UNITED STATES
SECURITIES AND EXCHANGE COMMISSION
Washington, DC 20549
FORM 6-K
Report of Foreign Private Issuer
Pursuant to Rule 13a-16 or 15d-16 of
the Securities Exchange Act of 1934
| For the month of: March 2025 | Commission File Number: 1-14830 |
| GILDAN ACTIVEWEAR INC. |
| (Translation of registrant’s name into English) |
|
600 de Maisonneuve Boulevard West 33rd Floor Montréal, Québec Canada H3A 3J2 |
| (Address of principal executive offices) |
Indicate by check mark whether the registrant files or will file annual reports under cover of Form 20-F or Form 40-F:
Form 20-F ¨ Form 40-F x
SIGNATURES
Pursuant to the requirements of the Securities Exchange Act of 1934, the registrant has duly caused this report to be signed on its behalf by the undersigned, thereunto duly authorized.
| GILDAN ACTIVEWEAR INC. | |||
| Date: March 13, 2025 | By: | /s/ Michelle Taylor | |
| Name: | Michelle Taylor | ||
| Title: | Vice-President, General Counsel and Corporate Secretary | ||
EXHIBIT INDEX
Exhibit 99.1
THIRD SUPPLEMENTAL TRUST INDENTURE
This Third Supplemental Trust Indenture is entered into as of the 13th day of March, 2025 between:
GILDAN ACTIVEWEAR INC., a corporation created and existing under the laws of Canada (the "Issuer")
- and -
TSX TRUST COMPANY, a trust company existing under the laws of Canada (the "Trustee")
WITNESSETH THAT:
WHEREAS the Issuer and the Trustee entered into a trust indenture dated as of November 22, 2024 (the "Indenture") to provide for the creation and issuance of senior unsecured notes;
AND WHEREAS Section 14.3 of the Indenture provides that the Trustee may enter into indentures supplemental to the Indenture;
AND WHEREAS the Issuer has determined to create and issue a third series of Notes to be designated as Floating Rate Senior Unsecured Notes, Series 3 , due March 13, 2028 (the "Series 3 Notes") and to enter into this third supplemental trust indenture (this "Supplemental Indenture") with the Trustee to provide for such creation and issuance, and establish the terms, provisions and conditions, of the Series 3 Notes;
AND WHEREAS all necessary acts and proceedings have been done and taken and all necessary resolutions have been passed to authorize the execution and delivery of this Supplemental Indenture, to make the same effective and binding upon the Issuer, and to make the Series 3 Notes, when certified by the Trustee and issued as provided in the Indenture and this Supplemental Indenture, valid, binding and legal obligations of the Issuer with the benefit and subject to the terms of the Indenture and this Supplemental Indenture;
AND WHEREAS the foregoing recitals are made as representations and statements of fact by the Issuer and not by the Trustee.
NOW THEREFORE it is hereby covenanted, agreed and declared as set forth below.
ARTICLE 1 DEFINITIONS AND AMENDMENTS TO INDENTURE
| 1.1 | Definitions |
| (a) | All capitalized terms used but not defined herein shall have the meanings given to them in the Indenture. |
| (b) | In this Supplemental Indenture and in the Series 3 Notes, unless there is something in the subject matter or context inconsistent therewith, the following expressions shall have the respective meanings indicated: |
"Applicable CORRA Fallback Rate" means one of the CAD Recommended Rate or the BOC Target Rate, as applicable.
-
"Bank of Canada Business Day" means each day that Schedule I banks under the Bank Act (Canada) are open for business in Toronto, Ontario, Canada, other than a Saturday or a Sunday or a public holiday in Toronto (or such revised regular publication calendar for the CORRA Compounded Index, CORRA or an Applicable CORRA Fallback Rate as may be adopted by the Reference Rate Administrator from time to time).
"BOC Target Rate" means the Bank of Canada's target for the overnight rate as set by the Bank of Canada and published on the Bank of Canada's website from time to time.
"CAD Recommended Rate" means the rate (inclusive of any spreads or adjustments) recommended as the replacement for CORRA by a committee officially endorsed or convened by the Bank of Canada for the purpose of recommending a replacement for CORRA (which rate may be produced by the Bank of Canada or another administrator) and as provided by the administrator of that rate or, if that rate is not provided by the administrator thereof (or a successor administrator), published by an authorized distributor.
"Calculation Agent" means a third party trustee or financial institution of national standing with experience providing such services, which has been selected by the Issuer.
"Change of Control" means the occurrence of any of the following events: (a) the direct or indirect sale, transfer, conveyance or other disposition (other than by way of merger, amalgamation or consolidation), in one or a series of related transactions, of all or substantially all of the properties or assets of the Issuer and the Guarantors, taken as a whole, to any Person; (b) the consummation of any transaction the result of which is that any Person or group of Persons acting jointly or in concert is or becomes the beneficial owner of (with beneficial ownership and acting jointly or in concert being defined in accordance with Sections 1.8 and 1.9 of National Instrument 62-104 – Take-Over Bids and Issuer Bids), or controls, directly or indirectly, Voting Shares representing more than 50% of the voting power of the total outstanding Voting Shares of the Issuer; and (c) the adoption by the shareholders of the Issuer of a Plan of Liquidation. For purposes of this definition, a Person shall not be deemed to have beneficial ownership of securities subject to a share purchase agreement, amalgamation agreement or similar agreement until the consummation of the transactions contemplated by such agreement. Notwithstanding the foregoing, a transaction will not be deemed to involve a Change of Control under clause (b) above if (a) the Issuer becomes a direct or indirect wholly owned Subsidiary of a holding company and (b)(i) the direct or indirect holders of the Voting Shares of such holding company immediately following that transaction are substantially the same as the holders of the Issuer's Voting Shares immediately prior to that transaction, or (ii) immediately following that transaction, the holders of the Issuer's Voting Shares immediately prior to that transaction (or another holding company satisfying the requirements of this sentence) are the beneficial owners of (with beneficial ownership being defined in accordance with Section 1.8 of National Instrument 62-104 – Take-Over Bids and Issuer Bids), or control, directly or indirectly, Voting Shares representing 50% or more of the voting power of the total outstanding Voting Shares of such holding company.
"Change of Control Triggering Event" means the occurrence of both a Change of Control, and, so long as the Notes are rated, a Ratings Event.
-
"CORRA" means, with respect to any Bank of Canada Business Day, a reference rate equal to the daily Canadian Overnight Repo Rate Average for that day, as published by the Reference Rate Administrator for CORRA (or any successor Reference Rate Administrator), on the website of such Reference Rate Administrator or any successor website on the immediately following Bank of Canada Business Day.
"CORRA Cessation Effective Date" means, in respect of one or more CORRA Cessation Events, the first date on which CORRA is no longer provided. If CORRA ceases to be provided on the same day that it is required to determine the rate for an Interest Period, but it was provided on the Interest Determination Date for such Interest Period, then the CORRA Cessation Effective Date will be the next day on which the rate would ordinarily have been published.
"CORRA Cessation Event" means:
| A. | a public statement or publication of information by or on behalf of the Reference Rate Administrator or provider of CORRA announcing that it has ceased or will cease to provide CORRA permanently or indefinitely, provided that, at the time of the statement or publication, there is no successor Reference Rate Administrator or provider of CORRA that will continue to provide CORRA; or |
| B. | a public statement or publication of information by the regulatory supervisor for the Reference Rate Administrator or provider of CORRA, the Bank of Canada, an insolvency official with jurisdiction over the Reference Rate Administrator or provider of CORRA, a resolution authority with jurisdiction over the Reference Rate Administrator or provider of CORRA or a court or an entity with similar insolvency or resolution authority over the Reference Rate Administrator or provider of CORRA, which states that the Reference Rate Administrator or provider of CORRA has ceased or will cease to provide CORRA permanently or indefinitely, provided that, at the time of the statement or publication, there is no successor Reference Rate Administrator or provider of CORRA that will continue to provide CORRA. |
"CORRA Compounded Index" means the measure of the cumulative impact of CORRA compounding over time administered and published by the Bank of Canada (or any successor Reference Rate Administrator).
"CORRA Compounded Index Cessation Effective Date" means, in respect of one or more CORRA Compounded Index Cessation Events, the first date on which the CORRA Compounded Index is no longer provided. If the CORRA Compounded Index ceases to be provided on the same day that it is required to determine the rate for an Interest Period, but it was provided on the Interest Determination Date for such Interest Period, then the CORRA Compounded Index Cessation Effective Date will be the next day on which the rate would ordinarily have been published.
"CORRA Compounded Index Cessation Event" means:
| A. | a public statement or publication of information by or on behalf of the Reference Rate Administrator or provider of CORRA Compounded Index announcing that it has ceased or will cease to provide CORRA Compounded Index permanently or indefinitely, provided that, at the time of the statement or publication, there is no successor Reference Rate Administrator or provider of CORRA Compounded Index that will continue to provide CORRA Compounded Index; or |
-
| B. | a public statement or publication of information by the regulatory supervisor for the Reference Rate Administrator or provider of CORRA Compounded Index, the Bank of Canada, an insolvency official with jurisdiction over the Reference Rate Administrator or provider of CORRA Compounded Index, a resolution authority with jurisdiction over the Reference Rate Administrator or provider of CORRA Compounded Index or a court or an entity with similar insolvency or resolution authority over the Reference Rate Administrator or provider of CORRA Compounded Index, which states that the Reference Rate Administrator or provider of CORRA Compounded Index has ceased or will cease to provide CORRA Compounded Index permanently or indefinitely, provided that, at the time of the statement or publication, there is no successor Reference Rate Administrator or provider of CORRA Compounded Index that will continue to provide CORRA Compounded Index. |
"CORRA Yield" means CORRA on the CORRA Yield Determination Date plus 0.00%.
"CORRA Yield Determination Date" means the second Bank of Canada Business Day prior to the redemption date for the Notes.
"CORRA Yield Price" means a price equal to the sum of the discounted values, calculated using the CORRA Yield as the discount rate, of (i) all remaining scheduled payments of interest on the Notes (calculated at an interest rate equal to CORRA as of the CORRA Yield Determination Date, compounded daily, plus 1.26%), and (ii) the principal amount of the Notes to be redeemed, in each case from, but not including, the redemption date to, and including, the Maturity Date calculated in accordance with generally accepted financial practice.
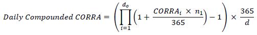
"Daily Compounded CORRA" means, for an Observation Period, the rate calculated using the following method, with the resulting percentage rounded, if necessary, to the fifth decimal place, with 0.000005% being rounded upwards and (-) 0.000005% being rounded downwards:

where:
| · | "CORRA Compounded Indexstart" is equal to the CORRA Compounded Index value on the date that is two Bank of Canada Business Days preceding the first date of the relevant Interest Period; |
| · | "CORRA Compounded Indexend" is equal to the CORRA Compounded Index value on the date that is two Bank of Canada Business Days preceding the Interest Payment Date relating to such Interest Period (or, in the case of the final Interest Period, the Maturity Date, or if the Notes are redeemed prior to the Maturity Date, the date of redemption of such Notes, as applicable); and |
-
| · | "d" is the number of calendar days in the relevant Observation Period. |
"Designated Rating Organization" means a "designated rating organization" within the meaning of National Instrument – 25-101 Designated Rating Organizations.
"Fallback Index Cessation Effective Date" means, in respect of one or more Fallback Index Cessation Events, the first date on which the Applicable CORRA Fallback Rate is no longer provided. If the Applicable CORRA Fallback Rate ceases to be provided on the same day that it is required to determine the rate for an Interest Determination Date, but it was provided at the time at which it is to be observed (or, if no such time is specified, at the time at which it is ordinarily published), then the Fallback Index Cessation Effective Date will be the next day on which the rate would ordinarily have been published.
"Fallback Index Cessation Event" means:
| A. | a public statement or publication of information by or on behalf of the Reference Rate Administrator or provider of the Applicable CORRA Fallback Rate announcing that it has ceased or will cease to provide the Applicable CORRA Fallback Rate permanently or indefinitely, provided that, at the time of the statement or publication, there is no successor Reference Rate Administrator or provider of the Applicable CORRA Fallback Rate that will continue to provide the Applicable CORRA Fallback Rate; or |
| B. | a public statement or publication of information by the regulatory supervisor for the Reference Rate Administrator or provider of the Applicable CORRA Fallback Rate, the Bank of Canada, an insolvency official with jurisdiction over the Reference Rate Administrator or provider of the Applicable CORRA Fallback Rate, a resolution authority with jurisdiction over the Reference Rate Administrator or provider of the Applicable CORRA Fallback Rate or a court or an entity with similar insolvency or resolution authority over the Reference Rate Administrator or provider of the Applicable CORRA Fallback Rate, which states that the Reference Rate Administrator or provider of the Applicable CORRA Fallback Rate has ceased or will cease to provide the Applicable CORRA Fallback Rate permanently or indefinitely, provided that, at the time of the statement or publication, there is no successor Reference Rate Administrator or provider of the Applicable CORRA Fallback Rate that will continue to provide the Applicable CORRA Fallback Rate. |
"Interest Determination Date" means the date that is two Bank of Canada Business Days preceding each Interest Payment Date, or, in the case of the final Interest Period, preceding the Maturity Date, or, if applicable, preceding the date of redemption of any Notes.
"Interest Payment Date" means the 13th day of each of March, June, September and December of each year, commencing June 13, 2025.
"Interest Period" means each quarterly period from, and including, each Interest Payment Date (or, in the case of the first Interest Period, the date of the first issuance of the Series 3 Notes) to, but excluding, the next succeeding Interest Payment Date, or in the case of the final Interest Period, the Maturity Date (or, if Notes are redeemed prior to the Maturity Date, the date of redemption of such Notes, as applicable).
-
"Investment Grade Rating" means a rating equal to, or higher than, BBB (low) by Morningstar DBRS (or the equivalent of any successor rating category of Morningstar DBRS), Baa3 by Moody's (or the equivalent of any successor rating category of Moody's), BBB- by S&P (or the equivalent of any successor rating category of S&P), or BBB- by Fitch (or the equivalent of any successor rating category of Fitch) or, if none of these rating agencies rates the Notes, the corresponding credit rating from any other Designated Rating Organization.
"Maturity Date" means March 13, 2028.
"Observation Period" means in respect of each Interest Period, the period from, and including, the date that is two Bank of Canada Business Days preceding the first date in such Interest Period (or, in the case of the first Interest Period, the date of the first issuance of the Series 3 Notes) to, but excluding, the date that is two Bank of Canada Business Days preceding the Interest Payment Date for such Interest Period (or, in the case of the final Interest Period, the Maturity Date or, if the Notes are redeemed prior to the Maturity Date, the date of redemption of such Notes, as applicable).
"Person" or "person" means any individual, corporation, partnership, limited liability company, unlimited liability company, joint venture, incorporated or unincorporated association, joint-stock company, trust, mutual fund trust, unincorporated organization or government or other agency or political subdivision thereof or other legal entity of any kind.
"Ratings Event" means the occurrence of a decrease in the rating of the Series 3 Notes to below an Investment Grade Rating by either (a)(i) two out of three of the Designated Rating Organizations, if there are three Designated Rating Organizations then rating the Notes, or (ii) three Designated Rating Organizations, if there are four or more Designated Rating Organizations then rating the Notes, or (b) each Designated Rating Organization, if there are less than three Designated Rating Organizations then rating the Notes (the "Required Threshold") on any day within the 90-day period (which 90-day period will be extended so long as the rating of the Notes is under publicly announced consideration for a possible downgrade by such number of Designated Rating Organization(s) which, together with each Designated Rating Organization which has already lowered its rating, would aggregate in number the Required Threshold) after the earlier of (i) the occurrence of a Change of Control and (ii) public notice of the occurrence of a Change of Control or of the Issuer's intention or agreement to effect a Change of Control.
"Reference Rate Administrator" means the Bank of Canada or any successor administrator for CORRA and/or the CORRA Compounded Index or the administrator (or its successor) of another Applicable CORRA Fallback Rate, as applicable.
"Voting Shares" with respect to any Person, means securities of any class of Equity Interests of such Person entitling the holders thereof (whether at all times or only so long as no senior class of shares or other relevant Equity Interest has voting power by reason of any contingency) to vote in the election of members of the Board of Directors of such Person.
| (c) | In this Supplemental Indenture, all references to Articles, Sections and Schedules refer, unless otherwise specified, to articles, sections and schedules of or to this Supplemental Indenture. |
-
| 1.2 | Amendments to Indenture |
This Supplemental Indenture is supplemental to the Indenture and the Indenture and the Supplemental Indenture shall hereafter be read together and shall have effect, so far as practicable, with respect to the Series 3 Notes as if all the provisions of the Indenture and this Supplemental Indenture were contained in one instrument. The Indenture is and shall remain in full force and effect with regards to all matters governing the Series 3 Notes, except as the Indenture is amended, superseded, modified or supplemented by this Supplemental Indenture. Notwithstanding the foregoing, in the event of any inconsistency between the provisions of this Supplemental Indenture and the provisions of the Indenture, the provisions of this Supplemental Indenture shall prevail.
For clarity and avoidance of doubt, the provisions of this Supplemental Indenture shall only be applicable to the Series 3 Notes issued hereunder and shall not be applicable to any other series of Notes hereafter issued.
ARTICLE 2 THE SERIES 3 NOTES
| 2.1 | Creation and Designation |
There is hereby authorized to be issued under the Indenture a Series of Notes designated as Floating Rate Senior Unsecured Notes, Series 3, due March 13, 2028. The Series 3 Notes shall have the terms set forth in this Article 2 and be subject to the applicable provisions of the Indenture.
| 2.2 | Form and Terms of Series 3 Notes |
| (a) | The maximum principal amount of Series 3 Notes that may be issued is unlimited. The initial amount of Series 3 Notes that is authorized and issued under this Supplemental Indenture on the date hereof is $150,000,000 in the lawful money of Canada. |
| (b) | The Series 3 Notes shall mature on March 13, 2028. |
| (c) | The Series 3 Notes bear interest from the date of issue based on the Daily Compounded CORRA determined for the Observation Period in respect of each Interest Period plus 1.26% per annum, payable quarterly in arrears on each Interest Payment Date through to the Maturity Date. The first interest payment will be June 13, 2025 in respect of the Series 3 Notes issued on the date hereof for the period from and including March 13, 2025, payable after as well as before maturity and after as well as before default, with interest on amounts in default at the same rate, compounded quarterly. Interest payable for any period less than a full quarterly period shall be computed on the basis of a 365 day year and the actual number of days elapsed in the period. |
| (d) | If any Interest Payment Date would otherwise fall on a day that is not a Bank of Canada Business Day, then such Interest Payment Date will be the next day that is a Bank of Canada Business Day, unless the next Bank of Canada Business Day falls in the next calendar month, in which case such Interest Payment Date will be the immediately preceding day that is a Bank of Canada Business Day. If the Maturity Date falls on a day that is not a Bank of Canada Business Day, the Issuer will make the required payment of principal and interest on the next succeeding Bank of Canada Business Day. |
-
| (e) | The Series 3 Notes may be redeemed at the option of the Issuer on any Interest Payment Date, provided that in each case if such date is not a Bank of Canada Business Day, then such Redemption Date will be the next following Bank of Canada Business Day unless such day falls in the next calendar month, in which case the relevant Redemption Date shall be the immediately preceding Bank of Canada Business Day, either in whole at any time, or in part from time to time, upon such condition as may be specified in the notice of redemption and on a Redemption Date determined by the Issuer that is not less than 10 nor more than 60 days after such notice of redemption is given to the holders of the Series 3 Notes to be redeemed pursuant to Article 5 of the Indenture, at a Redemption Price equal to the greater of (i) the CORRA Yield Price; and (ii) par, together in each case with accrued and unpaid interest, if any, to but excluding, the date fixed for the redemption. The Issuer will be responsible for calculating the Redemption Price. Less than all of the Series 3 Notes may be redeemed, and if so redeemed, shall be redeemed in accordance with Section 5.2 of the Indenture. In accordance with Section 5.8 of the Indenture, the Series 3 Notes that are redeemed pursuant to this Section 2.2 will be cancelled and will not be re-issued. The notice of the Issuer to redeem the Series 3 Notes may be conditional on an event or transaction, and, in such case, such notice of redemption shall specify the details and terms of any event on which such redemption is conditional. |
| (f) | Upon the occurrence of a Change of Control Triggering Event, the Issuer is required, in accordance with section 8.12 of the Indenture, to make an offer to purchase all outstanding Series 3 Notes at a price equal to 101% of the principal amount of such Series 3 Notes plus accrued and unpaid interest up to, but excluding, the date the Series 3 Notes are so repurchased. |
| (g) | The Series 3 Notes shall be issued in denominations of $1,000 and integral multiples of $1,000 in excess thereof. Each certificate representing the Series 3 Notes and the certificate of the Trustee endorsed thereon shall be issued in substantially the form set out in Schedule "A" to this Supplemental Indenture, with such insertions, omissions, substitutions or other variations as shall be required or permitted by the Indenture and this Supplemental Indenture, and may have imprinted or otherwise reproduced thereon such legends or endorsements, not inconsistent with the provisions of the Indenture or this Supplemental Indenture, as may be required to comply with any law or with any rules or regulations pursuant thereto or with any rules or regulations of any securities exchange or securities regulatory authority or to conform with general usage, all as may be determined by any Officer of the Issuer executing such Series 3 Note in accordance with Section 2.6 of the Indenture, as conclusively evidenced by their execution thereof. Each certificate representing the Series 3 Notes shall additionally bear such distinguishing letters and numbers as the Trustee shall approve. |
The Series 3 Notes shall be issuable initially as one Global Note held by, or on behalf of, the Depository for its participants and registered in the name of the Depository or its nominee. No beneficial holder of Series 3 Notes shall receive definitive certificates representing their interest in Series 3 Notes except as provided in Section 2.5 of the Indenture. A Global Note may be exchanged for Series 3 Notes in registered form that are not Global Notes or transferred to and registered in the name of a Person other than the Depository for such Global Notes or a nominee thereof, as provided in Section 2.5 of the Indenture.
| (h) | The Trustee shall be provided with the documents and instruments referred to in Sections 4.1(a)(i), 4.1(a)(ii) and 4.1(a)(iii) of the Indenture with respect to the Series 3 Notes prior to the issuance of the Series 3 Notes. |
-
| 2.3 | Floating Interest Rate Fallback |
| (a) | If (i) the CORRA Compounded Indexstart or the CORRA Compounded Indexend is not published or displayed by the Reference Rate Administrator or an authorized distributor by 11:30 a.m. Toronto time (or an amended publication time, if any, as specified in the Reference Rate Administrator's methodology for calculating the CORRA Compounded Index) on the Interest Determination Date for such Interest Period, but a CORRA Compounded Index Cessation Effective Date has not occurred, or (ii) a CORRA Compounded Index Cessation Effective Date has occurred, and in the case of either (i) or (ii), a CORRA Cessation Effective Date has not occurred, then Daily Compounded CORRA for the applicable Interest Period will be calculated by the Calculation Agent using the following method, with the resulting percentage being rounded, if necessary, to the fifth decimal place, with 0.000005% being rounded upwards and (-) 0.000005% being rounded downwards: |

Where:
| · | "d0" for any Observation Period is the number of Bank of Canada Business Days in the relevant Observation Period; |
| · | "i" is a series of whole numbers from one to d0, each representing the relevant Bank of Canada Business Day in chronological order from, and including, the first Bank of Canada Business Day in the relevant Observation Period; |
| · | "CORRAi" means, in respect of any Bank of Canada Business Day "i" in the relevant Observation Period, a reference rate equal to the daily CORRA rate for that day, as published or displayed by the Reference Rate Administrator for CORRA on the website of such Reference Rate Administrator or any successor website or an authorized distributor at 11:00 a.m. Toronto time (or the amended publication deadline for CORRA, if any, as specified in the Reference Rate Administrator's methodology for calculating CORRA) on the immediately following Bank of Canada Business Day, which is the Bank of Canada Business Day "i" + 1, provided that, if by not later than at 11:00 a.m. Toronto time (or the amended publication deadline for CORRA, if any, as specified in the Reference Rate Administrator's methodology for calculating CORRA) neither the Reference Rate Administrator for CORRA nor authorized distributors provide or publish CORRA in respect of that day and a CORRA Cessation Effective Date has not occurred, then references to CORRA will be deemed to be references to the last provided or published CORRA as of the close of business in Toronto on that day; |
| · | "ni" means, for any Bank of Canada Business Day "i" in the relevant Observation Period, the number of calendar days from, and including, such Bank of Canada Business Day "i" to, but excluding, the following Bank of Canada Business Day, which is Bank of Canada Business Day "i" + 1; and |
| · | "d" is the number of calendar days in the relevant Observation Period. |
-
| (b) | If a CORRA Cessation Effective Date has occurred, then the interest rate for an Interest Period in respect of which an Interest Determination Date occurs on or after such CORRA Cessation Effective Date will be the CAD Recommended Rate, to which the Calculation Agent will apply the most recently published spread, as at the CORRA Cessation Effective Date, and make such adjustments to the CAD Recommended Rate as are determined necessary to account for any difference in the term, structure or tenor of the CAD Recommended Rate in comparison to CORRA. If there is a CAD Recommended Rate before the end of the first Bank of Canada Business Day following the CORRA Cessation Effective Date, but neither the Reference Rate Administrator nor authorized distributors provide or publish the CAD Recommended Rate and a Fallback Index Cessation Effective Date with respect to the CAD Recommended Rate has not occurred, then, in respect of any day for which the CAD Recommended Rate is required, references to the CAD Recommended Rate will be deemed to be references to the last provided or published CAD Recommended Rate. |
| (c) | If (i) there is no CAD Recommended Rate before the end of the first Bank of Canada Business Day following a CORRA Cessation Effective Date, or (ii) there is a CAD Recommended Rate and a Fallback Index Cessation Effective Date subsequently occurs with respect to the CAD Recommended Rate, the terms of the Series 3 Notes will provide that the interest rate for an Interest Determination Date which occurs on or after the CORRA Cessation Effective Date or the Fallback Index Cessation Effective Date with respect to the CAD Recommended Rate (as applicable) will be the BOC Target Rate, to which the Calculation Agent will apply the most recently published spread, as at the CORRA Cessation Effective Date, and make such adjustments to the BOC Target Rate as are determined necessary to account for any difference in the term, structure or tenor of the BOC Target Rate in comparison to CORRA. |
| (d) | In respect of any day for which the BOC Target Rate is required, references to the BOC Target Rate will be deemed to be references to the last provided or published BOC Target Rate as of the close of business in Toronto on that day. |
| (e) | Notwithstanding the foregoing, in connection with the implementation of an Applicable CORRA Fallback Rate, the Calculation Agent may, in consultation with the Issuer, make such changes or adjustments to (i) the Applicable CORRA Fallback Rate or the spread thereon, and (ii) any business day convention (including the business day convention set out in Section 2.2(d)), the calendar day count convention, Interest Determination Dates, and any other terms or provisions of the Series 3 Notes and related definitions (including observation dates for reference rates), in each case as are consistent with accepted market practice or applicable regulatory or legislative action or guidance for the use of the Applicable CORRA Fallback Rate for debt obligations comparable to the Series 3 Notes in such circumstances. |
| (f) | Any determination, decision or election that may be made by the Issuer or the Calculation Agent, as applicable, pursuant to the foregoing, including any determination with respect to a rate or adjustment or of the occurrence or non-occurrence of an event, circumstance or date and any decision to take or refrain from taking any action or any selection (i) will be conclusive and binding, absent manifest error, (ii) if made by the Issuer, will be made in the sole discretion of the Issuer, or, as applicable, if made by the Calculation Agent will be made after consultation with the Issuer and the Calculation Agent will not make any such determination, decision or election to which the Issuer objects and will have no liability for not making any such determination, decision or election, and (iii) notwithstanding anything to the contrary in the documentation relating to the Series 3 Notes, will become effective without consent from the holders of the Series 3 Notes or any other party. |
-
ARTICLE 3 GUARANTEES
| 3.1 | Existing Guarantees to Apply |
The Issuer hereby confirms to the Trustee that subject to the provisions of Section 6.4 of the Indenture, the Guarantees apply to the Series 3 Notes issued hereunder.
ARTICLE 4 ADDITIONAL MATTERS
| 4.1 | Confirmation of Indenture |
The Indenture, as amended and supplemented by this Supplemental Indenture, is in all respects confirmed.
| 4.2 | Acceptance of Trusts |
The Trustee hereby accepts the trusts in this Supplemental Indenture declared and provided for and agrees to perform the same upon the terms and conditions and subject to the provisions set forth in the Indenture.
| 4.3 | Additional Amounts |
The Issuer will not be required to pay any additional amounts on Series 3 Notes in respect of any tax, assessment or government charge withheld or deducted, or any other cost, charge or payment of any nature or type other than as expressly contemplated by the Indenture or this Supplemental Indenture.
| 4.4 | Governing Law |
This Supplemental Indenture and the Series 3 Notes shall be construed in accordance with the laws of the Province of Québec and the laws of Canada applicable therein and shall be treated, in all respects, as Québec contracts.
| 4.5 | Further Assurances |
The parties shall, with reasonable diligence, do all such things and provide all such reasonable assurances as may be required to consummate the transactions contemplated by this Supplemental Indenture, and each party shall provide such further documents or instruments required by the other party as may be reasonably necessary or desirable to effect the purpose of the Indenture and this Supplemental Indenture and carry out its provisions.
| 4.6 | Counterparts and Formal Date |
This Supplemental Indenture may be executed in several counterparts, each of which when so executed shall be deemed to be an original, and such counterparts together shall constitute one and the same instrument. Delivery of an executed signature page to this Supplemental Indenture by any person by electronic transmission shall be as effective as delivery of a manually executed copy of this Supplemental Indenture by such person. For the purpose of convenience, this Supplemental Indenture may be referred to as bearing formal date of March 13, 2025, irrespective of the actual date of execution thereof.
-
| 4.7 | Language |
The parties hereto expressly request and require, and confirm that it is their express wish, that this Supplemental Indenture and all documents required or permitted to be given or entered into pursuant hereto to be drawn up in English. Les parties aux présentes conviennent et exigent, et confirment leur volonté expresse, que cette entente et tout autre document à être ou pouvant être donnés ou conclus en vertu des présentes soient rédigés en anglais.
[Remainder of page intentionally left blank]
IN WITNESS WHEREOF the parties hereto have executed this Third Supplemental Indenture.
| GILDAN ACTIVEWEAR INC., as Issuer | |||
| By: | /s/ Suzanne Adams | ||
| Name: | Suzanne Adams | ||
| Title: | Vice-President, Treasury | ||
| TSX TRUST COMPANY, as Trustee | |||
| By: | /s/ Sharo Moradi | ||
| Name: | Sharo Moradi | ||
| Title: | Authorized Signatory | ||
| By: | /s/ Karim Larbi Lyamani | ||
| Name: | Karim Larbi Lyamani | ||
| Title: | Authorized Signatory | ||
[Signature Page to Third Supplemental Trust Indenture]
A-
SCHEDULE "A"
"No prospectus has been filed under any Canadian securities legislation with respect to this note and, accordingly, this note is subject to restrictions on transferability and resale under applicable Canadian laws.
Unless permitted under securities legislation, the holder of this security must not trade the security before July 14, 2025.
This Certificate is a Global Note within the meaning of the Indenture hereinafter referred to and is registered in the name of a Depository or a nominee thereof.
Unless this certificate is presented by an authorized representative of CDS Clearing and Depository Services Inc. ("CDS") to Gildan Activewear Inc. or its agent for registration of transfer, exchange or payment, and any certificate issued in respect thereof is registered in the name of CDS & Co., or in such other name as is requested by an authorized representative of CDS, and any payment is made to CDS & Co. (or in such other name as is requested by an authorized representative of CDS) and any payment is made to CDS & Co. or to such other entity as is requested by an authorized representative of CDS, any transfer, pledge or other use hereof for value or otherwise by or to any person is wrongful since the registered holder hereof, CDS & Co., has a property interest in the securities represented by this certificate and it is a violation of its rights for another person to hold, transfer or deal with this certificate."
| No. ● | CUSIP: 375916AC7 | ISIN: CA375916AC72 |
GILDAN ACTIVEWEAR INC.
(A corporation established under the laws of Canada)
FLOATING RATE SENIOR UNSECURED NOTE, SERIES 3,DUE MARCH 13, 2028
GILDAN ACTIVEWEAR INC. (the "Issuer") for value received hereby acknowledges itself indebted and, subject to the provisions of the indenture (the "Indenture") dated as of November 22, 2024 between the Issuer and TSX Trust Company (the "Trustee"), as amended by a third supplemental trust indenture (the "Third Supplemental Indenture") dated March 13, 2025 (the Indenture as supplemented by the Third Supplemental Indenture being referred to as the "Indenture") promises to pay to CDS & Co. or registered assigns on March 13, 2028 (the "Maturity Date") or on such earlier date as the principal amount hereof may become due in accordance with the provisions of the Indenture, the principal sum of $● in lawful money of Canada on presentation and surrender of this floating rate senior unsecured note, Series 3, due March 13, 2028 (the "Series 3 Notes") at the principal office of the Trustee in Montréal, Québec in accordance with the terms of the Indenture.
The Series 3 Notes shall, subject as herein provided, bear interest on the principal amount hereof from the date of issue based on the Daily Compounded CORRA determined for the Observation Period in respect of each Interest Period plus 1.26% per annum, payable quarterly in arrears on the 13th day of each of March, June, September and December of each year, commencing June 13, 2025 (each such date, an "Interest Payment Date"). The first interest payment will be June 13, 2025 in respect of the Series 3 Notes issued on the date hereof for the period from and including March 13, 2025. Interest payable for any period less than a full quarterly period shall be computed on the basis of a 365 day year and the actual number of days elapsed in the period. If any Interest Payment Date would otherwise fall on a day that is not a Bank of Canada Business Day (as defined below), then such Interest Payment Date will be the next day that is a Bank of Canada Business Day, unless the next Bank of Canada Business Day falls in the next calendar month, in which case such Interest Payment Date will be the immediately preceding day that is a Bank of Canada Business Day. If the Maturity Date falls on a day that is not a Bank of Canada Business Day, the Issuer will make the required payment of principal and interest on the next succeeding Bank of Canada Business Day. Interest hereon shall be payable by cheque mailed by prepaid ordinary mail to the registered holder hereof or by electronic transfer of funds to the registered holder hereof, and subject to the provisions of the Indenture, the mailing of such cheque or the sending of such electronic transfer of funds shall, to the extent of the sum represented thereby (plus the amount of any tax withheld), satisfy and discharge all liability for interest on this Series 3 Note.
A-
A "Bank of Canada Business Day" means each day that Schedule I banks under the Bank Act (Canada) are open for business in Toronto, Ontario, Canada, other than a Saturday or a Sunday or a public holiday in Toronto (or such revised regular publication calendar for the CORRA Compounded Index, CORRA or an Applicable CORRA Fallback Rate as may be adopted by the Reference Rate Administrator from time to time).
This Series 3 Note is one of the Notes of the Issuer issued or issuable in one or more series under the provisions of the Indenture. The maximum principal amount of Series 3 Notes authorized for issue is unlimited. Reference is hereby expressly made to the Indenture for a description of the terms and conditions upon which the Series 3 Notes are or are to be issued and held and the rights and remedies of the holders of the Series 3 Notes and of the Issuer and of the Trustee, all to the same effect as if the provisions of the Indenture were herein set forth, and to all of which provisions the holder of this Series 3 Note by acceptance hereof assents.
The Series 3 Notes are issuable only in denominations of $1,000 and integral multiples of $1,000 in excess thereof. Upon compliance with the provisions of the Indenture, Series 3 Notes of any denomination may be exchanged for an equal aggregate principal amount of Series 3 Notes in any other authorized denomination or denominations.
The Series 3 Notes may be redeemed at the option of the Issuer on any Interest Payment Date, provided that in each case if such date is not a Bank of Canada Business Day, then such Redemption Date will be the next following Bank of Canada Business Day unless such day falls in the next calendar month, in which case the relevant Redemption Date shall be the immediately preceding Bank of Canada Business Day, either in whole at any time, or in part from time to time, upon such condition as may be specified in the applicable notice of redemption and on a Redemption Date determined by the Issuer that is not less than 10 nor more than 60 days after notice of such redemption is given to the holders of the Series 3 Notes to be redeemed pursuant to Article 5 of the Indenture at a Redemption Price equal to the greater of (i) the CORRA Yield Price, and (ii) par, together in each case with accrued and unpaid interest, if any, to but excluding, the date fixed for the redemption. "CORRA Yield Price" means a price equal to the sum of the discounted values, calculated using the CORRA Yield as the discount rate, of (i) all remaining scheduled payments of interest on the Notes (calculated at an interest rate equal to CORRA as of the CORRA Yield Determination Date, compounded daily, plus 1.26%), and (ii) the principal amount of the Notes to be redeemed, in each case from, but not including, the redemption date to, and including, the Maturity Date calculated in accordance with generally accepted financial practice.
Upon the occurrence of a Change of Control Triggering Event, the Issuer is required to make an offer to purchase all outstanding Series 3 Notes at a price equal to 101% of the principal amount of such Series 3 Notes plus accrued and unpaid interest up to, but excluding, the date the Series 3 Notes are so repurchased.
A-
The indebtedness evidenced by this Series 3 Note, and by all other Series 3 Notes now or hereafter certified and delivered under the Indenture, is a direct senior unsecured obligation of the Issuer, and ranks equal in right of payment (pari passu) with each other and with Notes of every other series (regardless of their actual dates or terms of issue) and, subject to statutory preferred exceptions, with all other existing and future senior unsecured Indebtedness of the Issuer. The Series 3 Notes will be senior in right of payment to any future subordinated indebtedness of the Issuer. The Series 3 Notes will be effectively subordinated to all secured Indebtedness of the Issuer to the extent of the value of the assets securing such Indebtedness and structurally subordinated to all Indebtedness and other obligations (including trade payables) of the Issuer's Subsidiaries which are not Guarantors.
This Series 3 Note has been unconditionally and irrevocably guaranteed as to the payment of principal, interest, and Premium, if any, in accordance with the terms of the Indenture by the Guarantors, subject to any limitation of the liability of any Guarantor pursuant to Section 6.5 of the Indenture and/or pursuant to Section 13.2 of the guarantee agreement entered into by the Guarantors in respect of the Indenture. Any guarantee of the Series 3 Note is subject to the provisions of the Indenture, including Article 6 thereof, and the guarantee agreement entered into by the Guarantors in respect of the Indenture. Each guarantee of the Series 3 Notes will be unsecured and rank equal in right of payment (pari passu) to all existing and future senior unsecured Indebtedness of each Guarantor. The guarantees will be effectively subordinated to the Guarantors' secured obligations to the extent of the assets securing such obligations.
The principal hereof may become or be declared due and payable before the stated maturity in the events, in the manner, with the effect and at the times provided in the Indenture.
Any payment of money to any holder of Series 3 Notes shall be reduced by the amount of applicable withholding tax, if any. The Indenture contains provisions making binding upon all holders of Notes outstanding thereunder (or in certain circumstances specific series of Notes) resolutions passed at meetings of such holders held in accordance with such provisions and instruments signed by the holders of a specified majority of Notes outstanding (or specific series), which resolutions or instruments may have the effect of amending the terms of these Series 3 Notes or the Indenture.
This Series 3 Note may only be transferred, upon compliance with the conditions prescribed in the Indenture, in the registers to be kept at the principal office of the Trustee in Montréal and in such other place or places and/or by such other registrars (if any) as the Issuer with the approval of the Trustee may designate. No transfer of this Series 3 Note shall be valid unless made on the register by the registered holder hereof or his executors or administrators or other legal representatives, or his or their attorney duly appointed by an instrument in form and substance satisfactory to the Trustee or other registrar, and upon compliance with such reasonable requirements as the Trustee and/or other registrar may prescribe and upon surrender of this Series 3 Note for cancellation. Thereupon a new Series 3 Note or Series 3 Notes in the same aggregate principal amount shall be issued to the transferee in exchange hereof.
This Series 3 Note shall not become obligatory for any purpose until it shall have been certified by the Trustee under the Indenture.
This Series 3 Note shall be construed in accordance with the laws of the Province of Québec and the laws of Canada applicable therein.
Capitalized words or expressions used in this Series 3 Note shall, unless otherwise defined herein, have the meaning ascribed thereto in the Indenture.
If any of the provisions of this Series 3 Note are inconsistent with the provisions of the Indenture, the provisions of the Indenture shall take precedence and shall govern.
A-
The parties hereto expressly request and require, and confirm that it is their express wish, that this Series 3 Note and all documents required or permitted to be given or entered into pursuant hereto to be drawn up in English. Les parties aux présentes conviennent et exigent, et confirment leur volonté expresse, que le présent billet et tout autre document à être ou pouvant être donnés ou conclus en vertu des présentes soient rédigés en anglais.
A-
IN WITNESS WHEREOF, the Issuer has caused this Series 3 Note to be signed by its authorized representatives as of the _____ day of _______________.
| GILDAN ACTIVEWEAR INC. | ||
| By: | ||
| Name: Suzanne Adams | ||
| Title: Vice-President, Treasury | ||
A-
TRUSTEE'S CERTIFICATE
This Series 3 Note is one of the Floating Rate Senior Unsecured Notes, Series 3, due March 13, 2028 referred to in the Indenture within mentioned.
| TSX TRUST COMPANY, as Trustee | ||
| By: | ||
| Authorized Signatory | ||
A-
(FORM OF REGISTRATION PANEL)
(No writing hereon except by Trustee or other registrar)
| Date of Registration | In Whose Name Registered | Signature of Trustee or Registrar |
| ● | CDS & Co. | |
A-
GILDAN ACTIVEWEAR INC.
FLOATING RATE SENIOR UNSECURED NOTE, SERIES 3, DUE MARCH 13, 2028
| Initial Principal Amount: $● | CUSIP: 375916AC7 |
| Authorization: |
ADJUSTMENTS
| Date | Amount of Increase |
Amount of Decrease |
New Principal Amount |
Authorization |
Exhibit 99.2
FOURTH SUPPLEMENTAL TRUST INDENTURE
This Fourth Supplemental Trust Indenture is entered into as of the 13th day of March, 2025 between:
GILDAN ACTIVEWEAR INC., a corporation created and existing under the laws of Canada (the "Issuer")
- and -
TSX TRUST COMPANY, a trust company existing under the laws of Canada (the "Trustee")
WITNESSETH THAT:
WHEREAS the Issuer and the Trustee entered into a trust indenture dated as of November 22, 2024 (the "Indenture") to provide for the creation and issuance of senior unsecured notes;
AND WHEREAS Section 14.3 of the Indenture provides that the Trustee may enter into indentures supplemental to the Indenture;
AND WHEREAS the Issuer has determined to create and issue a fourth series of Notes to be designated as 3.630% Senior Unsecured Notes, Series 4, due March 13, 2028 (the "Series 4 Notes") and to enter into this fourth supplemental trust indenture (this "Supplemental Indenture") with the Trustee to provide for such creation and issuance, and establish the terms, provisions and conditions, of the Series 4 Notes;
AND WHEREAS all necessary acts and proceedings have been done and taken and all necessary resolutions have been passed to authorize the execution and delivery of this Supplemental Indenture, to make the same effective and binding upon the Issuer, and to make the Series 4 Notes, when certified by the Trustee and issued as provided in the Indenture and this Supplemental Indenture, valid, binding and legal obligations of the Issuer with the benefit and subject to the terms of the Indenture and this Supplemental Indenture;
AND WHEREAS the foregoing recitals are made as representations and statements of fact by the Issuer and not by the Trustee.
NOW THEREFORE it is hereby covenanted, agreed and declared as set forth below.
ARTICLE 1
DEFINITIONS AND AMENDMENTS TO INDENTURE
| 1.1 | Definitions |
| (a) | All capitalized terms used but not defined herein shall have the meanings given to them in the Indenture. |
| (b) | In this Supplemental Indenture and in the Series 4 Notes, unless there is something in the subject matter or context inconsistent therewith, the following expressions shall have the respective meanings indicated: |
"Canada Yield Price" means a price for the Series 4 Notes being redeemed, calculated at 10:00 a.m. (Montréal time) on the Business Day preceding the date on which the Issuer issues a notice of redemption pursuant to the Indenture and in accordance with generally accepted Canadian financial practice to provide a yield from the redemption date to March 13, 2028 equal to the Government of Canada Yield plus 27 bps.
-
"Change of Control" means the occurrence of any of the following events: (a) the direct or indirect sale, transfer, conveyance or other disposition (other than by way of merger, amalgamation or consolidation), in one or a series of related transactions, of all or substantially all of the properties or assets of the Issuer and the Guarantors, taken as a whole, to any Person; (b) the consummation of any transaction the result of which is that any Person or group of Persons acting jointly or in concert is or becomes the beneficial owner of (with beneficial ownership and acting jointly or in concert being defined in accordance with Sections 1.8 and 1.9 of National Instrument 62-104 – Take-Over Bids and Issuer Bids), or controls, directly or indirectly, Voting Shares representing more than 50% of the voting power of the total outstanding Voting Shares of the Issuer; and (c) the adoption by the shareholders of the Issuer of a Plan of Liquidation. For purposes of this definition, a Person shall not be deemed to have beneficial ownership of securities subject to a share purchase agreement, amalgamation agreement or similar agreement until the consummation of the transactions contemplated by such agreement. Notwithstanding the foregoing, a transaction will not be deemed to involve a Change of Control under clause (b) above if (a) the Issuer becomes a direct or indirect wholly owned Subsidiary of a holding company and (b)(i) the direct or indirect holders of the Voting Shares of such holding company immediately following that transaction are substantially the same as the holders of the Issuer's Voting Shares immediately prior to that transaction, or (ii) immediately following that transaction, the holders of the Issuer's Voting Shares immediately prior to that transaction (or another holding company satisfying the requirements of this sentence) are the beneficial owners of (with beneficial ownership being defined in accordance with Section 1.8 of National Instrument 62-104 – Take-Over Bids and Issuer Bids), or control, directly or indirectly, Voting Shares representing 50% or more of the voting power of the total outstanding Voting Shares of such holding company.
"Change of Control Triggering Event" means the occurrence of both a Change of Control, and, so long as the Notes are rated, a Ratings Event.
"Designated Rating Organization" means a "designated rating organization" within the meaning of National Instrument – 25-101 Designated Rating Organizations.
"Government of Canada Yield" on any date, with respect to the Series 4 Notes, means the yield to maturity on such date, assuming semi-annual compounding, which a non-callable Government of Canada bond would carry if issued in Canadian dollars in Canada, at 100% of its principal amount on such date with a term to maturity equal to, or if no Government of Canada bond having an equal term to maturity exists, as close as possible to, the remaining term to March 13, 2028. The Government of Canada Yield will be the average of the yields determined by two nationally recognized Canadian investment dealers selected by the Issuer.
"Investment Grade Rating" means a rating equal to, or higher than, BBB (low) by Morningstar DBRS (or the equivalent of any successor rating category of Morningstar DBRS), Baa3 by Moody's (or the equivalent of any successor rating category of Moody's), BBB- by S&P (or the equivalent of any successor rating category of S&P), or BBB- by Fitch (or the equivalent of any successor rating category of Fitch) or, if none of these rating agencies rates the Notes, the corresponding credit rating from any other Designated Rating Organization.
-
"Person" or "person" means any individual, corporation, partnership, limited liability company, unlimited liability company, joint venture, incorporated or unincorporated association, joint-stock company, trust, mutual fund trust, unincorporated organization or government or other agency or political subdivision thereof or other legal entity of any kind.
"Ratings Event" means the occurrence of a decrease in the rating of the Series 4 Notes to below an Investment Grade Rating by either (a)(i) two out of three of the Designated Rating Organizations, if there are three Designated Rating Organizations then rating the Notes, or (ii) three Designated Rating Organizations, if there are four or more Designated Rating Organizations then rating the Notes, or (b) each Designated Rating Organization, if there are less than three Designated Rating Organizations then rating the Notes (the "Required Threshold") on any day within the 90-day period (which 90-day period will be extended so long as the rating of the Notes is under publicly announced consideration for a possible downgrade by such number of Designated Rating Organization(s) which, together with each Designated Rating Organization which has already lowered its rating, would aggregate in number the Required Threshold) after the earlier of (i) the occurrence of a Change of Control and (ii) public notice of the occurrence of a Change of Control or of the Issuer's intention or agreement to effect a Change of Control.
"Voting Shares" with respect to any Person, means securities of any class of Equity Interests of such Person entitling the holders thereof (whether at all times or only so long as no senior class of shares or other relevant Equity Interest has voting power by reason of any contingency) to vote in the election of members of the Board of Directors of such Person.
| (c) | In this Supplemental Indenture, all references to Articles, Sections and Schedules refer, unless otherwise specified, to articles, sections and schedules of or to this Supplemental Indenture. |
| 1.2 | Amendments to Indenture |
This Supplemental Indenture is supplemental to the Indenture and the Indenture and the Supplemental Indenture shall hereafter be read together and shall have effect, so far as practicable, with respect to the Series 4 Notes as if all the provisions of the Indenture and this Supplemental Indenture were contained in one instrument. The Indenture is and shall remain in full force and effect with regards to all matters governing the Series 4 Notes, except as the Indenture is amended, superseded, modified or supplemented by this Supplemental Indenture. Notwithstanding the foregoing, in the event of any inconsistency between the provisions of this Supplemental Indenture and the provisions of the Indenture, the provisions of this Supplemental Indenture shall prevail.
For clarity and avoidance of doubt, the provisions of this Supplemental Indenture shall only be applicable to the Series 4 Notes issued hereunder and shall not be applicable to any other series of Notes hereafter issued.
-
ARTICLE 2 THE SERIES 4 NOTES
| 2.1 | Creation and Designation |
There is hereby authorized to be issued under the Indenture a Series of Notes designated as 3.630% Senior Unsecured Notes, Series 4, due March 13, 2028. The Series 4 Notes shall have the terms set forth in this Article 2 and be subject to the applicable provisions of the Indenture.
| 2.2 | Form and Terms of Series 4 Notes |
| (a) | The maximum principal amount of Series 4 Notes that may be issued is unlimited. The initial amount of Series 4 Notes that is authorized and issued under this Supplemental Indenture on the date hereof is $200,000,000 in the lawful money of Canada. |
| (b) | The Series 4 Notes shall mature on March 13, 2028. |
| (c) | The Series 4 Notes bear interest from the date of issue at the rate of 3.630% per annum, payable in equal installments, semi-annually in arrears on March 13 and on September 13 in each year (each, an "Interest Payment Date") in an amount equal to $18.15 per $1,000 principal amount outstanding of the Series 4 Notes (less any tax required by law to be withheld). The first interest payment shall fall due on September 13, 2025 in respect of Series 4 Notes issued on the date hereof and the last interest payment (representing interest payable from and including the last Interest Payment Date to, but excluding, the Maturity Date of the Series 4 Notes or the earlier Redemption Date of the Series 4 Notes), subject as herein provided, shall fall due on March 13, 2028 or the earlier Redemption Date, payable after as well as before maturity and after as well as before default, with interest on amounts in default at the same rate, compounded semi-annually. Interest payable for any period less than a full semi-annual period shall be computed on the basis of a 365 day year or 366 day year, as applicable, and the actual number of days elapsed in the period. |
| (d) | The Series 4 Notes may be redeemed at the option of the Issuer, in whole at any time, or in part from time to time, upon such condition as may be specified in the notice of redemption and on a Redemption Date determined by the Issuer that is not less than 10 nor more than 60 days after such notice of redemption is given to the holders of the Series 4 Notes to be redeemed pursuant to Article 5 of the Indenture, at a Redemption Price equal to the greater of par and the Canada Yield Price, together with accrued and unpaid interest, if any, to but excluding, the date fixed for the redemption. The Issuer will be responsible for calculating the Redemption Price. Less than all of the Series 4 Notes may be redeemed, and if so redeemed, shall be redeemed in accordance with Section 5.2 of the Indenture. In accordance with Section 5.8 of the Indenture, the Series 4 Notes that are redeemed pursuant to this Section 2.2 will be cancelled and will not be re-issued. The notice of the Issuer to redeem the Series 4 Notes may be conditional on an event or transaction, and, in such case, such notice of redemption shall specify the details and terms of any event on which such redemption is conditional. |
| (e) | Upon the occurrence of a Change of Control Triggering Event, the Issuer is required, in accordance with section 8.12 of the Indenture, to make an offer to purchase all outstanding Series 4 Notes at a price equal to 101% of the principal amount of such Series 4 Notes plus accrued and unpaid interest up to, but excluding, the date the Series 4 Notes are so repurchased. |
-
| (f) | The Series 4 Notes shall be issued in denominations of $1,000 and integral multiples of $1,000 in excess thereof. Each certificate representing the Series 4 Notes and the certificate of the Trustee endorsed thereon shall be issued in substantially the form set out in Schedule "A" to this Supplemental Indenture, with such insertions, omissions, substitutions or other variations as shall be required or permitted by the Indenture and this Supplemental Indenture, and may have imprinted or otherwise reproduced thereon such legends or endorsements, not inconsistent with the provisions of the Indenture or this Supplemental Indenture, as may be required to comply with any law or with any rules or regulations pursuant thereto or with any rules or regulations of any securities exchange or securities regulatory authority or to conform with general usage, all as may be determined by any Officer of the Issuer executing such Series 4 Note in accordance with Section 2.6 of the Indenture, as conclusively evidenced by their execution thereof. Each certificate representing the Series 4 Notes shall additionally bear such distinguishing letters and numbers as the Trustee shall approve. |
The Series 4 Notes shall be issuable initially as one Global Note held by, or on behalf of, the Depository for its participants and registered in the name of the Depository or its nominee. No beneficial holder of Series 4 Notes shall receive definitive certificates representing their interest in Series 4 Notes except as provided in Section 2.5 of the Indenture. A Global Note may be exchanged for Series 4 Notes in registered form that are not Global Notes or transferred to and registered in the name of a Person other than the Depository for such Global Notes or a nominee thereof, as provided in Section 2.5 of the Indenture.
| (g) | The Trustee shall be provided with the documents and instruments referred to in Sections 4.1(a)(i), 4.1(a)(ii) and 4.1(a)(iii) of the Indenture with respect to the Series 4 Notes prior to the issuance of the Series 4 Notes. |
ARTICLE 3 GUARANTEES
| 3.1 | Existing Guarantees to Apply |
The Issuer hereby confirms to the Trustee that subject to the provisions of Section 6.4 of the Indenture, the Guarantees apply to the Series 4 Notes issued hereunder.
ARTICLE 4
ADDITIONAL MATTERS
| 4.1 | Confirmation of Indenture |
The Indenture, as amended and supplemented by this Supplemental Indenture, is in all respects confirmed.
| 4.2 | Acceptance of Trusts |
The Trustee hereby accepts the trusts in this Supplemental Indenture declared and provided for and agrees to perform the same upon the terms and conditions and subject to the provisions set forth in the Indenture.
-
| 4.3 | Additional Amounts |
The Issuer will not be required to pay any additional amounts on Series 4 Notes in respect of any tax, assessment or government charge withheld or deducted, or any other cost, charge or payment of any nature or type other than as expressly contemplated by the Indenture or this Supplemental Indenture.
| 4.4 | Governing Law |
This Supplemental Indenture and the Series 4 Notes shall be construed in accordance with the laws of the Province of Québec and the laws of Canada applicable therein and shall be treated, in all respects, as Québec contracts.
| 4.5 | Further Assurances |
The parties shall, with reasonable diligence, do all such things and provide all such reasonable assurances as may be required to consummate the transactions contemplated by this Supplemental Indenture, and each party shall provide such further documents or instruments required by the other party as may be reasonably necessary or desirable to effect the purpose of the Indenture and this Supplemental Indenture and carry out its provisions.
| 4.6 | Counterparts and Formal Date |
This Supplemental Indenture may be executed in several counterparts, each of which when so executed shall be deemed to be an original, and such counterparts together shall constitute one and the same instrument. Delivery of an executed signature page to this Supplemental Indenture by any person by electronic transmission shall be as effective as delivery of a manually executed copy of this Supplemental Indenture by such person. For the purpose of convenience, this Supplemental Indenture may be referred to as bearing formal date of March 13, 2025, irrespective of the actual date of execution thereof.
| 4.7 | Language |
The parties hereto expressly request and require, and confirm that it is their express wish, that this Supplemental Indenture and all documents required or permitted to be given or entered into pursuant hereto to be drawn up in English. Les parties aux présentes conviennent et exigent, et confirment leur volonté expresse, que cette entente et tout autre document à être ou pouvant être donnés ou conclus en vertu des présentes soient rédigés en anglais.
[Remainder of page intentionally left blank]
IN WITNESS WHEREOF the parties hereto have executed this Fourth Supplemental Indenture.
| GILDAN ACTIVEWEAR INC., as Issuer | |||
| By: | /s/ Suzanne Adams | ||
| Name: | Suzanne Adams | ||
| Title: | Vice-President, Treasury | ||
| TSX TRUST COMPANY, as Trustee | |||
| By: | /s/ Sharo Moradi | ||
| Name: | Sharo Moradi | ||
| Title: | Authorized Signatory | ||
| By: | /s/ Karim Larbi Lyamani | ||
| Name: | Karim Larbi Lyamani | ||
| Title: | Authorized Signatory | ||
[Signature Page to Fourth Supplemental Trust Indenture]
A-
SCHEDULE "A"
"No prospectus has been filed under any Canadian securities legislation with respect to this note and, accordingly, this note is subject to restrictions on transferability and resale under applicable Canadian laws.
Unless permitted under securities legislation, the holder of this security must not trade the security before July 14, 2025.
This Certificate is a Global Note within the meaning of the Indenture hereinafter referred to and is registered in the name of a Depository or a nominee thereof.
Unless this certificate is presented by an authorized representative of CDS Clearing and Depository Services Inc. ("CDS") to Gildan Activewear Inc. or its agent for registration of transfer, exchange or payment, and any certificate issued in respect thereof is registered in the name of CDS & Co., or in such other name as is requested by an authorized representative of CDS, and any payment is made to CDS & Co. (or in such other name as is requested by an authorized representative of CDS) and any payment is made to CDS & Co. or to such other entity as is requested by an authorized representative of CDS, any transfer, pledge or other use hereof for value or otherwise by or to any person is wrongful since the registered holder hereof, CDS & Co., has a property interest in the securities represented by this certificate and it is a violation of its rights for another person to hold, transfer or deal with this certificate."
| No. ● | CUSIP: 375916AD5 | ISIN: CA375916AD55 |
GILDAN ACTIVEWEAR INC.
(A corporation established under the laws of Canada)
3.630% SENIOR UNSECURED NOTE, SERIES 4,DUE MARCH 13, 2028
GILDAN ACTIVEWEAR INC. (the "Issuer") for value received hereby acknowledges itself indebted and, subject to the provisions of the indenture (the "Indenture") dated as of November 22, 2024 between the Issuer and TSX Trust Company (the "Trustee"), as amended by a fourth supplemental trust indenture (the "Fourth Supplemental Indenture") dated March 13, 2025 (the Indenture as supplemented by the Fourth Supplemental Indenture being referred to as the "Indenture") promises to pay to CDS & Co. or registered assigns on March 13, 2028 (the "Maturity Date") or on such earlier date as the principal amount hereof may become due in accordance with the provisions of the Indenture, the principal sum of $● in lawful money of Canada on presentation and surrender of this 3.630% senior unsecured note, Series 4, due March 13, 2028 (the "Series 4 Notes") at the principal office of the Trustee in Montréal, Québec in accordance with the terms of the Indenture.
The Series 4 Notes shall, subject as herein provided, bear interest on the principal amount hereof from the date of issue, or from the last Interest Payment Date to which interest shall have been paid or made available for payment hereon, whichever is later, at the rate of 3.630% per annum, in like money, payable in equal installments, semi-annually in arrears on March 13 and September 13 in each year in an amount equal to $18.15 per $1,000 principal amount outstanding of the Series 4 Notes (less any tax required by law to be withheld). The first interest payment shall fall due on September 13, 2025. The last interest payment representing interest payable from the last Interest Payment Date to, but excluding, the Maturity Date or earlier Redemption Date shall fall due on the Maturity Date or earlier Redemption Date and, should the Issuer at any time make default in the payment of any principal or interest, the Issuer shall pay interest on the amount in default at the same rate, in like money and on the same dates on which interest is otherwise payable. Interest payable for any period less than a full semi-annual period shall be computed on the basis of a 365 day year or 366 day year, as applicable, and the actual number of days elapsed in the period. Interest hereon shall be payable by cheque mailed by prepaid ordinary mail to the registered holder hereof or by electronic transfer of funds to the registered holder hereof, and subject to the provisions of the Indenture, the mailing of such cheque or the sending of such electronic transfer of funds shall, to the extent of the sum represented thereby (plus the amount of any tax withheld), satisfy and discharge all liability for interest on this Series 4 Note.
A-
This Series 4 Note is one of the Notes of the Issuer issued or issuable in one or more series under the provisions of the Indenture. The maximum principal amount of Series 4 Notes authorized for issue is unlimited. Reference is hereby expressly made to the Indenture for a description of the terms and conditions upon which the Series 4 Notes are or are to be issued and held and the rights and remedies of the holders of the Series 4 Notes and of the Issuer and of the Trustee, all to the same effect as if the provisions of the Indenture were herein set forth, and to all of which provisions the holder of this Series 4 Note by acceptance hereof assents.
The Series 4 Notes are issuable only in denominations of $1,000 and integral multiples of $1,000 in excess thereof. Upon compliance with the provisions of the Indenture, Series 4 Notes of any denomination may be exchanged for an equal aggregate principal amount of Series 4 Notes in any other authorized denomination or denominations.
The Series 4 Notes may be redeemed at the option of the Issuer, in whole at any time, or in part from time to time, upon such condition as may be specified in the applicable notice of redemption and on a Redemption Date determined by the Issuer that is not less than 10 nor more than 60 days after notice of such redemption is given to the holders of the Series 4 Notes to be redeemed pursuant to Article 5 of the Indenture, at a Redemption Price equal to the greater of par and the Canada Yield Price, together with accrued and unpaid interest, if any, to but excluding, the date fixed for the redemption. "Canada Yield Price" means a price for the Series 4 Notes being redeemed, calculated at 10:00 a.m. (Montréal time) on the Business Day preceding the date on which the Issuer issues a notice of redemption pursuant to the Indenture and in accordance with generally accepted Canadian financial practice to provide a yield from the redemption date to March 13, 2028 equal to the Government of Canada Yield plus 27 bps.
Upon the occurrence of a Change of Control Triggering Event, the Issuer is required to make an offer to purchase all outstanding Series 4 Notes at a price equal to 101% of the principal amount of such Series 4 Notes plus accrued and unpaid interest up to, but excluding, the date the Series 4 Notes are so repurchased.
The indebtedness evidenced by this Series 4 Note, and by all other Series 4 Notes now or hereafter certified and delivered under the Indenture, is a direct senior unsecured obligation of the Issuer, and ranks equal in right of payment (pari passu) with each other and with Notes of every other series (regardless of their actual dates or terms of issue) and, subject to statutory preferred exceptions, with all other existing and future senior unsecured Indebtedness of the Issuer. The Series 4 Notes will be senior in right of payment to any future subordinated indebtedness of the Issuer. The Series 4 Notes will be effectively subordinated to all secured Indebtedness of the Issuer to the extent of the value of the assets securing such Indebtedness and structurally subordinated to all Indebtedness and other obligations (including trade payables) of the Issuer's Subsidiaries which are not Guarantors.
A-
This Series 4 Note has been unconditionally and irrevocably guaranteed as to the payment of principal, interest, and Premium, if any, in accordance with the terms of the Indenture by the Guarantors, subject to any limitation of the liability of any Guarantor pursuant to Section 6.5 of the Indenture and/or pursuant to Section 13.2 of the guarantee agreement entered into by the Guarantors in respect of the Indenture. Any guarantee of the Series 4 Note is subject to the provisions of the Indenture, including Article 6 thereof, and the guarantee agreement entered into by the Guarantors in respect of the Indenture. Each guarantee of the Series 4 Notes will be unsecured and rank equal in right of payment (pari passu) to all existing and future senior unsecured Indebtedness of each Guarantor. The guarantees will be effectively subordinated to the Guarantors' secured obligations to the extent of the assets securing such obligations.
The principal hereof may become or be declared due and payable before the stated maturity in the events, in the manner, with the effect and at the times provided in the Indenture.
Any payment of money to any holder of Series 4 Notes shall be reduced by the amount of applicable withholding tax, if any. The Indenture contains provisions making binding upon all holders of Notes outstanding thereunder (or in certain circumstances specific series of Notes) resolutions passed at meetings of such holders held in accordance with such provisions and instruments signed by the holders of a specified majority of Notes outstanding (or specific series), which resolutions or instruments may have the effect of amending the terms of these Series 4 Notes or the Indenture.
This Series 4 Note may only be transferred, upon compliance with the conditions prescribed in the Indenture, in the registers to be kept at the principal office of the Trustee in Montréal and in such other place or places and/or by such other registrars (if any) as the Issuer with the approval of the Trustee may designate. No transfer of this Series 4 Note shall be valid unless made on the register by the registered holder hereof or his executors or administrators or other legal representatives, or his or their attorney duly appointed by an instrument in form and substance satisfactory to the Trustee or other registrar, and upon compliance with such reasonable requirements as the Trustee and/or other registrar may prescribe and upon surrender of this Series 4 Note for cancellation. Thereupon a new Series 4 Note or Series 4 Notes in the same aggregate principal amount shall be issued to the transferee in exchange hereof.
This Series 4 Note shall not become obligatory for any purpose until it shall have been certified by the Trustee under the Indenture.
This Series 4 Note shall be construed in accordance with the laws of the Province of Québec and the laws of Canada applicable therein.
Capitalized words or expressions used in this Series 4 Note shall, unless otherwise defined herein, have the meaning ascribed thereto in the Indenture.
If any of the provisions of this Series 4 Note are inconsistent with the provisions of the Indenture, the provisions of the Indenture shall take precedence and shall govern.
The parties hereto expressly request and require, and confirm that it is their express wish, that this Series 4 Note and all documents required or permitted to be given or entered into pursuant hereto to be drawn up in English. Les parties aux présentes conviennent et exigent, et confirment leur volonté expresse, que le présent billet et tout autre document à être ou pouvant être donnés ou conclus en vertu des présentes soient rédigés en anglais.
A-
IN WITNESS WHEREOF, the Issuer has caused this Series 4 Note to be signed by its authorized representatives as of the _______ day of _________________.
| GILDAN ACTIVEWEAR INC. | ||
| By: | ||
| Name: Suzanne Adams | ||
| Title: Vice-President, Treasury | ||
A-
TRUSTEE'S CERTIFICATE
This Series 4 Note is one of the 3.630% Senior Unsecured Notes, Series 4, due March 13, 2028 referred to in the Indenture within mentioned.
| TSX TRUST COMPANY, as Trustee | ||
| By: | ||
| Authorized Signatory | ||
A-
(FORM OF REGISTRATION PANEL)
(No writing hereon except by Trustee or other registrar)
| Date of Registration | In Whose Name Registered | Signature of Trustee or Registrar |
| ● | CDS & Co. | |
A-
GILDAN ACTIVEWEAR INC.
3.630% SENIOR UNSECURED NOTE, SERIES 4, DUE MARCH13, 2028
| Initial Principal Amount: $● | CUSIP: 375916AD5 |
| Authorization: |
ADJUSTMENTS
| Date | Amount of Increase |
Amount of Decrease |
New Principal Amount |
Authorization |
Exhibit 99.3
FIFTH SUPPLEMENTAL TRUST INDENTURE
This Fifth Supplemental Trust Indenture is entered into as of the 13th day of March, 2025 between:
GILDAN ACTIVEWEAR INC., a corporation created and existing under the laws of Canada (the "Issuer")
- and -
TSX TRUST COMPANY, a trust company existing under the laws of Canada (the "Trustee")
WITNESSETH THAT:
WHEREAS the Issuer and the Trustee entered into a trust indenture dated as of November 22, 2024 (the "Indenture") to provide for the creation and issuance of senior unsecured notes;
AND WHEREAS Section 14.3 of the Indenture provides that the Trustee may enter into indentures supplemental to the Indenture;
AND WHEREAS the Issuer has determined to create and issue a fifth series of Notes to be designated as 4.149% Senior Unsecured Notes, Series 5, due November 22, 2030 (the "Series 5 Notes") and to enter into this fifth supplemental trust indenture (this "Supplemental Indenture") with the Trustee to provide for such creation and issuance, and establish the terms, provisions and conditions, of the Series 5 Notes;
AND WHEREAS all necessary acts and proceedings have been done and taken and all necessary resolutions have been passed to authorize the execution and delivery of this Supplemental Indenture, to make the same effective and binding upon the Issuer, and to make the Series 5 Notes, when certified by the Trustee and issued as provided in the Indenture and this Supplemental Indenture, valid, binding and legal obligations of the Issuer with the benefit and subject to the terms of the Indenture and this Supplemental Indenture;
AND WHEREAS the foregoing recitals are made as representations and statements of fact by the Issuer and not by the Trustee.
NOW THEREFORE it is hereby covenanted, agreed and declared as set forth below.
ARTICLE 1
DEFINITIONS AND AMENDMENTS TO INDENTURE
| 1.1 | Definitions |
| (a) | All capitalized terms used but not defined herein shall have the meanings given to them in the Indenture. |
| (b) | In this Supplemental Indenture and in the Series 5 Notes, unless there is something in the subject matter or context inconsistent therewith, the following expressions shall have the respective meanings indicated: |
"Canada Yield Price" means a price for the Series 5 Notes being redeemed, calculated at 10:00 a.m. (Montréal time) on the Business Day preceding the date on which the Issuer issues a notice of redemption pursuant to the Indenture and in accordance with generally accepted Canadian financial practice to provide a yield from the redemption date to the Par Call Date equal to the Government of Canada Yield plus 35 bps.
-
"Change of Control" means the occurrence of any of the following events: (a) the direct or indirect sale, transfer, conveyance or other disposition (other than by way of merger, amalgamation or consolidation), in one or a series of related transactions, of all or substantially all of the properties or assets of the Issuer and the Guarantors, taken as a whole, to any Person; (b) the consummation of any transaction the result of which is that any Person or group of Persons acting jointly or in concert is or becomes the beneficial owner of (with beneficial ownership and acting jointly or in concert being defined in accordance with Sections 1.8 and 1.9 of National Instrument 62-104 – Take-Over Bids and Issuer Bids), or controls, directly or indirectly, Voting Shares representing more than 50% of the voting power of the total outstanding Voting Shares of the Issuer; and (c) the adoption by the shareholders of the Issuer of a Plan of Liquidation. For purposes of this definition, a Person shall not be deemed to have beneficial ownership of securities subject to a share purchase agreement, amalgamation agreement or similar agreement until the consummation of the transactions contemplated by such agreement. Notwithstanding the foregoing, a transaction will not be deemed to involve a Change of Control under clause (b) above if (a) the Issuer becomes a direct or indirect wholly owned Subsidiary of a holding company and (b)(i) the direct or indirect holders of the Voting Shares of such holding company immediately following that transaction are substantially the same as the holders of the Issuer's Voting Shares immediately prior to that transaction, or (ii) immediately following that transaction, the holders of the Issuer's Voting Shares immediately prior to that transaction (or another holding company satisfying the requirements of this sentence) are the beneficial owners of (with beneficial ownership being defined in accordance with Section 1.8 of National Instrument 62-104 – Take-Over Bids and Issuer Bids), or control, directly or indirectly, Voting Shares representing 50% or more of the voting power of the total outstanding Voting Shares of such holding company.
"Change of Control Triggering Event" means the occurrence of both a Change of Control, and, so long as the Notes are rated, a Ratings Event.
"Designated Rating Organization" means a "designated rating organization" within the meaning of National Instrument – 25-101 Designated Rating Organizations.
"Government of Canada Yield" on any date, with respect to the Series 5 Notes, means the yield to maturity on such date, assuming semi-annual compounding, which a non-callable Government of Canada bond would carry if issued in Canadian dollars in Canada, at 100% of its principal amount on such date with a term to maturity equal to, or if no Government of Canada bond having an equal term to maturity exists, as close as possible to, the remaining term to the Par Call Date. The Government of Canada Yield will be the average of the yields determined by two nationally recognized Canadian investment dealers selected by the Issuer.
"Investment Grade Rating" means a rating equal to, or higher than, BBB (low) by Morningstar DBRS (or the equivalent of any successor rating category of Morningstar DBRS), Baa3 by Moody's (or the equivalent of any successor rating category of Moody's), BBB- by S&P (or the equivalent of any successor rating category of S&P), or BBB- by Fitch (or the equivalent of any successor rating category of Fitch) or, if none of these rating agencies rates the Notes, the corresponding credit rating from any other Designated Rating Organization.
-
"Par Call Date" means October 22, 2030.
"Person" or "person" means any individual, corporation, partnership, limited liability company, unlimited liability company, joint venture, incorporated or unincorporated association, joint-stock company, trust, mutual fund trust, unincorporated organization or government or other agency or political subdivision thereof or other legal entity of any kind.
"Ratings Event" means the occurrence of a decrease in the rating of the Series 5 Notes to below an Investment Grade Rating by either (a)(i) two out of three of the Designated Rating Organizations, if there are three Designated Rating Organizations then rating the Notes, or (ii) three Designated Rating Organizations, if there are four or more Designated Rating Organizations then rating the Notes, or (b) each Designated Rating Organization, if there are less than three Designated Rating Organizations then rating the Notes (the "Required Threshold") on any day within the 90-day period (which 90-day period will be extended so long as the rating of the Notes is under publicly announced consideration for a possible downgrade by such number of Designated Rating Organization(s) which, together with each Designated Rating Organization which has already lowered its rating, would aggregate in number the Required Threshold) after the earlier of (i) the occurrence of a Change of Control and (ii) public notice of the occurrence of a Change of Control or of the Issuer's intention or agreement to effect a Change of Control.
"Voting Shares" with respect to any Person, means securities of any class of Equity Interests of such Person entitling the holders thereof (whether at all times or only so long as no senior class of shares or other relevant Equity Interest has voting power by reason of any contingency) to vote in the election of members of the Board of Directors of such Person.
| (c) | In this Supplemental Indenture, all references to Articles, Sections and Schedules refer, unless otherwise specified, to articles, sections and schedules of or to this Supplemental Indenture. |
| 1.2 | Amendments to Indenture |
This Supplemental Indenture is supplemental to the Indenture and the Indenture and the Supplemental Indenture shall hereafter be read together and shall have effect, so far as practicable, with respect to the Series 5 Notes as if all the provisions of the Indenture and this Supplemental Indenture were contained in one instrument. The Indenture is and shall remain in full force and effect with regards to all matters governing the Series 5 Notes, except as the Indenture is amended, superseded, modified or supplemented by this Supplemental Indenture. Notwithstanding the foregoing, in the event of any inconsistency between the provisions of this Supplemental Indenture and the provisions of the Indenture, the provisions of this Supplemental Indenture shall prevail.
For clarity and avoidance of doubt, the provisions of this Supplemental Indenture shall only be applicable to the Series 5 Notes issued hereunder and shall not be applicable to any other series of Notes hereafter issued.
-
ARTICLE 2 THE SERIES 5 NOTES
| 2.1 | Creation and Designation |
There is hereby authorized to be issued under the Indenture a Series of Notes designated as 4.149% Senior Unsecured Notes, Serie 5, due November 22, 2030. The Series 5 Notes shall have the terms set forth in this Article 2 and be subject to the applicable provisions of the Indenture.
| 2.2 | Form and Terms of Series 5 Notes |
| (a) | The maximum principal amount of Series 5 Notes that may be issued is unlimited. The initial amount of Series 5 Notes that is authorized and issued under this Supplemental Indenture on the date hereof is $350,000,000 in the lawful money of Canada. |
| (b) | The Series 5 Notes shall mature on November 22, 2030. |
| (c) | The Series 5 Notes bear interest from the date of issue at the rate of 4.149% per annum, payable in equal installments, semi-annually in arrears (other than the first interest payment) on May 22 and on November 22 in each year (each, an "Interest Payment Date") in an amount equal to $20.745 per $1,000 principal amount outstanding of the Series 5 Notes (less any tax required by law to be withheld). Notwithstanding the foregoing, the first interest payment shall fall due on November 22, 2025 in respect of Series 5 Notes issued on the date hereof and the last interest payment (representing interest payable from and including the last Interest Payment Date to, but excluding, the Maturity Date of the Series 5 Notes or the earlier Redemption Date of the Series 5 Notes), subject as herein provided, shall fall due on November 22, 2030 or the earlier Redemption Date, payable after as well as before maturity and after as well as before default, with interest on amounts in default at the same rate, compounded semi-annually. Interest payable for any period less than a full semi-annual period shall be computed on the basis of a 365 day year or 366 day year, as applicable, and the actual number of days elapsed in the period. For greater certainty, the first interest payment will include interest accrued from and including the date of issue to, but excluding November 22, 2025 which will be equal to $28.7019863 for each $1,000 principal amount of Series 5 Notes in respect of Series 5 Notes issued on the date hereof. |
| (d) | The Series 5 Notes may be redeemed at the option of the Issuer, in whole at any time, or in part from time to time, upon such condition as may be specified in the notice of redemption and on a Redemption Date determined by the Issuer that is not less than 10 nor more than 60 days after such notice of redemption is given to the holders of the Series 5 Notes to be redeemed pursuant to Article 5 of the Indenture, (i) prior to the Par Call Date, at a Redemption Price equal to the greater of par and the Canada Yield Price, or (ii) at any time on or after the Par Call Date, at a Redemption Price equal to par, together in each case with accrued and unpaid interest, if any, to but excluding, the date fixed for the redemption. The Issuer will be responsible for calculating the Redemption Price. Less than all of the Series 5 Notes may be redeemed, and if so redeemed, shall be redeemed in accordance with Section 5.2 of the Indenture. In accordance with Section 5.8 of the Indenture, the Series 5 Notes that are redeemed pursuant to this Section 2.2 will be cancelled and will not be re-issued. The notice of the Issuer to redeem the Series 5 Notes may be conditional on an event or transaction, and, in such case, such notice of redemption shall specify the details and terms of any event on which such redemption is conditional. |
-
| (e) | Upon the occurrence of a Change of Control Triggering Event, the Issuer is required, in accordance with section 8.12 of the Indenture, to make an offer to purchase all outstanding Series 5 Notes at a price equal to 101% of the principal amount of such Series 5 Notes plus accrued and unpaid interest up to, but excluding, the date the Series 5 Notes are so repurchased. |
| (f) | The Series 5 Notes shall be issued in denominations of $1,000 and integral multiples of $1,000 in excess thereof. Each certificate representing the Series 5 Notes and the certificate of the Trustee endorsed thereon shall be issued in substantially the form set out in Schedule "A" to this Supplemental Indenture, with such insertions, omissions, substitutions or other variations as shall be required or permitted by the Indenture and this Supplemental Indenture, and may have imprinted or otherwise reproduced thereon such legends or endorsements, not inconsistent with the provisions of the Indenture or this Supplemental Indenture, as may be required to comply with any law or with any rules or regulations pursuant thereto or with any rules or regulations of any securities exchange or securities regulatory authority or to conform with general usage, all as may be determined by any Officer of the Issuer executing such Series 5 Note in accordance with Section 2.6 of the Indenture, as conclusively evidenced by their execution thereof. Each certificate representing the Series 5 Notes shall additionally bear such distinguishing letters and numbers as the Trustee shall approve. |
The Series 5 Notes shall be issuable initially as one Global Note held by, or on behalf of, the Depository for its participants and registered in the name of the Depository or its nominee. No beneficial holder of Series 5 Notes shall receive definitive certificates representing their interest in Series 5 Notes except as provided in Section 2.5 of the Indenture. A Global Note may be exchanged for Series 5 Notes in registered form that are not Global Notes or transferred to and registered in the name of a Person other than the Depository for such Global Notes or a nominee thereof, as provided in Section 2.5 of the Indenture.
| (g) | The Trustee shall be provided with the documents and instruments referred to in Sections 4.1(a)(i), 4.1(a)(ii) and 4.1(a)(iii) of the Indenture with respect to the Series 5 Notes prior to the issuance of the Series 5 Notes. |
ARTICLE 3 GUARANTEES
| 3.1 | Existing Guarantees to Apply |
The Issuer hereby confirms to the Trustee that subject to the provisions of Section 6.4 of the Indenture, the Guarantees apply to the Series 5 Notes issued hereunder.
ARTICLE 4
ADDITIONAL MATTERS
| 4.1 | Confirmation of Indenture |
The Indenture, as amended and supplemented by this Supplemental Indenture, is in all respects confirmed.
-
| 4.2 | Acceptance of Trusts |
The Trustee hereby accepts the trusts in this Supplemental Indenture declared and provided for and agrees to perform the same upon the terms and conditions and subject to the provisions set forth in the Indenture.
| 4.3 | Additional Amounts |
The Issuer will not be required to pay any additional amounts on Series 5 Notes in respect of any tax, assessment or government charge withheld or deducted, or any other cost, charge or payment of any nature or type other than as expressly contemplated by the Indenture or this Supplemental Indenture.
| 4.4 | Governing Law |
This Supplemental Indenture and the Series 5 Notes shall be construed in accordance with the laws of the Province of Québec and the laws of Canada applicable therein and shall be treated, in all respects, as Québec contracts.
| 4.5 | Further Assurances |
The parties shall, with reasonable diligence, do all such things and provide all such reasonable assurances as may be required to consummate the transactions contemplated by this Supplemental Indenture, and each party shall provide such further documents or instruments required by the other party as may be reasonably necessary or desirable to effect the purpose of the Indenture and this Supplemental Indenture and carry out its provisions.
| 4.6 | Counterparts and Formal Date |
This Supplemental Indenture may be executed in several counterparts, each of which when so executed shall be deemed to be an original, and such counterparts together shall constitute one and the same instrument. Delivery of an executed signature page to this Supplemental Indenture by any person by electronic transmission shall be as effective as delivery of a manually executed copy of this Supplemental Indenture by such person. For the purpose of convenience, this Supplemental Indenture may be referred to as bearing formal date of March 13, 2025, irrespective of the actual date of execution thereof.
| 4.7 | Language |
The parties hereto expressly request and require, and confirm that it is their express wish, that this Supplemental Indenture and all documents required or permitted to be given or entered into pursuant hereto to be drawn up in English. Les parties aux présentes conviennent et exigent, et confirment leur volonté expresse, que cette entente et tout autre document à être ou pouvant être donnés ou conclus en vertu des présentes soient rédigés en anglais.
[Remainder of page intentionally left blank]
IN WITNESS WHEREOF the parties hereto have executed this Fifth Supplemental Indenture.
| GILDAN ACTIVEWEAR INC., as Issuer | |||
| By: | /s/ Suzanne Adams | ||
| Name: | Suzanne Adams | ||
| Title: | Vice-President, Treasury | ||
| TSX TRUST COMPANY, as Trustee | |||
| By: | /s/ Sharo Moradi | ||
| Name: | Sharo Moradi | ||
| Title: | Authorized Signatory | ||
| By: | /s/ Karim Larbi Lyamani | ||
| Name: | Karim Larbi Lyamani | ||
| Title: | Authorized Signatory | ||
[Signature Page to Fifth Supplemental Trust Indenture]
A-
SCHEDULE "A"
"No prospectus has been filed under any Canadian securities legislation with respect to this note and, accordingly, this note is subject to restrictions on transferability and resale under applicable Canadian laws.
Unless permitted under securities legislation, the holder of this security must not trade the security before July 14, 2025.
This Certificate is a Global Note within the meaning of the Indenture hereinafter referred to and is registered in the name of a Depository or a nominee thereof.
Unless this certificate is presented by an authorized representative of CDS Clearing and Depository Services Inc. ("CDS") to Gildan Activewear Inc. or its agent for registration of transfer, exchange or payment, and any certificate issued in respect thereof is registered in the name of CDS & Co., or in such other name as is requested by an authorized representative of CDS, and any payment is made to CDS & Co. (or in such other name as is requested by an authorized representative of CDS) and any payment is made to CDS & Co. or to such other entity as is requested by an authorized representative of CDS, any transfer, pledge or other use hereof for value or otherwise by or to any person is wrongful since the registered holder hereof, CDS & Co., has a property interest in the securities represented by this certificate and it is a violation of its rights for another person to hold, transfer or deal with this certificate."
| No. ● | CUSIP: 375916AE3 | ISIN: CA375916AE39 |
GILDAN ACTIVEWEAR INC.
(A corporation established under the laws of Canada)
4.149% SENIOR UNSECURED NOTE, SERIES 5,DUE NOVEMBER 22, 2030
GILDAN ACTIVEWEAR INC. (the "Issuer") for value received hereby acknowledges itself indebted and, subject to the provisions of the indenture (the "Indenture") dated as of November 22, 2024 between the Issuer and TSX Trust Company (the "Trustee"), as amended by a fifth supplemental trust indenture (the "Fifth Supplemental Indenture") dated March 13, 2025 (the Indenture as supplemented by the Fifth Supplemental Indenture being referred to as the "Indenture") promises to pay to CDS & Co. or registered assigns on November 22, 2030 (the "Maturity Date") or on such earlier date as the principal amount hereof may become due in accordance with the provisions of the Indenture, the principal sum of $● in lawful money of Canada on presentation and surrender of this 4.149% senior unsecured note, Series 5, due November 22, 2030 (the "Series 5 Notes") at the principal office of the Trustee in Montréal, Québec in accordance with the terms of the Indenture.
A-
The Series 5 Notes shall, subject as herein provided, bear interest on the principal amount hereof from the date of issue, or from the last Interest Payment Date to which interest shall have been paid or made available for payment hereon, whichever is later, at the rate of 4.149% per annum, in like money, payable in equal installments, semi-annually in arrears (other than the first interest payment) on May 22 and November 22 in each year in an amount equal to $20.745 per $1,000 principal amount outstanding of the Series 5 Notes (less any tax required by law to be withheld). Notwithstanding the foregoing, the first interest payment shall fall due on November 22, 2025. The last interest payment representing interest payable from the last Interest Payment Date to, but excluding, the Maturity Date or earlier Redemption Date shall fall due on the Maturity Date or earlier Redemption Date and, should the Issuer at any time make default in the payment of any principal or interest, the Issuer shall pay interest on the amount in default at the same rate, in like money and on the same dates on which interest is otherwise payable. Interest payable for any period less than a full semi-annual period shall be computed on the basis of a 365 day year or 366 day year, as applicable, and the actual number of days elapsed in the period. For greater certainty, the first interest payment will include interest accrued from and including the date of issue to, but excluding November 22 which will be equal to $28.7019863 for each $1,000 principal amount of Series 5 Notes. Interest hereon shall be payable by cheque mailed by prepaid ordinary mail to the registered holder hereof or by electronic transfer of funds to the registered holder hereof, and subject to the provisions of the Indenture, the mailing of such cheque or the sending of such electronic transfer of funds shall, to the extent of the sum represented thereby (plus the amount of any tax withheld), satisfy and discharge all liability for interest on this Series 5 Note.
This Series 5 Note is one of the Notes of the Issuer issued or issuable in one or more series under the provisions of the Indenture. The maximum principal amount of Series 5 Notes authorized for issue is unlimited. Reference is hereby expressly made to the Indenture for a description of the terms and conditions upon which the Series 5 Notes are or are to be issued and held and the rights and remedies of the holders of the Series 5 Notes and of the Issuer and of the Trustee, all to the same effect as if the provisions of the Indenture were herein set forth, and to all of which provisions the holder of this Series 5 Note by acceptance hereof assents.
The Series 5 Notes are issuable only in denominations of $1,000 and integral multiples of $1,000 in excess thereof. Upon compliance with the provisions of the Indenture, Series 5 Notes of any denomination may be exchanged for an equal aggregate principal amount of Series 5 Notes in any other authorized denomination or denominations.
The Series 5 Notes may be redeemed at the option of the Issuer, in whole at any time, or in part from time to time, upon such condition as may be specified in the applicable notice of redemption and on a Redemption Date determined by the Issuer that is not less than 10 nor more than 60 days after notice of such redemption is given to the holders of the Series 5 Notes to be redeemed pursuant to Article 5 of the Indenture, (i) prior to October 22, 2030, at a Redemption Price equal to the greater of par and the Canada Yield Price, or (ii) at any time on or after October 22, 2030, at a Redemption Price equal to par, together in each case with accrued and unpaid interest, if any, to but excluding, the date fixed for the redemption. "Canada Yield Price" means a price for the Series 5 Notes being redeemed, calculated at 10:00 a.m. (Montréal time) on the Business Day preceding the date on which the Issuer issues a notice of redemption pursuant to the Indenture and in accordance with generally accepted Canadian financial practice to provide a yield from the redemption date to October 22, 2030 equal to the Government of Canada Yield plus 35 bps.
Upon the occurrence of a Change of Control Triggering Event, the Issuer is required to make an offer to purchase all outstanding Series 5 Notes at a price equal to 101% of the principal amount of such Series 5 Notes plus accrued and unpaid interest up to, but excluding, the date the Series 5 Notes are so repurchased.
The indebtedness evidenced by this Series 5 Note, and by all other Series 5 Notes now or hereafter certified and delivered under the Indenture, is a direct senior unsecured obligation of the Issuer, and ranks equal in right of payment (pari passu) with each other and with Notes of every other series (regardless of their actual dates or terms of issue) and, subject to statutory preferred exceptions, with all other existing and future senior unsecured Indebtedness of the Issuer. The Series 5 Notes will be senior in right of payment to any future subordinated indebtedness of the Issuer. The Series 5 Notes will be effectively subordinated to all secured Indebtedness of the Issuer to the extent of the value of the assets securing such Indebtedness and structurally subordinated to all Indebtedness and other obligations (including trade payables) of the Issuer's Subsidiaries which are not Guarantors.
A-
This Series 5 Note has been unconditionally and irrevocably guaranteed as to the payment of principal, interest, and Premium, if any, in accordance with the terms of the Indenture by the Guarantors, subject to any limitation of the liability of any Guarantor pursuant to Section 6.5 of the Indenture and/or pursuant to Section 13.2 of the guarantee agreement entered into by the Guarantors in respect of the Indenture. Any guarantee of the Series 5 Note is subject to the provisions of the Indenture, including Article 6 thereof, and the guarantee agreement entered into by the Guarantors in respect of the Indenture. Each guarantee of the Series 5 Notes will be unsecured and rank equal in right of payment (pari passu) to all existing and future senior unsecured Indebtedness of each Guarantor. The guarantees will be effectively subordinated to the Guarantors' secured obligations to the extent of the assets securing such obligations.
The principal hereof may become or be declared due and payable before the stated maturity in the events, in the manner, with the effect and at the times provided in the Indenture.
Any payment of money to any holder of Series 5 Notes shall be reduced by the amount of applicable withholding tax, if any. The Indenture contains provisions making binding upon all holders of Notes outstanding thereunder (or in certain circumstances specific series of Notes) resolutions passed at meetings of such holders held in accordance with such provisions and instruments signed by the holders of a specified majority of Notes outstanding (or specific series), which resolutions or instruments may have the effect of amending the terms of these Series 5 Notes or the Indenture.
This Series 5 Note may only be transferred, upon compliance with the conditions prescribed in the Indenture, in the registers to be kept at the principal office of the Trustee in Montréal and in such other place or places and/or by such other registrars (if any) as the Issuer with the approval of the Trustee may designate. No transfer of this Series 5 Note shall be valid unless made on the register by the registered holder hereof or his executors or administrators or other legal representatives, or his or their attorney duly appointed by an instrument in form and substance satisfactory to the Trustee or other registrar, and upon compliance with such reasonable requirements as the Trustee and/or other registrar may prescribe and upon surrender of this Series 5 Note for cancellation. Thereupon a new Series 5 Note or Series 5 Notes in the same aggregate principal amount shall be issued to the transferee in exchange hereof.
This Series 5 Note shall not become obligatory for any purpose until it shall have been certified by the Trustee under the Indenture.
This Series 5 Note shall be construed in accordance with the laws of the Province of Québec and the laws of Canada applicable therein.
Capitalized words or expressions used in this Series 5 Note shall, unless otherwise defined herein, have the meaning ascribed thereto in the Indenture.
If any of the provisions of this Series 5 Note are inconsistent with the provisions of the Indenture, the provisions of the Indenture shall take precedence and shall govern.
The parties hereto expressly request and require, and confirm that it is their express wish, that this Series 5 Note and all documents required or permitted to be given or entered into pursuant hereto to be drawn up in English. Les parties aux présentes conviennent et exigent, et confirment leur volonté expresse, que le présent billet et tout autre document à être ou pouvant être donnés ou conclus en vertu des présentes soient rédigés en anglais.
A-
IN WITNESS WHEREOF, the Issuer has caused this Series 5 Note to be signed by its authorized representatives as of the _______ day of _________________.
| GILDAN ACTIVEWEAR INC. | ||
| By: | ||
| Name: Suzanne Adams | ||
| Title: Vice-President, Treasury | ||
A-
TRUSTEE'S CERTIFICATE
This Series 5 Note is one of the 4.149% Senior Unsecured Notes, Series 5, due November 22, 2030 referred to in the Indenture within mentioned.
| TSX TRUST COMPANY, as Trustee | ||
| By: | ||
| Authorized Signatory | ||
A-
(FORM OF REGISTRATION PANEL)
(No writing hereon except by Trustee or other registrar)
| Date of Registration | In Whose Name Registered | Signature of Trustee or Registrar |
| ● | CDS & Co. | |
A-
GILDAN ACTIVEWEAR INC.
4.149% SENIOR UNSECURED NOTE, SERIES 5, DUE NOVEMBER22, 2030
| Initial Principal Amount: $● | CUSIP: 375916AE3 |
| Authorization: |
ADJUSTMENTS
| Date | Amount of Increase |
Amount of Decrease |
New Principal Amount |
Authorization |