architects and builders to demonstrate the modern standard of performance and beauty, while innovating to ensure our durable products can withstand a variety of climate conditions and extremes. In 2024, we worked with builders to spotlight three resilient homes in the Mountain, Midwest and Mid-Atlantic regions of the United States. In 2025, we were part of new and renovated home projects with leading architects and builders from Texas and Minnesota, in collaboration with Green Builder® Media and ProTradeCraft. In Austin, Texas, Green Builder® Media, along with Barley | Pfeiffer Architecture, is constructing the VISION House Austin. The home’s climate responsive design features Hardie® Artisan® Siding and Hardie® Artisan® Trim fiber cement products, which offer design features that set the home apart. James Hardie formulates products for specific climates with the Hardie™ Zone System that creates a substrate engineered to resist cracking, shrinking and swelling. The Austin home features our HZ10® products that offer protection from the hot, humid conditions and blistering sun in Texas. Our approach is to rely on climate-responsive design principles that include strategies that will enable this house to protect itself from the elements and look good for years to come before any maintenance is needed. To augment these strategies, we made a point to specify superior exterior cladding materials that are water-shedding as opposed to moisture absorbing, so they will continue to be durable and make for a truly sustainable home.” — Peter Pfeiffer Architect, VISION House Austin 21 James Hardie | Building Resilience Sustainability Repor t | FY 2025 About Sustainability Goals Supply Chain OperationsMessage from our CEO People Products Communities Appendix


 
F Y 2 5 H I G H L I G H T S + We introduced the TimberHue™ Collection of products with two-tone, premium finishes that deliver an authentic wood-look in a palette of eight colors. This innovation in North America retains James Hardie engineering to withstand the harsh weather conditions and is noncombustible*. + We announced the expansion of our award- winning Hardie™ Architectural Collection and welcomed the Hardie® Artisan® Siding series into the collection. Hardie® Artisan® Lap siding was recognized as one of the Green Builder® Sustainable Products of the Year for 2024, and Hardie® Artisan® Trim was named one of the Green Builder® Sustainable Products of the Year for 2025.  Hardie® Artisan® Lap Siding offers extra thick boards and deep shadow lines that enable architects and builders to mimic the look of natural wood materials, all with the durability and resilience of fiber cement. We also introduced Hardie® Architectural Panel, which can be oriented vertically or horizontally for additional design flexibility and will be available in 2025 across North America. + Green Builder® Media recognized James Hardie with a 2024 Eco Leader Award for being among the most forward-thinking manufacturers in the business. + In May, we honored several employees and teams with our inaugural James Hardie Global Innovation Awards, which recognize those who embody our values and create a positive impact on our Innovation culture. Award categories centered around leadership, cross-functional collaboration and innovation and highlighted achievements in group projects, individual contribution and ways of working. These awards celebrate the core elements that drive innovation, reward the right mindset and behaviors and are fundamental to our continued success. E M P L O Y E E S P O T L I G H T Earning coveted ecolabels for our products Julie worked with key stakeholders to obtain Global GreenTag certificates, recognized as one of the world’s most trusted ecolabels and highly valued by architects and designers across New Zealand and Australia. We achieved GreenTag GreenRate™ Level A for our products. James Hardie was also recognized with the highest PlatinumHEALTH level rating for our Global GreenTag Product Health Declaration™ which is considered world-leading. Julie Sinclair Marketing Manager *Hardie® fiber cement products are noncombustible and/or have a Class A fire rating when tested in accordance with ASTM E84. Fiber cement fire resistance does not extend to applied paints or coatings, which may be damaged or char when exposed to flames. The use of noncombustible siding, combined with other fire mitigation measures, may help harden a home against external fire. 22 James Hardie | Building Resilience Sustainability Repor t | FY 2025 About Sustainability Goals Supply Chain OperationsMessage from our CEO People Products Communities Appendix


 
Our Communities Supporting resilient communities worldwide James Hardie’s global giving and community engagement strategy brings to life our purpose of Building a Better Future for All™ and is aligned with our business objectives. We are developing resilient building solutions that do right by our shared planet as well as support communities where our products are used and where our team of more than 5,800 global employees live and work. From our employees to our senior leaders, everyone is empowered to drive change in their communities. Our culture emphasizes thinking globally while acting locally. Our charitable giving and community engagement activities are organized into three pillars: Disaster relief When our communities are impacted by natural disasters, we work to show up with our products, time and money to rebuild in partnership with local organizations and governments. Safe, resilient, durable shelter We prioritize supporting families, and in turn our communities, in need of affordable safe housing. 1 2 3 STEM & manufacturing education We want to nurture the next generation to help build and maintain sustainable communities. 23 James Hardie | Building Resilience Sustainability Repor t | FY 2025 About Sustainability Goals Supply Chain OperationsMessage from our CEO People Products Communities Appendix


 
Providing disaster relief to those in need When disasters big and small strike, we show up to help. We are proud to offer emergency financial donations, but our strength and the way we can offer the most value is by collaborating with local organizations to rebuild homes and other community buildings through product donations and volunteer efforts. We understand that disaster recovery is a years-long process, and we are prepared to support communities when they are ready to rebuild. H E R E A R E S O M E W A Y S W E H E L P E D I N F Y 2 5 : + After Hurricane Helene caused severe devastation across the Southeast U.S. in 2024, many communities were left without essential services, water and food. Some of our employees were among those impacted, especially in Plant City, Florida, and Summerville, South Carolina, and we worked to provide them with the appropriate support and resources to ensure their safety. To support immediate relief and recovery efforts, we provided cash donations to Team Rubicon and World Central Kitchen to assist affected communities and encouraged employees who were able to join us. + We also quickly provided financial donations to support the California Fire Benevolent Foundation and California Fire Foundation after the devastating 2025 wildfires in Los Angeles and surrounding areas. Our AMIGOS ERG spearheaded a collection drive for essential items such as diapers, toiletries and clothing to immediately help families displaced by the fires. Employees brought their donations to our Fontana, California, site, and AMIGOS leaders coordinated deliveries to donation drop off sites where they were most needed. Several Fontana employees also volunteered to help prepare freshly cooked meals at the Los Angeles Dream Center, which provided disaster relief for those affected by the fires. + Habitat for Humanity® Maui is in the process of rebuilding six homes damaged by the 2023 wildfires in the Lahaina, Hawaii, community. During the construction phase, one of the homes is being used as a bunk house to provide volunteers from around the world who come to help with a place to live. That home will be sold as affordable housing to a local family once construction is completed. Our product donations of nearly 17,000 square feet will provide exterior siding for all six homes. 24 James Hardie | Building Resilience Sustainability Repor t | FY 2025 About Sustainability Goals Supply Chain OperationsMessage from our CEO People Products Communities Appendix


 
Collaborating with Habitat for Humanity® around the globe We have proudly supported Habitat for Humanity® International for many years as part of our efforts to fulfill our purpose of Building a Better Future for All™. We have donated siding, trim, soffit and weather barrier, and hundreds of our employees have given their time and talents to build Habitat homes. Last year, we announced our corporate sponsorship of the Habitat Strong initiative. As part of our three-year commitment, we make financial grants and donate our engineered-to-last fiber cement siding and trim products to enable the construction of homes across the United States. Learn more by watching this video. Some of the projects we supported rebuilt homes after a natural disaster struck, while others focused on fortifying homes in vulnerable areas. In FY25, 29 Habitat Strong grants were provided to build affordable and climate-resilient homes that can withstand severe weather conditions and natural disasters. We also teamed up with Habitat for Humanity® to build homes with Hardie® siding and trim in South Chicago, Illinois. Nearly 50 employees volunteered their time and talents to help construct four new 1,600-sqare-foot homes. Through Habitat Women in Australia, our employees participated in 10 volunteer days, and we donated cash and products to help teach women installation skills, building job resilience in communities. In addition, our Rosehill team volunteered with Habitat for Humanity® Australia’s bushfire resilience program to help homeowners better prepare for future disasters. Employees spent the day at a residence creating fire breaks and clearing gutters and vegetation that could be fire hazards. In New Zealand, we donated a full suite of products — including soffits, tile underlay and cladding — totaling over 17,000 square feet to Habitat for Humanity® Northern Region. The materials were used to construct a housing development in Whangarei, which provided homes for 42 families. Through Habitat for Humanity® in Europe, we donated over 50,000 square feet of product to social housing projects in Romania and rebuiliding efforts in Ukraine. 25 James Hardie | Building Resilience Sustainability Repor t | FY 2025 About Sustainability Goals Supply Chain OperationsMessage from our CEO People Products Communities Appendix


 
F Y 2 5 H I G H L I G H T S + The inaugural James Hardie™ Pro Football Hall of Fame Invitational golf tournament took place in spring 2025 at the Old Course at Broken Sound in Boca Raton, Florida. Charitable partners Habitat for Humanity® Greater Palm Beach County, First Tee Florida Gold Coast and Boca Raton Regional Hospital Foundation benefitted from the event. In advance of the tournament, James Hardie teamed up with members of the Pro Football Hall of Fame to help build homes for families in Ohio and Florida. + We continued our partnership and support of First Tee® in the United States. First Tee is a youth development organization seamlessly integrating the game of golf with a life skills curriculum that helps to foster resilience and strong character. 600K+ square feet of material donated by James Hardie to support our local communities in FY25, in addition to monetary contributions E M P L O Y E E S P O T L I G H T Coordinating donations for good Lupe leads many of the donation and charitable activities conducted by our R&D department in Fontana, California. She ensures pallets of material from R&D projects which cannot be sold, but meet quality standards, are instead donated to Habitat for Humanity® ReStore. Lupe also coordinates a volunteer day to support Homes for Our Troops, a nonprofit that builds adapted custom homes for severely injured veterans. Lupe Olive Team Leader, Research and Product Development + Locally, our employees get involved with charitable organizations and support projects that are personally meaningful to them. Employee-led efforts included: — Our Australia offices hosted their annual Christmas charity drive which benefits different charitable organizations each year. In FY25, nearly AU$18,000 was raised, matched dollar-for-dollar by James Hardie and then donated evenly between two charities: Habitat for Humanity® Australia and Disaster Relief Australia. — APAC employees Shannen Banfield and Alexis Pieterse arranged a volunteer event with OzHarvest for more than 60 attendees of our Asia Pacific Leadership Forum. With support from chefs, the team used rescued food which might otherwise have gone to waste to prepare fresh and nutritious meals for people in need. — James Hardie is proud to return as the major sponsor of the Parramatta Eels National Rugby League Club in Western Sydney, Australia. We are also collaborating with the Parramatta Eels to encourage young people to consider a career in construction and empower them through learning and development opportunities. As part of this initiative, our installation and construction managers were on site at Productivity Bootcamp’s Penrith Campus in March to train instructors for a three-day cladding intensive program. 26 James Hardie | Building Resilience Sustainability Repor t | FY 2025 About Sustainability Goals Supply Chain OperationsMessage from our CEO People Products Communities Appendix


 
Appendix About this report 28 Our sustainability governance and strategy 29 Data summary 34 TCFD disclosure update 39 GRI content index 42 SASB index 46 Aligning with the United Nations 47 Sustainable Development Goals (SDGs) Endnotes 48 27 James Hardie | Building Resilience Sustainability Repor t | FY 2025 About Sustainability Goals Supply Chain OperationsMessage from our CEO People Products Communities Appendix


 
About this report This is James Hardie’s fifth annual sustainability report. It covers our sustainability performance progress for fiscal year 2025 (1 April 2024 through 31 March 2025) across our global operations and highlights our priorities. Environmental data is collected and reported on a calendar rather than a fiscal year basis. Any other exceptions to the reporting period are noted within the report. It has been prepared with reference to the GRI (Global Reporting Initiative) Sustainability Reporting Standards 2021. As our sustainability program progresses, we are committed to aligning with best practice reporting standards and frameworks, including those set forth by GRI, the Sustainability Accounting Standards Board (SASB) and the Task Force on Climate-related Financial Disclosures (TCFD). As of 01 July 2025, James Hardie has acquired The AZEK Company Inc. Data in this report include all sites under James Hardie’s operational control during FY25 (except where noted). Future reports will include performance data from the consolidated company. All monetary figures are in U.S. dollars unless otherwise indicated. We welcome your comments and feedback at investor.relations@jameshardie.com.au. 28 James Hardie | Building Resilience Sustainability Repor t | FY 2025 About Sustainability Goals Supply Chain OperationsMessage from our CEO People Products Communities Appendix


 
Board of Directors Our full Board of Directors has oversight of the company’s principles and strategy relating to sustainability. The Board regularly reviews with management strategic issues related to sustainability and progress against our goals. Executive Leadership Team Headed by our CEO, our Executive Leadership Team (ELT) provides guidance on global sustainability issues that are most material to James Hardie and our key stakeholders. The ELT ensures that sustainability remains a central component of our business strategy. Hardie Operating System Steering Committees Our Hardie Operating System (HOS) drives alignment of initiatives to strategic objectives and enables efficient resource allocation for all our strategic initiatives, including those related to sustainability. Cross-functional steering committees help lead and coordinate sustainability efforts across our global operations and ensure that we are on track to achieve our sustainability goals. Global Project Teams Our Global Project Teams include representatives from various departments across James Hardie, such as Human Resources, Operations, Research & Development and Environmental Health & Safety. They implement initiatives that support our sustainability goals, tracking and reporting progress to their respective Steering Committee on a regular basis. Our sustainability governance and strategy Integrating sustainability throughout James Hardie We’ve integrated sustainability throughout our company, from our daily operations to our executive leadership and Board of Directors. Our governance structure is designed to facilitate accountability, transparency and continuous improvement of our sustainability initiatives. 29 James Hardie | Building Resilience Sustainability Repor t | FY 2025 About Sustainability Goals Supply Chain OperationsMessage from our CEO People Products Communities Appendix


 
Focusing on our sustainability pillars Our sustainability strategy is integrated with our global strategy for value creation and operational performance. It focuses on four key pillars: Planet, Innovation, Communities and Zero Harm. HARDIE MANUFACTURING OPERATING SYSTEM James Hardie’s culture of continuous improvement and LEAN manufacturing is deployed through our Hardie Manufacturing Operating System (HMOS). HMOS integrates our global network of plants and our people, driving continuous improvement in our manufacturing and environmental performance through employee engagement and empowerment, cross-functional collaboration, knowledge sharing of best practices, elimination of variability and promotion of accountability across the entire organization. Through HMOS, our best practice policies and processes are being standardized globally, with specific regional regulatory requirements and product lines taken into account. In addition to a central HMOS team, we have HMOS managers at every plant, yielding reduced environmental impacts, better products for consumers and safer work environments. HMOS plays a key role in our sustainability initiatives, continually driving improvements in manufacturing efficiency, resource conservation, waste reduction and safety. SUSTAINABILITY PILLAR COMMITMENT & MANAGEMENT APPROACH Planet We proactively manage our impact on the environment with a prioritization on circularity and reducing greenhouse gas emissions. We are dedicated to reducing our carbon footprint, minimizing waste and saving water. By conserving, renewing and recycling natural resources, we are helping to protect the environment and support resilient communities. Our commitment is an integral part of our guiding purpose, vision, mission and values; our Hardie Operating System; and our Global Environmental Protection Policy, which is communicated to employees, contractors and customers. We continue to maintain ISO 14001 certification for our environmental management systems at the corporate level and at nine of our plants globally, representing 47% of our manufacturing facilities. We also maintain ISO 50001 certification for our energy management system across four of our European plants. Innovation We are committed to transforming new technologies into high- quality and sustainable products, solutions and building practices. Our global strategy is to develop Homeowner Focused, Customer and Contractor Driven™ innovation that addresses unmet needs while expanding our portfolio of products. Insights from homeowners, customers and contractors play an important role in helping us develop new and innovative solutions that improve the lives of homeowners. By applying a mindset of continuous improvement to research and product development, we deliver superior value to our customers. This helps end users build better homes and more sustainable communities. We leverage our global scale and know-how with a strong in-house R&D team stationed around the world. We continue to expand our R&D capabilities through targeted investment. Our innovation platforms are poised to deliver new designs and aesthetics so homeowners can be inspired with endless possibilities to bring their dream home to reality. These designs are built on the key advantages of our fiber cement technology that delivers durability, low maintenance and noncombustibility while continuing to make these solutions easier to install to enhance labor productivity. SUSTAINABILITY PILLAR COMMITMENT & MANAGEMENT APPROACH Communities We are striving to build and maintain an inclusive culture within our business and supporting the communities where we live and work. We create jobs that help drive local economies and aim to attract, develop, engage and retain talent. Our culture promotes inclusion, innovation, performance and growth. Driven by the belief that a skilled workforce encompasses different viewpoints, expertise, attributes and life experiences, we recognize the unique strengths of each employee to contribute to our culture and operating performance. We encourage employee engagement, responsibility and accountability. Supporting and investing in communities is integral to the James Hardie culture. We strive to positively impact the people and families in the communities in which we operate and where our products are used. Working in collaboration with departments across the company, our Director, Global Social Impact is responsible for developing and implementing our community engagement initiatives. Zero Harm With our Zero Harm culture, we seek to ensure the safety of our products, employees, partners, customers and communities. We prioritize safety globally through our Zero Harm standards and our commitment to continuous improvement. Safety is embedded in our corporate culture, and we work diligently 24/7 to ensure the protection of our people and those who use or interact with our products. Our Global Code of Business Conduct guides our actions to ensure we do the right thing by acting ethically, fairly and with integrity. Zero Harm is managed at the global level but relies on participation from every employee because safety is everyone’s responsibility. New hires go through training that emphasizes hands-on learning, and safety protocols are standardized across the globe for all employees, contractors and anyone visiting our facilities. We take a collaborative and cross-functional approach to Zero Harm. Safety is discussed at the beginning of every James Hardie meeting, and we hold safety phone conferences twice weekly. We are proud of our incident rates, which remain well below industry averages. Our European operations, which adopted our Zero Harm policy and best practices after acquisition, have made great strides. We relentlessly pursue critical risk reductions through a focused approach on global standardization of best practices and continuous improvement. 30 James Hardie | Building Resilience Sustainability Repor t | FY 2025 About Sustainability Goals Supply Chain OperationsMessage from our CEO People Products Communities Appendix


 
Determining our material topics At James Hardie, we are committed to managing and reporting on what matters most to our stakeholders. Our materiality assessment ensures that our sustainability initiatives and reporting align with both our business and stakeholders’ priorities. The process, which was led by our sustainability team and supported by external sustainability consultants, identified and validated the company’s material topics and assessed associated impacts across our value chain. To determine our material topics, we analyzed inputs from a range of internal and external sources. We consulted global sustainability standards and frameworks, including GRI, SASB and United Nations Sustainable Development Goals (UN SDGs). Current and potential sustainability-related legislation, key stakeholder expectations and leading industry practices and initiatives were also evaluated. These topics were then vetted by key decision-makers throughout our company and prioritized based on the significance of the impacts and importance to stakeholders. We are committed to regularly evaluating our material topics as our company and operating environment continue to evolve. LIST OF MATERIAL TOPICS DESCRIPTION Circularity Designing high-quality, durable, resilient products and managing their life cycle impacts through the choice of materials and the elimination of waste in our manufacturing processes. Climate Managing and mitigating our operations’ and products’ greenhouse gas emissions, and evaluating our business resilience to climate change. Governance & Ethics Adhering to sound ethics and accountability, including compliance with anti-corruption, anti-bribery, anti-competitive and other laws and regulations globally. Human Capital Management Making James Hardie an employer of choice by attracting, developing, engaging and retaining our workforce through a culture that promotes inclusion, innovation, performance and growth. Human Rights Protecting and advancing human rights worldwide and eliminating forced and compulsory labor, including child labor and human trafficking across the supply chain. Local Communities Assessing social, cultural and/or environmental impacts on local communities and wider stakeholders, while reducing adverse impacts and promoting positive outcomes. Occupational Health & Safety Ensuring healthy and safe work conditions across our operations, preventing physical and mental harm and promoting health and well-being. Product Quality & Safety Managing product quality and safety to ensure customer requirements are met, including durability, climate resilience, sustainability, health and safety across the life cycle of products and adherence to regulations and voluntary codes. Water & Effluents Conserving, managing and reusing/recycling water, including the amount of water withdrawn and consumed and the quality of the water we discharge. 31 James Hardie | Building Resilience Sustainability Repor t | FY 2025 About Sustainability Goals Supply Chain OperationsMessage from our CEO People Products Communities Appendix


 
Assessing impacts along our value chain As part of our materiality assessment, we evaluated impacts associated with our operations along the value chain. This analysis enables us to target opportunities that enhance value creation for our stakeholders, as well as improve management of any potential or actual impacts resulting from our business activities. We manage impacts under our direct operational control through integrated operating and management systems, such as the Hardie Manufacturing Operating System. In areas where we have influence over impacts as they relate to our operations, we seek collaborative ways upstream and downstream to help reduce negative and maximize positive impacts. D E V E L O P I N G A C I R C U L A R S U P P LY C H A I N James Hardie is committed to developing a more circular supply chain to reduce our impact while strengthening our business. We employ, source, deliver and donate locally with the goal of creating positive impact in the communities in which we operate. Maintaining an efficient supply chain and locating our plants near our customers benefits our suppliers, our customers and our bottom line while reducing the impact on the environment. RAW MATERIALS & SUPPLY Our footprint includes the mining and processing of raw materials. We work with our suppliers to reduce our impact. TRANSPORT OF RAW MATERIALS Our facilities are located near our suppliers, reducing the distance and emissions from transporting dense raw materials. MANUFACTURING & GLOBAL OPERATIONS Manufacturing products generates emissions and waste, uses energy and natural resources and relies on our employees. Innovation, efficiency and safety are priorities. DISTRIBUTION OF OUR PRODUCT Our products are used all over the globe, requiring transport from plant to job site. We prioritize shipping locally wherever possible. INSTALLATION OF OUR PRODUCT Efficient and innovative solutions can reduce the time and impact of product installation. CO2 Our products are engineered for climate resilience and stand up to extreme weather, reducing the need for maintenance. USE OF OUR PRODUCT Our durable products are built to last, and our fiber cement siding even absorbs CO2 during its life. PRODUCT MAINTENANCEDEMOLITION AND DISPOSAL At end of life, dismantled products are taken back and recycled by James Hardie or sent to landfill. 81% of raw materials sourced within 150 miles of our manufacturing facilities 93% of employees hired from local communities in which we operate $1.65B in economic value contributed in communities in which we operate 65% of product deliveries within 500 miles of our manufacturing facilities 32 James Hardie | Building Resilience Sustainability Repor t | FY 2025 About Sustainability Goals Supply Chain OperationsMessage from our CEO People Products Communities Appendix


 
Engaging with our stakeholders We regularly engage with key stakeholders through a variety of methods to discuss and learn what matters most to them, including sustainability-related topics, and to identify actual and potential impacts from our business activities. The following table lists some of the ways we regularly engage and communicate with our stakeholders. STAKEHOLDER GROUP METHODS OF ENGAGEMENT Communities Community outreach and development Charitable contributions and employee engagement activities Disaster response and recovery initiatives Compliance with laws and regulations Consumers Market research Research and development insight studies Direct feedback Customers and Architects Satisfaction surveys and periodic questionnaires Direct meetings, emails and other communications Product collaborations and trainings  Conferences and industry events Employees Employee surveys Regional meetings, town hall meetings and discussion roundtables Ongoing company intranet and internal communications Career development, performance reviews and training opportunities Employee Resource Groups Investors Annual shareholder meeting Financial reporting and quarterly earnings calls Meetings with analysts and investors Investor Days Surveys and requests from sustainability ratings and rankings agencies Suppliers Global Supplier Code of Conduct Vendor risk assessments Performance monitoring Direct meetings, emails and other communications 33 James Hardie | Building Resilience Sustainability Repor t | FY 2025 About Sustainability Goals Supply Chain OperationsMessage from our CEO People Products Communities Appendix


 
Data summary G E N E R A L SCALE OF THE ORGANIZATION FY21 FY22 FY23 FY24 FY25 Total average number of employees 4,861 5,196 5,473 5,679 5,860 Total number of operations 18 19 19 19 19 Net sales (Million USD) 2,909 3,615 3,777 3,936 3,878 Volume of products sold (mmsf) 4,131 4,698 4,465 4,342 4,164 INFORMATION ON EMPLOYEES & OTHER WORKERS FY21 FY22 FY23 FY24 FY25 Total average number of permanent employees 4,861 5,196 5,473 5,679 5,860 Female 668 766 781 927 957 Male 4,193 4,430 4,692 4,752 4,903 Fiber cement United States & Canada 2,662 3,014 3,228 3,337 3,543 Europe building products 937 935 981 1,043 1,098 Fiber cement Australia 580 583 594 597 637 Fiber cement New Zealand 116 53 45 43 43 Fiber cement Philippines 348 362 360 352 198 Research & development, including technology 155 186 181 167 178 General corporate 63 63 84 140 163 COLLECTIVE BARGAINING AGREEMENTS FY21 FY22 FY23 FY24 FY25 Percentage of total employees covered by collective bargaining agreements 14% 17% 16% 15% 15% ANTI-CORRUPTION FY21 FY22 FY23 FY24 FY25 Percentage of employees to whom anti-corruption policies & procedures have been communicated 100% 96% 27%* 96% 91% Total number of confirmed incidents of corruption 2 2 2 1 0 in which employees were dismissed or disciplined for corruption 2 2 2 1 0 Public legal cases regarding corruption brought against the organization or its employees during the reporting period & the outcomes of such cases 0 0 0 0 0 * Due to organizational changes, Code of Conduct training was not undertaken in FY23. A new global compliance training calendar has been introduced that requires annual Code of Conduct training for employees. PRICING INTEGRITY & TRANSPARENCY FY21 FY22 FY23 FY24 FY25 Total amount of monetary losses as a result of legal proceedings associated with cartel activities, price fixing & anti-trust activities $0 $0 $0 $0 $0 34 James Hardie | Building Resilience Sustainability Repor t | FY 2025 About Sustainability Goals Supply Chain OperationsMessage from our CEO People Products Communities Appendix


 
Data summary continued C O M M U N I T I E S PROCUREMENT PRACTICES FY21 FY22 FY23 FY24 FY25 Percentage of procurement from suppliers local to that operation (by weight)* 83% 80% 81% 81% 81% * Suppliers local to that operation refers to suppliers located within 150 miles of our manufacturing facilities. EMPLOYMENT FY21 FY22 FY23 FY24 FY25 Total number of new employee hires in the reporting year 645 1,642 1,107 1,284 954 APAC 63 230 132 144 191 EMEA 101 169 179 128 169 NA 481 1,243 796 1,012 594 Total employee turnover in the reporting year 8.6% 14.0% 16.3% 14.9% 12.9% New employees hired locally* 630 1,224 1,013 1,275 887 * New employees hired locally refers to new employees hired without a relocation package. WORKFORCE DEMOGRAPHICS FY21 FY22 FY23 FY24 FY25 Governance body members Female 36% 43% 50% 50% 44% Male 64% 57% 50% 50% 56% Members with diversity characteristics 55% 43% 63% 63% 56% Total number of permanent employees Female 14% 15% 14% 16% 17% Male 86% 85% 86% 84% 83% Employees with diversity characteristics (U.S. only)* 40% 43% 43% n/a n/a Underrepresented minority employees (U.S. only)* n/a n/a n/a 35% 30% Employees in management roles Female 16% 19% 19% 23% 24% Male 84% 81% 81% 77% 76% Employees with diversity characteristics (U.S. only)* 33% 35% 34% n/a n/a Underrepresented minority employees (U.S. only)* n/a n/a n/a 23% 22% * Beginning in FY24, we began disclosing data for underrepresented minority employees (U.S. only), rather than employees with diversity characteristics (U.S. only), to better align with our financial reporting. 35 James Hardie | Building Resilience Sustainability Repor t | FY 2025 About Sustainability Goals Supply Chain OperationsMessage from our CEO People Products Communities Appendix


 
Data summary continued Z E R O H A R M HEALTH & SAFETY MANAGEMENT SYSTEM FY21 FY22 FY23 FY24 FY25 Percentage of all employees covered by a health & safety management system 100% 100% 100% 100% 100% Percentage of all employees covered by a system that has been internally audited 100% 100% 100% 100% 100% WORK-RELATED INJURIES FY21 FY22 FY23 FY24 FY25 Near miss frequency rate Employees 14.2 13.0 20.7 15.4 13.6 Number of recordable work-related injuries Employees 39 66 68 70 79 Rate 0.83 1.22 1.16 1.22 1.33 Number of high-consequence work-related injuries Employees 3 2 1 1 3 Rate 0.06 0.04 0.02 0.02 0.05 Contractors 0 0 0 0 1 Number of fatalities as a result of work-related injuries Employees 0 0 0 0 1 Contractors 0 0 0 0 0 Days away from work, restricted work activity or job transfer Employees 24 39 38 36 48 Rate 0.51 0.72 0.65 0.63 0.84 Number of hours worked Employees 9,422,474 10,805,941 11,697,877 11,492,515 11,496,589 WORK-RELATED ILL HEALTH FY21 FY22 FY23 FY24 FY25 Number of fatalities as a result of work-related ill health Employees 0 0 0 0 0 Contractors 0 0 0 0 0 Number of reported cases of silicosis 0 0 0 0 0 Note: Contractor data is not tracked, however, we can confirm no high-consequence work-related injuries or fatalities to contractors occurred at our facilities in the reporting periods. CUSTOMER HEALTH & SAFETY FY21 FY22 FY23 FY24 FY25 Total number of incidents of non-compliance with regulations and/or voluntary codes concerning the health and safety impacts of products by: incidents of non-compliance with regulations resulting in a fine or penalty 0 0 0 0 0 incidents of non-compliance with regulations resulting in a warning 0 0 0 0 0 incidents of non-compliance with voluntary codes 0 0 0 0 0 36 James Hardie | Building Resilience Sustainability Repor t | FY 2025 About Sustainability Goals Supply Chain OperationsMessage from our CEO People Products Communities Appendix


 
E N V I R O N M E N T MATERIALS FY22 FY23 FY24 FY25 Percentage of recycled input materials (by weight) used to manufacture primary products Fiber cement 15% 15% 15% 15% Fiber gypsum 35-50% 35-50% 35%-50% 35%-50% Note: Our fiber gypsum products contain a minimum of 35% recycled inputs with some plants using up to 50% recycled inputs, by weight. PRODUCT INNOVATION FY22 FY23 FY24 FY25 Percentage of revenue covered by Environmental Product Declarations Global 26% 94% 92% 92% Europe 86% 87% 87% 87% Asia Pacific 90% 87% 90% 95% North America n/a 97% 93% 93% ENVIRONMENTAL COMPLIANCE FY22 FY23 FY24 FY25 Significant fines and non-monetary sanctions for non-compliance with environmental laws and/or regulations Total monetary value $0 $0 $0 $0 Total number of non-monetary sanctions 0 0 0 0 Cases brought through dispute resolution mechanisms 0 0 0 0 ENERGY (CALENDAR YEAR) CY20 CY21 CY22 CY23 CY24 Total energy consumption (MWh) 2,208,254 2,607,510 2,693,669 2,420,608 2,409,388 Total fuel consumption (MWh) 1,578,304 1,872,671 1,908,519 1,702,170 1,685,032 Natural gas 1,340,721 1,584,016 1,702,193 1,552,591 1,561,069 Bituminous coal 163,819 169,408 95,511 45,390 42,119 Diesel 55,002 74,688 68,910 65,033 59,543 LPG 18,243 44,238 41,361 38,734 21,828 Motor gasoline 385 319 543 423 473 Fuel gas 134 1 1 n/a n/a Total electricity consumption (MWh) 623,296 734,839 785,150 718,438 724,356 Self-generated electricity 0 0 0 0 0 Electricity purchased from the grid 100% 100% 100% 100% 100% Energy consumption from renewable sources (MWh) 6,654 8,790 7,795 6,420 6,982 Energy intensity (MWh/$MM revenue) 759 721 713 615 621 Note: $ revenue in intensity calculations is net revenue (million USD). Data summary continued 37 James Hardie | Building Resilience Sustainability Repor t | FY 2025 About Sustainability Goals Supply Chain OperationsMessage from our CEO People Products Communities Appendix


 
Data summary continued EMISSIONS (CALENDAR YEAR) CY20 CY21 CY22 CY23 CY24 Total GHG emissions (MT CO2e) 1,911,652 2,391,586 2,588,712 2,906,710 2,823,018 Scope 1 GHG emissions 313,736 370,185 365,779 331,274 326,086 Percentage covered under emissions- limiting regulations 100% 100% 100% 100% 100% Scope 2 location-based GHG emissions 245,239 292,542 280,630 265,426 246,953 Scope 2 market-based GHG emissions n/a n/a n/a n/a n/a Scope 3 GHG emissions 1,352,677 1,728,859 1,942,303 2,310,009 2,249,979 Category 1: Purchased goods & services* 1,047,256 1,282,944 1,348,134 1,494,089 1,463,304 Category 2: Capital goods n/a n/a n/a 98,193 92,929 Category 3: Fuel- & energy-related activities 107,615 126,509 133,797 175,229 183,444 Category 4: Upstream transportation & distribution** 13,009 22,911 34,043 431,141 429,307 Category 5: Waste generated in operations n/a n/a n/a 3,770 2,719 Category 6: Business travel 588 1,182 2,376 3,452 3,075 Category 7: Employee commuting 374 4,381 6,066 11,395 12,443 Category 9: Downstream transportation & distribution** 183,835 290,932 417,887 15,584 12,556 Category 12: End-of-life treatment of sold products n/a n/a n/a 77,155 50,201 Total Scope 1+2 GHG emissions intensity (MT CO2e/$MM revenue) 192.2 183.3 171.1 151.6 147.8 Total Scope 1+2 GHG emissions absolute reduction from a CY21 base year*** n/a n/a 2% 10% 14% *Note: Prior to CY23, this category only included James Hardie's most significant raw materials by weight. ** Beginning in CY23, we have reallocated our transportation and distribution between Category 4 and Category 9 to more accurately reflect transportation arrangements. ***This reduction reflects a combination of lower volumes, grid decarbonization and internal projects, including our transition away from coal. WASTE (CALENDAR YEAR) CY20 CY21* CY22 CY23 CY24 Total weight of waste generated (MT) 316,950 358,164 370,170 311,042 289,480 Hazardous 10,635 584 1,087 2,390 1,100 Diverted 491 551 586 932 572 Disposed 10,154 33 501 1,458 528 Non-hazardous 306,315 357,580 369,083 308,652 288,379 Diverted 39,701 106,152 117,175 77,709 92,285 Disposed (landfill) 266,615 251,428 251,908 230,943 196,095 Total landfill intensity (MT/$MM revenue) 92 70 67 59 51 Percent reduction in total landfill intensity from CY19 base year 21% 40% 43% 50% 56% *CY21 data was previously restated to reflect the re-categorization of waste streams and to correct a calculation error. The updated data more accurately reflects James Hardie's CY21 performance. Note: Hazard classification (i.e., hazardous and non-hazardous) is determined by jurisdiction. For example, North America and Europe have different definitions of hazardous waste. Totals may not sum due to rounding. WATER & EFFLUENTS (CALENDAR YEAR) CY20 CY21 CY22 CY23 CY24 Water withdrawal by source (ML) Third-party water 6,111 7,202 9,379 6,938 7,054 Percentage fresh water 100% 100% 100% 100% 100% In water stressed areas 1,030 1,277 1,336 1,550 1,553 Water discharge by destination (ML) Third-party water 4,513 4,964 5,661 4,622 4,888 In water stressed areas 501 459 570 919 1,073 Total water consumption (ML) 1,598 2,237 3,718 2,316 2,165 In water stressed areas 529 818 766 631 480 Note: Water stressed areas are identified as being in a location of High or Extremely High baseline water stress using the World Resource Institute's (WRI) Aqueduct Tool. 38 James Hardie | Building Resilience Sustainability Repor t | FY 2025 About Sustainability Goals Supply Chain OperationsMessage from our CEO People Products Communities Appendix


 
TCFD disclosure update As James Hardie continues our journey to implement the recommendations of the Taskforce on Climate-related Financial Disclosures (TCFD), here we provide an update on our progress during FY25. James Hardie recognizes that climate change presents risks and opportunities for our business and has undertaken significant work to understand the materiality of our impacts. Governance The ultimate responsibility for overseeing and managing risks, including those related to climate change, rests with our Board of Directors. Read more about our sustainability governance structure. Strategy James Hardie’s sustainability strategy integrates our global strategy for value creation and operational performance. We are committed to continuously expanding our understanding of climate-related risks and opportunities over the short, medium and long term, as well as determining the impact of different scenarios on our business, strategy and financial planning. The table on the following page highlights our material climate risks and opportunities, how they affect our strategy and the actions we have taken. Risk Management All climate-related risks are incorporated into James Hardie’s corporate enterprise risk management (ERM) system. Transition risks are analyzed by the sustainability team as part of the ERM process. Physical climate risks and severe climatic events are addressed at the facility level. Each facility has a response plan for different events that includes checklists, actions and other procedures. Climate-related issues are then escalated through the ERM or management systems on a case-by-case basis. In late FY25, James Hardie kicked off a project to update our assessment of climate risks and opportunities and to strengthen documentation of our risk management and governance processes. Metrics and targets James Hardie measures progress on our environmental priorities through metrics on GHG emissions, energy consumption, waste generation and water use and recycling. These metrics also assist in identifying key environmental and climate risks and opportunities. The metrics and results over time are disclosed in this report’s data summary section, and our progress is discussed throughout the report. James Hardie has set ambitious sustainability targets. These include science-based, absolute reductions in our Scope 1+2 GHG emissions and aiming for zero manufacturing waste sent to landfill. Read more about our targets. C L I M A T E D I S C L O S U R E R O A D M A P We aim to complete the following milestones as we continue to implement and integrate the recommendations of the TCFD throughout our business: Governance  Develop a climate transition plan in line with future regulatory requirements Risk Management  Further strengthen our reporting in preparation for regulatory requirements Strategy  Continue to assess financial impacts of climate risks and opportunities 39 James Hardie | Building Resilience Sustainability Repor t | FY 2025 About Sustainability Goals Supply Chain OperationsMessage from our CEO People Products Communities Appendix


 
Key climate-related risks and opportunities RISK DRIVER ACTIONS Policy changes relating to climate change/emissions management New and/or stricter carbon pricing mechanisms implemented by policymakers to accelerate the transition to a lower carbon economy Completed quantitative analysis of carbon pricing under different scenarios to assess financial impacts of potential carbon policy developments in our three regions. Mandatory and/or more onerous reporting requirements related to climate change and emissions management mandated by policymakers Completed readiness assessment in preparation for climate-related EU Corporate Sustainability Reporting Directive (CSRD) and Australian Sustainability Reporting Standard (ASRS) AASB S2 reporting requirements. Action plan in place following gap analysis. Change in environmental product labeling and/or building code requirements Products requiring mandatory Environmental Product Declarations (EPDs) driven by policy makers EPDs published in all three regions of operation covering over 90% of revenue. Completed building and products certification analysis to identify and mitigate associated risks. Stringent environmental laws relating to resource usage Constrained supply of water for manufacturing facilities driven by new and/or stricter legislation Global cross-functional task force established to address both current and future water needs. See Optimizing water conservation for more information. Increased severity and frequency of extreme weather events due to climate change Global efforts to cut emissions are insufficient to limit global warming resulting in asset damage, production shutdown/delays and upstream/downstream supply chain interruption Completed initial climate exposure assessment of our facilities globally, including scenario-based hazard exposure projections in 2030, 2050 and 2070. OPPORTUNITY STRATEGY ACTIONS Becoming a leading building materials manufacturer with sustainability attributes and products marketed for durability, design and resistance to extreme weather events Increase marketing/advertising/customer education on products’ sustainability attributes due to increasing demand for more climate resilient products Completed sustainability insights study including customers, architects, specifiers and consumers to help support a future sustainability communications plan aligned to business strategy. Entry into new markets and geographies Emphasis on new opportunity driven by (1) increased demand from stronger sustainability focused customers, government policies and suppliers; and (2) geographies more prone/exposed to extreme weather events requiring more resilient building materials Completed EPD for fiber cement products in North America with a focus on lifecycle carbon impacts. EPD included independent verification of recarbonation (CO2 absorption) during product use phase. Sustainable and resilient products and operations Existing characteristics of our products and operations provide the business with resilience in the face of climate change challenges Established absolute science-based GHG emissions reduction goal aligned to 1.5°C transition to reduce operational carbon footprint. Published information on our Low Carbon Cement Technology Roadmap aimed at reducing the carbon footprint of our product while maintaining its durability against a changing climate. TCFD disclosure update continued 40 James Hardie | Building Resilience Sustainability Repor t | FY 2025 About Sustainability Goals Supply Chain OperationsMessage from our CEO People Products Communities Appendix


 
200,000 400,000 600,000 800,000 1,000,000 1,200,000 CY21 Scope 1+2 GHG Emissions Assumed BAU emission growth to CY30 Grid decarbonization Use of renewable electricity Natural gas efficiency Switch equipment to electric Remove coal from operations Gap to goal CY30 Target Emissions M T C O 2e Pathway to achieving our Scope 1+2 goalPathway to achieving our goal We take our commitment to GHG emission reductions seriously. Cross-functional task forces identified the use of renewable electricity and improvements in natural gas efficiency as our two most important levers in meeting our goal of 42% absolute reduction in Scope 1+2 GHG emissions by CY30. We recognize that as we work towards net zero for our Scope 1+2 GHG emissions by 2050 there will continue to be challenges in removing the impact of Scope 1 emissions, which are faced collectively by industries. We have set a pathway through 2030 and continue to explore options beyond 2030. We intend to update our pathway as we get closer to our 2030 goal. This goal does not address Scope 3 emissions. We are working in parallel on reducing the impact of cement (our largest Scope 3 contributor) in our products with the development and execution of our Low Carbon Cement Technology Development Roadmap. Pathway developed and presented here is based on CY21 growth projections, results subject to change. For further information see Endnotes. TCFD disclosure update continued Our approach to decarbonization projects Understanding levers & opportunities A C T I O N S + Analyzing plants based on historical data + Establishing focus areas based on impact at both plant and asset level + Defining “what not to do” Prioritization A C T I O N S + Prioritizing impact, effort, time and cost using a Marginal Abatement Cost Curve (MACC) + Developing programs to drive clarity and focus Financials & timelines A C T I O N S + Grouping projects into portfolios for business consideration + Evaluating economics for further prioritization and developing timeline Detailing & Project Expenditure Request (PER) A C T I O N S + Preparing for execution of selected portfolio of projects + Aligning resources and stakeholders across the organization for implementation Implementation A C T I O N S + Executing the prepared plans and managing implementation of the projects + Tracking and measuring impact of projects 41 James Hardie | Building Resilience Sustainability Repor t | FY 2025 About Sustainability Goals Supply Chain OperationsMessage from our CEO People Products Communities Appendix


 
GRI content index Statement of use James Hardie has reported the information cited in this GRI content index for the period 1 April 2024 through 31 March 2025 with reference to the GRI Standards. GRI 1 used / GRI 1: Foundation 2021 DISCLOSURE ITEM RESPONSE 2-14 Role of the highest governance body in sustainability reporting Integrating sustainability throughout James Hardie 2-15 Conflicts of interest Audit Committee Charter 2-16 Communication of critical concerns Ethics Hotline Policy 2-17 Collective knowledge of the highest governance body FY25 Annual Report on 20-F 2-18 Evaluation of the performance of the highest governance body Nominating and Governance Committee Charter FY25 Annual Report on 20-F 2-19 Remuneration policies People and Remuneration Committee Charter FY25 Annual Report on 20-F 2-20 Process to determine remuneration People and Remuneration Committee Charter FY25 Annual Report on 20-F 2-21 Annual total compensation ratio We do not publicly disclose the median annual total compensation for our employees. The key remuneration plans and programs and share ownership information for our Board of Directors and certain of our senior executive officers, including our CEO, is publicly available in our annual Remuneration Report. FY25 Annual Report on 20-F 2-22 Statement on sustainable development strategy Focusing on our sustainability pillars 2-23 Policy commitments Policies 2-24 Embedding policy commitments Governance Overview DISCLOSURE ITEM RESPONSE General disclosures 2-1 Organizational details FY25 Annual Report on 20-F 2-2 Entities included in the organization’s sustainability reporting About this report 2-3 Reporting period, frequency and contact point About this report 2-4 Restatements of information Data summary 2-5 External assurance This report has not been externally assured. However, certain environmental data within this report and reported to CDP undergoes limited third- party assurance. 2-6 Activities, value chain and other business relationships FY25 Annual Report on 20-F Assessing impacts along our value chain 2-7 Employees Data summary 2-8 Workers who are not employees Contractor data is omitted from reporting; as we continue to develop our sustainability disclosures, we will consider for future inclusion. 2-9 Governance structure and composition Board Committees 2-10 Nomination and selection of the highest governance body Nominating and Governance Committee Charter 2-11 Chair of the highest governance body Board of Directors 2-12 Role of the highest governance body in overseeing the management of impacts Integrating sustainability throughout James Hardie 2-13 Delegation of responsibility for managing impacts Integrating sustainability throughout James Hardie 42 James Hardie | Building Resilience Sustainability Repor t | FY 2025 About Sustainability Goals Supply Chain OperationsMessage from our CEO People Products Communities Appendix


 
DISCLOSURE ITEM RESPONSE 2-25 Processes to remediate negative impacts Policies 2-26 Mechanisms for seeking advice and raising concerns Ethics Hotline Policy 2-27 Compliance with laws and regulations Data summary FY25 Annual Report on 20-F 2-28 Membership associations Technical Associations ASTM International C17 Chair | American National Standards Institute (ANSI) A108.01 Committee Member | Tile Council of North America (TCNA) Committee Member Marketing Associations National Association of Home Builders (NAHB) NGBS Green Certified | NARI National Association of the Remodeling Industry (NARI) | Southern Living Exclusive siding partner | American Institute of Architects (AIA) Industry Sponsor | National Town Builders Association (NTBA) Sponsor | Zonda Future Place Founding Sponsor In addition to these associations, we are a part of our local Chambers of Commerce and Home Builders Associations. 2-29 Approach to stakeholder engagement Engaging with our stakeholders 2-30 Collective bargaining agreements Data summary Material topics 3-1 Process to determine material topics Determining our material topics 3-2 List of material topics Determining our material topics 3-3 Management of material topics Focusing on our sustainability pillars Policies DISCLOSURE ITEM RESPONSE Economic Performance 201-1 Direct economic value generated and distributed In FY25, we contributed $1.65B in economic value in communities where we operate. We contribute to local economies through capital expenditure at our plants and by investing significantly in our employees, in local ecosystems and across our supplier base. Our direct spending through the purchase of local materials, payroll and taxes, and our local distribution network makes a positive economic impact that benefits both local economies and our customers. Procurement practices 204-1 Proportion of spending on local suppliers Data summary Anti-corruption 205-2 Communication and training about anti-corruption policies and procedures Data summary 205-3 Confirmed incidents of corruption and actions taken Data summary Anti-competitive behavior 206-1 Legal actions for anti-competitive behavior, anti-trust, and monopoly practices Data summary FY25 Annual Report on 20-F Materials 301-2 Recycled input materials used Data summary Energy 302-1 Energy consumption within the organization Data summary 302-3 Energy intensity Data summary GRI content index continued 43 James Hardie | Building Resilience Sustainability Repor t | FY 2025 About Sustainability Goals Supply Chain OperationsMessage from our CEO People Products Communities Appendix


 
GRI content index continued DISCLOSURE ITEM RESPONSE Water and effluents 303-1 Interactions with water as a shared resource Water is a scarce and valuable natural resource, and we are committed to optimizing our water use globally. We are raising the bar and setting new internal standards that go beyond regulatory requirements as we pursue water recycling opportunities as appropriate by site. We continue to invest in the development of advanced technology to manage our water use and reduce wastewater discharge, including ways to incorporate treated wastewater into our production processes. These actions improve our operational capabilities while building a better future for the communities we live and operate in, doing the right thing for the environment and improving our bottom line. 303-2 Management of water discharge-related impacts Water is recycled four to six times in production before discharge. We continue to maintain ISO 14001 certification for our environmental management systems at the corporate level and at nine of our plants globally, representing around half of our manufacturing facilities. 303-3 Water withdrawal Data summary 303-4 Water discharge Data summary 303-5 Water consumption Data summary Emissions 305-1 Direct (Scope 1) GHG emissions Data summary 305-2 Energy indirect (Scope 2) GHG emissions Data summary 305-3 Other indirect (Scope 3) GHG emissions Data summary 305-4 GHG emissions intensity Data summary DISCLOSURE ITEM RESPONSE Waste 306-1 Waste generation and significant waste-related impacts Reducing — and ultimately eliminating — the waste generated by our manufacturing operations is a responsibility James Hardie takes seriously. We continue to develop new ways to recycle materials and resources within our plants. We also collaborate with companies throughout our supply chain to keep waste materials in the value stream and partner with local suppliers who can put some of the leftover materials from our operations to beneficial reuse. Finding beneficial uses for the materials left over from our operations is also a key driver toward achieving our goal of zero manufacturing waste to landfill by 2035. Assessing impacts along our value chain 306-2 Management of significant waste-related impacts In CY24, less than 1% of waste was hazardous, and 32% of waste was recycled. Note that this 32% reflects diversion from landfill of waste leaving site. Our manufacturing processes include internal recycling of waste of up to 100% for some product categories. We continue to maintain ISO 14001 certification for our environmental management systems at the corporate level and at nine of our plants globally, representing around half of our manufacturing facilities. 306-3 Waste generated Data summary 306-4 Waste diverted from disposal Data summary 306-5 Waste directed to disposal Data summary 44 James Hardie | Building Resilience Sustainability Repor t | FY 2025 About Sustainability Goals Supply Chain OperationsMessage from our CEO People Products Communities Appendix


 
GRI content index continued DISCLOSURE ITEM RESPONSE Employment 401-1 New employee hires and employee turnover Data summary Occupational health and safety 403-1 Occupational health and safety management system Focusing on our sustainability pillars 403-2 Hazard identification, risk assessment, and incident investigation Focusing on our sustainability pillars 403-3 Occupational health services We are dedicated to designing, constructing, maintaining and operating facilities and providing education and training that protect our people and physical resources. Our Global Environmental Health & Safety (EHS) team, in conjunction with our Global Zero Harm Committee, ensures the quality of these services and facilitates employees’ access to them. Some employee health and well-being services, benefits and programs are provided by our Human Resources department.  403-4 Worker participation, consultation, and communication on occupational health and safety Focusing on our sustainability pillars 403-5 Worker training on occupational health and safety Focusing on our sustainability pillars 403-6 Promotion of worker health Health and well-being are valued and integrated into every aspect of our business, empowering our people to thrive inside and outside of James Hardie. Our newly launched BuildWell intiative creates a culture of well-being, where employees are supported with education, resources and opportunities for their physical, mental, social and financial well-being. BuildWell is tailored to the specific needs of employees in different regions. DISCLOSURE ITEM RESPONSE 403-7 Prevention and mitigation of occupational health and safety impacts directly linked by business relationships In FY25, we continued to expand our contractor safety program through our International Supplier Network, setting minimum requirements and expectations for adhering to our protocols and procedures. 403-8 Workers covered by an occupational health and safety management system Data summary 403-9 Work-related injuries Data summary 403-10 Work-related ill health Data summary Diversity and equal opportunity 405-1 Diversity of governance bodies and employees Data summary Customer health and safety 416-2 Incidents of non-compliance concerning the health and safety impacts of products and services Data summary 45 James Hardie | Building Resilience Sustainability Repor t | FY 2025 About Sustainability Goals Supply Chain OperationsMessage from our CEO People Products Communities Appendix


 
SASB index TOPIC ACCOUNTING METRIC CODE LOCATION COMMENT Greenhouse gas emissions Gross global Scope 1 emissions, percentage covered under emissions-limiting regulations EM-CM-110a.1 Data summary Discussion of long-term and short-term strategy or plan to manage Scope 1 emissions, emissions reduction targets, and an analysis of performance against those targets EM-CM-110a.2 TCFD disclosure update We have set targets to reduce our absolute Scope 1+2 emissions by 42% by 2030 from a 2021 baseline and work towards net zero by 2050. Air quality Air emissions of the following pollutants: (1) NOx (excluding N2O), (2) SOx, (3) particulate matter (PM10), (4) dioxins/furans, (5) volatile organic compounds (VOCs), (6) polycyclic aromatic hydrocarbons (PAHs), and (7) heavy metals EM-CM-120a.1 Omitted Data is omitted from reporting, and as we continue to develop our sustainability disclosures, we will consider for future inclusion. Energy management (1) Total energy consumed, (2) percentage grid electricity, (3) percentage alternative, (4) percentage renewable EM-CM-130a.1 Data summary Water management (1) Total fresh water withdrawn, (2) percentage recycled, (3) percentage in regions with High or Extremely High Baseline Water Stress EM-CM-140a.1 Data summary In CY24, 22% of water was withdrawn in regions with Baseline Water Stress rated High or greater. Water is recycled 4-6 times in production before discharge. Any reporting of recycled or reused water is defined by reuse beyond this standard practice. Waste management Amount of waste generated, percentage hazardous, percentage recycled EM-CM-150a.1 Data summary In CY24, less than 1% of waste was hazardous, and 32% of waste was recycled. Note that this 32% reflects diversion from landfill of waste leaving site. Our manufacturing processes include internal recycling of waste of up to 100% for some product categories. Biodiversity impacts Description of environmental management policies and practices for active sites EM-CM-160a.1 n/a James Hardie conducts all necessary environmental impact assessments when developing and operating sites. We do not have operations that are particularly disturbing to the surrounding landscapes. Terrestrial acreage disturbed, percentage of impacted area restored EM-CM-160a.2 n/a Zero terrestrial acreage has been disturbed or requires restoration. Workforce health & safety (1) Total recordable incident rate (TRIR) and (2) near miss frequency rate (NMFR) for (a) fulltime employees and (b) contract employees EM-CM-320a.1 Data summary Some contractor data is omitted from reporting, and as we continue to develop our sustainability disclosures, we will consider for future inclusion. Number of reported cases of silicosis EM-CM-320a.2 Data summary Zero reported cases. Product innovation Percentage of products that qualify for credits in sustainable building design and construction certifications EM-CM-410a.1 Data summary Defined as percentage of revenue covered by Environmental Product Declarations (EPDs). Total addressable market and share of market for products that reduce energy, water, and/or material impacts during usage and/or production EM-CM-410a.2 Omitted We believe our core products are inherently environmentally efficient. Due to the evolving taxonomy surrounding sustainable products, we cannot determine a precise addressable market nor our market share. Pricing integrity & transparency Total amount of monetary losses as a result of legal proceedings associated with cartel activities, price fixing, and anti-trust activities EM-CM-520a.1 Data summary No instances. Activity metric Production by major product line EM-CM-000.A Omitted Fiber cement and fiber gypsum products are our two main product lines. We consider the weight of our production to be proprietary, however, our annual nameplate capacity is 5,476 mmsf and 1,143 mmsf for fiber cement and fiber gypsum, respectively. 46 James Hardie | Building Resilience Sustainability Repor t | FY 2025 About Sustainability Goals Supply Chain OperationsMessage from our CEO People Products Communities Appendix


 
Aligning with the United Nations Sustainable Development Goals (UN SDGs) The Sustainable Development Goals represent the United Nations’ blueprint to achieve a better and more sustainable future for all. They address the global challenges we face, including those related to poverty, inequality, climate change, environmental degradation, peace and justice. The 17 interconnected SDGs were adopted by all UN Member States in 2015 as part of the 2030 Agenda for Sustainable Development. Each goal has specific targets to be achieved by 2030. Our strategic and operational focus aligns with several SDGs including the following: 47 James Hardie | Building Resilience Sustainability Repor t | FY 2025 About Sustainability Goals Supply Chain OperationsMessage from our CEO People Products Communities Appendix


 
© 2025 James Hardie Building Products Inc. All rights reserved. TM, and ® denote trademarks or registered trademarks of James Hardie Technology Limited. HS2541 08/2025 Endnotes D E F I N I T I O N S CO2 impact: The effect of carbon dioxide (CO2), a key greenhouse gas (GHG), associated with a product or activity on the environment. Decarbonization: The reduction of carbon dioxide emissions from a process. Engineered for Climate® is a registered trademark of James Hardie Technology Ltd. that refers to Hardie® products’ durability by design in a variety of climate conditions. The Engineered for Climate® trademark does not refer to the products’ environmental impacts or attributes. Greenhouse gases (GHG): Any of various gaseous compounds (such as carbon dioxide or methane) that absorb infrared radiation, trap heat in the atmosphere and contribute to the greenhouse effect. For the purposes of this report, GHG reduction focuses on reducing carbon dioxide. HMOS: James Hardie’s culture of continuous improvement and LEAN manufacturing is deployed through our Hardie Manufacturing Operating System (HMOS). HMOS integrates our global network of plants and our people, driving continuous improvement in our manufacturing and environmental performance through employee engagement and empowerment, cross-functional collaboration, knowledge sharing of best practices, elimination of variability and promotion of accountability across the entire organization. HOS: Our Hardie Operating System (HOS) drives alignment of initiatives to strategic objectives and enables efficient resource allocation for all our strategic initiatives, including those related to sustainability. Cross-functional steering committees help lead and coordinate efforts across our global operations and ensure that we are on track to achieve our goals. In-scope Tier 1 Supplier: Tier 1 suppliers directly contract with and serve James Hardie, while Tier 2 suppliers serve Tier 1, and Tier 3 suppliers serve Tier 2. For the purpose of this report, in-scope Tier 1 suppliers do not include suppliers under $10,000 in annual global spend, customers rebates, government entities, utilities, colleges/universities, banks and membership organizations. Net zero emissions: Net zero refers to the balance between the amount of GHGs produced and the amount removed from the atmosphere. For the purposes of this report, working towards net zero refers to James Hardie’s efforts to reduce its Scope 1+2 emissions. Scope 1+2 GHG emissions: Scope 1 emissions are direct GHG emissions that occur from sources that are controlled or owned by an organization (e.g., emissions associated with fuel combustion in boilers, furnaces, vehicles). Scope 2 emissions are indirect GHG emissions associated with the purchase of electricity, steam, heat or cooling. Although Scope 2 emissions physically occur at the facility where they are generated, they are accounted for in an organization’s GHG inventory because they are a result of the organization’s energy use. Scope 3 GHG emissions: Scope 3 emissions are the result of activities from assets not owned or controlled by the reporting organization, but that the organization indirectly affects in its value chain. For purposes of this report, our goals do not include Scope 3 emissions. Sustainability: The integration of environmental impact, social equity and economic vitality. The practice of sustainability recognizes how these issues are interconnected and requires a systems approach and an acknowledgement of complexity. Zero Harm: The name of our safety program: James Hardie places workplace safety at the forefront of its operations through a multifaceted approach. It involves continuous training and education for employees, contractors and partners to ensure they have the necessary skills and knowledge to prioritize safety in their roles. Zero Harm reflects our conviction that every incident is preventable through changing behaviors. We address Zero Harm through a focus on safe people, safe spaces and safe systems. Our Values: + Honor Our Commitments: Make our word as dependable as our products. + Collaborate for Greatness: Let’s come together to build each other up. + Do the Right Thing: Doing the right thing leads to the right answers. + Be Bold and Progressive: Being bold creates better solutions. + Embrace Our Diversity: Always embrace who you are. + Starts & Ends with the Customer: Surpassing customer expectations guides our actions. D I S C L A I M E R S The company is continuing to grow. Accordingly, discussions of the Company’s goals and efforts at reductions of greenhouse gas (GHG) emissions, water usage and waste creation are in relation to the Company’s current production capabilities. The growth and corresponding additions and expansions to the Company’s production capabilities can result in overall aggregate increases. The Company’s efforts are aimed at targeting current impacts as well as reducing/limiting increased impacts occurring as a result of growth and expansion. The terms “material” or “materiality,” as used in context of this report, are different from such terms as used in the context of filings with the U.S. Securities and Exchange Commission (U.S. SEC). Issues deemed material for the purposes of this report should not necessarily be considered material for U.S. SEC reporting purposes. Non-financial information is subject to measurement uncertainties resulting from limitations inherent in the nature of, and the methods used for determining, such data. Some of our disclosures in this report are based on assumptions due to the inherent measurement uncertainties. The selection of different but acceptable measurement techniques can result in materially different measurements. The precision of different measurement techniques may also vary. This report contains certain forward-looking statements based on our current assumptions and expectations, which are subject to various substantial risks and uncertainties. The words “anticipate,” “plan,” “goal,” “estimate,” “expect,” “intend,” “will,” “should,” “forecast,” “hope,” “project” and similar expressions, as they relate to the company, are intended to identify forward-looking statements. Such forward-looking statements include, among other things, projections related to emission reductions and targets, changes in technology, statements about future business plans, initiatives and objectives and standards and expectations of third parties. All such forward-looking statements are intended to enjoy the protection of the safe harbor for forward-looking statements contained in the Private Securities Litigation Reform Act of 1995, as amended. Significant factors that could cause our actual results to differ from our forward-looking statements are set forth in our description of risk factors included in our filings with the U.S. Securities and Exchange Commission (U.S. SEC), including our annual report on Form 20-F, as well as our subsequent reports on Form 6-K, which should be read in conjunction with the forward-looking statements in this report. These reports are available on our website at https:// ir.jameshardie.com.au/financial-information/sec-filings and on the U.S. SEC’s website at www.sec.gov. Forward-looking statements speak only as of the date they are made, and we do not undertake any obligation to update any forward-looking statement. Projections and forecasts shown in this document are subject to change at any time. Historical information was calculated using data available at the time of the calculation and may be subject to revision. 48 James Hardie | Building Resilience Sustainability Repor t | FY 2025 About Sustainability Goals Supply Chain OperationsMessage from our CEO People Products Communities Appendix


 




OUR APPROACH About this Report 2 About AZEK 3 FY 2024 Sustainability and Recycling Highlights 4 Making a Positive and Sustainable Impact 5 RECYCLING Vertically Integrated Recycling Capabilities 7 AZEK's FULL-CIRCLE Recycling Programs 8 PRODUCTS Product Life Cycles: The Full Circle 10 Fire-Resistant Innovation for a Climate-Resilient Future 13 Stories From Homeowners Who Chose TimberTech 14 ENVIRONMENTAL IMPACT Sustainable Manufacturing Practices 15 Measuring and Managing Greenhouse Gas Emissions 17 Conclusion 21 Contents


 
ABOUT THIS REPORT This 2024 FULL-CIRCLE Sustainability Report is an annual report highlighting The AZEK Company Inc.'s environmental sustainability and recycling initiatives for the period October 1, 2023 to September 30, 2024, and covers activities of AZEK and its consolidated subsidiaries, in each case unless otherwise noted. This FULL-CIRCLE Sustainability Report reports information as of September 30, 2024, except as otherwise noted. The report also provides select data from past years in order to facilitate year-over-year analysis. Our data collection, measurement and reporting on these topics are informed by industry- leading frameworks, including the United Nations Global Compact (UNGC) and the United Nations Sustainable Development Goals (UNSDGs), as well as guidelines and recommendations of the Task Force on Climate-Related Financial Disclosures (TCFD) and the Sustainability Accounting Standards Board (SASB). The metrics contained in this report relating to sustainability topics, including those informed by these frameworks, are not financial measures determined in accordance with generally accepted accounting principles and have not been the subject of an audit, examination or review by our independent auditors. This report is intended to provide information that could be of interest to a broad range of stakeholders. Disclosures included in this report may be more expansive, or present information from a different perspective, than the disclosures we or our affiliates, including James Hardie Industries plc (James Hardie), are required to make in our or their regulatory reports, including The AZEK Company’s Annual Report on Form 10-K for the year ended September 30, 2024, as amended, and our and their other filings with the U.S. Securities and Exchange Commission (SEC) and other U.S. and non-U.S. regulatory agencies. Words used in this report, including “ESG,” “sustainable,” “goals,” “important,” “significant,” “material” or similar words, should not be understood to have the meanings ascribed to them under regulations or other legal or industry frameworks. For example, although matters described in this report may be important to us or various stakeholders, they should not be read as necessarily rising to the level of materiality used for the purposes of complying with the securities laws and regulations (including sustainability related laws), even if we use words such as “material” or “materiality assessment” in this report. The methodologies, assumptions and estimates underlying our sustainability data, strategy and analysis (including those used to calculate greenhouse gas emissions) continue to develop and evolve, including because of regulatory, scientific, technological, methodological and other developments. In addition, certain information in this report incorporates or otherwise relies on data provided to us by third parties, which may have been prepared or be presented in ways that are not consistent with our methodologies or practices. We have not, and do not undertake any obligation to, independently verify such third-party information. As a result of these and other factors, information disclosed in this report might differ from those contained in our past disclosures, and we may include information in future disclosures that differs from those contained in this report. We undertake no obligation to update this report or any information contained herein. You should refer to the most recent and final AZEK FULL- CIRCLE Sustainability Report available on JamesHardie.com for the latest information on our sustainability strategy and performance. None of the content in this FULL-CIRCLE Sustainability Report shall be deemed to be incorporated by reference in any documents we or James Hardie have filed or will file with the SEC or any other regulatory agency. In addition, we reference our and third-party websites throughout this Report, but the content of such websites or any other information they refer to are not incorporated by reference into this report. This report is not intended to provide any representation as to the sustainability performance of any product or any third party, or as to the accuracy or completeness of any third-party information. FORWARD LOOKING STATEMENTS This FULL-CIRCLE Sustainability Report contains forward-looking statements, including statements regarding our environmental sustainability, social impact and corporate governance goals, commitments, programs and aspirations and other business plans, initiatives and objectives. These statements are typically accompanied by the words “believe,” “will,” “may,” “anticipate,” “intend,” “could,” “would," “expect,” “aim,” “strive,” “hope,” “target,” “estimate,” “plan,” “aspire” or similar words or the negatives of such words. Such forward- looking statements are subject to a number of risks, uncertainties and assumptions, any of which could cause future events, trends and achievements to differ materially from those anticipated or implied by these forward-looking statements. For more about the risks and uncertainties associated with our forward-looking statements, please refer to the “Forward- Looking Statements” and “Risk Factors” sections of our Annual Reports on Form 10-K, our Quarterly Reports on Form 10-Q and other information we and James Hardie file with the SEC or other regulatory agencies, as well as factors listed in “About this Report” above. We undertake no obligation to update or revise any forward-looking statements, except as required by law. 2 RECYCLING PRODUCTS ENVIRONMENTAL IMPACTOUR APPROACH 2024 FULL-CIRCLE SUSTAINABILITY REPORT | ABOUT THIS REPORT


 
ABOUT AZEK Revolutionizing Outdoor Living with a Full-Circle Approach At AZEK, we are proud to offer a leading portfolio of sustainable outdoor living and home exterior products that combine performance, beauty, and low-maintenance benefits. Our brands — including TimberTech® decking and railing, AZEK Exteriors trim and siding, and StruXure® pergolas — are designed to elevate the built environment while withstanding the elements and reducing long-term maintenance needs for homeowners and professionals alike. Sustainability is embedded in how we operate, innovate, and grow. We believe true sustainability means thinking in full circles — designing products that reduce waste, extend material life, and minimize environmental impact across their entire life cycle. Our FULL-CIRCLE approach spans from raw material sourcing and in-house manufacturing and recycling to product durability, recyclability, and end-of-life solutions. By turning what was once considered waste into high-performance, long- lasting materials, we help build a more resilient and circular future. This report reflects The AZEK Company Inc.’s environmental sustainability performance from October 1, 2023 to September 30, 2024, prior to its acquisition by James Hardie in 2025. As we enter this next chapter, we are excited to build on our momentum as part of a combined company committed to delivering sustainable, high-performance building solutions across an even broader portfolio. To learn more, visit JamesHardie.com. 3 RECYCLING PRODUCTS ENVIRONMENTAL IMPACTOUR APPROACH 2024 FULL-CIRCLE SUSTAINABILITY REPORT | ABOUT AZEK


 
F Y 2024 SUSTAINABILIT Y AND RECYCLING HIGHLIGHTS 100% OF THE WOOD FIBER WE USE IS FROM RECYCLED SOURCES #1 LARGEST VERTICALLY INTEGRATED RECYCLER OF PVC IN THE UNITED STATES RECENT PRODUCT AWARDS AND RECOGNITIONS ~520M Pounds OF SCRAP AND WASTE RE- MANUFACTURED INTO OUR PRODUCTS, WHICH MAY OTHERWISE HAVE BEEN SENT TO LANDFILLS ~85% AMOUNT OF RECYCLED CONTENT IN TIMBERTECH COMPOSITE DECKING ~65% AMOUNT OF RECYCLED CONTENT IN TIMBERTECH ADVANCED PVC DECKING — the highest recycled content of PVC in the PVC decking market today ~99% OF SCRAP GENERATED IN OUR WILMINGTON, SCRANTON, AND BOISE MANUFACTURING FACILITIES IS REUSED ~40% AMOUNT OF RECYCLED CONTENT IN AZEK EXTERIORS TRIM 2024 TIMBERTECH DECKING OUTPERFORMS WOOD TimberTech decking has a lower life cycle carbon footprint than both its pressure-treated pine and Brazilian tropical Ipe alternatives according to the results of our Life Cycle Assessments 2025 Up to Up to Up to 4 RECYCLING PRODUCTS ENVIRONMENTAL IMPACTOUR APPROACH 2024 FULL-CIRCLE SUSTAINABILITY REPORT | FY 2024 SUSTAINABILITY AND RECYCLING HIGHLIGHTS


 
MAKING A POSITIVE AND SUSTAINABLE IMPACT At AZEK, we look at the FULL CIRCLE and we believe that the world needs companies like AZEK to lead the way by making sustainability a core part of their mission, process, and products. In alignment with our commitment to positively impact our products, our people, and our planet, we have created an operating platform that is centered around sustainability, which extends across our value chain from product design to raw material sourcing and manufacturing, and we continue to utilize plastic waste, recycled wood and scrap in our products. Because of our unique position as both a recycler and consumer of hundreds of millions of pounds of otherwise landfill-bound waste and scrap each year, we believe that we can fulfill our goal to revolutionize outdoor living to create a more sustainable and circular future. OUR FULL-CIRCLE AMBITIONS Be a world class leader in recycling by aspiring to use one billion pounds of recycled waste and scrap material annually Build a more sustainable, circular future by improving the sustainability performance and reducing the carbon footprint across our value chain, including product life cycles | MAKING A POSITIVE AND SUSTAINABLE IMPACT 5 RECYCLING PRODUCTS ENVIRONMENTAL IMPACTOUR APPROACH 2024 FULL-CIRCLE SUSTAINABILITY REPORT


 
At AZEK, the Environment is Our World The plastic waste crisis is one of the greatest challenges facing Planet Earth. Thus, our commitment to revolutionize outdoor living to create a more sustainable future is more critical than ever. At AZEK, not only are we processing and recycling hundreds of millions of pounds of plastic waste each year, but we are also uniquely positioned to consume that amount and more. Recycled material is the largest raw material input we use, and we have two distinct capabilities in plastics recycling: polyethylene plastic and PVC plastic. Today, we believe that we are the largest vertically integrated recycler of PVC plastic in the United States. Not only does recycled plastic represent up to a 50% cost savings compared to virgin plastic, but its carbon footprint is also 75% to 80% lower per pound. Our team continues to seek out new recovery channels for plastic waste and scrap that might be otherwise destined for landfills as we continue our path towards our goal of reaching a billion pounds annually. Across our industry-leading portfolio, we are proud to offer a number of high-quality products made from up to approximately 85% post-consumer and post-industrial recycled materials. In addition, the majority of our TimberTech, AZEK Exteriors and Versatex products are recyclable at the end of their useful lives via our FULL-CIRCLE Recycling® Programs, meaning they can be transformed into a usable raw material, made into new products with lifespans up to 50 years and kept out of landfills. SOURCING IN-HOUSE PROPRIETARY BLENDING IN-HOUSE PROCESSING MADE INTO TIMBERTECH COMPOSITE DECKING POLYETHYLENE RECYCLING Lower Carbon Impact vs. Virgin Materials Post-Consumer and Post-Industrial HDPE & LDPE Post-Consumer and Post-Industrial PVC Scrap Lower Carbon Impact vs. Virgin MaterialsRECYCLABLE AT END OF LIFE SOURCING IN-HOUSE PROPRIETARY BLENDING IN-HOUSE PROCESSING MADE INTO TIMBERTECH ADVANCED PVC DECKING AND AZEK EXTERIOR PVC TRIM PVC RECYCLING RECYCLABLE AT END OF LIFE SOURCING IN-HOUSE PROPRIETARY BLENDING IN-HOUSE PROCESSING MADE INTO TIMBERTECH COMPOSITE DECKING PO YETHYLENE RECYCLING Lower Carbon Impact vs. Virgin Materials Post-Consumer and Post-Industrial HDPE & LDPE Post-Consumer and Post-Industrial PVC Scrap Lower Carbon Impact vs. Virgin MaterialsRECYCLABLE AT ND OF LIFE SOURCING IN-HOUSE PROPRIETARY BLENDING IN-HOUSE PROCESSING MADE INTO TIMBERTECH ADVANCED PVC DECKING AND AZEK EXTE OR PVC TRIM PVC RECYCLING RECYCLABLE AT ND OF LIFE When we say that the environment is our world, we mean that we are thinking about sustainability at every point in our journey because we want to create a better tomorrow. Today. | MAKING A POSITIVE AND SUSTAINABLE IMPACT 6 RECYCLING PRODUCTS ENVIRONMENTAL IMPACTOUR APPROACH 2024 FULL-CIRCLE SUSTAINABILITY REPORT


 
VERTICALLY INTEGRATED RECYCLING CAPABILITIES In 2018, AZEK transformed its business strategy to accelerate the use of recycled materials in our products, becoming vertically integrated and changing operations, formulations of our products, and the technology we used. Today, we believe that AZEK is the largest vertically integrated recycler of PVC in the United States. This distinction not only sets us apart as an industry and innovation leader but also underscores our commitment to environmental stewardship and sustainability. In 2019, we unveiled our 100,000-plus square foot cutting-edge polyethylene recycling facility in Wilmington, Ohio. This dedicated eco- friendly facility accepts post-consumer and post-industrial recycled polyethylene materials from retailers, waste management companies and municipalities for reprocessing into multiple product lines. In 2020, AZEK acquired Return Polymers, a leader in PVC recycling and compounding. This acquisition has enabled AZEK to accelerate its sustainability mission by in-housing PVC recycling capabilities leveraged by its TimberTech, AZEK Exteriors, and Versatex brands and products. IN-HOUSE PVC RECYCLING FACILITY, ASHLAND, OH Through our recycling programs, we have incorporated approximately 2.6 billion pounds of waste and scrap into the manufacturing of our products since 2019, including approximately 520 million pounds in fiscal 2024, thereby diverting that material that otherwise might have been sent to landfills. ~2.6B POUNDS OF WASTE AND SCRAP TimberTech decking is made from mostly recycled materials and is recyclable at end-of-life through our FULL-CIRCLE recycling programs ~85% RECYCLED CONTENT ~65% RECYCLED CONTENT IN-HOUSE POLYETHYLENE (PE) RECYCLING FACILITY, WILMINGTON, OH | VERTICALLY INTEGRATED RECYCLING CAPABILITIES Up to Up to 7 RECYCLING PRODUCTS ENVIRONMENTAL IMPACTOUR APPROACH 2024 FULL-CIRCLE SUSTAINABILITY REPORT


 
Exterior building products like trim, mouldings, decking, and siding are commonly made out of PVC material due to its durability, versatility, and flame-resistant properties, but one concern has always been the lack of proper disposal for jobsite scraps and cutoffs. The same concern is true for end-of-life PVC building materials like vinyl siding, flooring and pipe, which often end up in a landfill. Anything as long lasting as PVC does not belong in a landfill, which is why we created and launched AZEK’s FULL- CIRCLE PVC Recycling program in 2020. This innovative and first-of-its kind PVC recycling program further expands AZEK’s recycling initiatives and creates a new end market for post-construction PVC material, thereby diverting material that would otherwise likely be disposed of in landfills and turning it into new, long- lived AZEK and TimberTech products. AZEK’s FULL-CIRCLE Recycling Program is an on-site collection program for contractors, dealers, lumberyards, recycling centers, and mill shops that provides a real solution to PVC disposal concerns. Our partners deliver collapsible totes (for scraps and cutoffs) or large bins (for vinyl siding) to customers and once full, the scraps are brought to Return Polymers, our vertically integrated recycler. Return Polymers then sorts and processes the PVC and supplies clean recycled material back to our manufacturing plants for reuse across multiple product lines. Establishing this program and the infrastructure to support it will also enable us to collect end-of-life TimberTech decking and AZEK Exterior trim when the time comes. AZEK'S FULL-CIRCLE RECYCLING PROGRAMS TOTES TO COLLECT PVC SCRAP, WASTE, AND CUTOFFS 1,200+ FULL-CIRCLE BINS AND TOTES IN CIRCULATION THROUGHOUT THE U.S. LARGE BINS TO COLLECT END-OF-LIFE VINYL SIDING OR FLOORING, AND CONSTRUCTION AND DEMOLITION PVC WASTE + SCRAP | AZEK'S FULL-CIRCLE RECYCLING PROGRAMS “We were proud to be the first contractor in California to participate in FULL-CIRCLE and now have become ambassadors of this program, encouraging other contractors and lumberyards to participate. We want to help bring products back through FULL-CIRCLE and hopefully use new TimberTech deck boards in the future that we recycled at one point in time.” Jake Johnson Owner of Stone Ridge Decking | Meadow Vista, California 8 RECYCLING PRODUCTS ENVIRONMENTAL IMPACTOUR APPROACH 2024 FULL-CIRCLE SUSTAINABILITY REPORT


 
Partnerships Advancing Our Recycling Goals In November of 2022, AZEK announced a recycling partnership with ThredUp, one of the largest online resale platforms for apparel, shoes and accessories, to responsibly transform plastic waste into long- lasting, low-maintenance outdoor living products. Through this ongoing recycling partnership, AZEK is collecting 100% of ThredUp’s polyethylene plastic Clean Out Bags after the contents have been processed by ThredUp, as well as ThredUp’s post-industrial plastic film waste. Once transported to our recycling facility in Wilmington, Ohio, the materials are processed and incorporated into new TimberTech Composite decking, AZEK’s premium composite decking line that offers the natural beauty of wood, is made from up to approximately 85% recycled material and engineered to last a lifetime. Circular Fashion Meets Sustainable Building Products “Our partnership with ThredUp brings together two companies from two very different industries — fashion and building products — united by a shared commitment to circularity and innovation. By collaborating, we’re finding new ways to repurpose materials and scale impact. Partnerships like this help accelerate our goal of recycling one billion pounds of material annually while building a more sustainable future, together.” Amanda Cimaglia Vice President, Global Sustainability THREDUP'S BAGS PROCESSED AT AZEK'S RECYCLING PLANT 442K POUNDS COLLECTED BY AZEK THROUGH JULY 2025 | AZEK'S FULL-CIRCLE RECYCLING PROGRAMS 9 RECYCLING PRODUCTS ENVIRONMENTAL IMPACTOUR APPROACH 2024 FULL-CIRCLE SUSTAINABILITY REPORT


 
PRODUCT LIFE CYCLES: THE FULL CIRCLE To build a more sustainable future we must understand the environmental impacts of our products at all stages of their life — from design and manufacturing to use and maintenance to end-of-life recovery. We must also understand where improvements can be made to reduce our impact. To that end, we have completed science-based Life Cycle Assessments (LCA) on some of our core decking and trim products to better quantify the environmental impacts associated with a product’s life cycle, identify areas of improvement, and more clearly differentiate our products’ environmental performance when compared to traditional materials such as wood. The objective results of an LCA help us prioritize our most important environmental initiatives so that we can take impactful actions to lower the life cycle environmental impacts of our products. Through our FULL-CIRCLE Recycling Program, we have the infrastructure in place to take back end-of-life decking, railing, and trim. While end- of-life recycling is not the primary purpose of the recycling program today, we expect that need to grow in time. In either case, our goal is to continuously close the loop by recycling those products into new versions of themselves or other high-value products. RAW MATERIAL SOURCING– VIRGIN AND RECYCLE END-OF-LIFE RECOVERY AND DISPOSAL VERTICALLY INTEGRATED RECYCLING PROGRAMS PRODUCT INSTALLATION, USE, AND MAINTENANCE MANUFACTURING PRODUCT TRANSPORT Always Do The Right Thing Illustrative Life Cycle of AZEK Products | PRODUCT LIFE CYCLES: THE FULL CIRCLE 10 RECYCLING PRODUCTS ENVIRONMENTAL IMPACTOUR APPROACH 2024 FULL-CIRCLE SUSTAINABILITY REPORT


 
Better Tech. Better Deck. Better Planet. To better understand the environmental impacts of our composite decking and conventional treated wood decking, AZEK commissioned the first-in-industry comparative Life Cycle Assessments (LCA) of these materials. Brazilian Tropical IpeACQ Treated PineVS. VS. LCAs are a standardized, well-defined practice used to model environmental impacts. In 2019, we used an LCA to evaluate the “cradle- to-grave” performance of our TimberTech decking products, including TimberTech Composite decking and TimberTech Advanced PVC decking, compared to sustainably harvested alkaline copper quaternary (ACQ) treated pine — a popular wood decking material. The LCA was conducted in accordance with ISO 14044, a globally recognized standard for life cycle assessments, and critically reviewed by a panel of three independent experts. In 2024, we updated our LCA model for TimberTech decking to reflect the manufacturing and sourcing performance improvements we have made since 2019, including, for example, incorporating more recycled content and shifting to emissions-free energy. As a result, the global warming potential of TimberTech Advanced PVC decking improved approximately 14% — from 1,520 kg CO2e in our 2019 model to 1,310 kg CO2e in the updated 2024 assessment. In 2021, we commissioned a separate LCA study for Ipe, a tropical hardwood harvested both legally and illegally from the Brazilian Amazon and one of the most sought-after materials for premium hardwood decks. As the first study of its kind for Ipe, the AZEK team set out to address the lack of credible life cycle inventory data on tropical Ipe hardwood, produce an LCA, and make the data widely available for all practitioners. To do that, we knew we needed a partner based in Brazil that had worked in the sector. After some effort, we were pleased to identify a suitable partner in local practitioner ACV Brasil. Additionally, ACV Brasil retained Marco Lentini, a widely published expert in tropical hardwood certification, for an independent peer review. For background, illegal harvesting is a widely known issue in tropical hardwood markets. The chain of custody from remote forest to sawmill to ocean freight is long, the number of ports is large, and oversight can be difficult. As much as 30% or more of the tropical hardwood that is marketed worldwide is illegally harvested, which is the baseline used in our LCA study. The results shown on the following page illustrate the assessment of the environmental impacts associated with all stages of each product’s life cycle, including raw material supply and product manufacturing, distribution to market, installation, maintenance, and end-of-life. | PRODUCT LIFE CYCLES: THE FULL CIRCLE 11 RECYCLING PRODUCTS ENVIRONMENTAL IMPACTOUR APPROACH 2024 FULL-CIRCLE SUSTAINABILITY REPORT


 
Timbertech Outperforms Wood When evaluated side by side under our LCAs, the TimberTech products outperformed both sustainably harvested ACQ treated pine and Ipe tropical hardwood on a 100-year total Global Warming Potential (GWP) basis, i.e., the global warming or climate change impacts of those products over a 100-year time horizon. We continuously evaluate and improve the environmental performance of our products. Between 2019 and 2024, enhancements in manufacturing efficiency, increased use of recycled content, and a shift to emissions-free energy contributed to an approximate 14% reduction in the global warming potential (GWP) of TimberTech Advanced PVC decking. As shown in the results of our updated LCA, the GWP decreased from 1,520 kg CO2e in 2019 to 1,310 kg CO2e in 2024 and we continue to explore ways in which we can further reduce the carbon footprint of our products. ENVIRONMENTAL PRODUCT DECLARATIONS NOW AVAILABLE Environmental Product Declarations (EPDs) are available for TimberTech decking, and AZEK and Versatex® Trim, providing third-party verified insights into the environmental impact of our products. You can access the full EPDs at smartepd.com. The LCA studies assume a net area of 1,000 square foot, a 50-year lifetime and approximately 55% recycled PVC for TimberTech Advanced PVC decking, an average 27.3-year lifetime for TimberTech Composite decking, a 25-year lifetime for Ipe decking and a 10-year lifetime for pine decking. The LCA study on Ipe decking assumes a base case of 30% illegal harvesting and includes emissions associated with land-use change. A copy of the LCA Report on Ipe decking can be found here: https://acvbrasil.com.br/uploads/AZEK_LCA_ipe_wood_decking.pdf. | PRODUCT LIFE CYCLES: THE FULL CIRCLE REDUCING THE CARBON FOOTPRINT OF TIMBERTECH ADVANCED PVC DECKING Measured in kg CO2e As an engineered decking material, TimberTech is more sustainable than traditional wood alternatives thanks to our commitment to using recycled materials, optimizing manufacturing, and ensuring maintenance is both safe and environmentally friendly. On top of that, consumers who choose TimberTech decking get all of the benefits of our industry-leading technology and warranties. GLOBAL WARMING POTENTIAL RESULTS ON DECKING Measured in kg CO2e Advanced PVC Decking 1,310 Composite Decking 1,400 Pressure Treated Pine 1,585 Brazilian Ipe 10,774 END OF LIFEDISTRIBUTIONINSTALLATIONMAINTENANCEMANUFACTURING END-OF-LIFEDISTRIBUTIONINSTALLATIONMAINTENANCEMANUFACTURING 2019 Formulation 1,520 1,310 2024 Formulation ~14% reduction 12 RECYCLING PRODUCTS ENVIRONMENTAL IMPACTOUR APPROACH 2024 FULL-CIRCLE SUSTAINABILITY REPORT


 
Improving Product Stewardship: Our Journey Ahead More than 46 million residences in 70,000 communities are at risk from WUI fire, with the highest concentration of homes in California. Today, factors such as climate change and reduced land management practices are significantly contributing to the cause, the increasing frequency, and the greater intensity of wildfires, particularly in the WUI. Wildland fire codes like the WUI Code help increase a community's resilience to wildland fire with standards specifically designed to mitigate the risks to life and property. Some jurisdictions designated as WUI areas, especially in California, Colorado, and Nevada, require that certain building products meet the Class A Flame Spread Index rating. Flame spread ratings are based on the measure of how quickly and how far flames travel across the surface of a material. This indicates a material’s resistance to fire and its potential to contribute to the spread of flames. In California, and surrounding states that have adopted their standards, “ignition resistant” refers to building materials that resist catching fire or burning easily and that may slow the spread of flames. In 2024, TimberTech Advanced PVC Vintage Collection® and Landmark Collection® were the first in the composite decking industry to receive an Ignition Resistant designation from California’s State Fire Marshal. Ignition- resistant decking is less likely to catch fire compared to traditional and composite decking materials. FIRE-RESISTANT INNOVATION FOR A CLIM ATE-RESILIENT FUTURE Wildfires are among the worst natural and man-made disasters currently facing the United States, especially in the Wildland Urban Interface (WUI), where structures and other human development meet or intermingle with undeveloped wildland. When it comes to decking, wood, even when treated with fire-resistant chemicals, is often not the best choice for fire- prone areas. It is important to understand that no wood or composite decking is truly fireproof. However, with Ignition- resistant, WUI-Compliant, and Class A Flame Spread Rating options from TimberTech, consumers have a better choice for homes in fire zones. TIMBERTECH'S FIRE-RESISTANT DECKING IS IN A CLASS OF ITS OWN No other decking matches the beauty or performance of TimberTech Advanced PVC and features an Ignition Resistant designation, Class A Flame Spread Rating, and/or WUI Compliance. BEST CHOICE FOR FIRE ZONES * *DETAILS AT TIMBERTECH.COM/FIR E | FIRE-RESISTANT INNOVATION FOR A CLIMATE-RESILIENT FUTURE PROVEN FIRE RESISTANCE In a third-party burner test against leading competitors' Class B and Class C Flame Spread rated boards, TimberTech Advanced PVC Vintage Collection underwent prolonged flame exposure with less flame spread and damage. Unlike the other boards, it quickly self-extinguished when the flame was removed. Watch the video here. Product Material Type WUI Compliant Flame Spread Rating Ignition Resistant Designation TimberTech Vintage Advanced PVC Class A TimberTech Landmark Advanced PVC Class A TimberTech Harvest+ Advanced PVC Class A TimberTech Harvest Advanced PVC Class B TimberTech Porch Advanced PVC Class B TimberTech Reserve (Fire-resistant SKUs only) Composite Class C TimberTech Premier (Square-shouldered boards only) Composite Class C 13 RECYCLING PRODUCTS ENVIRONMENTAL IMPACTOUR APPROACH 2024 FULL-CIRCLE SUSTAINABILITY REPORT


 
STORIES FROM HOMEOWNERS WHO CHOSE TIMBERTECH Homeowners making sustainable choices — no matter how big or how small — can truly make a difference in their lives and the lives of future generations. When it comes to building an outdoor living space, many want a sustainable deck material that’s a better choice for not only their families, but the planet. Read more TimberTech stories at timbertech.com/timbertech-stories. TIFFANI THIESSEN’S FAMILY CABIN UPGRADE Actress and author Tiffani Thiessen revitalized her family’s mountain retreat in California’s Sequoia National Forest with a focus on sustainability and legacy. By replacing the aging wood deck with TimberTech’s Advanced PVC decking in the Weathered Teak® finish, Tiffani preserved the natural charm of the cabin while eliminating the need for constant upkeep. The decking’s high-performance recycled PVC core resists moisture, mold, and fading — an ideal match for the forested environment. Just as importantly, the use of recycled materials reflects Tiffani’s commitment to reducing environmental impact while creating a safer, longer-lasting space for her family to enjoy. Her project beautifully demonstrates how modern materials can honor the past while embracing a more sustainable future. DARREN CLARKE’S WORRY-FREE BAHAMAS HIDEAWAY Professional golfer Darren Clarke transformed his Bahamas retreat into a low-maintenance sanctuary by replacing his high-maintenance Ipe deck with TimberTech Advanced PVC decking. Opting for the Vintage Collection in Coastline®, complemented by Matte White Classic Composite Series railing, he achieved a coastal aesthetic that seamlessly blends with the island's natural beauty. This sustainable choice not only withstands the harsh tropical elements but also incorporates up to 65% recycled materials, aligning with Darren's preference for eco-friendly solutions. The deck's durability and minimal upkeep provide Darren and his wife, Alison, with peace of mind, allowing them to enjoy their personal paradise without constant maintenance concerns. | TIMBERTECH HOMEOWNER STORIES 14 RECYCLING PRODUCTS ENVIRONMENTAL IMPACTOUR APPROACH 2024 FULL-CIRCLE SUSTAINABILITY REPORT


 
We are committed to pursuing sustainable and responsible manufacturing practices across our operations. This commitment includes reducing waste, minimizing carbon emissions, optimizing energy and water use, and sourcing materials responsibly. Our goal is to create high-quality products while preserving natural resources and contributing positively to the communities and ecosystems we impact. In 2022, we opened our newest manufacturing facility in Boise, Idaho — our first facility in the western United States. From the outset, we committed to investing the time and resources needed to design, retrofit, and operate the 355,000-square-foot facility to meet high standards of energy efficiency and environmental performance. The facility was developed to minimize water and energy use, reduce reliance on natural resources, and limit environmental impact on the surrounding community. Some of the specific initiatives we implemented at this facility include LED lighting upgrades, installation of efficient water-cooled chillers, gender-neutral bathrooms, a state-of-the-art AZEK University training center, rainwater harvesting systems, bicycle facilities, electric vehicle charging stations, and a robust construction and demolition waste management and recycling plan. SUSTAINABLE M ANUFAC TURING PRAC TICES Responsibly Conserving Water As a manufacturing company, we recognize the imperative to manage water resources responsibly. Our facilities in Wilmington, Ohio; Scranton, Pennsylvania; and Boise, Idaho, employ a closed-loop water filtration system that reuses and recycles millions of gallons of water every day, constituting approximately 95% of our water use annually. Minimal Hazardous Waste Very little hazardous waste is generated from our manufacturing process. Across our various locations, we fall into the category of Very Small Quantity Generators (VSQG) as defined by the EPA, meaning that our facilities generate and ship out 100kg or less per month of hazardous waste. All waste that is classified as Hazardous Waste due to their ignitable, corrosive, reactive, or toxic characteristics, including but not limited to paint and aerosol paint cans, is transported, disposed of, and/ or recycled through companies licensed to handle hazardous waste. Opportunities to reduce or eliminate the generation of hazardous waste are evaluated regularly. *In our Wilmington, Ohio; Scranton, Pensylvania; and Boise, Idaho facilities ~95% OF OUR WATER IS REUSED ANNUALLY* 466KG TOTAL AMOUNT OF HAZARDOUS WASTE Across AZEK facilities (~1,027 lbs) FY 2024 | SUSTAINABLE MANUFACTURING PRACTICES 15 RECYCLING PRODUCTS ENVIRONMENTAL IMPACTOUR APPROACH 2024 FULL-CIRCLE SUSTAINABILITY REPORT


 
Sustainable Packaging, Recycling, and Waste Reduction Sustainable packaging is another important factor in reducing the environmental footprint across our value chain. We strive to minimize excess packaging materials, optimize packaging designs for efficiency, and implement recycling and reuse strategies. Additionally, because we are a vertically integrated recycler of low-density plastic film, we also collect, recycle, internally process, and reuse stretch wrap, pallet wrap, packaging wrap, and other types of plastic film that we may receive at our facilities from inbound shipments. In alignment with our commitment to continuous improvement, we continue to explore additional sustainable packaging options for products across the AZEK portfolio. Sustainability in Transportation and Shipping We continually evaluate and consider ways in which we can reduce our carbon footprint and enhance efficiency in our transportation and shipping logistics programs. In general, we transport inbound raw materials and outbound finished products via railcar whenever possible, which is less carbon intensive than shipping via truck. In 2023, we partnered with our transportation team to begin tracking the shipping volume moving via carriers that participate in the EPA’s Smartway Program, a program that helps companies identify and select more efficient freight carriers, transport modes, equipment, and operational strategies to improve supply chain sustainability and lower costs from goods movement. Responsible Wood Flour Sourcing and Zero Deforestation We are committed to zero deforestation, which means no forest areas are cleared or converted for purposes of supplying raw material inputs to make our products. Rather, at AZEK, 100% of the wood used in AZEK’s TimberTech Composite products are secondary materials — chips, sawdust, and other wood products — left over from primary markets Since 2001, the equivalent of over four million trees has been saved because customers chose TimberTech decking over wood. like flooring, furniture, and cabinet industries. All of AZEK’s wood flour suppliers routinely certify that they purchase wood legally from domestic sources and follow state forestry guidelines or third-party forestry chain of custody certifications, like Sustainable Forestry Initiative (SFI), to ensure product sustainability. Protecting Biodiversity We are working to support healthy ecosystems and protect biodiversity through responsible sourcing of raw materials, responsible production and chemical management practices, effective waste management, water conservation, and other actions. Furthermore, our team has engaged in rehabilitating degraded ecosystems including through local reforestation, wetland restoration, and other habitat improvement activities. 100% CERTIFIED SUSTAINABLE AND RECLAIMED All the wood flour purchased from our suppliers is certified sustainable and reclaimed, meaning no single tree was cut down to make AZEK products | SUSTAINABLE MANUFACTURING PRACTICES 16 RECYCLING PRODUCTS ENVIRONMENTAL IMPACTOUR APPROACH 2024 FULL-CIRCLE SUSTAINABILITY REPORT


 
At AZEK, we continuously measure and manage our greenhouse gas (GHG) emissions to understand our impact on the environment and to drive meaningful reductions in our carbon footprint. The following pages detail AZEK's most recent GHG metrics and performance. In accordance with the internationally recognized GHG Protocol, we accounted for Scope 1, 2, and 3 emissions, as outlined below. SCOPE 1 Direct emissions from sources owned or controlled by AZEK, with the main categories being fuel to power our vehicle fleet, heat our buildings and power our backup generators. SCOPE 2 Indirect Emissions sources generated off- site, but purchased by AZEK (i.e. purchased electricity). A location-based method reflects the average emissions intensity of grids on which energy consumption occurs. A market-based method reflects emissions from electricity that AZEK had purposefully chosen, which is certified 100% carbon-free for a majority of our facilities’ energy purchases. SCOPE 3 Indirect emissions that occur in the upstream and downstream activities of AZEK. Upstream emissions are indirect GHG emissions related to purchased or acquired goods and services, such as virgin and recycled raw materials. Like most manufacturing companies, raw materials are the largest source of emissions as a percentage of our total footprint. Downstream emissions are indirect GHG emissions related to sold goods and services, such as product distribution. | MEASURING AND MANAGING GREENHOUSE GAS EMISSIONS ME ASURING AND M ANAGING GREENHOUSE GAS EMISSIONS 17 RECYCLING PRODUCTS ENVIRONMENTAL IMPACTOUR APPROACH 2024 FULL-CIRCLE SUSTAINABILITY REPORT


 
Greenhouse Gas (GHG) Emissions* (tCO2e) FY24 FY23 FY22 FY21 Total Scope 1 Emissions 12,465 13,894 13,425 7,064 Total Scope 2 Emissions - Location Based 97,177 80,320 80,663 78,088 Total Scope 2 Emissions - Market Based 20,327 506 26,237 18,940 Total Scope 3 Emissions 709,136 694,006 723,718 662,908 Purchased Goods & Services 483,626 498,537 503,880 483,446 Direct 470,135 486,831 488,485 469,971 Indirect 13,261 11,515 15,053 13,184 Water 230 191 342 292 Capital Goods 17,738 14,932 32,860 36,935 Upstream Fuel- and Energy-Related Activities (not included in Scope 1 or Scope 2) 12,621 9,481 19.973 27,571 Upstream Transportation & Distribution 27,709 22,185 11,268 7,161 Waste Generated in Operations 5,326 6,769 11,078 6,930 Business Travel 3,831 3,294 5,128 1,464 Employee Commuting 5,515 3,924 3,451 4,618 Downstream Transportation & Distribution 90,023 82,970 81,445 53,754 Processing of Sold Products 5 458 719 715 End-of-Life Treatment of Sold Products 53,742 51,353 53,621 39,948 Downstream Leased Assets -- 103 295 366 Total (Location-Based) 818,778 788,219 817,806 748,061 Total (Market-Based) 741,928 708,405 763,379 688,913 Our Impact by the Numbers Independent Assurance We received reasonable assurance of our fiscal 2024 Scope 1, Scope 2, and Scope 3 data from Industrial Ecology Consultants. *To facilitate year-over-year comparison in this report, fiscal 2022 emissions were restated and fiscal 2023 emissions were reported excluding emissions associated with Vycom operations, as the Vycom business was sold in November 2023, and is no longer under AZEK’s operational control. Fiscal 2021 emissions were calculated and reported including emissions from companies acquired by AZEK in fiscal 2022, as if they were under AZEK’s operational control during all of fiscal 2021 and fiscal 2022. | MEASURING AND MANAGING GREENHOUSE GAS EMISSIONS 18 RECYCLING PRODUCTS ENVIRONMENTAL IMPACTOUR APPROACH 2024 FULL-CIRCLE SUSTAINABILITY REPORT


 
Calculation Methodologies and Assumptions The GHG accounting and reporting procedure is based on the Greenhouse Gas Protocol: A Corporate Accounting and Reporting Standard Revised Edition (GHG Protocol), the most widely used international accounting tool for government, and business leaders to understand, quantify, and manage greenhouse gas emissions. AZEK’s GHG inventory is consolidated using, and the GHG data included in this report reflect, the operational control approach to organizational boundaries. The GHG data included in this report is subject to estimates, assumptions and limitations further discussed in the “About this Report” section of this report. In particular, the Scope 3 data in this report reflects our current estimate based on reasonably available information, and is subject to meaningful inherent uncertainty. For example, for the Scope 3 category of purchased goods and services (raw materials), emissions factors used in this analysis were based on industry or market averages. Climate Impact: Our Path Forward Making “sustainability” sustainable means looking at every resource we use and rethinking how we can utilize it more efficiently. From material selection and manufacturing processes to energy use and end-of-life solutions, we’re continually evolving how we operate to drive down waste and emissions while increasing impact. As part of our commitment to meaningful and measurable action, we’ve aligned our climate strategy with globally recognized standards that provide accountability and transparency in reducing emissions across our operations and value chain. In 2025, the Science Based Targets initiative (SBTi) validated AZEK’s near-term science-based targets for reducing greenhouse gas (GHG) emissions, including: › Reducing absolute Scope 1 and 2 GHG emissions 42% by FY2030 from a FY2021 base year. › Reducing Scope 3 GHG emissions from purchased goods and services 63.8% per pound of raw material procured by FY2034 from a FY2021 base year. Future sustainability reporting will be conducted on a consolidated basis together with James Hardie, reflecting the strength and shared commitment of our combined organization. | MEASURING AND MANAGING GREENHOUSE GAS EMISSIONS 19 RECYCLING PRODUCTS ENVIRONMENTAL IMPACTOUR APPROACH 2024 FULL-CIRCLE SUSTAINABILITY REPORT


 
Using More Recycled Materials Lowers Our Carbon Footprint Our commitment to revolutionizing outdoor living to create a more sustainable future is most clearly demonstrated and quantified by the increase in recycled materials we use each year. Today, our largest raw material input is recycled plastic, and for good reason. Not only are we keeping hundreds of millions of pounds of waste and scrap out of landfills each year, the carbon footprint of recycled polyethene and recycled PVC is approximately 75% - 80% less than their virgin material counterparts. The more recycled material (vs. virgin) we use, the lower the carbon footprint of the products we manufacture and the lower the carbon footprint of AZEK’s total operations and value chain. Additionally, recycled materials typically cost less than virgin materials, so in addition to lowering our carbon footprint, we could save up to 50% in raw material cost per pound (vs. virgin materials). Between fiscal 2019 and fiscal 2024, The AZEK Company’s annual net sales increased from approximately $794 million in fiscal 2019, to approximately $1.4 billion in fiscal 2024, or approximately 81%. During that same period, we increased the amount of recycled waste and scrap raw material inputs from approximately 290 million pounds in fiscal 2019, to approximately 520 million pounds in fiscal 2024. Primarily because of the annual increase in recycled waste and scrap materials used to manufacture our products between fiscal 2019 and fiscal 2024, combined with the increase in emissions-free energy sourced for our manufacturing and recycling operations, our Carbon Intensity (Tons of Carbon Emissions Equivalent per $1M of Net Sales) decreased by approximately 46%. In other words, we produced and sold more products, but emitted less carbon on an intensity basis over the reporting period. CARBON INTENSITY* tC02e per $1M Net Sales Repurposing With a Purpose *The calculation of Carbon Intensity (Metric Tons of CO2e per $1M net sales) presented above includes Scope 1 and Scope 2 emissions, plus the Purchased Goods and Services category of Scope 3 emissions, which includes the emissions related to our raw material purchases including virgin and recycled material. OUR ONE BILLION POUNDS GOAL With a commitment to accelerate our use of recycled material, and further, our ambition to divert and utilize one billion pounds of — what otherwise would have been landfill-bound waste and scrap annually — in the manufacturing of our products, we believe we are uniquely positioned to have a positive, lasting impact on the world and advance a more sustainable, circular future. 2019 $1,441$1,370$1,356 $1,179 $899$794 NET SALES ($ IN MILLIONS) INTENSITY (tCO2e PER $1M NET SALES) 2020 2021 2022 2023 2024 ~4% 1-YEAR DECREASE IN CARBON INTENSITY FROM FISCAL 2023 TO FISCAL 2024 ~46% 5-YEAR DECREASE IN CARBON INTENSITY FROM FISCAL 2019 TO FISCAL 2024 ~290M Pounds ~400M Pounds ~500M Pounds ~500M Pounds ~420M Pounds ~520M Pounds Waste & Scrap Material Recycled/Reused in AZEK Products | MEASURING AND MANAGING GREENHOUSE GAS EMISSIONS 20 RECYCLING PRODUCTS ENVIRONMENTAL IMPACTOUR APPROACH 2024 FULL-CIRCLE SUSTAINABILITY REPORT


 
At AZEK, we believe in collective action, recognizing that we are all stakeholders in creating a better future. By revolutionizing the industry with sustainable and innovative solutions, we believe we have the power to positively impact our people, our products, our communities, and the health of our planet. Through strategic teamwork and innovative tactics, we continually strive to do what is right, promoting a brighter and more sustainable tomorrow for all. Looking ahead, as part of James Hardie, we’re excited to build on this momentum and further amplify our impact. Future sustainability reporting will be conducted on a consolidated basis, reflecting the strength and shared commitment of our combined organization. Thank you for being part of our journey. | CONCLUSION CONCLUSION 21 RECYCLING PRODUCTS ENVIRONMENTAL IMPACTOUR APPROACH 2024 FULL-CIRCLE SUSTAINABILITY REPORT


 
azekco.com 1330 W Fulton Street Suite #350 Chicago, IL 60607