UNITED STATES
SECURITIES AND EXCHANGE COMMISSION
Washington, D.C. 20549
FORM 8-K
CURRENT REPORT
Pursuant to Section 13 or 15(d) of the
Securities Exchange Act of 1934
Date of Report (Date of earliest event reported) March 3, 2025
BioXcel Therapeutics, Inc.
(Exact name of registrant as specified in its charter)
| Delaware | 001-38410 | 82-1386754 | ||
| (State
or other jurisdiction of incorporation) |
(Commission File Number) | (IRS
Employer Identification No.) |
555 Long Wharf Drive
New Haven, CT 06511
(Address of principal executive offices) (Zip Code)
(475) 238-6837
Registrant’s telephone number, including area code
N/A
(Former name or former address, if changed since last report)
Check the appropriate box below if the Form 8-K filing is intended to simultaneously satisfy the filing obligation of the registrant under any of the following provisions:
| ¨ | Written communications pursuant to Rule 425 under the Securities Act (17 CFR 230.425) |
| ¨ | Soliciting material pursuant to Rule 14a-12 under the Exchange Act (17 CFR 240.14a-12) |
| ¨ | Pre-commencement communications pursuant to Rule 14d-2(b) under the Exchange Act (17 CFR 240.14d-2(b)) |
| ¨ | Pre-commencement communications pursuant to Rule 13e-4(c) under the Exchange Act (17 CFR 240.13e-4(c)) |
Securities registered pursuant to Section 12(b) of the Act:
| Title of each class | Trading Symbol(s) |
Name of each exchange on which registered |
||
| Common Stock, par value $0.001 | BTAI | The Nasdaq Capital Market |
Indicate by check mark whether the registrant is an emerging growth company as defined in Rule 405 of the Securities Act of 1933 (§230.405 of this chapter) or Rule 12b-2 of the Securities Exchange Act of 1934 (§240.12b-2 of this chapter).
Emerging growth company ¨
If an emerging growth company, indicate by check mark if the registrant has elected not to use the extended transition period for complying with any new or revised financial accounting standards provided pursuant to Section 13(a) of the Exchange Act. ¨
| Item 1.01. | Entry into a Material Definitive Agreement. |
On March 3, 2025, BioXcel Therapeutics, Inc. (the “Company”) entered into a securities purchase agreement (the “Purchase Agreement”) with the purchaser named therein (the “Purchaser”). Pursuant to the Purchase Agreement, the Company agreed to issue and sell to the Purchaser and the Purchaser agreed to buy in a registered direct offering (the “Offering”) (i) an aggregate of 188,383 shares (the “Shares”) of common stock, par value $0.001 per share (“Common Stock”) and accompanying warrants to purchase up to 188,383 shares of Common Stock at a combined offering price of $3.50 per Share and accompanying warrant, and (ii) pre-funded warrants (the “Pre-Funded Warrants”) to purchase up to 3,811,617 shares of Common Stock and accompanying warrants to purchase up to 3,811,617 shares of Common Stock, at a combined offering price of $3.499 per share underlying the Pre-Funded Warrants and accompanying warrant, which equals the offering price per Share and accompanying warrant less the $0.001 exercise price per share of the Pre-Funded Warrants, pursuant to an effective registration statement on Form S-3 (File No. 333-275261), including the base prospectus included therein, and prospectus supplement filed with the Securities and Exchange Commission (“SEC”) on March 4, 2025. In the Offering, the Company also issued to the Purchaser warrants (the “Option Warrants”), to purchase up to 4,000,000 shares of Common Stock (or pre-funded warrants in lieu thereof) and accompanying warrants to purchase up to 4,000,000 shares of Common Stock to the Purchaser. The pre-funded warrants and accompanying warrants issuable upon exercise of the Option Warrants will have substantially identical terms as the Pre-Funded Warrants and the accompanying warrants. The exercise price of the Option Warrants is $3.50 per underlying share of Common Stock and accompanying warrant to purchase one share of Common Stock, or $3.499 per underlying pre-funded warrant to purchase one share of Common Stock and accompanying warrant to purchase one share of Common Stock.
Rodman & Renshaw LLC (the “Placement Agent”) acted as the exclusive placement agent for the Company in connection with Offering. As compensation in connection with the Offering, the Company agreed to pay the Placement Agent a cash fee equal to 6.0% of the gross proceeds from the Offering, including any proceeds from the cash exercise of any warrants sold in the Offering.
The Purchase Agreement contains customary representations, warranties and agreements by the Company, customary conditions to closing, indemnification obligations of the Company, other obligations of the parties and termination provisions.
This Current Report on Form 8-K does not constitute an offer to sell any securities or a solicitation of an offer to buy any securities, nor shall there be any sale of any securities in any state or jurisdiction in which such an offer, solicitation or sale would be unlawful prior to registration or qualification under the securities laws of any such state or jurisdiction.
The foregoing descriptions of the Purchase Agreement, the accompanying warrants, the Pre-Funded Warrants and the Option Warrants are qualified in their entirety by reference to the Purchase Agreement, the Form of accompanying warrant, the Form of Pre-Funded Warrant and the Form of Option Warrants, which are filed as Exhibit 10.1, Exhibit 4.1, Exhibit 4.2 and Exhibit 4.3, respectively, to this Current Report on Form 8-K and are incorporated by reference herein.
A copy of the opinion of Honigman LLP relating to the validity of the shares of Common Stock, the accompanying warrants, the Pre-Funded Warrants and the Option Warrants is attached as Exhibit 5.1 hereto.
| Item 9.01. | Financial Statements and Exhibits. |
(d) Exhibits.
| Exhibit No. | Description | |
| 4.1 | Form of Accompanying Warrant | |
| 4.2 | Form of Pre-Funded Warrant | |
| 4.3 | Form of Option Warrant | |
| 5.1 | Opinion of Honigman LLP | |
| 10.1 | Securities Purchase Agreement dated as of March 3, 2025, between BioXcel Therapeutics, Inc. and each purchaser identified therein. | |
| 23.1 | Consent of Honigman LLP (included in Exhibit 5.1) | |
| 104 | Cover Page Interactive Data File (Embedded within the Inline XBRL Document). |
SIGNATURES
Pursuant to the requirements of the Securities Exchange Act of 1934, the registrant has duly caused this report to be signed on its behalf by the undersigned hereunto duly authorized.
| Date: March 4, 2025 | BIOXCEL THERAPEUTICS, INC. | |
| By: | /s/ Richard Steinhart | |
| Richard Steinhart | ||
Chief Financial Officer |
||
Exhibit 4.1
Final Form
BIOXCEL THERAPEUTICS, INC.
WARRANT TO PURCHASE SHARES OF COMMON STOCK
| Warrant No. CS-[ ● ] | Number of Shares: [ ● ] |
| (subject to adjustment) | |
| Date of Issuance: March 4, 2025 |
BioXcel Therapeutics, Inc., a Delaware corporation (the “Company”), hereby certifies that, for good and valuable consideration, the receipt and sufficiency of which are hereby acknowledged, [ ● ] or its registered assigns (the “Holder”), is entitled, subject to the terms set forth below, to purchase from the Company up to a total of [ ● ] shares of common stock, $0.001 par value per share (the “Common Stock”) of the Company (each such share, a “Warrant Share” and all such shares, the “Warrant Shares”) at an exercise price per share equal to $4.20 per share (as adjusted from time to time as provided in Section 9 herein, the “Exercise Price”) upon surrender of this Warrant to Purchase Shares of Common Stock (including any Warrants to Purchase Shares of Common Stock issued in exchange, transfer or replacement hereof, the “Warrant”) at any time and from time to time on or after the date hereof (the “Original Issue Date”) and on or prior to 5:00 pm Eastern Time on March 4, 2030 (the “Termination Date”), subject to the following terms and conditions:
1. Definitions. For purposes of this Warrant, the following terms shall have the following meanings:
(a) “Affiliate” means any Person directly or indirectly controlled by, controlling or under common control with, a Holder, as such terms are used in and construed under Rule 405 under the Securities Act, but only for so long as such control shall continue. For purposes of this definition, “control” (including, with correlative meanings, “controlled by,” “controlling” and “under common control with”) means, with respect to a Person, possession, direct or indirect, of (a) the power to direct or cause direction of the management and policies of such Person (whether through ownership of securities or partnership or other ownership interests, by contract or otherwise), or (b) at least 50% of the voting securities (whether directly or pursuant to any option, warrant, or other similar arrangement) or other comparable equity interests.
(b) “Commission” means the United States Securities and Exchange Commission.
(c) “Marketable Securities” means securities meeting all of the following requirements: (i) the issuer thereof is then subject to the reporting requirements of Section 13 or Section 15(d) of the Securities Exchange Act of 1934, as amended (the “Exchange Act”), and is then current in its filing of all required reports and other information under the Securities Act and the Exchange Act; (ii) the class and series of shares or other security of the issuer that would be received by Holder in connection with the Fundamental Transaction (as defined below) were Holder to exercise this Warrant on or prior to the closing thereof is then traded or quoted on a nationally recognized securities exchange, inter-dealer quotation system or over-the-counter market, and (iii) following the closing of such Fundamental Transaction, the Holder would not be restricted from publicly re-selling all of the issuer’s shares and/or other securities that would be received by the Holder in such Fundamental Transaction were the Holder to exercise or convert this Warrant in full on or prior to the closing of such Fundamental Transaction, except to the extent that any such restriction (x) arises solely under federal or state securities laws, rules or regulations, and (y) does not extend beyond six (6) months from the closing of such Fundamental Transaction.
(d) “Principal Trading Market” means the national securities exchange or other trading market on which the shares of Common Stock are primarily listed on and quoted for trading, which, as of the Original Issue Date, shall be the Nasdaq Capital Market.
(e) “Registration Statement” means the Company’s Registration Statement on Form S-3 (File No. 333-275261), filed with the Commission on November 2, 2023.
(f) “Securities Act” means the Securities Act of 1933, as amended.
(g) “Trading Day” means any weekday on which the Principal Trading Market is open for trading. If the shares of Common Stock are not listed or admitted for trading, “Trading Day” means any day except any Saturday, any Sunday, any day which is a federal legal holiday in the United States or any day on which banking institutions in New York City are authorized or required by law or other governmental action to close.
(h) “Transfer Agent” means Equiniti Trust Company, LLC, the Company’s transfer agent and registrar for the Common Stock, and any successor appointed in such capacity.
(i) “VWAP” means, for any date, the price determined by the first of the following clauses that applies: (i) if the Common Stock is then listed or quoted on a national securities exchange or other trading market, the daily volume weighted average price of the Common Stock for such date (or the nearest preceding date) on the Principal Trading Market as reported by Bloomberg L.P. (based on a Trading Day from 9:30 a.m. (New York City time) to 4:02 p.m. (New York City time)), (ii) if the Common Stock is then listed or quoted for trading and neither OTCQB nor OTCQX is the Principal Trading Market, the volume weighted average price of the Common Stock for such date (or the nearest preceding date) on OTCQB or OTCQX, as applicable, (iii) if the Common Stock is not then listed or quoted for trading on OTCQB or OTCQX and if prices for the Common Stock are then reported in the “Pink Sheets” published by OTC Markets Group, Inc. (or a similar organization or agency succeeding to its functions of reporting prices), the most recent bid price per share of the Common Stock so reported, or (iv) in all other cases, the fair market value of a share of Common Stock as determined by an independent appraiser selected in good faith by the Holder and reasonably acceptable to the Company, the fees and expenses of which shall be paid by the Company.
2. Issuance of Securities; Registration of Warrants. This Warrant, as initially issued by the Company, is offered and sold pursuant to the Registration Statement. As of the Original Issue Date, the Warrant Shares are issuable under the Registration Statement. Accordingly, the Warrant and, assuming issuance pursuant to the Registration Statement or an exchange meeting the requirements of Section 3(a)(9) of the Securities Act as in effect on the Original Issue Date, the Warrant Shares, are not “restricted securities” under Rule 144 promulgated under the Securities Act. The Company shall register ownership of this Warrant, upon records to be maintained by the Company for that purpose (the “Warrant Register”), in the name of the record Holder (which shall include the initial Holder or, as the case may be, any assignee to which this Warrant is assigned hereunder) from time to time. The Company may deem and treat the registered Holder of this Warrant as the absolute owner hereof for the purpose of any exercise hereof or any distribution to the Holder, and for all other purposes, absent actual notice to the contrary.
3. Registration of Transfers. Subject to compliance with all applicable securities laws, the Company shall, or will cause its Transfer Agent to, register the transfer of all or any portion of this Warrant in the Warrant Register, upon surrender of this Warrant, and payment for all applicable taxes (if any). Upon any such registration or transfer, a new warrant to purchase shares of Common Stock in substantially the form of this Warrant (any such new warrant, a “New Warrant”) evidencing the portion of this Warrant so transferred shall be issued to the transferee, and a New Warrant evidencing the remaining portion of this Warrant not so transferred, if any, shall be issued to the transferring Holder. The acceptance of the New Warrant by the transferee thereof shall be deemed the acceptance by such transferee of all of the rights and obligations in respect of the New Warrant that the Holder has in respect of this Warrant. The Company shall, or will cause its Transfer Agent to, prepare, issue and deliver at the Company’s own expense any New Warrant under this Section 3. Until due presentment for registration of transfer, the Company may treat the registered Holder hereof as the owner and holder for all purposes, and the Company shall not be affected by any notice to the contrary.
4. Exercise and Duration of Warrants.
(a) All or any part of this Warrant shall be exercisable by the registered Holder in the manner set forth herein at any time and from time to time on or after the Original Issue Date and on or prior to the Termination Date.
(b) The Holder may exercise this Warrant by delivering to the Company (i) an exercise notice, in the form attached as Schedule 1 hereto (the “Exercise Notice”), completed and duly signed, and (ii) payment of the Exercise Price for the number of Warrant Shares as to which this Warrant is being exercised (which may take the form of a “cashless exercise” if so indicated in the Exercise Notice pursuant to Section 10 below), and the date on which the last of such items is delivered to the Company (as determined in accordance with the notice provisions hereof) is an “Exercise Date.” No later than one Trading Day following the delivery of such Exercise Notice, the Holder shall deliver to the Company payment of the Exercise Price for the number of Warrant Shares as to which this Warrant is being exercised by wire transfer or cashier’s check drawn on a United States bank unless the cashless exercise procedures specified in Section 10 below is specified in the applicable Exercise Notice. The Holder shall not be required to deliver the original Warrant in order to effect an exercise hereunder. No ink original Exercise Notice shall be required, nor shall any medallion guarantee (or other type of guarantee or notarization) of any Exercise Notice be required. Execution and delivery of the Exercise Notice shall have the same effect as cancellation of the original Warrant and issuance of a New Warrant evidencing the right to purchase the remaining number of Warrant Shares, if any. The Holder and any assignee, by acceptance of this Warrant, acknowledge and agree that, by reason of the provisions of this paragraph, following the purchase of a portion of the Warrant Shares hereunder, the number of Warrant Shares available for purchase hereunder at any given time may be less than the amount stated on the face hereof.
5. Delivery of Warrant Shares.
(a) Upon exercise of this Warrant, the Company shall promptly (but in no event later than one (1) Trading Day after the Exercise Date), upon the request of the Holder, credit such aggregate number of shares of Common Stock to which the Holder is entitled pursuant to such exercise to the Holder’s or its designee’s balance account with The Depository Trust Company (“DTC”) through its Deposit Withdrawal Agent Commission system, or if the Transfer Agent is not participating in the Fast Automated Securities Transfer Program (the “FAST Program”), issue and dispatch by overnight courier to the address as specified in the Exercise Notice, a certificate, registered in the Company’s share register in the name of the Holder or its designee, for the number of shares of Common Stock to which the Holder is entitled pursuant to such exercise. The Holder, or any natural person or legal entity (each, a “Person”) so designated by the Holder to receive Warrant Shares, shall be deemed to have become the holder of record of such Warrant Shares as of the Exercise Date, irrespective of the date such Warrant Shares are credited to the Holder’s DTC account or the date of delivery of the certificates evidencing such Warrant Shares, as the case may be.
(b) If by the close of the first (1st) Trading Day after the Exercise Date, the Company fails to deliver to the Holder a certificate representing the required number of Warrant Shares in the manner required pursuant to Section 5(a) or fails to credit the Holder’s DTC account for such number of Warrant Shares to which the Holder is entitled, and if after such first (1st) Trading Day and prior to the receipt of such Warrant Shares, the Holder purchases (in an open market transaction, provided such purchases shall be made in a commercially reasonable manner at prevailing market prices) shares of Common Stock to deliver in satisfaction of a sale by the Holder of the Warrant Shares which the Holder anticipated receiving upon such exercise (a “Buy-In”), then the Company shall, within one (1) Trading Day after the Holder’s request, in the Holder’s sole discretion, either (i) pay cash to the Holder in an amount equal to the Holder’s total purchase price (including commercially reasonable brokerage commissions, if any) for the shares of Common Stock so purchased, at which point the Company’s obligation to deliver such Warrant Shares shall terminate, or (ii) (A) pay in cash to the Holder the amount, if any, by which (1) the Holder’s total purchase price (including commercially reasonable brokerage commissions, if any) for the shares of Common Stock purchased in the Buy-In exceeds (2) the product of (x) the number of Warrant Shares that the Company was required to deliver to the Holder in connection with the exercise at issue, times (y) the price at which the sell order giving rise to such purchase obligation was executed (assuming such sale was executed on commercially reasonable terms at prevailing market prices and, if the sale was executed in multiple transactions, the volume weighted average price), and (B) at the option of the Holder, either (1) reinstate the portion of the Warrant and equivalent number of Warrant Shares for which such exercise was not honored (in which case such exercise shall be deemed rescinded) or (2) deliver to the Holder the number of shares of Common Stock that would have been issued had the Company timely complied with its exercise and delivery obligations hereunder.
(c) To the extent permitted by law and subject to Section 5(b), the Company’s obligations to issue and deliver Warrant Shares in accordance with and subject to the terms hereof (including the limitations set forth in Section 10 below) are absolute and unconditional, irrespective of any action or inaction by the Holder to enforce the same, any waiver or consent with respect to any provision hereof, the recovery of any judgment against any Person or any action to enforce the same, or any setoff, counterclaim, recoupment, limitation or termination, or any breach or alleged breach by the Holder or any other Person of any obligation to the Company or any violation or alleged violation of law by the Holder or any other Person, and irrespective of any other circumstance that might otherwise limit such obligation of the Company to the Holder in connection with the issuance of Warrant Shares. Subject to Section 5(b), nothing herein shall limit the Holder’s right to pursue any other remedies available to it hereunder, at law or in equity including, without limitation, a decree of specific performance and/or injunctive relief with respect to the Company’s failure to timely deliver certificates representing shares of Common Stock upon exercise of the Warrant as required pursuant to the terms hereof.
6. Charges, Taxes and Expenses.
(a) Issuance and delivery of certificates for shares of Common Stock upon exercise of this Warrant shall be made without charge to the Holder for any issue or transfer tax, transfer agent fee or other similar incidental tax or expense (excluding any applicable stamp duties) in respect of the issuance of such certificates, all of which taxes and expenses shall be paid by the Company; provided, however, that the Company shall not be required to pay any tax that may be payable in respect of any transfer involved in the registration of any certificates for Warrant Shares or the Warrants in a name other than that of the Holder thereof. The Holder shall be responsible for all other tax liability that may arise as a result of holding or transferring this Warrant or receiving Warrant Shares upon exercise hereof.
(b) Each Holder agrees that applicable withholding taxes (including backup withholding) may be withheld from payments and deemed payments on or with respect to this Warrant, and if any such withholding taxes (including backup withholding) are paid on behalf of the Holder, then those withholding taxes may be set off against payments of cash or the delivery of shares of Common Stock or other consideration, if any, in respect of this Warrant (or any payments on Common Stock) or sales proceeds received by, or other funds or assets of, the Holder.
(c) On the Original Issue Date (or in the case of any transferee, the date such transferee becomes Holder), and thereinafter upon reasonable request or as required under applicable law, to the extent permitted by applicable law, tax forms or other documentation (including any applicable IRS Form W-8/W-9) reasonably satisfactory to the Company or other applicable withholding agent to establish an exemption from United States withholding tax on payments and deliveries hereunder as well as an exemption from, or a reduction in the rate of, U.S. withholding that may apply to any dividend or constructive dividend (e.g., under Section 305(c) of the Internal Revenue Code of 1986, as amended). The Company may determine in its reasonable discretion the amount and the timing of any such constructive dividend.
7. Replacement of Warrant. If this Warrant is mutilated, lost, stolen or destroyed, the Company shall issue or cause to be issued in exchange and substitution for and upon cancellation hereof, or in lieu of and substitution for this Warrant, a New Warrant, but only upon receipt of evidence reasonably satisfactory to the Company of such loss, theft or destruction (in such case) and, in each case, a customary and reasonable indemnity and surety bond, if requested by the Company. Applicants for a New Warrant under such circumstances shall also comply with such other reasonable regulations and procedures and pay such other reasonable third-party costs as the Company may prescribe. If a New Warrant is requested as a result of a mutilation of this Warrant, then the Holder shall deliver such mutilated Warrant to the Company as a condition precedent to the Company’s obligation to issue the New Warrant.
8. Reservation of Warrant Shares. The Company covenants that it will, at all times while this Warrant is issued and outstanding, reserve and keep available out of the aggregate of its authorized but unissued and otherwise unreserved shares of Common Stock, solely for the purpose of enabling it to issue Warrant Shares upon exercise of this Warrant as herein provided, the number of Warrant Shares that are initially issuable and deliverable upon the exercise of this entire Warrant, free from preemptive rights or any other contingent purchase rights of persons other than the Holder (taking into account the adjustments and restrictions of Section 9). The Company covenants that all Warrant Shares so issuable and deliverable shall, upon issuance and the payment of the applicable Exercise Price in accordance with the terms hereof, be duly and validly authorized, issued and fully paid and non-assessable. The Company will take all such action as may be reasonably necessary to assure that such shares of Common Stock may be issued as provided herein without violation of any applicable law or regulation, or of any requirements of any securities exchange or automated quotation system upon which the shares of Common Stock may be listed. The Company further covenants that it will not, without the prior written consent of the Holder, take any actions to increase the par value of the shares of Common Stock at any time while this Warrant is issued and outstanding.
9. Certain Adjustments. The Exercise Price and number of Warrant Shares issuable upon exercise of this Warrant are subject to adjustment from time to time as set forth in this Section 9.
(a) Stock Dividends and Splits. If the Company, at any time while this Warrant is issued and outstanding, (i) pays a stock dividend on its shares of Common Stock or otherwise makes a distribution on any class of capital shares issued and outstanding on the Original Issue Date and in accordance with the terms of such stock on the Original Issue Date or as amended, as described in the Registration Statement, that is payable in shares of Common Stock, (ii) subdivides its issued and outstanding shares of Common Stock into a larger number of shares of Common Stock, (iii) combines its issued and outstanding shares of Common Stock into a smaller number of shares of Common Stock or (iv) issues by reclassification of capital shares any additional shares of Common Stock of the Company, then in each such case the number of Warrant Shares shall be multiplied by a fraction, the numerator of which shall be the number of shares of Common Stock issued and outstanding immediately before such event and the denominator of which shall be the number of shares of Common Stock issued and outstanding immediately after such event. Any adjustment made pursuant to clause (i) of this paragraph shall become effective immediately after the record date for the determination of stockholders entitled to receive such dividend or distribution, provided, however, that if such record date shall have been fixed and such dividend is not fully paid on the date fixed therefor, the number of Warrant Shares shall be recomputed accordingly as of the close of business on such record date and thereafter the number of Warrant Shares shall be adjusted pursuant to this paragraph as of the time of actual payment of such dividends. Any adjustment pursuant to clause (ii), (iii) or (iv) of this paragraph shall become effective immediately after the effective date of such subdivision or combination or reclassification.
(b) Pro Rata Distributions. If the Company, at any time while this Warrant is issued and outstanding, distributes to all holders of shares of Common Stock for no consideration (i) evidences of its indebtedness, (ii) any security (other than a distribution of shares of Common Stock covered by the preceding paragraph), (iii) rights or warrants to subscribe for or purchase any security, or (iv) cash or any other asset (in each case, “Distributed Property”), then, upon any exercise of this Warrant that occurs after the record date fixed for determination of stockholders entitled to receive such distribution, the Holder shall be entitled to receive, in addition to the Warrant Shares otherwise issuable upon such exercise (if applicable), the Distributed Property that such Holder would have been entitled to receive in respect of such number of Warrant Shares had the Holder been the record holder of such Warrant Shares immediately prior to such record date without regard to any limitation on exercise contained therein.
(c) Fundamental Transactions. If, at any time while this Warrant is issued and outstanding (i) the Company effects any merger or consolidation of the Company with or into another Person, in which the Company is not the surviving entity and in which the stockholders of the Company immediately prior to such merger or consolidation do not own, directly or indirectly, at least 50% of the outstanding capital stock or at least 50% of the voting power of the surviving entity immediately after such merger or consolidation, (ii) the Company effects any sale to another Person of all or substantially all of its assets in one transaction or a series of related transactions, (iii) pursuant to any tender offer or exchange offer (whether by the Company or another Person), holders of capital stock tender shares representing more than 50% of the outstanding capital stock of the Company or more than 50% of the voting power of the capital stock of the Company, and the Company or such other Person, as applicable, accepts such tender for payment, (iv) the Company consummates a share purchase agreement or other business combination (including, without limitation, a reorganization, recapitalization, spin-off or scheme of arrangement) with another Person whereby such other Person acquires more than 50% of the outstanding capital stock of the Company or more than 50% of the voting power of the capital stock of the Company (except for any such transaction in which the stockholders of the Company immediately prior to such transaction maintain, in substantially the same proportions, the voting power of such Person immediately after the transaction) or (v) the Company effects any reclassification of the shares of Common Stock or any compulsory share exchange pursuant to which the shares of Common Stock are effectively converted into or exchanged for other securities, cash or property (other than as a result of a subdivision or combination of shares of Common Stock covered by Section 9(a) above) (in any such case, a “Fundamental Transaction”), then following such Fundamental Transaction the Holder shall have the right to receive, upon exercise of this Warrant, the same amount and kind of securities, cash or property as it would have been entitled to receive upon the occurrence of such Fundamental Transaction if it had been, immediately prior to such Fundamental Transaction, the holder of the number of Warrant Shares then issuable upon exercise in full of this Warrant without regard to any limitations on exercise contained herein (the “Alternate Consideration”). The Company shall not effect any Fundamental Transaction in which the Company is not the surviving entity or the Alternate Consideration includes securities of another Person unless (i) the Alternate Consideration consists solely of cash, solely of Marketable Securities or a combination of cash and Marketable Securities or (ii) prior to, simultaneously with or promptly following the consummation thereof, any successor to the Company, surviving entity or other Person (including any purchaser of assets of the Company) shall assume the obligation to deliver to the Holder such Alternate Consideration as, in accordance with the foregoing provisions, the Holder may be entitled to receive, and the other obligations under this Warrant. The provisions of this Section 9(c) shall similarly apply to subsequent transactions analogous of a Fundamental Transaction type. Notwithstanding anything to the contrary, in the event of a Fundamental Transaction, the Company or any successor entity to the Company shall, at the Holder’s option, exercisable at any time concurrently with, or within 30 days after, the consummation of the Fundamental Transaction (or, if later, the date of the public announcement of the applicable Fundamental Transaction), purchase this Warrant from the Holder by paying to the Holder an amount of cash equal to the Black Scholes Value (as defined below) of the remaining unexercised portion of this Warrant on the date of the consummation of such Fundamental Transaction; provided, however, that, if the Fundamental Transaction is not within the Company's control, including not approved by the Company's Board of Directors, the Holder shall only be entitled to receive from the Company or any successor entity to the Company the same type or form of consideration (and in the same proportion), at the Black Scholes Value of the unexercised portion of this Warrant, that is being offered and paid to the holders of Common Stock of the Company in connection with the Fundamental Transaction, whether that consideration be in the form of cash, stock or any combination thereof, or whether the holders of Common Stock are given the choice to receive from among alternative forms of consideration in connection with the Fundamental Transaction; provided, further, that if holders of Common Stock of the Company are not offered or paid any consideration in such Fundamental Transaction, such holders of Common Stock will be deemed to have received common stock of the successor entity (which entity may be the Company following such Fundamental Transaction) in such Fundamental Transaction. “Black Scholes Value” means the value of this Warrant based on the Black-Scholes Option Pricing Model obtained from the “OV” function on Bloomberg, L.P. (“Bloomberg”) determined as of the day of consummation of the applicable Fundamental Transaction for pricing purposes and reflecting (A) a risk-free interest rate corresponding to the U.S. Treasury rate for a period equal to the time between the date of the public announcement of the applicable contemplated Fundamental Transaction and the Termination Date, (B) an expected volatility equal to the greater of (1) the 30 day volatility, (2) the 100 day volatility or (3) the 365 day volatility, each of clauses (1)-(3) as obtained from the HVT function on Bloomberg (determined utilizing a 365 day annualization factor) as of the Trading Day immediately following the public announcement of the applicable contemplated Fundamental Transaction, (C) the underlying price per share used in such calculation shall be the highest VWAP during the period beginning on the Trading Day immediately preceding the public announcement of the applicable contemplated Fundamental Transaction (or the consummation of the applicable Fundamental Transaction, if earlier) and ending on the Trading Day of the Holder’s request pursuant to this Section 9(c), (D) a remaining option time equal to the time between the date of the public announcement of the applicable contemplated Fundamental Transaction and the Termination Date and (E) a zero cost of borrow. The payment of the Black Scholes Value will be made by wire transfer of immediately available funds (or such other consideration) within five (5) Trading Days of the Holder’s election (or, if later, on the date of consummation of the Fundamental Transaction). The Company shall cause any successor entity in a Fundamental Transaction in which the Company is not the survivor (the “Successor Entity”) to assume in writing all of the obligations of the Company under this Warrant and the other Transaction Documents in accordance with the provisions of this Section 3(d) pursuant to written agreements in form and substance reasonably satisfactory to the Holder and approved by the Holder (without unreasonable delay) prior to such Fundamental Transaction and shall, at the option of the Holder, deliver to the Holder in exchange for this Warrant a security of the Successor Entity evidenced by a written instrument substantially similar in form and substance to this Warrant which is exercisable for a corresponding number of shares of capital stock of such Successor Entity (or its parent entity) equivalent to the shares of Common Stock acquirable and receivable upon exercise of this Warrant (without regard to any limitations on the exercise of this Warrant) prior to such Fundamental Transaction, and with an exercise price which applies the exercise price hereunder to such shares of capital stock (but taking into account the relative value of the shares of Common Stock pursuant to such Fundamental Transaction and the value of such shares of capital stock, such number of shares of capital stock and such exercise price being for the purpose of protecting the economic value of this Warrant immediately prior to the consummation of such Fundamental Transaction), and which is reasonably satisfactory in form and substance to the Holder. Upon the occurrence of any such Fundamental Transaction, the Successor Entity shall be added to the term “Company” under this Warrant (so that from and after the occurrence or consummation of such Fundamental Transaction, each and every provision of this Warrant and the other Transaction Documents referring to the “Company” shall refer instead to each of the Company and the Successor Entity or Successor Entities, jointly and severally), and the Successor Entity or Successor Entities, jointly and severally with the Company, may exercise every right and power of the Company prior thereto and the Successor Entity or Successor Entities shall assume all of the obligations of the Company prior thereto under this Warrant and the other Transaction Documents with the same effect as if the Company and such Successor Entity or Successor Entities, jointly and severally, had been named as the Company herein. For the avoidance of doubt, the Holder shall be entitled to the benefits of the provisions of this Section 3(d) regardless of (i) whether the Company has sufficient authorized shares of Common Stock for the issuance of Warrant Shares and/or (ii) whether a Fundamental Transaction occurs prior to the Initial Exercise Date.
(d) Exercise Price. Simultaneously with any adjustment to the number of Warrant Shares pursuant to Section 9, the Exercise Price shall be increased or decreased proportionately, so that after such adjustment the aggregate Exercise Price payable hereunder for the increased or decreased number of Warrant Shares shall be the same as the aggregate Exercise Price in effect immediately prior to such adjustment. Notwithstanding the foregoing, in no event may the Exercise Price be adjusted below the par value of the shares of Common Stock then in effect.
(e) Calculations. All calculations under this Section 9 shall be made to the nearest one-millionth of one cent or the nearest share, as applicable.
(f) Notice of Adjustments. Upon the occurrence of each adjustment pursuant to this Section 9, the Company at its expense will, at the written request of the Holder, promptly compute such adjustment, in good faith, in accordance with the terms of this Warrant and prepare a certificate setting forth such adjustment, including a statement of the adjusted Exercise Price and adjusted number or type of Warrant Shares or other securities issuable upon exercise of this Warrant (as applicable), describing the transactions giving rise to such adjustments and showing in detail the facts upon which such adjustment is based. Upon written request, the Company will promptly deliver a copy of each such certificate to the Holder and to the Company’s transfer agent.
(g) Notice of Corporate Events. If, while this Warrant is issued and outstanding, the Company (i) declares a dividend or any other distribution of cash, securities or other property in respect of its shares of Common Stock, including, without limitation, any granting of rights or warrants to subscribe for or purchase any capital stock of the Company or any subsidiary, (ii) authorizes or approves, enters into any agreement contemplating or solicits stockholder approval for any Fundamental Transaction or (iii) authorizes the voluntary dissolution, liquidation or winding up of the affairs of the Company, then, except if such notice and the contents thereof shall be deemed to constitute material non-public information, the Company shall deliver to the Holder a notice of such transaction at least ten (10) days prior to the applicable record or effective date on which a Person would need to hold shares of Common Stock in order to participate in or vote with respect to such transaction; provided, however, that the failure to deliver such notice or any defect therein shall not affect the validity of the corporate action required to be described in such notice. In addition, if while this Warrant is issued and outstanding, the Company authorizes or approves, enters into any agreement contemplating or solicits stockholder approval for any Fundamental Transaction contemplated by Section 9(c), other than a Fundamental Transaction under clause (iii) of Section 9(c), then, except if such notice and the contents thereof shall be deemed to constitute material non-public information, the Company shall deliver to the Holder a notice of such Fundamental Transaction at least ten (10) days prior to the date such Fundamental Transaction is consummated.
(h) Voluntary Adjustment by Company. Subject to the rules and regulations of the trading market, the Company may at any time during the term of this Warrant reduce the then current Exercise Price to any amount and for any period of time deemed appropriate by the Board of Directors of the Company. The Company may extend the duration of this Warrant by delaying the Termination Date; provided, however, that the Company will provide notice of not less than ten (10) days to the Holder.
(i) Subsequent Rights Offerings. In addition to any adjustments pursuant to Section 9(a) above, if at any time the Company grants, issues or sells any Common Stock Equivalents or rights to purchase stock, warrants, securities or other property pro rata to the record holders of any class of shares of Common Stock (the “Purchase Rights”), then the Holder will be entitled to acquire, upon the terms applicable to such Purchase Rights, the aggregate Purchase Rights which the Holder could have acquired if the Holder had held the number of shares of Common Stock acquirable upon complete exercise of this Warrant (without regard to any limitations on exercise hereof, including without limitation, the Maximum Percentage) immediately before the date on which a record is taken for the grant, issuance or sale of such Purchase Rights, or, if no such record is taken, the date as of which the record holders of shares of Common Stock are to be determined for the grant, issue or sale of such Purchase Rights (provided, however, that to the extent that the Holder’s right to participate in any such Purchase Right would result in the Holder exceeding the Maximum Percentage, then the Holder shall not be entitled to participate in such Purchase Right to such extent (or beneficial ownership of such shares of Common Stock as a result of such Purchase Right to such extent) and such Purchase Right to such extent shall be held in abeyance for the Holder until such time, if ever, as its right thereto would not result in the Holder exceeding the Maximum Percentage).
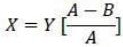
10. Payment of Cashless Exercise Price. If at the time of exercise hereof there is no effective registration statement registering, or the prospectus contained therein is not available for the issuance of the Warrant Shares to the Holder, then this Warrant may also be exercised, in whole or in part, at such time by means of a “cashless exercise” in which the Holder shall be entitled to receive a number of Warrant Shares in an exchange of securities effected pursuant to Section 3(a)(9) of the Securities Act as determined as follows:

where:
“X” equals the number of Warrant Shares to be issued to the Holder;
“Y” equals the total number of Warrant Shares with respect to which this Warrant is then being exercised (determined solely for purposes of this definition as if the Warrant were exercised by means of a cash exercise rather than a cashless basis);
“A” equals the last VWAP immediately preceding the delivery of the applicable Exercise Notice (to clarify, the “last VWAP” will be the last VWAP as calculated over an entire Trading Day such that, in the event that this Warrant is exercised at a time that the Trading Market is open, the prior Trading Day’s VWAP shall be used in this calculation); and
“B” equals the Exercise Price per Warrant Share then in effect on the Exercise Date.
For purposes of Rule 144 promulgated under the Securities Act, it is intended, understood and acknowledged that the Warrant Shares issued in such a “cashless exercise” transaction shall take on the registered characteristics of the Warrants being exercised and shall be deemed to have been acquired by the Holder, and the holding period for the Warrant Shares shall be deemed to have commenced, on the date this Warrant was originally issued (provided that the Commission continues to take the position that such treatment is proper at the time of such exercise).
Except as set forth in Section 5(b) or Section 13, in no event will the exercise of this Warrant be settled in cash.
11. Limitations on Exercise.
(a) Notwithstanding anything to the contrary contained herein, the Company shall not effect any exercise of this Warrant, and the Holder shall not be entitled to exercise this Warrant for a number of Warrant Shares in excess of that number of Warrant Shares which, upon giving effect or immediately prior to such exercise, would result in (i) the aggregate number of shares of Common Stock beneficially owned by the Holder, its Affiliates and any other Persons whose beneficial ownership of shares of Common Stock would be aggregated with the Holder’s for purposes of Section 13(d) of the Exchange Act (such as any other members of a Section 13(d) “group”) exceeding 4.99% (the “Maximum Percentage”) of the total number of issued and outstanding shares of Common Stock of the Company following such exercise, or (ii) the combined voting power of the securities of the Company beneficially owned by the Holder and its Affiliates and any other Persons whose beneficial ownership of shares of Common Stock would be aggregated with the Holder’s for purposes of Section 13(d) of the Exchange Act (such as any other members of a Section 13(d) “group”) exceeding 4.99% of the combined voting power of all of the securities of the Company then outstanding following such exercise. For purposes of this Warrant, in determining the number of outstanding shares of Common Stock, the Holder may rely on the number of outstanding shares of Common Stock as reflected in (x) the Company’s most recent Form 10-Q or Form 10-K, as the case may be, filed with the Commission prior to the date hereof, (y) a more recent public announcement by the Company or (z) any other notice by the Company or its transfer agent setting forth the number of shares of Common Stock outstanding. Upon the written request of the Holder, the Company shall within three (3) Trading Days confirm in writing or by electronic mail to the Holder the number of shares of Common Stock then outstanding. In any case, the number of outstanding shares of Common Stock shall be determined after giving effect to the conversion or exercise of securities of the Company, including this Warrant, by the Holder since the date as of which such number of outstanding shares of Common Stock was reported. By written notice to the Company, the Holder may from time to time increase or decrease the Maximum Percentage to any other percentage specified not in excess of 9.99% specified in such notice; provided that any such increase will not be effective until the sixty-first (61st) day after such notice is delivered to the Company. For purposes of this Section 11(a), the aggregate number of shares of Common Stock or voting securities beneficially owned by the Holder and its Affiliates and any other Persons whose beneficial ownership of shares of Common Stock would be aggregated with the Holder’s for purposes of Section 13(d) of the Exchange Act (such as any other members of a Section 13(d) “group”) shall include the shares of Common Stock issuable upon the exercise of this Warrant with respect to which such determination is being made, but shall exclude the number of shares of Common Stock which would be issuable upon (x) exercise of the remaining unexercised and non-cancelled portion of this Warrant by the Holder and (y) exercise or conversion of the unexercised, non-converted or non-cancelled portion of any other securities of the Company that do not have voting power (including without limitation any securities of the Company which would entitle the holder thereof to acquire at any time shares of Common Stock, including without limitation any debt, preferred stock, right, option, warrant or other instrument that is at any time convertible into or exercisable or exchangeable for, or otherwise entitles the holder thereof to receive, shares of Common Stock), is subject to a limitation on conversion or exercise analogous to the limitation contained herein and is beneficially owned by the Holder or any of its Affiliates and other Persons whose beneficial ownership of shares of Common Stock would be aggregated with the Holder’s for purposes of Section 13(d) of the Exchange Act (such as any other members of a Section 13(d) “group”).
(b) This Section 11 shall not restrict the number of shares of Common Stock which a Holder may receive or beneficially own in order to determine the amount of securities or other consideration that such Holder may receive in the event of a Fundamental Transaction as contemplated in Section 9(c) of this Warrant.
12. No Fractional Shares. No fractional Warrant Shares will be issued in connection with any exercise of this Warrant. In lieu of any fractional shares that would otherwise be issuable, the number of Warrant Shares to be issued shall be rounded down to the next whole number and the Company shall pay the Holder in cash the fair market value (based on the last VWAP immediately preceding the time of delivery of the applicable Exercise Notice) for any such fractional shares.
13. Notices. Any and all notices or other communications or deliveries hereunder (including, without limitation, any Exercise Notice) shall be in writing and shall be deemed given and effective on the earliest of (i) the date of transmission, if such notice or communication is delivered via confirmed e-mail prior to 5:30 P.M., New York City time, on a Trading Day, (ii) the next Trading Day after the date of transmission, if such notice or communication is delivered via confirmed e-mail on a day that is not a Trading Day or later than 5:30 P.M., New York City time, on any Trading Day, (iii) the Trading Day following the date of mailing, if sent by nationally recognized overnight courier service specifying next business day delivery, or (iv) upon actual receipt by the Person to whom such notice is required to be given, if by hand delivery. The addresses and e-mail addresses for such communications shall be:
If to the Company:
BioXcel Therapeutics, Inc.
555 Long Wharf Drive
New Haven, CT 06511
Attention: Javier Rodriguez, Senior Vice President,
Chief Legal Officer and Corporate Secretary
Email: [***]
With a copy (which will not constitute notice) to:
Honigman LLP
1440 New York Ave. NW Suite 200
Washington, DC 20005
Attn: N. Danny Shulman
Email: [***]
If to the Holder, to its address or e-mail address set forth herein or on the books and records of the Company.
Or, in each of the above instances, to such other address or e-mail address as the recipient party has specified by written notice given to each other party at least five (5) days prior to the effectiveness of such change.
14. Warrant Agent. The Company shall initially serve as warrant agent under this Warrant. Upon ten (10) days’ notice to the Holder, the Company may appoint a new warrant agent. Any corporation into which the Company or any new warrant agent may be merged or any corporation resulting from any consolidation to which the Company or any new warrant agent shall be a party or any corporation to which the Company or any new warrant agent transfers substantially all of its corporate trust or stockholders services business shall be a successor warrant agent under this Warrant without any further act. Any such successor warrant agent shall promptly cause notice of its succession as warrant agent to be mailed (by first class mail, postage prepaid) to the Holder at the Holder’s last address as shown on the Warrant Register.
15. Miscellaneous.
(a) No Rights as a Stockholder. The Holder, solely in such Person’s capacity as a holder of this Warrant, shall not be entitled to vote or receive dividends or be deemed the holder of capital stock of the Company for any purpose, nor shall anything contained in this Warrant be construed to confer upon the Holder, solely in such Person’s capacity as the Holder of this Warrant, any of the rights of a stockholder of the Company or any right to vote, give or withhold consent to any corporate action (whether any reorganization, issue of stock, reclassification of stock, consolidation, merger, amalgamation, conveyance or otherwise), receive notice of meetings, receive dividends or subscription rights, or otherwise, prior to the issuance to the Holder of the Warrant Shares which such Person is then entitled to receive upon the due exercise of this Warrant. In addition, nothing contained in this Warrant shall be construed as imposing any liabilities on the Holder to purchase any securities (upon exercise of this Warrant or otherwise) or as a stockholder of the Company, whether such liabilities are asserted by the Company or by creditors of the Company.
(b) Authorized Shares. Except and to the extent as waived or consented to by the Holder, the Company shall not by any action, including, without limitation, amending its certificate or articles of incorporation or through any reorganization, transfer of assets, consolidation, merger, amalgamation, dissolution, issue or sale of securities or any other voluntary action, avoid or seek to avoid the observance or performance of any of the terms of this Warrant, but will at all times in good faith assist in the carrying out of all such terms and in the taking of all such actions as may be necessary or appropriate to protect the rights of Holder as set forth in this Warrant against impairment. Without limiting the generality of the foregoing, the Company will (i) not increase the par value of any Warrant Shares above the amount payable therefor upon such exercise immediately prior to such increase in par value, (ii) take all such action as may be necessary or appropriate in order that the Company may validly and legally issue fully paid and non-assessable Warrant Shares upon the exercise of this Warrant, and (iii) use commercially reasonable efforts to obtain all such authorizations, exemptions or consents from any public regulatory body having jurisdiction thereof as may be necessary to enable the Company to perform its obligations under this Warrant.
(c) Successors and Assigns. Subject to compliance with applicable securities laws, this Warrant may be assigned by the Holder. This Warrant may not be assigned by the Company without the written consent of the Holder, except to a successor in the event of a Fundamental Transaction in which this Warrant is not automatically “cashless exercised”. This Warrant shall be binding on and inure to the benefit of the Company and the Holder and their respective successors and assigns. Subject to the preceding sentence, nothing in this Warrant shall be construed to give to any Person other than the Company and the Holder any legal or equitable right, remedy or cause of action under this Warrant. This Warrant may be amended only in writing signed by the Company and the Holder, or their successors and assigns.
(d) Amendment and Waiver. Except as otherwise provided herein, this Warrant may be modified or amended or the provisions hereof waived with the written consent of the Company and the Holder.
(e) Acceptance. Receipt of this Warrant by the Holder shall constitute acceptance of and agreement to all of the terms and conditions contained herein.
(f) Governing Law; Jurisdiction. ALL QUESTIONS CONCERNING THE CONSTRUCTION, VALIDITY, ENFORCEMENT AND INTERPRETATION OF THIS WARRANT SHALL BE GOVERNED BY AND CONSTRUED AND ENFORCED IN ACCORDANCE WITH THE LAWS OF THE STATE OF NEW YORK WITHOUT REGARD TO THE PRINCIPLES OF CONFLICTS OF LAW THEREOF. EACH OF THE COMPANY AND THE HOLDER HEREBY IRREVOCABLY SUBMITS TO THE EXCLUSIVE JURISDICTION OF THE STATE AND FEDERAL COURTS SITTING IN THE CITY OF NEW YORK, BOROUGH OF MANHATTAN, FOR THE ADJUDICATION OF ANY DISPUTE HEREUNDER OR IN CONNECTION HEREWITH OR WITH ANY TRANSACTION CONTEMPLATED HEREBY OR DISCUSSED HEREIN (INCLUDING WITH RESPECT TO THE ENFORCEMENT OF ANY OF THE TRANSACTION DOCUMENTS), AND HEREBY IRREVOCABLY WAIVES, AND AGREES NOT TO ASSERT IN ANY SUIT, ACTION OR PROCEEDING, ANY CLAIM THAT IT IS NOT PERSONALLY SUBJECT TO THE JURISDICTION OF ANY SUCH COURT. EACH OF THE COMPANY AND THE HOLDER HEREBY IRREVOCABLY WAIVES PERSONAL SERVICE OF PROCESS AND CONSENTS TO PROCESS BEING SERVED IN ANY SUCH SUIT, ACTION OR PROCEEDING BY MAILING A COPY THEREOF VIA REGISTERED OR CERTIFIED MAIL OR OVERNIGHT DELIVERY (WITH EVIDENCE OF DELIVERY) TO SUCH PERSON AT THE ADDRESS IN EFFECT FOR NOTICES TO IT AND AGREES THAT SUCH SERVICE SHALL CONSTITUTE GOOD AND SUFFICIENT SERVICE OF PROCESS AND NOTICE THEREOF. NOTHING CONTAINED HEREIN SHALL BE DEEMED TO LIMIT IN ANY WAY ANY RIGHT TO SERVE PROCESS IN ANY MANNER PERMITTED BY LAW. EACH OF THE COMPANY AND THE HOLDER HEREBY WAIVES ALL RIGHTS TO A TRIAL BY JURY.
(g) Headings. The headings herein are for convenience only, do not constitute a part of this Warrant and shall not be deemed to limit or affect any of the provisions hereof.
(h) Severability. In case any one or more of the provisions of this Warrant shall be invalid or unenforceable in any respect, the validity and enforceability of the remaining terms and provisions of this Warrant shall not in any way be affected or impaired thereby, and the Company and the Holder will attempt in good faith to agree upon a valid and enforceable provision which shall be a commercially reasonable substitute therefor, and upon so agreeing, shall incorporate such substitute provision in this Warrant.
[REMAINDER OF PAGE INTENTIONALLY LEFT BLANK]
IN WITNESS WHEREOF, the Company has caused this Warrant to be duly executed by its authorized officer as of the date first indicated above.
| BIOXCEL THERAPEUTICS, INC. | ||
| By: | /s/ Richard Steinhart | |
| Name: | Richard Steinhart | |
| Title: | Senior Vice President and Chief Financial Officer | |
Schedule 1
FORM OF EXERCISE NOTICE
[To be executed by the Holder to purchase shares of Common Stock under the Warrant]
Ladies and Gentlemen:
(1) The undersigned is the Holder of Warrant No. CS-___ (the “Warrant”) issued by BioXcel Therapeutics, Inc., a Delaware corporation (the “Company”). Capitalized terms used
(2) The undersigned hereby exercises its right to purchase ___________ Warrant Shares pursuant to the Warrant.
(3) The Holder intends that payment of the Exercise Price shall be made as (check one):
¨ Cash Exercise
¨ “Cashless Exercise” under Section 10 of the Warrant
(4) Pursuant to this Exercise Notice, the Company shall deliver to the Holder Warrant Shares determined in accordance with the terms of the Warrant. The Warrant Shares shall be delivered to the following DWAC Account Number:
(5) By its delivery of this Exercise Notice, the undersigned represents and warrants to the Company that in giving effect to the exercise evidenced hereby the Holder will not beneficially own in excess of the number of shares of Common Stock (as determined in accordance with Section 13(d) of the Securities Exchange Act of 1934, as amended) permitted to be owned under Section 11(a) of the Warrant to which this notice relates.
| Dated: |
| Name of Holder: |
| By: | ||
| Name: | ||
| Title: |
(Signature must conform in all respects to name of Holder as specified on the face of the Warrant)
Exhibit 4.2
Final Form
BIOXCEL THERAPEUTICS, INC.
PRE-FUNDED WARRANT TO PURCHASE SHARES OF COMMON STOCK
| Warrant No. PFCS-[ ● ] | Number of Shares: [ ● ] |
| (subject to adjustment) | |
| Date of Issuance: March 4, 2025 |
BioXcel Therapeutics, Inc., a Delaware corporation (the “Company”), hereby certifies that, for good and valuable consideration, the receipt and sufficiency of which are hereby acknowledged, [ ● ] or its registered assigns (the “Holder”), is entitled, subject to the terms set forth below, to purchase from the Company up to a total of [ ● ] shares of common stock, $0.001 par value per share (the “Common Stock”) of the Company (each such share, a “Warrant Share” and all such shares, the “Warrant Shares”) at an exercise price per share equal to $0.001 per share (as adjusted from time to time as provided in Section 9 herein, the “Exercise Price”) upon surrender of this Warrant to Purchase Shares of Common Stock (including any Warrants to Purchase Shares of Common Stock issued in exchange, transfer or replacement hereof, the “Warrant”) at any time and from time to time on or after the date hereof (the “Original Issue Date”), subject to the following terms and conditions:
1. Definitions. For purposes of this Warrant, the following terms shall have the following meanings:
(a) “Affiliate” means any Person directly or indirectly controlled by, controlling or under common control with, a Holder, as such terms are used in and construed under Rule 405 under the Securities Act, but only for so long as such control shall continue. For purposes of this definition, “control” (including, with correlative meanings, “controlled by,” “controlling” and “under common control with”) means, with respect to a Person, possession, direct or indirect, of (a) the power to direct or cause direction of the management and policies of such Person (whether through ownership of securities or partnership or other ownership interests, by contract or otherwise), or (b) at least 50% of the voting securities (whether directly or pursuant to any option, warrant, or other similar arrangement) or other comparable equity interests.
(b) “Commission” means the United States Securities and Exchange Commission.
(c) “Marketable Securities” means securities meeting all of the following requirements: (i) the issuer thereof is then subject to the reporting requirements of Section 13 or Section 15(d) of the Securities Exchange Act of 1934, as amended (the “Exchange Act”), and is then current in its filing of all required reports and other information under the Securities Act and the Exchange Act; (ii) the class and series of shares or other security of the issuer that would be received by Holder in connection with the Fundamental Transaction (as defined below) were Holder to exercise this Warrant on or prior to the closing thereof is then traded or quoted on a nationally recognized securities exchange, inter-dealer quotation system or over-the-counter market, and (iii) following the closing of such Fundamental Transaction, the Holder would not be restricted from publicly re-selling all of the issuer’s shares and/or other securities that would be received by the Holder in such Fundamental Transaction were the Holder to exercise or convert this Warrant in full on or prior to the closing of such Fundamental Transaction, except to the extent that any such restriction (x) arises solely under federal or state securities laws, rules or regulations, and (y) does not extend beyond six (6) months from the closing of such Fundamental Transaction.
(d) “Principal Trading Market” means the national securities exchange or other trading market on which the shares of Common Stock are primarily listed on and quoted for trading, which, as of the Original Issue Date, shall be the Nasdaq Capital Market.
(e) “Registration Statement” means the Company’s Registration Statement on Form S-3 (File No. 333-275261), filed with the Commission on November 2, 2023.
(f) “Securities Act” means the Securities Act of 1933, as amended.
(g) “Trading Day” means any weekday on which the Principal Trading Market is open for trading. If the shares of Common Stock are not listed or admitted for trading, “Trading Day” means any day except any Saturday, any Sunday, any day which is a federal legal holiday in the United States or any day on which banking institutions in New York City are authorized or required by law or other governmental action to close.
(h) “Transfer Agent” means Equiniti Trust Company, LLC, the Company’s transfer agent and registrar for the Common Stock, and any successor appointed in such capacity.
(i) “VWAP” means, for any date, the price determined by the first of the following clauses that applies: (i) if the Common Stock is then listed or quoted on a national securities exchange or other trading market, the daily volume weighted average price of the Common Stock for such date (or the nearest preceding date) on the Principal Trading Market as reported by Bloomberg L.P. (based on a Trading Day from 9:30 a.m. (New York City time) to 4:02 p.m. (New York City time)), (ii) if the Common Stock is then listed or quoted for trading and neither OTCQB nor OTCQX is the Principal Trading Market, the volume weighted average price of the Common Stock for such date (or the nearest preceding date) on OTCQB or OTCQX, as applicable, (iii) if the Common Stock is not then listed or quoted for trading on OTCQB or OTCQX and if prices for the Common Stock are then reported in the “Pink Sheets” published by OTC Markets Group, Inc. (or a similar organization or agency succeeding to its functions of reporting prices), the most recent bid price per share of the Common Stock so reported, or (iv) in all other cases, the fair market value of a share of Common Stock as determined by an independent appraiser selected in good faith by the Holder and reasonably acceptable to the Company, the fees and expenses of which shall be paid by the Company.
2. Issuance of Securities; Registration of Warrants. This Warrant, as initially issued by the Company, is offered and sold pursuant to the Registration Statement. As of the Original Issue Date, the Warrant Shares are issuable under the Registration Statement. Accordingly, the Warrant and, assuming issuance pursuant to the Registration Statement or an exchange meeting the requirements of Section 3(a)(9) of the Securities Act as in effect on the Original Issue Date, the Warrant Shares, are not “restricted securities” under Rule 144 promulgated under the Securities Act. The Company shall register ownership of this Warrant, upon records to be maintained by the Company for that purpose (the “Warrant Register”), in the name of the record Holder (which shall include the initial Holder or, as the case may be, any assignee to which this Warrant is assigned hereunder) from time to time. The Company may deem and treat the registered Holder of this Warrant as the absolute owner hereof for the purpose of any exercise hereof or any distribution to the Holder, and for all other purposes, absent actual notice to the contrary.
3. Registration of Transfers. Subject to compliance with all applicable securities laws, the Company shall, or will cause its Transfer Agent to, register the transfer of all or any portion of this Warrant in the Warrant Register, upon surrender of this Warrant, and payment for all applicable taxes (if any). Upon any such registration or transfer, a new warrant to purchase shares of Common Stock in substantially the form of this Warrant (any such new warrant, a “New Warrant”) evidencing the portion of this Warrant so transferred shall be issued to the transferee, and a New Warrant evidencing the remaining portion of this Warrant not so transferred, if any, shall be issued to the transferring Holder. The acceptance of the New Warrant by the transferee thereof shall be deemed the acceptance by such transferee of all of the rights and obligations in respect of the New Warrant that the Holder has in respect of this Warrant. The Company shall, or will cause its Transfer Agent to, prepare, issue and deliver at the Company’s own expense any New Warrant under this Section 3. Until due presentment for registration of transfer, the Company may treat the registered Holder hereof as the owner and holder for all purposes, and the Company shall not be affected by any notice to the contrary.
4. Exercise and Duration of Warrants.
(a) All or any part of this Warrant shall be exercisable by the registered Holder in the manner set forth herein at any time and from time to time on or after the Original Issue Date.
(b) The Holder may exercise this Warrant by delivering to the Company (i) an exercise notice, in the form attached as Schedule 1 hereto (the “Exercise Notice”), completed and duly signed, and (ii) payment of the Exercise Price for the number of Warrant Shares as to which this Warrant is being exercised (which may take the form of a “cashless exercise” if so indicated in the Exercise Notice pursuant to Section 10 below), and the date on which the last of such items is delivered to the Company (as determined in accordance with the notice provisions hereof) is an “Exercise Date.” No later than one Trading Day following the delivery of such Exercise Notice, the Holder shall deliver to the Company payment of the Exercise Price for the number of Warrant Shares as to which this Warrant is being exercised by wire transfer or cashier’s check drawn on a United States bank unless the cashless exercise procedures specified in Section 10 below is specified in the applicable Exercise Notice. The Holder shall not be required to deliver the original Warrant in order to effect an exercise hereunder. No ink original Exercise Notice shall be required, nor shall any medallion guarantee (or other type of guarantee or notarization) of any Exercise Notice be required. Execution and delivery of the Exercise Notice shall have the same effect as cancellation of the original Warrant and issuance of a New Warrant evidencing the right to purchase the remaining number of Warrant Shares, if any. The Holder and any assignee, by acceptance of this Warrant, acknowledge and agree that, by reason of the provisions of this paragraph, following the purchase of a portion of the Warrant Shares hereunder, the number of Warrant Shares available for purchase hereunder at any given time may be less than the amount stated on the face hereof.
5. Delivery of Warrant Shares.
(a) Upon exercise of this Warrant, the Company shall promptly (but in no event later than one (1) Trading Day after the Exercise Date), upon the request of the Holder, credit such aggregate number of shares of Common Stock to which the Holder is entitled pursuant to such exercise to the Holder’s or its designee’s balance account with The Depository Trust Company (“DTC”) through its Deposit Withdrawal Agent Commission system, or if the Transfer Agent is not participating in the Fast Automated Securities Transfer Program (the “FAST Program”), issue and dispatch by overnight courier to the address as specified in the Exercise Notice, a certificate, registered in the Company’s share register in the name of the Holder or its designee, for the number of shares of Common Stock to which the Holder is entitled pursuant to such exercise. The Holder, or any natural person or legal entity (each, a “Person”) so designated by the Holder to receive Warrant Shares, shall be deemed to have become the holder of record of such Warrant Shares as of the Exercise Date, irrespective of the date such Warrant Shares are credited to the Holder’s DTC account or the date of delivery of the certificates evidencing such Warrant Shares, as the case may be.
(b) If by the close of the first (1st) Trading Day after the Exercise Date, the Company fails to deliver to the Holder a certificate representing the required number of Warrant Shares in the manner required pursuant to Section 5(a) or fails to credit the Holder’s DTC account for such number of Warrant Shares to which the Holder is entitled, and if after such first (1st) Trading Day and prior to the receipt of such Warrant Shares, the Holder purchases (in an open market transaction, provided such purchases shall be made in a commercially reasonable manner at prevailing market prices) shares of Common Stock to deliver in satisfaction of a sale by the Holder of the Warrant Shares which the Holder anticipated receiving upon such exercise (a “Buy-In”), then the Company shall, within one (1) Trading Day after the Holder’s request, in the Holder’s sole discretion, either (i) pay cash to the Holder in an amount equal to the Holder’s total purchase price (including commercially reasonable brokerage commissions, if any) for the shares of Common Stock so purchased, at which point the Company’s obligation to deliver such Warrant Shares shall terminate, or (ii) (A) pay in cash to the Holder the amount, if any, by which (1) the Holder’s total purchase price (including commercially reasonable brokerage commissions, if any) for the shares of Common Stock purchased in the Buy-In exceeds (2) the product of (x) the number of Warrant Shares that the Company was required to deliver to the Holder in connection with the exercise at issue, times (y) the price at which the sell order giving rise to such purchase obligation was executed (assuming such sale was executed on commercially reasonable terms at prevailing market prices and, if the sale was executed in multiple transactions, the volume weighted average price), and (B) at the option of the Holder, either (1) reinstate the portion of the Warrant and equivalent number of Warrant Shares for which such exercise was not honored (in which case such exercise shall be deemed rescinded) or (2) deliver to the Holder the number of shares of Common Stock that would have been issued had the Company timely complied with its exercise and delivery obligations hereunder.
(c) To the extent permitted by law and subject to Section 5(b), the Company’s obligations to issue and deliver Warrant Shares in accordance with and subject to the terms hereof (including the limitations set forth in Section 11 below) are absolute and unconditional, irrespective of any action or inaction by the Holder to enforce the same, any waiver or consent with respect to any provision hereof, the recovery of any judgment against any Person or any action to enforce the same, or any setoff, counterclaim, recoupment, limitation or termination, or any breach or alleged breach by the Holder or any other Person of any obligation to the Company or any violation or alleged violation of law by the Holder or any other Person, and irrespective of any other circumstance that might otherwise limit such obligation of the Company to the Holder in connection with the issuance of Warrant Shares. Subject to Section 5(b), nothing herein shall limit the Holder’s right to pursue any other remedies available to it hereunder, at law or in equity including, without limitation, a decree of specific performance and/or injunctive relief with respect to the Company’s failure to timely deliver certificates representing shares of Common Stock upon exercise of the Warrant as required pursuant to the terms hereof.
6. Charges, Taxes and Expenses.
(a) Issuance and delivery of certificates for shares of Common Stock upon exercise of this Warrant shall be made without charge to the Holder for any issue or transfer tax, transfer agent fee or other similar incidental tax or expense (excluding any applicable stamp duties) in respect of the issuance of such certificates, all of which taxes and expenses shall be paid by the Company; provided, however, that the Company shall not be required to pay any tax that may be payable in respect of any transfer involved in the registration of any certificates for Warrant Shares or the Warrants in a name other than that of the Holder thereof. The Holder shall be responsible for all other tax liability that may arise as a result of holding or transferring this Warrant or receiving Warrant Shares upon exercise hereof.
(b) Each Holder agrees that applicable withholding taxes (including backup withholding) may be withheld from payments and deemed payments on or with respect to this Warrant, and if any such withholding taxes (including backup withholding) are paid on behalf of the Holder, then those withholding taxes may be set off against payments of cash or the delivery of shares of Common Stock or other consideration, if any, in respect of this Warrant (or any payments on Common Stock) or sales proceeds received by, or other funds or assets of, the Holder.
(c) On the Original Issue Date (or in the case of any transferee, the date such transferee becomes Holder), and thereinafter upon reasonable request or as required under applicable law, to the extent permitted by applicable law, tax forms or other documentation (including any applicable IRS Form W-8/W-9) reasonably satisfactory to the Company or other applicable withholding agent to establish an exemption from United States withholding tax on payments and deliveries hereunder as well as an exemption from, or a reduction in the rate of, U.S. withholding that may apply to any dividend or constructive dividend (e.g., under Section 305(c) of the Internal Revenue Code of 1986, as amended). The Company may determine in its reasonable discretion the amount and the timing of any such constructive dividend.
7. Replacement of Warrant. If this Warrant is mutilated, lost, stolen or destroyed, the Company shall issue or cause to be issued in exchange and substitution for and upon cancellation hereof, or in lieu of and substitution for this Warrant, a New Warrant, but only upon receipt of evidence reasonably satisfactory to the Company of such loss, theft or destruction (in such case) and, in each case, a customary and reasonable indemnity and surety bond, if requested by the Company. Applicants for a New Warrant under such circumstances shall also comply with such other reasonable regulations and procedures and pay such other reasonable third-party costs as the Company may prescribe. If a New Warrant is requested as a result of a mutilation of this Warrant, then the Holder shall deliver such mutilated Warrant to the Company as a condition precedent to the Company’s obligation to issue the New Warrant.
8. Reservation of Warrant Shares. The Company covenants that it will, at all times while this Warrant is issued and outstanding, reserve and keep available out of the aggregate of its authorized but unissued and otherwise unreserved shares of Common Stock, solely for the purpose of enabling it to issue Warrant Shares upon exercise of this Warrant as herein provided, the number of Warrant Shares that are initially issuable and deliverable upon the exercise of this entire Warrant, free from preemptive rights or any other contingent purchase rights of persons other than the Holder (taking into account the adjustments and restrictions of Section 9). The Company covenants that all Warrant Shares so issuable and deliverable shall, upon issuance and the payment of the applicable Exercise Price in accordance with the terms hereof, be duly and validly authorized, issued and fully paid and non-assessable. The Company will take all such action as may be reasonably necessary to assure that such shares of Common Stock may be issued as provided herein without violation of any applicable law or regulation, or of any requirements of any securities exchange or automated quotation system upon which the shares of Common Stock may be listed. The Company further covenants that it will not, without the prior written consent of the Holder, take any actions to increase the par value of the shares of Common Stock at any time while this Warrant is issued and outstanding.
9. Certain Adjustments. The Exercise Price and number of Warrant Shares issuable upon exercise of this Warrant are subject to adjustment from time to time as set forth in this Section 9.
(a) Stock Dividends and Splits. If the Company, at any time while this Warrant is issued and outstanding, (i) pays a stock dividend on its shares of Common Stock or otherwise makes a distribution on any class of capital shares issued and outstanding on the Original Issue Date and in accordance with the terms of such stock on the Original Issue Date or as amended, as described in the Registration Statement, that is payable in shares of Common Stock, (ii) subdivides its issued and outstanding shares of Common Stock into a larger number of shares of Common Stock, (iii) combines its issued and outstanding shares of Common Stock into a smaller number of shares of Common Stock or (iv) issues by reclassification of capital shares any additional shares of Common Stock of the Company, then in each such case the number of Warrant Shares shall be multiplied by a fraction, the numerator of which shall be the number of shares of Common Stock issued and outstanding immediately before such event and the denominator of which shall be the number of shares of Common Stock issued and outstanding immediately after such event. Any adjustment made pursuant to clause (i) of this paragraph shall become effective immediately after the record date for the determination of stockholders entitled to receive such dividend or distribution, provided, however, that if such record date shall have been fixed and such dividend is not fully paid on the date fixed therefor, the number of Warrant Shares shall be recomputed accordingly as of the close of business on such record date and thereafter the number of Warrant Shares shall be adjusted pursuant to this paragraph as of the time of actual payment of such dividends. Any adjustment pursuant to clause (ii), (iii) or (iv) of this paragraph shall become effective immediately after the effective date of such subdivision or combination or reclassification.
(b) Pro Rata Distributions. If the Company, at any time while this Warrant is issued and outstanding, distributes to all holders of shares of Common Stock for no consideration (i) evidences of its indebtedness, (ii) any security (other than a distribution of shares of Common Stock covered by the preceding paragraph), (iii) rights or warrants to subscribe for or purchase any security, or (iv) cash or any other asset (in each case, “Distributed Property”), then, upon any exercise of this Warrant that occurs after the record date fixed for determination of stockholders entitled to receive such distribution, the Holder shall be entitled to receive, in addition to the Warrant Shares otherwise issuable upon such exercise (if applicable), the Distributed Property that such Holder would have been entitled to receive in respect of such number of Warrant Shares had the Holder been the record holder of such Warrant Shares immediately prior to such record date without regard to any limitation on exercise contained therein.
(c) Fundamental Transactions. If, at any time while this Warrant is issued and outstanding (i) the Company effects any merger or consolidation of the Company with or into another Person, in which the Company is not the surviving entity and in which the stockholders of the Company immediately prior to such merger or consolidation do not own, directly or indirectly, at least 50% of the outstanding capital stock or at least 50% of the voting power of the surviving entity immediately after such merger or consolidation, (ii) the Company effects any sale to another Person of all or substantially all of its assets in one transaction or a series of related transactions, (iii) pursuant to any tender offer or exchange offer (whether by the Company or another Person), holders of capital stock tender shares representing more than 50% of the outstanding capital stock of the Company or more than 50% of the voting power of the capital stock of the Company and the Company or such other Person, as applicable, accepts such tender for payment, (iv) the Company consummates a share purchase agreement or other business combination (including, without limitation, a reorganization, recapitalization, spin-off or scheme of arrangement) with another Person whereby such other Person acquires more than 50% of the outstanding capital stock of the Company or more than 50% of the voting power of the capital stock of the Company (except for any such transaction in which the stockholders of the Company immediately prior to such transaction maintain, in substantially the same proportions, the voting power of such Person immediately after the transaction) or (v) the Company effects any reclassification of the shares of Common Stock or any compulsory share exchange pursuant to which the shares of Common Stock are effectively converted into or exchanged for other securities, cash or property (other than as a result of a subdivision or combination of shares of Common Stock covered by Section 9(a) above) (in any such case, a “Fundamental Transaction”), then following such Fundamental Transaction the Holder shall have the right to receive, upon exercise of this Warrant, the same amount and kind of securities, cash or property as it would have been entitled to receive upon the occurrence of such Fundamental Transaction if it had been, immediately prior to such Fundamental Transaction, the holder of the number of Warrant Shares then issuable upon exercise in full of this Warrant without regard to any limitations on exercise contained herein (the “Alternate Consideration”). The Company shall not effect any Fundamental Transaction in which the Company is not the surviving entity or the Alternate Consideration includes securities of another Person unless (i) the Alternate Consideration consists solely of cash, solely of Marketable Securities or a combination of cash and Marketable Securities or (ii) prior to, simultaneously with or promptly following the consummation thereof, any successor to the Company, surviving entity or other Person (including any purchaser of assets of the Company) shall assume the obligation to deliver to the Holder such Alternate Consideration as, in accordance with the foregoing provisions, the Holder may be entitled to receive, and the other obligations under this Warrant. The provisions of this Section 9(c) shall similarly apply to subsequent transactions analogous of a Fundamental Transaction type. Notwithstanding anything to the contrary, in the event of a Fundamental Transaction where the consideration payable to holders of shares of Common Stock consists solely of cash, solely of Marketable Securities or a combination of cash and Marketable Securities, then this Warrant shall automatically be deemed to be exercised in full in a “cashless exercise” pursuant to Section 10 below effective immediately prior to and contingent upon the consummation of such Fundamental Transaction.
(d) Exercise Price. Simultaneously with any adjustment to the number of Warrant Shares pursuant to Section 9, the Exercise Price shall be increased or decreased proportionately, so that after such adjustment the aggregate Exercise Price payable hereunder for the increased or decreased number of Warrant Shares shall be the same as the aggregate Exercise Price in effect immediately prior to such adjustment. Notwithstanding the foregoing, in no event may the Exercise Price be adjusted below the par value of the shares of Common Stock then in effect.
(e) Calculations. All calculations under this Section 9 shall be made to the nearest one-millionth of one cent or the nearest share, as applicable.
(f) Notice of Adjustments. Upon the occurrence of each adjustment pursuant to this Section 9, the Company at its expense will, at the written request of the Holder, promptly compute such adjustment, in good faith, in accordance with the terms of this Warrant and prepare a certificate setting forth such adjustment, including a statement of the adjusted Exercise Price and adjusted number or type of Warrant Shares or other securities issuable upon exercise of this Warrant (as applicable), describing the transactions giving rise to such adjustments and showing in detail the facts upon which such adjustment is based. Upon written request, the Company will promptly deliver a copy of each such certificate to the Holder and to the Company’s transfer agent.
(g) Notice of Corporate Events. If, while this Warrant is issued and outstanding, the Company (i) declares a dividend or any other distribution of cash, securities or other property in respect of its shares of Common Stock, including, without limitation, any granting of rights or warrants to subscribe for or purchase any capital stock of the Company or any subsidiary, (ii) authorizes or approves, enters into any agreement contemplating or solicits stockholder approval for any Fundamental Transaction or (iii) authorizes the voluntary dissolution, liquidation or winding up of the affairs of the Company, then, except if such notice and the contents thereof shall be deemed to constitute material non-public information, the Company shall deliver to the Holder a notice of such transaction at least ten (10) days prior to the applicable record or effective date on which a Person would need to hold shares of Common Stock in order to participate in or vote with respect to such transaction; provided, however, that the failure to deliver such notice or any defect therein shall not affect the validity of the corporate action required to be described in such notice. In addition, if while this Warrant is issued and outstanding, the Company authorizes or approves, enters into any agreement contemplating or solicits stockholder approval for any Fundamental Transaction contemplated by Section 9(c), other than a Fundamental Transaction under clause (iii) of Section 9(c), then, except if such notice and the contents thereof shall be deemed to constitute material non-public information, the Company shall deliver to the Holder a notice of such Fundamental Transaction at least ten (10) days prior to the date such Fundamental Transaction is consummated.
(h) Subsequent Rights Offerings. In addition to any adjustments pursuant to Section 9(a) above, if at any time the Company grants, issues or sells any Common Stock Equivalents or rights to purchase stock, warrants, securities or other property pro rata to the record holders of any class of shares of Common Stock (the “Purchase Rights”), then the Holder will be entitled to acquire, upon the terms applicable to such Purchase Rights, the aggregate Purchase Rights which the Holder could have acquired if the Holder had held the number of shares of Common Stock acquirable upon complete exercise of this Warrant (without regard to any limitations on exercise hereof, including without limitation, the Maximum Percentage) immediately before the date on which a record is taken for the grant, issuance or sale of such Purchase Rights, or, if no such record is taken, the date as of which the record holders of shares of Common Stock are to be determined for the grant, issue or sale of such Purchase Rights (provided, however, that to the extent that the Holder’s right to participate in any such Purchase Right would result in the Holder exceeding the Maximum Percentage, then the Holder shall not be entitled to participate in such Purchase Right to such extent (or beneficial ownership of such shares of Common Stock as a result of such Purchase Right to such extent) and such Purchase Right to such extent shall be held in abeyance for the Holder until such time, if ever, as its right thereto would not result in the Holder exceeding the Maximum Percentage).
10. Payment of Cashless Exercise Price. Notwithstanding anything contained herein to the contrary, the Holder may, in its sole discretion, satisfy its obligation to pay the Exercise Price through a “cashless exercise” in which event the Holder shall be entitled to receive a number of Warrant Shares in an exchange of securities effected pursuant to Section 3(a)(9) of the Securities Act as determined as follows:

where:
“X” equals the number of Warrant Shares to be issued to the Holder;
“Y” equals the total number of Warrant Shares with respect to which this Warrant is then being exercised (determined solely for purposes of this definition as if the Warrant were exercised by means of a cash exercise rather than a cashless basis);
“A” equals the last VWAP immediately preceding the delivery of the applicable Exercise Notice (to clarify, the “last VWAP” will be the last VWAP as calculated over an entire Trading Day such that, in the event that this Warrant is exercised at a time that the Trading Market is open, the prior Trading Day’s VWAP shall be used in this calculation); and
“B” equals the Exercise Price per Warrant Share then in effect on the Exercise Date.
For purposes of Rule 144 promulgated under the Securities Act, it is intended, understood and acknowledged that the Warrant Shares issued in such a “cashless exercise” transaction shall take on the registered characteristics of the Warrants being exercised and shall be deemed to have been acquired by the Holder, and the holding period for the Warrant Shares shall be deemed to have commenced, on the date this Warrant was originally issued (provided that the Commission continues to take the position that such treatment is proper at the time of such exercise).
Except as set forth in Section 5(b) or Section 12, in no event will the exercise of this Warrant be settled in cash.
11. Limitations on Exercise.
(a) Notwithstanding anything to the contrary contained herein, the Company shall not effect any exercise of this Warrant, and the Holder shall not be entitled to exercise this Warrant for a number of Warrant Shares in excess of that number of Warrant Shares which, upon giving effect or immediately prior to such exercise, would result in (i) the aggregate number of shares of Common Stock beneficially owned by the Holder, its Affiliates and any other Persons whose beneficial ownership of shares of Common Stock would be aggregated with the Holder’s for purposes of Section 13(d) of the Exchange Act (such as any other members of a Section 13(d) “group”) exceeding 9.99% (the “Maximum Percentage”) of the total number of issued and outstanding shares of Common Stock of the Company following such exercise, or (ii) the combined voting power of the securities of the Company beneficially owned by the Holder and its Affiliates and any other Persons whose beneficial ownership of shares of Common Stock would be aggregated with the Holder’s for purposes of Section 13(d) of the Exchange Act (such as any other members of a Section 13(d) “group”) exceeding 9.99% of the combined voting power of all of the securities of the Company then outstanding following such exercise. For purposes of this Warrant, in determining the number of outstanding shares of Common Stock, the Holder may rely on the number of outstanding shares of Common Stock as reflected in (x) the Company’s most recent Form 10-Q or Form 10-K, as the case may be, filed with the Commission prior to the date hereof, (y) a more recent public announcement by the Company or (z) any other notice by the Company or its transfer agent setting forth the number of shares of Common Stock outstanding. Upon the written request of the Holder, the Company shall within three (3) Trading Days confirm in writing or by electronic mail to the Holder the number of shares of Common Stock then outstanding. In any case, the number of outstanding shares of Common Stock shall be determined after giving effect to the conversion or exercise of securities of the Company, including this Warrant, by the Holder since the date as of which such number of outstanding shares of Common Stock was reported. By written notice to the Company, the Holder may from time to time increase or decrease the Maximum Percentage to any other percentage specified not in excess of 9.99% specified in such notice; provided that any such increase will not be effective until the sixty-first (61st) day after such notice is delivered to the Company. For purposes of this Section 11(a), the aggregate number of shares of Common Stock or voting securities beneficially owned by the Holder and its Affiliates and any other Persons whose beneficial ownership of shares of Common Stock would be aggregated with the Holder’s for purposes of Section 13(d) of the Exchange Act (such as any other members of a Section 13(d) “group”) shall include the shares of Common Stock issuable upon the exercise of this Warrant with respect to which such determination is being made, but shall exclude the number of shares of Common Stock which would be issuable upon (x) exercise of the remaining unexercised and non-cancelled portion of this Warrant by the Holder and (y) exercise or conversion of the unexercised, non-converted or non-cancelled portion of any other securities of the Company that do not have voting power (including without limitation any securities of the Company which would entitle the holder thereof to acquire at any time shares of Common Stock, including without limitation any debt, preferred stock, right, option, warrant or other instrument that is at any time convertible into or exercisable or exchangeable for, or otherwise entitles the holder thereof to receive, shares of Common Stock), is subject to a limitation on conversion or exercise analogous to the limitation contained herein and is beneficially owned by the Holder or any of its Affiliates and other Persons whose beneficial ownership of shares of Common Stock would be aggregated with the Holder’s for purposes of Section 13(d) of the Exchange Act (such as any other members of a Section 13(d) “group”).
(b) This Section 11 shall not restrict the number of shares of Common Stock which a Holder may receive or beneficially own in order to determine the amount of securities or other consideration that such Holder may receive in the event of a Fundamental Transaction as contemplated in Section 9(c) of this Warrant.
12. No Fractional Shares. No fractional Warrant Shares will be issued in connection with any exercise of this Warrant. In lieu of any fractional shares that would otherwise be issuable, the number of Warrant Shares to be issued shall be rounded down to the next whole number and the Company shall pay the Holder in cash the fair market value (based on the last VWAP immediately preceding the time of delivery of the applicable Exercise Notice) for any such fractional shares.
13. Notices. Any and all notices or other communications or deliveries hereunder (including, without limitation, any Exercise Notice) shall be in writing and shall be deemed given and effective on the earliest of (i) the date of transmission, if such notice or communication is delivered via confirmed e-mail prior to 5:30 P.M., New York City time, on a Trading Day, (ii) the next Trading Day after the date of transmission, if such notice or communication is delivered via confirmed e-mail on a day that is not a Trading Day or later than 5:30 P.M., New York City time, on any Trading Day, (iii) the Trading Day following the date of mailing, if sent by nationally recognized overnight courier service specifying next business day delivery, or (iv) upon actual receipt by the Person to whom such notice is required to be given, if by hand delivery. The addresses and e-mail addresses for such communications shall be:
If to the Company:
BioXcel Therapeutics, Inc.
555 Long Wharf Drive
New Haven, CT 06511
Attention: Javier Rodriguez, Senior Vice President,
Chief Legal Officer and Corporate Secretary
Email: [***]
With a copy (which will not constitute notice) to:
Honigman LLP
1440 New York Ave. NW Suite 200
Washington, DC 20005
Attn: N. Danny Shulman
Email: [***]
If to the Holder, to its address or e-mail address set forth herein or on the books and records of the Company.
Or, in each of the above instances, to such other address or e-mail address as the recipient party has specified by written notice given to each other party at least five (5) days prior to the effectiveness of such change.
14. Warrant Agent. The Company shall initially serve as warrant agent under this Warrant. Upon ten (10) days’ notice to the Holder, the Company may appoint a new warrant agent. Any corporation into which the Company or any new warrant agent may be merged or any corporation resulting from any consolidation to which the Company or any new warrant agent shall be a party or any corporation to which the Company or any new warrant agent transfers substantially all of its corporate trust or stockholders services business shall be a successor warrant agent under this Warrant without any further act. Any such successor warrant agent shall promptly cause notice of its succession as warrant agent to be mailed (by first class mail, postage prepaid) to the Holder at the Holder’s last address as shown on the Warrant Register.
15. Miscellaneous.
(a) No Rights as a Stockholder. The Holder, solely in such Person’s capacity as a holder of this Warrant, shall not be entitled to vote or receive dividends or be deemed the holder of capital stock of the Company for any purpose, nor shall anything contained in this Warrant be construed to confer upon the Holder, solely in such Person’s capacity as the Holder of this Warrant, any of the rights of a stockholder of the Company or any right to vote, give or withhold consent to any corporate action (whether any reorganization, issue of stock, reclassification of stock, consolidation, merger, amalgamation, conveyance or otherwise), receive notice of meetings, receive dividends or subscription rights, or otherwise, prior to the issuance to the Holder of the Warrant Shares which such Person is then entitled to receive upon the due exercise of this Warrant. In addition, nothing contained in this Warrant shall be construed as imposing any liabilities on the Holder to purchase any securities (upon exercise of this Warrant or otherwise) or as a stockholder of the Company, whether such liabilities are asserted by the Company or by creditors of the Company.
(b) Authorized Shares. Except and to the extent as waived or consented to by the Holder, the Company shall not by any action, including, without limitation, amending its certificate or articles of incorporation or through any reorganization, transfer of assets, consolidation, merger, amalgamation, dissolution, issue or sale of securities or any other voluntary action, avoid or seek to avoid the observance or performance of any of the terms of this Warrant, but will at all times in good faith assist in the carrying out of all such terms and in the taking of all such actions as may be necessary or appropriate to protect the rights of Holder as set forth in this Warrant against impairment. Without limiting the generality of the foregoing, the Company will (i) not increase the par value of any Warrant Shares above the amount payable therefor upon such exercise immediately prior to such increase in par value, (ii) take all such action as may be necessary or appropriate in order that the Company may validly and legally issue fully paid and non-assessable Warrant Shares upon the exercise of this Warrant, and (iii) use commercially reasonable efforts to obtain all such authorizations, exemptions or consents from any public regulatory body having jurisdiction thereof as may be necessary to enable the Company to perform its obligations under this Warrant.
(c) Successors and Assigns. Subject to compliance with applicable securities laws, this Warrant may be assigned by the Holder. This Warrant may not be assigned by the Company without the written consent of the Holder, except to a successor in the event of a Fundamental Transaction in which this Warrant is not automatically “cashless exercised”. This Warrant shall be binding on and inure to the benefit of the Company and the Holder and their respective successors and assigns. Subject to the preceding sentence, nothing in this Warrant shall be construed to give to any Person other than the Company and the Holder any legal or equitable right, remedy or cause of action under this Warrant. This Warrant may be amended only in writing signed by the Company and the Holder, or their successors and assigns.
(d) Amendment and Waiver. Except as otherwise provided herein, this Warrant may be modified or amended or the provisions hereof waived with the written consent of the Company and the Holder.
(e) Acceptance. Receipt of this Warrant by the Holder shall constitute acceptance of and agreement to all of the terms and conditions contained herein.
(f) Governing Law; Jurisdiction. ALL QUESTIONS CONCERNING THE CONSTRUCTION, VALIDITY, ENFORCEMENT AND INTERPRETATION OF THIS WARRANT SHALL BE GOVERNED BY AND CONSTRUED AND ENFORCED IN ACCORDANCE WITH THE LAWS OF THE STATE OF NEW YORK WITHOUT REGARD TO THE PRINCIPLES OF CONFLICTS OF LAW THEREOF. EACH OF THE COMPANY AND THE HOLDER HEREBY IRREVOCABLY SUBMITS TO THE EXCLUSIVE JURISDICTION OF THE STATE AND FEDERAL COURTS SITTING IN THE CITY OF NEW YORK, BOROUGH OF MANHATTAN, FOR THE ADJUDICATION OF ANY DISPUTE HEREUNDER OR IN CONNECTION HEREWITH OR WITH ANY TRANSACTION CONTEMPLATED HEREBY OR DISCUSSED HEREIN (INCLUDING WITH RESPECT TO THE ENFORCEMENT OF ANY OF THE TRANSACTION DOCUMENTS), AND HEREBY IRREVOCABLY WAIVES, AND AGREES NOT TO ASSERT IN ANY SUIT, ACTION OR PROCEEDING, ANY CLAIM THAT IT IS NOT PERSONALLY SUBJECT TO THE JURISDICTION OF ANY SUCH COURT. EACH OF THE COMPANY AND THE HOLDER HEREBY IRREVOCABLY WAIVES PERSONAL SERVICE OF PROCESS AND CONSENTS TO PROCESS BEING SERVED IN ANY SUCH SUIT, ACTION OR PROCEEDING BY MAILING A COPY THEREOF VIA REGISTERED OR CERTIFIED MAIL OR OVERNIGHT DELIVERY (WITH EVIDENCE OF DELIVERY) TO SUCH PERSON AT THE ADDRESS IN EFFECT FOR NOTICES TO IT AND AGREES THAT SUCH SERVICE SHALL CONSTITUTE GOOD AND SUFFICIENT SERVICE OF PROCESS AND NOTICE THEREOF. NOTHING CONTAINED HEREIN SHALL BE DEEMED TO LIMIT IN ANY WAY ANY RIGHT TO SERVE PROCESS IN ANY MANNER PERMITTED BY LAW. EACH OF THE COMPANY AND THE HOLDER HEREBY WAIVES ALL RIGHTS TO A TRIAL BY JURY.
(g) Headings. The headings herein are for convenience only, do not constitute a part of this Warrant and shall not be deemed to limit or affect any of the provisions hereof.
(h) Severability. In case any one or more of the provisions of this Warrant shall be invalid or unenforceable in any respect, the validity and enforceability of the remaining terms and provisions of this Warrant shall not in any way be affected or impaired thereby, and the Company and the Holder will attempt in good faith to agree upon a valid and enforceable provision which shall be a commercially reasonable substitute therefor, and upon so agreeing, shall incorporate such substitute provision in this Warrant.
[REMAINDER OF PAGE INTENTIONALLY LEFT BLANK]
IN WITNESS WHEREOF, the Company has caused this Warrant to be duly executed by its authorized officer as of the date first indicated above.
| BIOXCEL THERAPEUTICS, INC. | ||
| By: | /s/ Richard Steinhart | |
| Name: | Richard Steinhart | |
| Title: | Senior Vice President and Chief Financial Officer | |
Schedule 1
FORM OF EXERCISE NOTICE
[To be executed by the Holder to purchase shares of Common Stock under the Warrant]
Ladies and Gentlemen:
(1) The undersigned is the Holder of Warrant No. PFCS-___ (the “Warrant”) issued by BioXcel Therapeutics, Inc., a Delaware corporation (the “Company”). Capitalized terms used herein and not otherwise defined herein have the respective meanings set forth in the Warrant.
(2) The undersigned hereby exercises its right to purchase ___________ Warrant Shares pursuant to the Warrant.
(3) The Holder intends that payment of the Exercise Price shall be made as (check one):
¨ Cash Exercise
¨ “Cashless Exercise” under Section 10 of the Warrant
(4) Pursuant to this Exercise Notice, the Company shall deliver to the Holder Warrant Shares determined in accordance with the terms of the Warrant. The Warrant Shares shall be delivered to the following DWAC Account Number:
(5) By its delivery of this Exercise Notice, the undersigned represents and warrants to the Company that in giving effect to the exercise evidenced hereby the Holder will not beneficially own in excess of the number of shares of Common Stock (as determined in accordance with Section 13(d) of the Securities Exchange Act of 1934, as amended) permitted to be owned under Section 11(a) of the Warrant to which this notice relates.
| Dated: |
| Name of Holder: |
| By: | ||
| Name: | ||
| Title: |
(Signature must conform in all respects to name of Holder as specified on the face of the Warrant)
Exhibit 4.3
Final Form
BIOXCEL THERAPEUTICS, INC.
WARRANT TO PURCHASE SHARES OF COMMON STOCK (OR PRE-FUNDED WARRANTS TO PURCHASE SHARES OF COMMON STOCK) AND OPTION WARRANTS TO PURCHASE SHARES OF COMMON STOCK
| Warrant No. UN-1 |
Number of Shares (or Pre-Funded Warrant Shares in lieu thereof): [ ● ] Number of Option Warrant Shares: [ ● ] |
|
Date of Issuance: March 4, 2025 |
BioXcel Therapeutics, Inc., a Delaware corporation (the “Company”), hereby certifies that, for good and valuable consideration, the receipt and sufficiency of which are hereby acknowledged, [ ● ] or its registered assigns (the “Holder”), is entitled, subject to the terms set forth below, to purchase from the Company at an exercise price (the “Exercise Price”) of (A) $3.50 per share of Common Stock and accompanying Option Warrant (each as defined herein) or (B) $3.449 per Option Pre-Funded Warrant and accompanying Option Warrant, (i) up to an aggregate of [ ● ] shares (the “Warrant Shares”) of common stock, $0.001 par value per share (the “Common Stock”) of the Company, or pre-funded warrants to purchase shares of Common Stock in lieu of a Warrant Share (the “Option Pre-Funded Warrants”) in accordance with Section 5 of this Warrant, which such Option Pre-Funded Warrants shall be exercisable immediately and shall expire when exercised in full, in the form of Exhibit A attached hereto, and (ii) warrants to purchase up to an aggregate of [ ● ] shares of Common Stock (the “Option Warrants”) in the form attached hereto as Exhibit B attached hereto, which such Option Warrants shall have an exercise price equal to $4.20 (subject to adjustments set forth in the Option Warrants) per share of Common Stock, upon surrender of this Warrant to Purchase Shares of Common Stock (or Pre-Funded Warrants to Purchase Shares of Common Stock) and Option Warrants to Purchase Shares of Common Stock (this “Warrant”) at any time and from time to time on or after the date hereof (the “Original Issue Date”) and on or prior to 5:00 pm Eastern Time on March 18, 2025 (the “Termination Date”), subject to the following terms and conditions:
1. Definitions. For purposes of this Warrant, the following terms shall have the following meanings:
(a) “Affiliate” means any Person directly or indirectly controlled by, controlling or under common control with, a Holder, as such terms are used in and construed under Rule 405 under the Securities Act, but only for so long as such control shall continue. For purposes of this definition, “control” (including, with correlative meanings, “controlled by,” “controlling” and “under common control with”) means, with respect to a Person, possession, direct or indirect, of (a) the power to direct or cause direction of the management and policies of such Person (whether through ownership of securities or partnership or other ownership interests, by contract or otherwise), or (b) at least 50% of the voting securities (whether directly or pursuant to any option, warrant, or other similar arrangement) or other comparable equity interests.
(b) “Commission” means the United States Securities and Exchange Commission.
(c) “Principal Trading Market” means the national securities exchange or other trading market on which the shares of Common Stock are primarily listed on and quoted for trading, which, as of the Original Issue Date, shall be the Nasdaq Capital Market.
(d) “Registration Statement” means the Company’s Registration Statement on Form S-3 (File No. 333-275261), filed with the Commission on November 2, 2023.
(e) “Securities Act” means the Securities Act of 1933, as amended.
(f) “Trading Day” means any weekday on which the Principal Trading Market is open for trading. If the shares of Common Stock are not listed or admitted for trading, “Trading Day” means any day except any Saturday, any Sunday, any day which is a federal legal holiday in the United States or any day on which banking institutions in New York City are authorized or required by law or other governmental action to close.
(g) “Transfer Agent” means Equiniti Trust Company, LLC, the Company’s transfer agent and registrar for the Common Stock, and any successor appointed in such capacity.
(h) “Warrant Securities” means the Warrant Shares, the Option Pre-Funded Warrants, if applicable, and the Option Warrants.
2. Issuance of Securities; Registration of Warrants. This Warrant, as initially issued by the Company, is offered and sold pursuant to the Registration Statement. As of the Original Issue Date, the Warrant Securities and the shares of Common Stock issuable upon exercise of the Option Warrants and the Option Pre-Funded Warrants (collectively, the “Option Warrant Shares”) are issuable under the Registration Statement. Accordingly, this Warrant and, assuming issuance pursuant to the Registration Statement or an exchange meeting the requirements of Section 3(a)(9) of the Securities Act as in effect on the Original Issue Date, the Warrant Securities and Option Warrant Shares are not “restricted securities” under Rule 144 promulgated under the Securities Act. The Company shall register ownership of this Warrant, upon records to be maintained by the Company for that purpose (the “Warrant Register”), in the name of the record Holder (which shall include the initial Holder or, as the case may be, any assignee to which this Warrant is assigned hereunder) from time to time. The Company may deem and treat the registered Holder of this Warrant as the absolute owner hereof for the purpose of any exercise hereof or any distribution to the Holder, and for all other purposes, absent actual notice to the contrary.
3. Exercise and Duration of Warrants.
(a) All or any part of this Warrant shall be exercisable by the registered Holder in the manner set forth herein at any time and from time to time on or after the Original Issue Date and on or prior to the Termination Date.
(b) The Holder may exercise this Warrant by delivering to the Company (i) an exercise notice, in the form attached as Schedule 1 hereto (the “Exercise Notice”), completed and duly signed, and (ii) payment of the Exercise Price for the number of Warrant Securities as to which this Warrant is being exercised, and the date on which the last of such items is delivered to the Company (as determined in accordance with the notice provisions hereof) is an “Exercise Date.” No later than one Trading Day following the delivery of such Exercise Notice, the Holder shall deliver to the Company payment of the Exercise Price for the number of Warrant Securities as to which this Warrant is being exercised by wire transfer or cashier’s check drawn on a United States bank. The Holder shall not be required to deliver the original Warrant in order to effect an exercise hereunder. No ink original Exercise Notice shall be required, nor shall any medallion guarantee (or other type of guarantee or notarization) of any Exercise Notice be required. Execution and delivery of the Exercise Notice shall have the same effect as cancellation of the original Warrant and issuance of a New Warrant evidencing the right to purchase the remaining number of Warrant Securities, if any. The Holder and any assignee, by acceptance of this Warrant, acknowledge and agree that, by reason of the provisions of this paragraph, following the purchase of a portion of the Warrant Securities hereunder, the number of Warrant Securities available for purchase hereunder at any given time may be less than the amount stated on the face hereof.
4. Delivery of Warrant Securities. Upon exercise of this Warrant, the Company shall promptly (but in no event later than one (1) Trading Day after the Exercise Date), upon the request of the Holder, credit such aggregate number of shares of Common Stock to which the Holder is entitled pursuant to such exercise to the Holder’s or its designee’s balance account with The Depository Trust Company (“DTC”) through its Deposit Withdrawal Agent Commission system, or if the Transfer Agent is not participating in the Fast Automated Securities Transfer Program (the “FAST Program”), issue and dispatch by overnight courier to the address as specified in the Exercise Notice, a certificate, registered in the Company’s share register in the name of the Holder or its designee, for the number of shares of Common Stock to which the Holder is entitled pursuant to such exercise. The Holder, or any natural person or legal entity (each, a “Person”) so designated by the Holder to receive Warrant Shares, shall be deemed to have become the holder of record of such Warrant Shares as of the Exercise Date, irrespective of the date such Warrant Shares are credited to the Holder’s DTC account or the date of delivery of the certificates evidencing such Warrant Shares, as the case may be. Upon exercise of this Warrant, the Company shall promptly (but in no event later than one (1) Trading Day after the Exercise Date), upon the request of the Holder, deliver Option Warrants or Option Pre-Funded Warrants, registered in the name of the Holder.
5. Limitations on Exercise. Notwithstanding anything to the contrary contained herein, the Company shall not effect any exercise of this Warrant, and the Holder shall not be entitled to exercise this Warrant for a number of Warrant Shares in excess of that number of Warrant Shares which, upon giving effect or immediately prior to such exercise, would result in (i) the aggregate number of shares of Common Stock beneficially owned by the Holder, its Affiliates and any other Persons whose beneficial ownership of shares of Common Stock would be aggregated with the Holder’s for purposes of Section 13(d) of the Exchange Act (such as any other members of a Section 13(d) “group”) exceeding 4.99% (the “Maximum Percentage”) of the total number of issued and outstanding shares of Common Stock of the Company following such exercise. In the event that the Holder shall beneficially own more than the Maximum Percentage of the shares of Common Stock as a result of the exercise of this Warrant, the Holder shall be granted Option Pre-Funded Warrants to purchase shares of Common Stock in excess of the Maximum Percentage.
6. Notices. Any and all notices or other communications or deliveries hereunder (including, without limitation, any Exercise Notice) shall be in writing and shall be deemed given and effective on the earliest of (i) the date of transmission, if such notice or communication is delivered via confirmed e-mail prior to 5:30 P.M., New York City time, on a Trading Day, (ii) the next Trading Day after the date of transmission, if such notice or communication is delivered via confirmed e-mail on a day that is not a Trading Day or later than 5:30 P.M., New York City time, on any Trading Day, (iii) the Trading Day following the date of mailing, if sent by nationally recognized overnight courier service specifying next business day delivery, or (iv) upon actual receipt by the Person to whom such notice is required to be given, if by hand delivery. The addresses and e-mail addresses for such communications shall be:
If to the Company:
BioXcel Therapeutics, Inc.
555 Long Wharf Drive
New Haven, CT 06511
Attention: Javier Rodriguez, Senior Vice President,
Chief Legal Officer and Corporate Secretary
Email: [***]
With a copy (which will not constitute notice) to:
Honigman LLP
1440 New York Ave. NW Suite 200
Washington, DC 20005
Attn: N. Danny Shulman; Emily Johns
Email: [***]
If to the Holder, to its address or e-mail address set forth herein or on the books and records of the Company.
Or, in each of the above instances, to such other address or e-mail address as the recipient party has specified by written notice given to each other party at least five (5) days prior to the effectiveness of such change.
7. Miscellaneous.
(a) No Rights as a Stockholder. The Holder, solely in such Person’s capacity as a holder of this Warrant, shall not be entitled to vote or receive dividends or be deemed the holder of capital stock of the Company for any purpose, nor shall anything contained in this Warrant be construed to confer upon the Holder, solely in such Person’s capacity as the Holder of this Warrant, any of the rights of a stockholder of the Company or any right to vote, give or withhold consent to any corporate action (whether any reorganization, issue of stock, reclassification of stock, consolidation, merger, amalgamation, conveyance or otherwise), receive notice of meetings, receive dividends or subscription rights, or otherwise, prior to the issuance to the Holder of the Warrant Shares which such Person is then entitled to receive upon the due exercise of this Warrant. In addition, nothing contained in this Warrant shall be construed as imposing any liabilities on the Holder to purchase any securities (upon exercise of this Warrant or otherwise) or as a stockholder of the Company, whether such liabilities are asserted by the Company or by creditors of the Company.
(b) Authorized Shares. Except and to the extent as waived or consented to by the Holder, the Company shall not by any action, including, without limitation, amending its certificate or articles of incorporation or through any reorganization, transfer of assets, consolidation, merger, amalgamation, dissolution, issue or sale of securities or any other voluntary action, avoid or seek to avoid the observance or performance of any of the terms of this Warrant, but will at all times in good faith assist in the carrying out of all such terms and in the taking of all such actions as may be necessary or appropriate to protect the rights of Holder as set forth in this Warrant against impairment. Without limiting the generality of the foregoing, the Company will (i) not increase the par value of any Warrant Shares above the amount payable therefor upon such exercise immediately prior to such increase in par value, (ii) take all such action as may be necessary or appropriate in order that the Company may validly and legally issue fully paid and non-assessable Warrant Shares upon the exercise of this Warrant and the Option Warrant Shares upon exercise of the Option Warrants or the Option Pre-Funded Warrants, and (iii) use commercially reasonable efforts to obtain all such authorizations, exemptions or consents from any public regulatory body having jurisdiction thereof as may be necessary to enable the Company to perform its obligations under this Warrant.
(c) Successors and Assigns. Subject to compliance with applicable securities laws, this Warrant may be assigned by the Holder. This Warrant may not be assigned by the Company without the written consent of the Holder. This Warrant shall be binding on and inure to the benefit of the Company and the Holder and their respective successors and assigns. Subject to the preceding sentence, nothing in this Warrant shall be construed to give to any Person other than the Company and the Holder any legal or equitable right, remedy or cause of action under this Warrant. This Warrant may be amended only in writing signed by the Company and the Holder, or their successors and assigns.
(d) Amendment and Waiver. Except as otherwise provided herein, this Warrant may be modified or amended or the provisions hereof waived with the written consent of the Company and the Holder.
(e) Acceptance. Receipt of this Warrant by the Holder shall constitute acceptance of and agreement to all of the terms and conditions contained herein.
(f) Governing Law; Jurisdiction. ALL QUESTIONS CONCERNING THE CONSTRUCTION, VALIDITY, ENFORCEMENT AND INTERPRETATION OF THIS WARRANT SHALL BE GOVERNED BY AND CONSTRUED AND ENFORCED IN ACCORDANCE WITH THE LAWS OF THE STATE OF NEW YORK WITHOUT REGARD TO THE PRINCIPLES OF CONFLICTS OF LAW THEREOF. EACH OF THE COMPANY AND THE HOLDER HEREBY IRREVOCABLY SUBMITS TO THE EXCLUSIVE JURISDICTION OF THE STATE AND FEDERAL COURTS SITTING IN THE CITY OF NEW YORK, BOROUGH OF MANHATTAN, FOR THE ADJUDICATION OF ANY DISPUTE HEREUNDER OR IN CONNECTION HEREWITH OR WITH ANY TRANSACTION CONTEMPLATED HEREBY OR DISCUSSED HEREIN (INCLUDING WITH RESPECT TO THE ENFORCEMENT OF ANY OF THE TRANSACTION DOCUMENTS), AND HEREBY IRREVOCABLY WAIVES, AND AGREES NOT TO ASSERT IN ANY SUIT, ACTION OR PROCEEDING, ANY CLAIM THAT IT IS NOT PERSONALLY SUBJECT TO THE JURISDICTION OF ANY SUCH COURT. EACH OF THE COMPANY AND THE HOLDER HEREBY IRREVOCABLY WAIVES PERSONAL SERVICE OF PROCESS AND CONSENTS TO PROCESS BEING SERVED IN ANY SUCH SUIT, ACTION OR PROCEEDING BY MAILING A COPY THEREOF VIA REGISTERED OR CERTIFIED MAIL OR OVERNIGHT DELIVERY (WITH EVIDENCE OF DELIVERY) TO SUCH PERSON AT THE ADDRESS IN EFFECT FOR NOTICES TO IT AND AGREES THAT SUCH SERVICE SHALL CONSTITUTE GOOD AND SUFFICIENT SERVICE OF PROCESS AND NOTICE THEREOF. NOTHING CONTAINED HEREIN SHALL BE DEEMED TO LIMIT IN ANY WAY ANY RIGHT TO SERVE PROCESS IN ANY MANNER PERMITTED BY LAW. EACH OF THE COMPANY AND THE HOLDER HEREBY WAIVES ALL RIGHTS TO A TRIAL BY JURY.
(g) Headings. The headings herein are for convenience only, do not constitute a part of this Warrant and shall not be deemed to limit or affect any of the provisions hereof.
(h) Severability. In case any one or more of the provisions of this Warrant shall be invalid or unenforceable in any respect, the validity and enforceability of the remaining terms and provisions of this Warrant shall not in any way be affected or impaired thereby, and the Company and the Holder will attempt in good faith to agree upon a valid and enforceable provision which shall be a commercially reasonable substitute therefor, and upon so agreeing, shall incorporate such substitute provision in this Warrant.
[REMAINDER OF PAGE INTENTIONALLY LEFT BLANK]
IN WITNESS WHEREOF, the Company has caused this Warrant to be duly executed by its authorized officer as of the date first indicated above.
| BIOXCEL THERAPEUTICS, INC. | ||
| By: | /s/ Richard Steinhart | |
| Name: | Richard Steinhart | |
| Title: | Senior Vice President and Chief Financial Officer | |
Schedule 1
FORM OF EXERCISE NOTICE
[To be executed by the Holder to purchase shares of Common Stock (or Pre-Funded Warrants in lieu thereof) and warrants under the Warrant]
Ladies and Gentlemen:
(1) The undersigned is the Holder of Warrant No. UN-___ (the “Warrant”) issued by BioXcel Therapeutics, Inc., a Delaware corporation (the “Company”). Capitalized terms used and not otherwise defined herein shall have the meanings set forth in the Warrant.
(2) The undersigned hereby exercises its right to purchase the following securities pursuant to the Warrant:
Warrant Shares: _________________
Option Pre-Funded Warrant Shares: __________________ Beneficial Ownership Blocker ¨ 4.99% or ¨ 9.99%
Option Warrant Shares: __________________ Beneficial Ownership Blocker ¨ 4.99% or ¨ 9.99%
(4) Pursuant to this Exercise Notice, the Company shall deliver to the Holder Warrant Shares determined in accordance with the terms of the Warrant.
The Warrant Shares shall be delivered to the following DWAC Account Number:
Address for Delivery of Option Warrants and Option Pre-Funded Warrants to Purchaser:
(5) By its delivery of this Exercise Notice, the undersigned represents and warrants to the Company that in giving effect to the exercise evidenced hereby the Holder will not beneficially own in excess of the number of shares of Common Stock (as determined in accordance with Section 13(d) of the Securities Exchange Act of 1934, as amended) permitted to be owned under Section 11(a) of the Warrant to which this notice relates.
| Dated: |
| Name of Holder: |
| By: | ||
| Name: | ||
| Title: |
(Signature must conform in all respects to name of Holder as specified on the face of the Warrant)
EXHIBIT A
FORM OF OPTION PRE-FUNDED WARRANT
[Intentionally Omitted.]
EXHIBIT B
FORM OF OPTION WARRANT
[Intentionally Omitted.]
Exhibit 5.1
March 4, 2025
BioXcel Therapeutics, Inc.
555 Long Wharf Drive
New Haven, CT 06511
| Re: | Prospectus Supplement to Registration Statement on Form S-3 (File No. 333-275261) |
Ladies and Gentlemen:
We have acted as counsel to BioXcel Therapeutics, Inc., a Delaware corporation (the “Company”), in connection with the offering by the Company of (a) 188,383 shares (the “Shares”) of the Company’s common stock, par value $0.001 per share (the “Common Stock”), (b) pre-funded warrants to purchase 3,811,617 shares of Common Stock with an exercise price of $0.001 per share (the “Pre-Funded Warrants”), (c) warrants to purchase 4,000,000 shares of Common Stock with an exercise price of $4.20 per share (the “Purchase Warrants”), and (d) warrants to purchase an additional 4,000,000 shares of common stock (or pre-funded warrants in lieu thereof) and Purchase Warrants for an additional 4,000,000 Purchase Warrants (the “Option Warrants”, and together with the Purchase Warrants and the Pre-Funded Warrants and the warrants that may be issued upon exercise of the Option Warrants, the “Warrants”), pursuant to a registration statement on Form S-3 under the Securities Act of 1933, as amended (the “Act”), filed with the Securities and Exchange Commission (the “Commission”) on November 2, 2023 (File No. 333-275261) (as so filed and as amended, the “Registration Statement”), the base prospectus dated November 13, 2023 included in the Registration Statement (the “Base Prospectus”), a prospectus supplement dated March 4, 2025 filed with the Commission pursuant to Rule 424(b) under the Act (together with the Base Prospectus, the “Prospectus”) and a Securities Purchase Agreement dated March 3, 2025 by and among each Purchaser identified therein (the “Purchasers”) and the Company (the “Securities Purchase Agreement”). This opinion is being furnished in connection with the requirements of Item 601(b)(5) of Regulation S-K under the Act, and no opinion is expressed herein as to any matter pertaining to the contents of the Registration Statement or related Prospectus, other than as expressly stated herein with respect to the issue of the Shares, the Warrants and the Warrant Shares (as defined below).
For the purpose of rendering this opinion, we examined originals or copies of such documents as we deemed relevant. In conducting our examination, we assumed, without investigation, the genuineness of all signatures, the correctness of all certificates, the authenticity of all documents submitted to us as originals, the conformity to original documents of all documents submitted as certified or photostatic copies, and the authenticity of the originals of such copies, and the accuracy and completeness of all records made available to us by the Company. In addition, in rendering this opinion, we have assumed that the Shares will be offered in the manner and on the terms identified or referred to in the Registration Statement, the Prospectus, including all supplements and amendments thereto, and the Securities Agreement.
Our opinion is limited solely to matters set forth herein. The law covered by the opinions expressed in this opinion letter is limited to the laws of the State of New York and the General Corporation Law of the State of Delaware as currently in effect. We express no opinion as to any other laws. We are not rendering any opinion with respect to federal law, including federal securities laws, or state blue sky securities laws.
| Honigman LLP • 650 Trade Centre Way • Suite 200 • Kalamazoo, Michigan 49002-0402 |
BioXcel Therapeutics, Inc.
March 4, 2025
Page 2
With regard to our opinions concerning the Warrants constituting valid and binding obligations of the Company:
| A. | Our opinions are subject to, and may be limited by, (i) applicable bankruptcy, reorganization, insolvency, moratorium, fraudulent transfer, voidable transaction, fraudulent conveyance, debtor and creditor, and other laws which relate to or affect creditors’ rights generally, and (ii) general principles of equity (including, without limitation, concepts of materiality, reasonableness, good faith and fair dealing) regardless of whether considered in a proceeding in equity or at law. |
| B. | Our opinions are subject to the qualification that the availability of specific performance, an injunction or other equitable remedies is subject to the discretion of the court before which the request is brought. |
| C. | We express no opinion as to any provision of the Warrants that: (i) provides for liquidated damages, buy-in damages, monetary penalties, prepayment or make-whole payments or other economic remedies to the extent such provisions may constitute unlawful penalties, (ii) relates to advance waivers of claims, defenses, rights granted by law, or notice, opportunity for hearing, evidentiary requirements, statutes of limitations, trial by jury, or procedural rights, (iii) restricts non-written modifications and waivers, (iv) provides for the payment of legal and other professional fees where such payment is contrary to law or public policy, (v) relates to exclusivity, election or accumulation of rights or remedies, (vi) authorizes or validates conclusive or discretionary determinations, (vii) provides that provisions of the Warrants are severable to the extent an essential part of the agreed exchange is determined to be invalid and unenforceable, (viii) any provisions exculpating the Purchasers or any of their respective representatives from any liability, in each case insofar as such provisions might require indemnification or exculpation with respect to any violations of securities laws or relating to any litigation by any party determined adversely to any party other than the Company. |
| D. | We express no opinion as to whether a state court outside of the State of New York or a federal court of the United States would give effect to the choice of New York law or jurisdiction provided for in the Warrants. |
| E. | Except to the extent we have expressly opined as to such matters with respect to the Company herein, we have assumed (a) that the Warrants have been duly authorized, executed and delivered by the parties thereto, (b) that the Warrants constitute legally valid and binding obligations of the parties thereto, enforceable against each of them in accordance with their respective terms, and (c) that the status of the Warrants as legally valid and binding obligations of the parties is not affected by any (i) breaches of, or defaults under, agreements or instruments, (ii) violations of statutes, rules, regulations or court or governmental orders, or (iii) failures to obtain required consents, approvals or authorizations from, or make required registrations, declarations or filings with, governmental authorities. |
| Honigman LLP • 650 Trade Centre Way • Suite 200 • Kalamazoo, Michigan 49002-0402 |

BioXcel Therapeutics, Inc.
March 4, 2025
Page 2
Based on the foregoing and upon our examination of such documents and other matters as we deem relevant, we are of the opinion that:
| 1. | When the Shares shall have been duly registered on the books of the transfer agent and registrar therefor in the name or on behalf of the purchasers, and have been issued by the Company against payment therefor (not less than par value) in the circumstances contemplated by the Purchase Agreement, the issue and sale of the Shares will have been duly authorized by all necessary corporate action of the Company, and the Shares will be validly issued, fully paid and nonassessable. |
| 2. | When the Warrants shall have been duly issued by the Company against payment therefor in the circumstances contemplated by Purchase Agreement, the issue and sale of the Warrants will have been duly authorized by all necessary corporate action of the Company, and the Warrants will be legally valid and binding obligations of the Company, enforceable against the Company in accordance with their terms. |
| 3. | When the shares of Common Stock initially issuable upon exercise of the Warrants (the “Warrant Shares”) shall have been duly registered on the books of the transfer agent and registrar therefor in the name or on behalf of the Warrant holders, and have been issued by the Company against payment therefor (not less than par value) in the circumstances contemplated by the Warrants, the issue of the Warrant Shares will have been duly authorized by all necessary corporate action of the Company and the Warrant Shares will be validly issued, fully paid and nonassessable and we have assumed that at the time of exercise of the Warrants, a sufficient number of shares of Common Stock will be authorized, unissued, unreserved and available for issuance of the related Warrant Shares. |
We hereby consent to the filing of this opinion with the Commission as Exhibit 5.1 to the Company’s Current Report on Form 8-K, which is incorporated by reference in the Registration Statement, and to the reference to our firm under the caption “Legal Matters” in the Registration Statement and the Prospectus Supplement. In giving such consent, we do not admit that we are within the category of persons whose consent is required by Section 7 of the Securities Act or the rules and regulations promulgated thereunder by the Commission.
|
Very truly yours,
|
|
| /s/ Honigman LLP | |
| Honigman LLP |
| Honigman LLP • 650 Trade Centre Way • Suite 200 • Kalamazoo, Michigan 49002-0402 |
Exhibit 10.1
Execution Version
SECURITIES PURCHASE AGREEMENT
This Securities Purchase Agreement (this “Agreement”) is dated as of March 3, 2025, between BioXcel Therapeutics, Inc., a Delaware corporation (the “Company”), and each purchaser identified on the signature pages hereto (each, including its successors and assigns, a “Purchaser” and collectively the “Purchasers”).
WHEREAS, subject to the terms and conditions set forth in this Agreement and pursuant to an effective registration statement under the Securities Act (as defined below), the Company desires to issue and sell to each Purchaser, and each Purchaser, desires to purchase from the Company, Securities (as defined below) of the Company as more fully described in this Agreement.
NOW, THEREFORE, IN CONSIDERATION of the mutual covenants contained in this Agreement, and for other good and valuable consideration the receipt and adequacy of which are hereby acknowledged, the Company and each Purchaser agree as follows:
ARTICLE I
DEFINITIONS
1.1 Definitions. In addition to the terms defined elsewhere in this Agreement, for all purposes of this Agreement, the following terms have the meanings set forth in this Section 1.1:
“Affiliate” means any Person that, directly or indirectly through one or more intermediaries, controls or is controlled by or is under common control with a Person as such terms are used in and construed under Rule 405 under the Securities Act.
“Board of Directors” means the board of directors of the Company.
“Business Day” means any day other than Saturday, Sunday or other day on which commercial banks in The City of New York are authorized or required by law to remain closed; provided, however, for clarification, commercial banks shall not be deemed to be authorized or required by law to remain closed due to “stay at home”, “shelter-in-place”, “non-essential employee” or any other similar orders or restrictions or the closure of any physical branch locations at the direction of any governmental authority so long as the electronic funds transfer systems (including for wire transfers) of commercial banks in The City of New York are generally open for use by customers on such day.
“Closing Date” means the Trading Day on which all of the Transaction Documents have been executed and delivered by the applicable parties thereto, and all conditions precedent to (i) the Purchasers’ obligations to pay the Subscription Amount and (ii) the Company’s obligations to deliver the Shares and the Warrants, in each case, have been satisfied or waived, but in no event later than the first (1st) Trading Day following the date hereof (or the second (2nd) Trading Day following the date hereof if this Agreement is signed on a day that is not a Trading Day or after 4:00 p.m. (New York City time) and before midnight (New York City time) on a Trading Day) .
“Commission” means the United States Securities and Exchange Commission.
“Common Stock” means the common stock of the Company, par value $0.001 per share, and any other class of securities into which such securities may hereafter be reclassified or changed.
“Common Stock Equivalents” means any securities of the Company or the Subsidiaries which would entitle the holder thereof to acquire at any time Common Stock, including, without limitation, any debt, preferred stock, right, option, warrant or other instrument that is at any time convertible into or exercisable or exchangeable for, or otherwise entitles the holder thereof to receive, Common Stock.
“Common Warrants” means, collectively, the Warrants to Purchase Shares of Common Stock in the form of Exhibit A-1 attached hereto.
“Company Counsel” means Honigman LLP, with offices located at 1440 New York Avenue, NW Suite 200, Washington, DC 20005.
“Credit Agreement” means that certain Credit Agreement and Guaranty, by and among BioXcel Therapeutic, Inc., Oaktree Fund Administration, LLC, the Subsidiary Guarantors from time to time party thereto and the lenders from time to time party thereto, dated April 19, 2022, as amended from time to time.
“Disclosure Time” means, (i) if this Agreement is signed on a day that is not a Trading Day or after 9:00 a.m. (New York City time) and before midnight (New York City time) on any Trading Day, 9:01 a.m. (New York City time) on the Trading Day immediately following the date hereof, unless otherwise instructed as to an earlier time by the Placement Agent and (ii) if this Agreement is signed between midnight (New York City time) and 9:00 a.m. (New York City time) on any Trading Day, no later than 9:01 a.m. (New York City time) on the date hereof, unless otherwise instructed as to an earlier time by the Placement Agent.
“Exchange Act” means the Securities Exchange Act of 1934, as amended, and the rules and regulations promulgated thereunder.
“Exempt Issuance” means the issuance of (a) shares of Common Stock or options to employees, officers or directors of the Company pursuant to any stock or option plan or employee stock purchase plan duly adopted for such purpose, by a majority of the non-employee members of the Board of Directors or a majority of the members of a committee of non-employee directors established for such purpose for services rendered to the Company, (b) shares of Common Stock upon the exercise or exchange of or conversion of any Securities issued hereunder and/or other securities exercisable or exchangeable for or convertible into shares of Common Stock issued and outstanding on the date of this Agreement, provided that such securities have not been amended since the date of this Agreement to increase the number of such securities or to decrease the exercise price, exchange price or conversion price of such securities (other than in connection with stock splits or combinations) or to extend the term of such securities, and (c) securities issued pursuant to acquisitions, licensing, collaboration or strategic transactions approved by a majority of the disinterested directors of the Company, provided that any such issuance shall only be to a Person (or to the equityholders of a Person) which is, itself or through its subsidiaries, an operating company or an owner of an asset in a business synergistic with the business of the Company and, if done in connection with an investment, shall provide to the Company additional benefits in addition to the investment of funds, but shall not include a transaction in which the Company is issuing securities primarily for the purpose of raising capital or to an entity whose primary business is investing in securities.
“Liens” means a lien, charge, pledge, security interest, encumbrance, right of first refusal, preemptive right or other restriction.
“Material Adverse Effect” means any change, event or occurrence (each, an “Effect”) that, individually or when taken together with all other Effects that have occurred prior to the date of determination of the occurrence of the Material Adverse Effect, is or is reasonably likely to be materially adverse to the business, clinical or pre-clinical programs, intellectual property, condition (financial or other), assets, liabilities or results of operations of the Company and its Subsidiaries, taken as a whole; provided, however, that in no event shall any of the following occurring after the date hereof, alone or in combination, be deemed to constitute, or be taken into account in determining whether a Material Adverse Effect has occurred: (i) changes in the Company’s industry generally or in conditions in the U.S. or global economy or capital or financial markets generally, including changes in interest or exchange rates, (ii) any Effect caused by the announcement or pendency of the transactions contemplated by this Agreement, or the identity of any Purchaser or any of its Affiliates as a purchaser in connection with the transactions contemplated by this Agreement, (iii) the performance of this Agreement and the transactions contemplated hereby, including compliance with the covenants set forth herein, or any action taken or omitted to be taken by the Company at the request or with the prior consent of any Purchaser, (iv) changes in general legal, regulatory, political, economic or business conditions or changes to GAAP (as defined herein) or interpretations thereof occurring after the date hereof that, in each case, generally affect the biotechnology or biopharmaceutical industries, (v) acts of war, sabotage or terrorism occurring after the date hereof, or any escalation or worsening of any such acts of war, sabotage or terrorism, or (vi) earthquakes, hurricanes, floods or other natural disasters occurring after the date hereof, provided, however, that with respect to clauses (i), (iv), (v) and (vi), such effects, alone or in combination, may be deemed to constitute, or be taken into account in determining whether a Material Adverse Effect has occurred, but only to the extent such effects disproportionately affect the Company and its Subsidiaries compared to other entities that manufacture, package, label, test, distribute, sell, and/or market Pharmaceutical Products (as defined herein).
“Per Share Purchase Price” means $3.50 per Share and share of Common Stock underlying the accompanying Common Warrants.
“Per Pre-Funded Warrant Purchase Price” shall be the Per Share Purchase Price minus $0.001..
“Person” means an individual or corporation, partnership, trust, incorporated or unincorporated association, joint venture, limited liability company, joint stock company, government (or an agency or subdivision thereof) or other entity of any kind.
“Placement Agent” means Rodman & Renshaw LLC and its successors and permitted assigns.
“Pre-Funded Warrants” means, collectively, the Warrants to Purchase Shares of Common Stock in the form of Exhibit A-2 attached hereto.
“Pre-Funded Warrant Shares” means the shares of Common Stock issuable upon exercise of the Pre-Funded Warrants.
“Proceeding” means an action, claim, suit, investigation or proceeding.
“Prospectus” means the final base prospectus included in the Registration Statement at the time it initially became effective, including all information, documents and exhibits filed with or incorporated by reference into such prospectus.
“Prospectus Supplement” means the supplement to the Prospectus relating to the transactions contemplated by this Agreement and complying with Rule 424(b) of the Securities Act, including all information, documents and exhibits filed with or incorporated by reference into such prospectus supplement, that is filed with the Commission and delivered by the Company to each Purchaser at the Closing.
“Registration Statement” means the effective registration statement on Form S-3 filed with the Commission (File No. 333-275261), including all information, documents and exhibits filed with or incorporated by reference into such registration statement, which registers the sale and issuance of the Securities to the Purchasers.
“Rule 424” means Rule 424 promulgated by the Commission pursuant to the Securities Act, as such rule may be amended or interpreted from time to time, or any similar rule or regulation hereafter adopted by the Commission having substantially the same purpose and effect as such rule.
“Securities” means the Shares, the Warrants, the Warrant Shares, the Option Investment and any securities underlying the Option Investment.
“Securities Act” means the Securities Act of 1933, as amended, and the rules and regulations promulgated thereunder.
“Shares” means the shares of Common Stock issued or issuable to each Purchaser pursuant to this Agreement, excluding the Warrant Shares.
“Short Sales” means all “short sales” as defined in Rule 200 of Regulation SHO under the Exchange Act (but shall not be deemed to include locating and/or borrowing shares of Common Stock).
“Subscription Amount” means, as to each Purchaser, the aggregate amount to be paid for Shares or, in lieu thereof, Pre-Funded Warrants, and Common Warrants purchased hereunder as specified below such Purchaser’s name on the signature page of this Agreement and next to the heading “Subscription Amount,” in United States dollars and in immediately available funds.
“Subsidiary” means any subsidiary of the Company as set forth in the SEC Reports.
“Trading Day” means a day on which the principal Trading Market is open for trading.
“Trading Market” means any of the following markets or exchanges on which the Common Stock is listed or quoted for trading on the date in question: the NYSE American, the Nasdaq Capital Market, the Nasdaq Global Market, the Nasdaq Global Select Market or the New York Stock Exchange (or any successors to any of the foregoing).
“Transaction Documents” means this Agreement, the Warrants, all exhibits and schedules thereto and hereto and any other documents or agreements executed in connection with the transactions contemplated hereunder.
“Transfer Agent” means Equiniti Trust Company, LLC.
“Variable Rate Transaction” shall have the meaning ascribed to such term in Section 4.11(b).
“Warrants” means, collectively, the Common Warrants and the Pre-Funded Warrants.
“Warrant Shares” means the shares of Common Stock issuable upon exercise of the Warrants.
ARTICLE II
PURCHASE AND SALE
2.1 Closing. On the Closing Date, upon the terms and subject to the conditions set forth herein, the Company agrees to sell, and the Purchasers agree to purchase, an aggregate of $14,000,000 of Shares, or, at each Purchaser’s election, in lieu of any portion of such Shares, Pre-Funded Warrants, and Common Warrants. Each Purchaser’s Subscription Amount as set forth on the signature page hereto executed by such Purchaser shall be made available for “Delivery Versus Payment” (“DVP”) settlement with the Company or its designee. The Company shall deliver to each Purchaser its respective Shares or, in lieu thereof, Pre-Funded Warrants, and Common Warrants as determined pursuant to Section 2.2(a), and the Company and each Purchaser shall deliver the other items set forth in Section 2.2 deliverable at the Closing. Upon satisfaction of the covenants and conditions set forth in Sections 2.2 and 2.3, the Closing shall occur at the offices of Company Counsel or such other location (including remotely by electronic transmission) as the Company shall elect. Unless directed by the Placement Agent, settlement of the Shares shall occur via DVP (i.e., on the Closing Date, the Company shall issue the Shares registered in the Purchasers’ names and addresses and released by the Transfer Agent directly to the account(s) at the Placement Agent identified by each Purchaser; upon receipt of such Shares, the Placement Agent shall promptly electronically deliver such Shares to the applicable Purchaser, and payment therefore shall be made by the Placement Agent (or its clearing firm) by wire transfer to the Company). Notwithstanding anything herein to the contrary, if at any time on or after the time of execution of this Agreement by the Company and an applicable Purchaser, through, and including the time immediately prior to the Closing (the “Pre-Settlement Period”), such Purchaser sells to any Person all, or any portion, of the Shares to be issued hereunder to such Purchaser at the Closing (collectively, the “Pre-Settlement Shares”), such Purchaser shall, automatically hereunder (without any additional required actions by such Purchaser or the Company), be deemed to be unconditionally bound to purchase, and the Company shall be deemed unconditionally bound to sell, such Pre-Settlement Shares to such Purchaser at the Closing; provided, that the Company shall not be required to deliver any Pre-Settlement Shares to such Purchaser prior to the Company’s receipt of the purchase price of such Pre-Settlement Shares hereunder; and provided, further, that the Company hereby acknowledges and agrees that the forgoing shall not constitute a representation or covenant by such Purchaser as to whether or not during the Pre-Settlement Period such Purchaser shall sell any shares of Common Stock to any Person and that any such decision to sell any shares of Common Stock by such Purchaser shall solely be made at the time such Purchaser elects to effect any such sale, if any.
2.2 Deliveries.
(a) On or prior to the Closing Date, the Company shall deliver or cause to be delivered to each Purchaser the following:
(ii) the Company’s wire instructions;
(i) this Agreement duly executed by the Company; (iii) a copy of the irrevocable instructions to the Transfer Agent instructing the Transfer Agent to deliver on an expedited basis via The Depository Trust Company Deposit or Withdrawal at Custodian system (“DWAC”) Shares equal to the amount as specified below such Purchaser’s name on the signature page of this Agreement and next to the heading “Subscription Amount for Shares” divided by the Per Share Purchase Price, registered in the name of such Purchaser;
(iv) a Common Warrant issued to such Purchaser to purchase up to a number of shares of Common Stock equal to 100% of such Purchaser’s Shares and, if applicable, Pre-Funded Warrant Shares, with an exercise price equal to $4.20 per share, subject to adjustment as set forth therein;
(v) if applicable, for each Purchaser of Pre-Funded Warrants pursuant to Section 2.1, a Pre-Funded Warrant issued to such Purchaser to purchase up to a number of shares of Common Stock equal to the amount as specified below such Purchaser’s name on the signature page of this Agreement and next to the heading “Subscription Amount for Pre-Funded Warrants” divided by the Per Pre-Funded Warrant Purchase Price;
(vi) the Prospectus and Prospectus Supplement (which may be delivered in accordance with Rule 172 under the Securities Act); and
(vii) an opinion of Company Counsel, addressed to the Placement Agent and the Purchasers and dated as of the Closing Date, in form and substance reasonably satisfactory to the Placement Agent and Purchasers.
(b) On or prior to the Closing Date, each Purchaser shall deliver or cause to be delivered to the Company the following:
(i) this Agreement duly executed by such Purchaser; and
(ii) such Purchaser’s Subscription Amount, which shall be made available for DVP settlement with the Company or its designee.
2.3 Closing Conditions.
(a) The obligations of the Company hereunder in connection with the Closing are subject to the following conditions being met:
(i) the accuracy in all material respects (or, to the extent representations or warranties are qualified by materiality or Material Adverse Effect, in all respects) when made and on the Closing Date of the representations and warranties of the Purchasers contained herein (unless such representation or warranty is as of a specific date therein in which case they shall be accurate in all material respects (or, to the extent representations or warranties are qualified by materiality or Material Adverse Effect, in all respects) as of such date);
(ii) all obligations, covenants and agreements of each Purchaser required to be performed at or prior to the Closing Date shall have been performed; and
(iii) the delivery by each Purchaser of the items set forth in Section 2.2(b) of this Agreement.
(b) The respective obligations of the Purchasers hereunder in connection with the Closing are subject to the following conditions being met:
(i) the accuracy in all material respects (or, to the extent representations or warranties are qualified by materiality or Material Adverse Effect, in all respects) when made and on the Closing Date of the representations and warranties of the Company contained herein (unless such representation or warranty is as of a specific date therein in which case they shall be accurate in all material respects (or, to the extent representations or warranties are qualified by materiality or Material Adverse Effect, in all respects) as of such date);
(ii) all obligations, covenants and agreements of the Company required to be performed at or prior to the Closing Date shall have been performed;
(iii) the delivery by the Company of the items set forth in Section 2.2(a) of this Agreement;
(iv) there shall have been no Material Adverse Effect with respect to the Company; and
(v) from the date hereof to the Closing Date, trading in the Common Stock shall not have been suspended by the Commission or the Company’s principal Trading Market, and, at any time prior to the Closing Date, trading in securities generally as reported by Bloomberg L.P. shall not have been suspended or limited, or minimum prices shall not have been established on securities whose trades are reported by such service, or on any Trading Market, nor shall a banking moratorium have been declared either by the United States or New York State authorities nor shall there have occurred any material outbreak or escalation of hostilities or other national or international calamity of such magnitude in its effect on, or any material adverse change in, any financial market which, in each case, in the reasonable judgment of such Purchaser, makes it impracticable or inadvisable to purchase the Securities at the Closing.
ARTICLE III
REPRESENTATIONS AND WARRANTIES
3.1 Representations and Warranties of the Company. Except as set forth in the SEC Reports, the Company hereby makes the following representations and warranties to each Purchaser:
(a) Subsidiaries. All of the direct and indirect subsidiaries of the Company required to be disclosed in the SEC Reports are set forth therein. The Company owns, directly or indirectly, all of the capital stock or other equity interests of each Subsidiary free and clear of any Liens, and all of the issued and outstanding shares of capital stock of each Subsidiary are validly issued and are fully paid, non-assessable.
(b) Organization and Qualification. The Company and each of the Subsidiaries is an entity duly incorporated or otherwise organized, validly existing and in good standing under the laws of the jurisdiction of its incorporation or organization, with the requisite power and authority to own and use its properties and assets and to carry on its business as currently conducted. Neither the Company nor any Subsidiary is in violation nor default of any of the provisions of its respective certificate or articles of incorporation, bylaws or other organizational or charter documents. Each of the Company and the Subsidiaries is duly qualified to conduct business and is in good standing as a foreign corporation or other entity in each jurisdiction in which the nature of the business conducted or property owned by it makes such qualification necessary, except where the failure to be so qualified or in good standing, as the case may be, would not have or reasonably be expected to result in a Material Adverse Effect and no Proceeding has been instituted in any such jurisdiction revoking, limiting or curtailing or seeking to revoke, limit or curtail such power and authority or qualification.
(c) Authorization; Enforcement. The Company has the requisite corporate power and authority to enter into and to consummate the transactions contemplated by this Agreement and each of the other Transaction Documents and otherwise to carry out its obligations hereunder and thereunder. The execution and delivery of this Agreement and each of the other Transaction Documents by the Company and the consummation by it of the transactions contemplated hereby and thereby have been duly authorized by all necessary action on the part of the Company and no further action is required by the Company, the Board of Directors or the Company’s stockholders in connection herewith or therewith other than in connection with the Required Approvals. This Agreement and each other Transaction Document to which it is a party has been (or upon delivery will have been) duly executed by the Company and, when delivered in accordance with the terms hereof and thereof, will constitute the valid and binding obligation of the Company enforceable against the Company in accordance with its terms, except (i) as limited by general equitable principles and applicable bankruptcy, insolvency, reorganization, moratorium and other laws of general application affecting enforcement of creditors’ rights generally, (ii) as limited by laws relating to the availability of specific performance, injunctive relief or other equitable remedies and (iii) insofar as indemnification and contribution provisions may be limited by applicable law.
(d) No Conflicts. The execution, delivery and performance by the Company of this Agreement and the other Transaction Documents to which it is a party, the issuance and sale of the Securities and the consummation by it of the transactions contemplated hereby and thereby do not and will not (i) conflict with or violate any provision of the Company’s or any Subsidiary’s certificate or articles of incorporation, bylaws or other organizational or charter documents, or (ii) conflict with, or constitute a default (or an event that with notice or lapse of time or both would become a default) under, result in the creation of any Lien upon any of the properties or assets of the Company or any Subsidiary, or give to others any rights of termination, amendment, anti-dilution or similar adjustments, acceleration or cancellation (with or without notice, lapse of time or both) of, any agreement, credit facility, debt or other instrument (evidencing a Company or Subsidiary debt or otherwise) or other understanding to which the Company or any Subsidiary is a party or by which any property or asset of the Company or any Subsidiary is bound or affected, or (iii) subject to the Required Approvals, conflict with or result in a violation of any law, rule, regulation, order, judgment, injunction, decree or other restriction of any court or governmental authority to which the Company or a Subsidiary is subject (including federal and state securities laws and regulations), or by which any property or asset of the Company or a Subsidiary is bound or affected; except in the case of each of clauses (ii) and (iii), such as would not, individually or in the aggregate, have or reasonably be expected to result in a Material Adverse Effect.
(e) Filings, Consents and Approvals. The Company is not required to obtain any consent, waiver, authorization or order of, give any notice to, or make any filing or registration with, any court or other federal, state, local or other governmental authority or other Person in connection with the execution, delivery and performance by the Company of the Transaction Documents, other than: (i) the filings required pursuant to Section 4.4 of this Agreement, (ii) the filing with the Commission of the Prospectus Supplement, (iii) the notice and/or application(s) to each applicable Trading Market for the issuance and sale of the Securities and the listing of the Shares and Warrant Shares for trading thereon in the time and manner required thereby, and (iv) such filings as are required to be made under applicable state securities laws (collectively, the “Required Approvals”).
(f) Issuance of the Securities; Registration. The Shares and the Warrants are duly authorized and, when issued and paid for in accordance with this Agreement, will be duly and validly issued, fully paid and nonassessable, free and clear of all Liens imposed by the Company. The Warrant Shares, when issued in accordance with the terms of the Warrants, will be validly issued, fully paid and nonassessable, free and clear of all Liens imposed by the Company. The Company has reserved from its duly authorized capital stock the Warrant Shares. The Company has prepared and filed the Registration Statement in conformity with the requirements of the Securities Act, which became effective on November 13, 2023, including the Prospectus, and such amendments and supplements thereto as may have been required to the date of this Agreement. The Company was at the time of the filing of the Registration Statement eligible to use Form S-3. The Company is eligible to use Form S-3 under the Securities Act and it meets the transaction requirements as set forth in General Instruction I.B.1 of Form S-3. The Registration Statement is effective under the Securities Act and no stop order preventing or suspending the effectiveness of the Registration Statement or suspending or preventing the use of the Prospectus has been issued by the Commission and no proceedings for that purpose have been instituted or, to the knowledge of the Company, are threatened by the Commission. The Company, if required by the rules and regulations of the Commission, shall file the Prospectus Supplement with the Commission pursuant to Rule 424(b). At the time the Registration Statement and any amendments thereto became effective, at the date of this Agreement and at the Closing Date, the Registration Statement and any amendments thereto conformed and will conform in all material respects to the requirements of the Securities Act and did not and will not contain any untrue statement of a material fact or omit to state any material fact required to be stated therein or necessary to make the statements therein not misleading; and the Prospectus and any amendments or supplements thereto, at the time the Prospectus or any amendment or supplement thereto was issued and at the Closing Date, conformed and will conform in all material respects to the requirements of the Securities Act and did not and will not contain an untrue statement of a material fact or omit to state a material fact necessary in order to make the statements therein, in the light of the circumstances under which they were made, not misleading.
(g) Capitalization. The capitalization of the Company as of the date hereof is as set forth in the SEC Reports. Except as set forth in the SEC Reports, the Company has not issued any capital stock since its most recently filed periodic report under the Exchange Act, other than pursuant to the exercise of employee stock options under the Company’s stock option plans, the issuance of shares of Common Stock to employees pursuant to the Company’s employee stock purchase plans and pursuant to the conversion and/or exercise of Common Stock Equivalents outstanding as of the date of the most recently filed periodic report under the Exchange Act or pursuant to the Company’s existing “at the market” facility. No Person has any right of first refusal, preemptive right, right of participation, or any similar right to participate in the transactions contemplated by the Transaction Documents. Except as disclosed in the SEC Reports and as a result of the purchase and sale of the Securities, there are no outstanding options, warrants, scrip rights to subscribe to, calls or commitments of any character whatsoever relating to, or securities, rights or obligations convertible into or exercisable or exchangeable for, or giving any Person any right to subscribe for or acquire, any shares of Common Stock or the capital stock of any Subsidiary, or contracts, commitments, understandings or arrangements by which the Company or any Subsidiary is or may become bound to issue additional shares of Common Stock or Common Stock Equivalents or capital stock of any Subsidiary. The issuance and sale of the Securities will not obligate the Company or any Subsidiary to issue shares of Common Stock or other securities to any Person (other than the Purchasers). There are no outstanding securities or instruments of the Company or any Subsidiary with any provision that adjusts the exercise, conversion, exchange or reset price of such security or instrument upon an issuance of securities by the Company or any Subsidiary. There are no outstanding securities or instruments of the Company or any Subsidiary that contain any redemption or similar provisions, and there are no contracts, commitments, understandings or arrangements by which the Company or any Subsidiary is or may become bound to redeem a security of the Company or such Subsidiary. The Company does not have any stock appreciation rights or “phantom stock” plans or agreements or any similar plan or agreement. All of the outstanding shares of capital stock of the Company are duly authorized, validly issued, fully paid and nonassessable, have been issued in compliance with all federal and state securities laws, and none of such outstanding shares was issued in violation of any preemptive rights or similar rights to subscribe for or purchase securities. No further approval or authorization of any stockholder, the Board of Directors or others is required for the issuance and sale of the Securities. There are no stockholders agreements, voting agreements or other similar agreements with respect to the Company’s capital stock to which the Company is a party or, to the knowledge of the Company, between or among any of the Company’s stockholders.
(h) SEC Reports; Financial Statements. The Company has filed all reports, schedules, forms, statements and other documents required to be filed by the Company under the Securities Act and the Exchange Act, including pursuant to Section 13(a) or 15(d) thereof, for the two (2) years preceding the date hereof (or such shorter period as the Company was required by law or regulation to file such material) (the foregoing materials, including the exhibits thereto and documents incorporated by reference therein, together with the Prospectus and the Prospectus Supplement, being collectively referred to herein as the “SEC Reports”) on a timely basis or has received a valid extension of such time of filing and has filed any such SEC Reports prior to the expiration of any such extension. As of their respective dates, the SEC Reports complied in all material respects with the requirements of the Securities Act and the Exchange Act, as applicable, and none of the SEC Reports, when filed, contained any untrue statement of a material fact or omitted to state a material fact required to be stated therein or necessary in order to make the statements therein, in the light of the circumstances under which they were made, not misleading. The Company has never been an issuer subject to Rule 144(i) under the Securities Act. The financial statements of the Company included in the SEC Reports comply in all material respects with applicable accounting requirements and the rules and regulations of the Commission with respect thereto as in effect at the time of filing. Such financial statements have been prepared in accordance with United States generally accepted accounting principles applied on a consistent basis during the periods involved (“GAAP”), except as may be otherwise specified in such financial statements or the notes thereto and except that unaudited financial statements may not contain all footnotes required by GAAP, and fairly present in all material respects the financial position of the Company and its consolidated Subsidiaries as of and for the dates thereof and the results of operations and cash flows for the periods then ended, subject, in the case of unaudited statements, to normal, immaterial, year-end audit adjustments.
(i) Material Changes; Undisclosed Events, Liabilities or Developments. Since the date of the latest audited financial statements included within the SEC Reports, except as disclosed in the SEC Reports, (i) there has been no event, occurrence or development that has had or that would reasonably be expected to result in a Material Adverse Effect, (ii) the Company has not incurred any liabilities (contingent or otherwise) other than (A) trade payables and accrued expenses incurred in the ordinary course of business consistent with past practice and (B) liabilities not required to be reflected in the Company’s financial statements pursuant to GAAP or disclosed in filings made with the Commission, (iii) the Company has not altered its method of accounting, (iv) the Company has not declared or made any dividend or distribution of cash or other property to its stockholders or purchased, redeemed or made any agreements to purchase or redeem any shares of its capital stock and (v) the Company has not issued any equity securities to any officer, director or Affiliate, except pursuant to existing Company equity compensation plans. The Company does not have pending before the Commission any request for confidential treatment of information. Except for the issuance of the Securities contemplated by this Agreement or as set forth in the SEC Reports, no event, liability, fact, circumstance, occurrence or development has occurred or exists or is reasonably expected to occur or exist with respect to the Company or its Subsidiaries or their respective businesses, prospects, properties, operations, assets or financial condition that would be required to be disclosed by the Company under applicable securities laws at the time this representation is made or deemed made that has not been publicly disclosed.
(j) Litigation. Except as set forth in the SEC Reports, and except in each case as would not have or reasonably be expected to result in a Material Adverse Effect, there is no action, suit, inquiry, notice of violation, proceeding or investigation pending or, to the knowledge of the Company, threatened against the Company, any Subsidiary or any of their respective properties before or by any court, arbitrator, governmental or administrative agency or regulatory authority (federal, state, county, local or foreign) (collectively, an “Action”). Except as set forth in the SEC Reports, and except in each case as would not have or reasonably be expected to result in a Material Adverse Effect, neither the Company nor any Subsidiary is or has been the subject of any Action involving a claim of violation of or liability under federal or state securities laws. Except as set forth in the SEC Reports, and except as would not have or reasonably be expected to result in a Material Adverse Effect, to the knowledge of the Company, there is no pending or contemplated investigation by the Commission of the Company. The Commission has not issued any stop order or other order suspending the effectiveness of any registration statement filed by the Company or any Subsidiary under the Exchange Act or the Securities Act.
(k) Labor Relations. No labor dispute exists or, to the knowledge of the Company, is imminent with respect to any of the employees of the Company, which would reasonably be expected to result in a Material Adverse Effect. None of the Company’s or its Subsidiaries’ employees is a member of a union that relates to such employee’s relationship with the Company or such Subsidiary, and neither the Company nor any of its Subsidiaries is a party to a collective bargaining agreement, and the Company and its Subsidiaries believe that their relationships with their employees are good. To the knowledge of the Company, no executive officer of the Company or any Subsidiary, is, or is now expected to be, in violation of any material term of any employment contract, confidentiality, disclosure or proprietary information agreement or non-competition agreement, or any other contract or agreement or any restrictive covenant in favor of any third party, and the continued employment of each such executive officer does not subject the Company or any of its Subsidiaries to any liability with respect to any of the foregoing matters. The Company and its Subsidiaries are in compliance with all U.S. federal, state, local and foreign laws and regulations relating to employment and employment practices, terms and conditions of employment and wages and hours, except where the failure to be in compliance would not, individually or in the aggregate, reasonably be expected to have a Material Adverse Effect.
(l) Compliance. Other than pursuant to the Credit Agreement and except as set forth in the SEC Reports, neither the Company nor any Subsidiary: (i) is in default under or in violation of (and no event has occurred that has not been waived that, with notice or lapse of time or both, would result in a default by the Company or any Subsidiary under), nor has the Company or any Subsidiary received written notice of a claim that it is in default under or that it is in violation of, any indenture, loan or credit agreement or any other agreement or instrument to which it is a party or by which it or any of its properties is bound (whether or not such default or violation has been waived), (ii) is in violation of any judgment, decree or order of any court, arbitrator or other governmental authority or (iii) is or has been in violation of any statute, rule, ordinance or regulation of any governmental authority, including without limitation all foreign, federal, state and local laws relating to taxes, environmental protection, occupational health and safety, product quality and safety and employment and labor matters, except in each case as would not have or reasonably be expected to result in a Material Adverse Effect.
(m) Environmental Laws. The Company and its Subsidiaries (i) are in compliance with all federal, state, local and foreign laws relating to pollution or protection of human health or the environment (including ambient air, surface water, groundwater, land surface or subsurface strata), including laws relating to emissions, discharges, releases or threatened releases of chemicals, pollutants, contaminants, or toxic or hazardous substances or wastes (collectively, “Hazardous Materials”) into the environment, or otherwise relating to the manufacture, processing, distribution, use, treatment, storage, disposal, transport or handling of Hazardous Materials, as well as all authorizations, codes, decrees, demands, or demand letters, injunctions, judgments, licenses, notices or notice letters, orders, permits, plans or regulations, issued, entered, promulgated or approved thereunder (“Environmental Laws”); (ii) have received all permits licenses or other approvals required of them under applicable Environmental Laws to conduct their respective businesses; and (iii) are in compliance with all terms and conditions of any such permit, license or approval where in each clause (i), (ii) and (iii), the failure to so comply would be reasonably expected to have, individually or in the aggregate, a Material Adverse Effect.
(n) Regulatory Permits. The Company and the Subsidiaries possess all certificates, authorizations and permits issued by the appropriate federal, state, local or foreign regulatory authorities necessary to conduct their respective businesses as described in the SEC Reports, except where the failure to possess such permits would not reasonably be expected to result in a Material Adverse Effect (“Material Permits”), and neither the Company nor any Subsidiary has received any notice of proceedings relating to the revocation or modification of any Material Permit.
(o) Title to Assets. The Company and the Subsidiaries have good and marketable title in fee simple to all real property owned by them and good and marketable title in all personal property owned by them that is material to the business of the Company and the Subsidiaries, in each case free and clear of all Liens, except for (i) Liens as do not materially affect the value of such property and do not materially interfere with the use made and proposed to be made of such property by the Company and the Subsidiaries, and (ii) Liens for the payment of federal, state or other taxes, for which appropriate reserves have been made therefor in accordance with GAAP and, the payment of which is neither delinquent nor subject to penalties. Any real property and facilities held under lease by the Company and the Subsidiaries are held by them under valid, subsisting and enforceable leases with which the Company and the Subsidiaries are in compliance.
(p) Intellectual Property. To the Company’s knowledge, the Company and the Subsidiaries have, or have rights to use, all patents, patent applications, trademarks, trademark applications, service marks, trade names, trade secrets, inventions, copyrights, licenses and other intellectual property rights and similar rights necessary or required for use in connection with their respective businesses as described in the SEC Reports and which the failure to so have would have a Material Adverse Effect (collectively, the “Intellectual Property Rights”). None of, and neither the Company nor any Subsidiary has received a written notice that any of, the Intellectual Property Rights has expired, terminated or been abandoned, or is expected to expire or terminate or be abandoned, within two (2) years from the date of this Agreement, except where the failure to possess such rights would not reasonably be expected to have a Material Adverse Effect. Neither the Company nor any Subsidiary has received, since the date of the latest audited financial statements included within the SEC Reports, a written notice of a claim or otherwise has any knowledge that the Intellectual Property Rights violate or infringe upon the rights of any Person, except as would not have or reasonably be expected to not have a Material Adverse Effect. To the knowledge of the Company, all such Intellectual Property Rights are enforceable and there is no existing infringement by another Person of any of the Intellectual Property Rights. The Company and its Subsidiaries have taken reasonable security measures to protect the secrecy, confidentiality and value of all of their intellectual properties, except where failure to do so would not, individually or in the aggregate, reasonably be expected to have a Material Adverse Effect. The Company has no knowledge of any facts that would preclude it from having valid license rights or clear title to the Intellectual Property Rights. The Company has no knowledge that it lacks or will be unable to obtain any rights or licenses to use all Intellectual Property Rights that are necessary to conduct its business.
(q) Insurance. The Company and the Subsidiaries are insured by insurers of recognized financial responsibility against such losses and risks and in such amounts as are prudent and customary in the businesses in which the Company and the Subsidiaries are engaged, including, but not limited to, directors and officers insurance. Neither the Company nor any Subsidiary has any reason to believe that it will not be able to renew its existing insurance coverage as and when such coverage expires or to obtain similar coverage from similar insurers as may be necessary to continue its business without a significant increase in cost.
(r) Transactions With Affiliates and Employees. Except as set forth in the SEC Reports, none of the officers or directors of the Company or any Subsidiary and, to the knowledge of the Company, none of the employees of the Company or any Subsidiary is presently a party to any transaction with the Company or any Subsidiary (other than for services as employees, officers and directors), including any contract, agreement or other arrangement providing for the furnishing of services to or by, providing for rental of real or personal property to or from, providing for the borrowing of money from or lending of money to or otherwise requiring payments to or from any officer, director or such employee or, to the knowledge of the Company, any entity in which any officer, director, or any such employee has a substantial interest or is an officer, director, trustee, stockholder, member or partner, in each case in excess of $120,000 other than for (i) payment of salary or consulting fees for services rendered, (ii) reimbursement for expenses incurred on behalf of the Company and (iii) other employee benefits, including incentive award agreements under any incentive award plan of the Company.
(s) Sarbanes-Oxley; Internal Accounting Controls. The Company and the Subsidiaries are in compliance in all material respects with any and all applicable requirements of the Sarbanes-Oxley Act of 2002, as amended, that are effective as of the date hereof and as of the Closing Date, and any and all applicable rules and regulations promulgated by the Commission thereunder that are effective as of the date hereof and as of the Closing Date. The Company and the Subsidiaries maintain a system of internal accounting controls designed to provide reasonable assurance that: (i) transactions are executed in accordance with management’s general or specific authorizations, (ii) transactions are recorded as necessary to permit preparation of financial statements in conformity with GAAP and to maintain asset accountability, (iii) access to assets is permitted only in accordance with management’s general or specific authorization, and (iv) the recorded accountability for assets is compared with the existing assets at reasonable intervals and appropriate action is taken with respect to any differences. The Company and the Subsidiaries have established disclosure controls and procedures (as defined in Exchange Act Rules 13a-15(e) and 15d-15(e)) for the Company and the Subsidiaries and designed such disclosure controls and procedures to ensure that information required to be disclosed by the Company in the reports it files or submits under the Exchange Act is recorded, processed, summarized and reported, within the time periods specified in the Commission’s rules and forms. The Company’s certifying officers have evaluated the effectiveness of the disclosure controls and procedures of the Company and the Subsidiaries as of the end of the period covered by the most recently filed periodic report under the Exchange Act (such date, the “Evaluation Date”). The Company presented in its most recently filed periodic report under the Exchange Act the conclusions of the certifying officers about the effectiveness of the disclosure controls and procedures based on their evaluations as of the Evaluation Date. Since the Evaluation Date, there have been no changes in the internal control over financial reporting (as such term is defined in the Exchange Act) of the Company and its Subsidiaries that have materially affected, or is reasonably likely to materially affect, the internal control over financial reporting of the Company and its Subsidiaries.
(t) Certain Fees. Except for compensation payable by the Company to the Placement Agent, no brokerage or finder’s fees or commissions are or will be payable by the Company or any Subsidiary to any broker, financial advisor or consultant, finder, placement agent, investment banker, bank or other Person with respect to the transactions contemplated by the Transaction Documents. The Purchasers shall have no obligation with respect to any fees or with respect to any claims made by or on behalf of other Persons for fees of a type contemplated in this Section 3.1(t) that may be due in connection with the transactions contemplated by the Transaction Documents.
(u) Investment Company. The Company is not, and is not an Affiliate of, and immediately after receipt of payment for the Securities, will not be or be an Affiliate of, an “investment company” within the meaning of the Investment Company Act of 1940, as amended. The Company shall conduct its business in a manner so that it will not become an “investment company” subject to registration under the Investment Company Act of 1940, as amended.
(v) Registration Rights. No Person has any right to cause the Company or any Subsidiary to effect the registration under the Securities Act of any securities of the Company or any Subsidiary.
(w) Listing and Maintenance Requirements. The Common Stock is registered pursuant to Section 12(b) or 12(g) of the Exchange Act, and the Company has taken no action designed to, or which to its knowledge is likely to have the effect of, terminating the registration of the Common Stock under the Exchange Act nor has the Company received any notification that the Commission is contemplating terminating such registration except as disclosed in the SEC Reports. Other than as disclosed in the SEC Reports, the Company has not, in the 12 months preceding the date hereof, received notice from any Trading Market on which the Common Stock is or has been listed or quoted to the effect that the Company is not in compliance with the listing or maintenance requirements of such Trading Market. Other than as disclosed in the SEC Reports, the Company is, and has no reason to believe that it will not in the foreseeable future continue to be, in compliance with all such listing and maintenance requirements. The Common Stock is currently eligible for electronic transfer through the Depository Trust Company or another established clearing corporation and the Company is current in payment of the fees to the Depository Trust Company (or such other established clearing corporation) in connection with such electronic transfer.
(x) Application of Takeover Protections. The Company and the Board of Directors have taken all necessary action, if any, in order to render inapplicable any control share acquisition, business combination, poison pill (including any distribution under a rights agreement) or other similar anti-takeover provision under the Company’s certificate of incorporation (or similar charter documents) or the laws of its state of incorporation that is or could become applicable to the Purchasers as a result of the Purchasers and the Company fulfilling their obligations or exercising their rights under the Transaction Documents, including without limitation as a result of the Company’s issuance of the Securities and the Purchasers’ ownership of the Securities.
(y) Disclosure. Except with respect to the material terms and conditions of the transactions contemplated by the Transaction Documents, the Company confirms that neither it nor any other Person acting on its behalf has provided any of the Purchasers or their agents or counsel with any information that it believes constitutes or might constitute material, non-public information which is not otherwise disclosed in the SEC Reports. The Company understands and confirms that the Purchasers will rely on the foregoing representation in effecting transactions in securities of the Company. All of the disclosure furnished by or on behalf of the Company to the Purchasers regarding the Company and its Subsidiaries, their respective businesses and the transactions contemplated hereby in all material respects as of the date made is true and correct and does not contain any untrue statement of a material fact or omit to state any material fact necessary in order to make the statements made therein, in the light of the circumstances under which they were made, not misleading. The Company acknowledges and agrees that no Purchaser makes or has made any representations or warranties with respect to the transactions contemplated hereby other than those specifically set forth in Section 3.2 hereof.
(z) No Integrated Offering. Assuming the accuracy of the Purchasers’ representations and warranties set forth in Section 3.2, neither the Company, nor any of its Affiliates, nor any Person acting on its or their behalf has, directly or indirectly, made any offers or sales of any security or solicited any offers to buy any security, under circumstances that would cause this offering of the Securities to be integrated with prior offerings by the Company for purposes of any applicable shareholder approval provisions of any Trading Market on which any of the securities of the Company are listed or designated.
(aa) Indebtedness. The SEC Reports disclose as of the date hereof all outstanding material secured and unsecured Indebtedness of the Company or any Subsidiary, or for which the Company or any Subsidiary has commitments. For the purposes of this Agreement, “Indebtedness” means (i) any liabilities for borrowed money or amounts owed (other than trade accounts payable incurred in the ordinary course of business), (ii) all guaranties, endorsements and other contingent obligations in respect of indebtedness of others, whether or not the same are or should be reflected in the Company’s consolidated balance sheet (or the notes thereto), except guaranties by endorsement of negotiable instruments for deposit or collection or similar transactions in the ordinary course of business; and (iii) the present value of any lease payments due under leases required to be capitalized in accordance with GAAP. Neither the Company nor any Subsidiary is in default with respect to any Indebtedness.
(bb) Tax Status. Except for matters that would not, individually or in the aggregate, have or reasonably be expected to result in a Material Adverse Effect, the Company and its Subsidiaries each (i) has made or filed all United States federal, state and local income and all foreign income and franchise tax returns, reports and declarations required by any jurisdiction to which it is subject, (ii) has paid all taxes and other governmental assessments and charges that are material in amount, shown or determined to be due on such returns, reports and declarations, except those being contested in good faith, with respect to which adequate reserves have been set aside on the books of the Company, and (iii) has set aside on its books provision reasonably adequate for the payment of all material taxes for periods subsequent to the periods to which such returns, reports or declarations apply. There are no unpaid taxes in any material amount claimed to be due by the taxing authority of any jurisdiction, and the officers of the Company or of any Subsidiary know of no basis for any such claim.
(cc) Foreign Corrupt Practices. Neither the Company nor any Subsidiary, nor to the knowledge of the Company or any Subsidiary, any agent or other person acting on behalf of the Company or any Subsidiary, has (i) directly or indirectly, used any funds for unlawful contributions, gifts, entertainment or other unlawful expenses related to foreign or domestic political activity, (ii) made any unlawful payment to foreign or domestic government officials or employees or to any foreign or domestic political parties or campaigns from corporate funds, (iii) failed to disclose fully any contribution made by the Company or any Subsidiary (or made by any person acting on its behalf of which the Company is aware) which is in violation of law, or (iv) violated in any material respect any provision of FCPA.
(dd) Accountants. The Company’s independent registered public accounting firm is Ernst & Young LLP. To the knowledge and belief of the Company, such accounting firm (i) is a registered public accounting firm as required by the Exchange Act and (ii) shall express its opinion with respect to the financial statements to be included in the Company’s Annual Report for the fiscal year ended December 31, 2024
(ee) Acknowledgment Regarding Purchasers’ Purchase of Securities. The Company acknowledges and agrees that each of the Purchasers is acting solely in the capacity of an arm’s length purchaser with respect to the Transaction Documents and the transactions contemplated thereby. The Company further acknowledges that no Purchaser is acting as a financial advisor or fiduciary of the Company (or in any similar capacity) with respect to the Transaction Documents and the transactions contemplated thereby and any advice given by any Purchaser or any of their respective representatives or agents in connection with the Transaction Documents and the transactions contemplated thereby is merely incidental to the Purchasers’ purchase of the Securities. The Company further represents to each Purchaser that the Company’s decision to enter into this Agreement and the other Transaction Documents has been based solely on the independent evaluation of the transactions contemplated hereby by the Company and its representatives.
(ff) Acknowledgment Regarding Purchasers’ Trading Activity. Anything in this Agreement or elsewhere herein to the contrary notwithstanding (except for Sections 3.2(f) and 4.13 hereof), it is understood and acknowledged by the Company that: (i) none of the Purchasers has been asked by the Company to agree, nor has any Purchaser agreed, to desist from purchasing or selling, long and/or short, securities of the Company, or “derivative” securities based on securities issued by the Company or to hold the Securities for any specified term; (ii) past or future open market or other transactions by any Purchaser, specifically including, without limitation, Short Sales or “derivative” transactions, before or after the closing of this or future private placement transactions, may negatively impact the market price of the Company’s publicly-traded securities; (iii) any Purchaser, and counter-parties in “derivative” transactions to which any such Purchaser is a party, directly or indirectly, presently may have a “short” position in the Common Stock, and (iv) each Purchaser shall not be deemed to have any affiliation with or control over any arm’s length counter-party in any “derivative” transaction. The Company further understands and acknowledges that (y) one or more Purchasers may engage in hedging activities at various times during the period that the Securities are outstanding, including, without limitation, during the periods that the value of the Warrant Shares deliverable with respect to Securities are being determined, and (z) such hedging activities (if any) could reduce the value of the existing stockholders' equity interests in the Company at and after the time that the hedging activities are being conducted. The Company acknowledges that such aforementioned hedging activities do not constitute a breach of any of the Transaction Documents.
(gg) Regulation M Compliance. The Company has not, and to its knowledge no one acting on its behalf has, (i) taken, directly or indirectly, any action designed to cause or to result in the stabilization or manipulation of the price of any security of the Company to facilitate the sale or resale of any of the Securities, (ii) sold, bid for, purchased, or, paid any compensation for soliciting purchases of, any of the Securities, or (iii) paid or agreed to pay to any Person any compensation for soliciting another to purchase any other securities of the Company, other than, in the case of clauses (ii) and (iii), compensation paid to the Placement Agent in connection with the placement of the Securities.
(hh) FDA. As to each product subject to the jurisdiction of the U.S. Food and Drug Administration (“FDA”) under the Federal Food, Drug and Cosmetic Act, as amended, and the regulations thereunder (“FDCA”) that is manufactured, packaged, labeled, tested, distributed, sold, and/or marketed by the Company or any of its Subsidiaries (each such product, a “Pharmaceutical Product”), such Pharmaceutical Product is being manufactured, packaged, labeled, tested, distributed, sold and/or marketed by the Company in compliance with all applicable requirements under FDCA and similar laws, rules and regulations relating to registration, investigational use, premarket clearance, licensure, or application approval, good manufacturing practices, good laboratory practices, good clinical practices, product listing, quotas, labeling, advertising, record keeping and filing of reports, except where the failure to be in compliance would not have a Material Adverse Effect. Other than as disclosed in the SEC Reports, there is no pending, completed or, to the Company's knowledge, threatened in writing, action (including any lawsuit, arbitration, or legal or administrative or regulatory proceeding, charge, complaint, or investigation) against the Company or any of its Subsidiaries, and none of the Company or any of its Subsidiaries has received any notice, warning letter or other communication from the FDA or any other governmental entity, which (i) contests the premarket clearance, licensure, registration, or approval of, the uses of, the distribution of, the manufacturing or packaging of, the testing of, the sale of, or the labeling and promotion of any Pharmaceutical Product, (ii) withdraws its approval of, requests the recall, suspension, or seizure of, or withdraws or orders the withdrawal of advertising or sales promotional materials relating to, any Pharmaceutical Product, (iii) imposes a clinical hold on any clinical investigation by the Company or any of its Subsidiaries, (iv) enjoins production at any facility of the Company or any of its Subsidiaries, (v) enters or proposes to enter into a consent decree of permanent injunction with the Company or any of its Subsidiaries, or (vi) otherwise alleges any violation of any laws, rules or regulations by the Company or any of its Subsidiaries, and which, either individually or in the aggregate, would have a Material Adverse Effect. The properties, business and operations of the Company have been and are being conducted in all material respects in accordance with all applicable laws, rules and regulations of the FDA. The Company has not been informed by the FDA that the FDA will prohibit the marketing, sale, license or use in the United States of any product proposed to be developed, produced or marketed by the Company.
(ii) Stock Option Plans. Each stock option granted by the Company under the Company’s stock option plan was granted (i) in accordance with the terms of the Company’s stock option plan and (ii) with an exercise price at least equal to the fair market value of the Common Stock on the date such stock option would be considered granted under GAAP and applicable law. No stock option granted under the Company’s stock option plan has been backdated. The Company has not knowingly granted, and there is no and has been no Company policy or practice to knowingly grant, stock options prior to, or otherwise knowingly coordinate the grant of stock options with, the release or other public announcement of material information regarding the Company or its Subsidiaries or their financial results or prospects.
(jj) Cybersecurity. Except as disclosed in the SEC Reports, (i)(x) there has been no security breach or other compromise of or relating to any of the Company’s or any Subsidiary’s information technology and computer systems, networks, hardware, software, data (including the data of its respective customers, employees, suppliers, vendors and any third party data maintained by or on behalf of it), equipment or technology (collectively, “IT Systems and Data”), except for those as would not cause a Material Adverse Effect, and (y) the Company and the Subsidiaries have not been notified of, and have no knowledge of any event or condition that would reasonably be expected to result in, any security breach or other compromise to its IT Systems and Data that would cause a Material Adverse Effect; (ii) the Company and the Subsidiaries are presently in material compliance with all applicable laws or statutes and all judgments, orders, rules and regulations of any court or arbitrator or governmental or regulatory authority, internal policies and contractual obligations relating to the privacy and security of IT Systems and Data and to the protection of such IT Systems and Data from unauthorized use, access, misappropriation or modification, except as would not, individually or in the aggregate, have a Material Adverse Effect; (iii) the Company and the Subsidiaries have implemented and maintained commercially reasonable safeguards to maintain and protect its material confidential information and the integrity, continuous operation, redundancy and security of all IT Systems and Data; and (iv) the Company and the Subsidiaries have implemented backup and disaster recovery technology consistent with industry standards and practices.
(kk) Office of Foreign Assets Control. Neither the Company nor any Subsidiary nor, to the Company's knowledge, any director, officer, agent, employee or affiliate of the Company or any Subsidiary is currently subject to any U.S. sanctions administered by the Office of Foreign Assets Control of the U.S. Treasury Department (“OFAC”).
(ll) U.S. Real Property Holding Corporation. The Company is not and has never been a U.S. real property holding corporation within the meaning of Section 897 of the Internal Revenue Code of 1986, as amended.
(mm) Bank Holding Company Act. Neither the Company nor any of its Subsidiaries or Affiliates is subject to the Bank Holding Company Act of 1956, as amended (the “BHCA”) and to regulation by the Board of Governors of the Federal Reserve System (the “Federal Reserve”). Neither the Company nor any of its Subsidiaries or Affiliates owns or controls, directly or indirectly, five percent (5%) or more of the outstanding shares of any class of voting securities or twenty-five percent (25%) or more of the total equity of a bank or any entity that is subject to the BHCA and to regulation by the Federal Reserve. Neither the Company nor any of its Subsidiaries or Affiliates exercises a controlling influence over the management or policies of a bank or any entity that is subject to the BHCA and to regulation by the Federal Reserve.
(nn) Money Laundering. The operations of the Company and its Subsidiaries are and have been conducted at all times in compliance with applicable financial record-keeping and reporting requirements of the Currency and Foreign Transactions Reporting Act of 1970, as amended, applicable money laundering statutes and applicable rules and regulations thereunder (collectively, the “Money Laundering Laws”), and no Action or Proceeding by or before any court or governmental agency, authority or body or any arbitrator involving the Company or any Subsidiary with respect to the Money Laundering Laws is pending or, to the knowledge of the Company or any Subsidiary, threatened.
3.2 Representations and Warranties of the Purchasers. Each Purchaser, for itself and for no other Purchaser, hereby represents and warrants as of the date hereof and as of the Closing Date to the Company as follows (unless as of a specific date therein, in which case they shall be accurate as of such date):
(a) Organization; Authority. Such Purchaser is duly incorporated or formed, validly existing and in good standing under the laws of the jurisdiction of its incorporation or formation with full right, corporate, partnership, limited liability company or similar power and authority to enter into and to consummate the transactions contemplated by the Transaction Documents and otherwise to carry out its obligations hereunder and thereunder. The execution and delivery of the Transaction Documents and performance by such Purchaser of the transactions contemplated by the Transaction Documents have been duly authorized by all necessary corporate, partnership, limited liability company or similar action, as applicable, on the part of such Purchaser. Each Transaction Document to which it is a party has been duly executed by such Purchaser, and when delivered by such Purchaser in accordance with the terms hereof, will constitute the valid and legally binding obligation of such Purchaser, enforceable against it in accordance with its terms, except: (i) as limited by general equitable principles and applicable bankruptcy, insolvency, reorganization, moratorium and other laws of general application affecting enforcement of creditors’ rights generally, (ii) as limited by laws relating to the availability of specific performance, injunctive relief or other equitable remedies and (iii) insofar as indemnification and contribution provisions may be limited by applicable law.
(b) Understandings or Arrangements. Such Purchaser is acquiring the Securities as principal for its own account and has no direct or indirect arrangement or understandings with any other persons to distribute or regarding the distribution of such Securities (this representation and warranty not limiting such Purchaser’s right to sell the Securities in compliance with applicable federal and state securities laws). Such Purchaser is acquiring the Securities hereunder in the ordinary course of its business.
(c) Purchaser Status. At the time such Purchaser was offered the Securities, it was, and as of the date hereof it is, and on each date on which it exercises any Warrants, it will be either: (i) an “accredited investor” as defined in Rule 501(a)(1), (a)(2), (a)(3), (a)(7), (a)(8), (a)(9), (a)(12), or (a)(13) under the Securities Act or (ii) a “qualified institutional buyer” as defined in Rule 144A(a) under the Securities Act.
(d) Experience of Such Purchaser. Such Purchaser is a highly sophisticated institutional investor and has extensive knowledge and experience in financial and business matters. Such Purchaser acknowledges that its purchase of the Securities involves a high degree of risk and is speculative in nature. Such Purchaser is capable of independently evaluating the merits, risks and suitability of the prospective investment in the Securities and has the ability to bear the economic risk of its prospective investment in the Securities and can afford the complete loss of such investment.
(e) Access to Information.
(i) Such Purchaser acknowledges that it has had the opportunity to review the Transaction Documents (including all exhibits and schedules thereto) and the SEC Reports and has been afforded, to the extent such Purchaser has determined is adequate to its investment in the Securities, (x) the opportunity to ask such questions as it has deemed necessary of, and to receive answers from, representatives of the Company concerning the terms and conditions of the offering of the Securities and the merits and risks of investing in the Securities or otherwise about the Company and its business; (y) been furnished with all other materials that it considers relevant to an investment in the Securities; and (z) been given the opportunity fully to perform its own due diligence.
(ii) Such Purchaser has had access to all the information as it deems necessary or appropriate in connection with its entry into this Agreement and its economic exposure to the Securities and has made its own investment decision regarding this Agreement and the Securities based on its own knowledge; and in evaluating the Securities and their suitability as an investment, the Purchaser has relied on its own investment judgment and to the extent it has deemed it necessary, it has sought advice from its own accounting, tax, legal and financial advisors.
(iii) Such Purchaser has or has had access to all information that it believes is necessary, sufficient or appropriate in connection with its purchase of the Securities. Such Purchaser has made an independent decision to purchase the Securities based on the information concerning the business and financial condition of the Company and other information available to such Purchaser, which such Purchaser has determined is adequate for that purpose, and such Purchaser has not relied on any representation, warranty or information (in any form, whether written or oral) furnished by the Company or on its behalf in making that decision, other than the representations and warranties of the Company set forth in Section 3.1.
(iv) Such Purchaser acknowledges that the Company and the Company’s officers, employees, agents and affiliates may possess non-public information not known to such Purchaser regarding or relating to the Company or the Securities. Such Purchaser acknowledges that the Company and its officers, employees and agents have not disclosed any non-public information to such Purchaser and such Purchaser has not requested and agrees that any such information need not be disclosed to it.
(f) Certain Transactions and Confidentiality. Other than consummating the transactions contemplated hereunder, such Purchaser has not, nor has any Person acting on behalf of or pursuant to any understanding with such Purchaser, directly or indirectly executed any purchases or sales, including Short Sales, of the securities of the Company during the period commencing as of the time that such Purchaser first received notice from the Placement Agent that the Company was conducting an offering and ending immediately prior to the execution hereof. Notwithstanding the foregoing, in the case of a Purchaser that is a multi-managed investment vehicle whereby separate portfolio managers manage separate portions of such Purchaser’s assets and the portfolio managers have no direct knowledge of the investment decisions made by the portfolio managers managing other portions of such Purchaser’s assets, the representation set forth above shall only apply with respect to the portion of assets managed by the portfolio manager that made the investment decision to purchase the Securities covered by this Agreement. Other than to other Persons party to this Agreement or to such Purchaser’s representatives, including, without limitation, its officers, directors, partners, legal and other advisors, employees, agents and Affiliates, such Purchaser has maintained the confidentiality of all disclosures made to it in connection with this transaction (including the existence and terms of this transaction). Notwithstanding the foregoing, for the avoidance of doubt, nothing contained herein shall constitute a representation or warranty, or preclude any actions, with respect to locating or borrowing shares in order to effect Short Sales or similar transactions in the future.
The Company acknowledges and agrees that the representations contained in this Section 3.2 shall not modify, amend or affect such Purchaser’s right to rely on the Company’s representations and warranties contained in this Agreement or any representations and warranties contained in any other Transaction Document or any other document or instrument executed and/or delivered in connection with this Agreement or the consummation of the transactions contemplated hereby. Notwithstanding the foregoing, for the avoidance of doubt, nothing contained herein shall constitute a representation or warranty, or preclude any actions, with respect to locating or borrowing shares in order to effect Short Sales or similar transactions in the future.
ARTICLE IV
OTHER AGREEMENTS OF THE PARTIES
4.1 Shares and Warrant Shares. The Shares shall be issued free of legends. If all or any portion of a Warrant is exercised at a time when there is an effective registration statement to cover the issuance or resale of the Warrant Shares or if the Warrant is exercised via cashless exercise, the Warrant Shares issued pursuant to any such exercise shall be issued free of all legends. If at any time following the date hereof the Registration Statement (or any subsequent registration statement registering the sale or resale of the Warrant Shares) is not effective or is not otherwise available for the sale or resale of the Warrant Shares, the Company shall immediately notify the holders of the Warrants in writing that such registration statement is not then effective and thereafter shall promptly notify such holders when the registration statement is effective again and available for the sale or resale of the Warrant Shares (it being understood and agreed that the foregoing shall not limit the ability of the Company to issue, or any Purchaser to sell, any of the Warrant Shares in compliance with applicable federal and state securities laws). The Company shall use best efforts to keep a registration statement (including the Registration Statement) registering the issuance or resale of the Warrant Shares effective during the term of the Warrants.
4.2 Furnishing of Information. Until the earlier of the time that (i) no Purchaser owns Securities and (ii) the Common Warrants have expired, the Company covenants to timely file (or obtain extensions in respect thereof and file within the applicable grace period) all reports required to be filed by the Company after the date hereof pursuant to the Exchange Act unless the Company is not then subject to the reporting requirements of the Exchange Act.
4.3 Integration. The Company shall not sell, offer for sale or solicit offers to buy or otherwise negotiate in respect of any security (as defined in Section 2 of the Securities Act) that would be integrated with the offer or sale of the Securities for purposes of the rules and regulations of any Trading Market such that it would require shareholder approval prior to the closing of such other transaction unless shareholder approval is obtained before the closing of such subsequent transaction.
4.4 Securities Laws Disclosure; Publicity. The Company shall (a) by the Disclosure Time, issue a press release disclosing the material terms of the transactions contemplated hereby, and (b) file a Current Report on Form 8-K, including the Transaction Documents as exhibits thereto, with the Commission within the time required by the Exchange Act. From and after the issuance of such press release, the Company represents to the Purchasers that it shall have publicly disclosed all material, non-public information delivered to any of the Purchasers by the Company or any of its Subsidiaries, or any of their respective officers, directors, employees, Affiliates or agents, including, without limitation, the Placement Agent, in connection with the transactions contemplated by the Transaction Documents. In addition, effective upon the issuance of such press release, the Company acknowledges and agrees that any and all confidentiality or similar obligations under any agreement, whether written or oral, between the Company, any of its Subsidiaries or any of their respective officers, directors, employees, Affiliates or agents, including, without limitation, the Placement Agent, on the one hand, and any of the Purchasers or any of their Affiliates on the other hand, shall terminate and be of no further force or effect. The Company understands and confirms that each Purchaser shall be relying on the foregoing covenant in effecting transactions in securities of the Company. The Company and each Purchaser shall consult with each other in issuing any other press releases with respect to the transactions contemplated hereby, and neither the Company nor any Purchaser shall issue any such press release nor otherwise make any such public statement without the prior consent of the Company, with respect to any press release of any Purchaser, or without the prior consent of each Purchaser, with respect to any press release of the Company, which consent shall not unreasonably be withheld or delayed, except if such disclosure is required by law, in which case the disclosing party shall promptly provide the other party with prior notice of such public statement or communication. Notwithstanding the foregoing, the Company shall not publicly disclose the name of any Purchaser, or include the name of any Purchaser in any filing with the Commission or any regulatory agency or Trading Market, without the prior written consent of such Purchaser, except (a) as required by federal securities law in connection with the filing of final Transaction Documents with the Commission and (b) to the extent such disclosure is required by law or Trading Market regulations.
4.5 Shareholder Rights Plan. No claim will be made or enforced by the Company or, with the consent of the Company, any other Person, that any Purchaser is an acquiring person under any control share acquisition, business combination, poison pill (including any distribution under a rights agreement) or similar anti-takeover plan or arrangement in effect or hereafter adopted by the Company, or that any Purchaser could be deemed to trigger the provisions of any such plan or arrangement, by virtue of receiving Securities under the Transaction Documents or under any other agreement between the Company and the Purchasers.
4.6 Non-Public Information. Except with respect to the material terms and conditions of the transactions contemplated by the Transaction Documents, which shall be disclosed pursuant to Section 4.4, the Company covenants and agrees that neither it, nor any other Person acting on its behalf will provide any Purchaser or its agents or counsel with any information that constitutes, or the Company reasonably believes constitutes, material non-public information, unless prior thereto such Purchaser shall have consented in writing to the receipt of such information and agreed in writing with the Company to keep such information confidential. The Company understands and confirms that each Purchaser shall be relying on the foregoing covenant in effecting transactions in securities of the Company. To the extent that the Company, any of its Subsidiaries, or any of their respective officers, directors, agents, employees or Affiliates delivers any material, non-public information to a Purchaser without such Purchaser’s consent, the Company hereby covenants and agrees that such Purchaser shall not have any duty of confidentiality to the Company, any of its Subsidiaries, or any of their respective officers, directors, employees, Affiliates or agents, including, without limitation, the Placement Agent, or a duty to the Company, any of its Subsidiaries or any of their respective officers, directors, employees, Affiliates or agents, including, without limitation, the Placement Agent, not to trade on the basis of, such material, non-public information, provided that the Purchaser shall remain subject to applicable law. To the extent that any notice provided pursuant to any Transaction Document constitutes, or contains, material, non-public information regarding the Company or any Subsidiaries, the Company shall simultaneously with the delivery make such material non-public information public. The Company understands and confirms that each Purchaser shall be relying on the foregoing covenant in effecting transactions in securities of the Company.
4.7 Use of Proceeds. The Company shall use the net proceeds from the sale of the Securities hereunder as set forth in the Prospectus Supplement and shall not use such proceeds: (a) for the satisfaction of any portion of the Company’s debt (other than payment of trade payables in the ordinary course of the Company’s business and prior practices), (b) for the redemption of any Common Stock or Common Stock Equivalents, (c) for the settlement of any outstanding litigation or (d) in violation of FCPA or OFAC regulations.
4.8 Indemnification of Purchasers. Subject to the provisions of this Section 4.8, the Company will indemnify and hold each Purchaser and its directors, officers, shareholders, members, partners, employees and agents (and any other Persons with a functionally equivalent role of a Person holding such titles notwithstanding a lack of such title or any other title), each Person who controls such Purchaser (within the meaning of Section 15 of the Securities Act and Section 20 of the Exchange Act), and the directors, officers, shareholders, agents, members, partners or employees (and any other Persons with a functionally equivalent role of a Person holding such titles notwithstanding a lack of such title or any other title) of such controlling persons (each, a “Purchaser Party”) harmless from any and all losses, liabilities, obligations, claims, contingencies, damages, costs and expenses, including all judgments, amounts paid in settlements, court costs and reasonable attorneys’ fees and costs of investigation that any such Purchaser Party may suffer or incur as a result of or relating to (a) any breach of any of the representations, warranties, covenants or agreements made by the Company in this Agreement or in the other Transaction Documents or (b) any action instituted against the Purchaser Parties in any capacity, or any of them or their respective Affiliates, by any stockholder of the Company who is not an Affiliate of such Purchaser Party, with respect to any of the transactions contemplated by the Transaction Documents (unless such action is solely based upon a material breach of such Purchaser Party’s representations, warranties or covenants under the Transaction Documents or any agreements or understandings such Purchaser Party may have with any such stockholder or any violations by such Purchaser Party of state or federal securities laws or any conduct by such Purchaser Party which is finally judicially determined to constitute fraud, gross negligence or willful misconduct). If any action shall be brought against any Purchaser Party in respect of which indemnity may be sought pursuant to this Agreement, such Purchaser Party shall promptly notify the Company in writing, and the Company shall have the right to assume the defense thereof with counsel of its own choosing reasonably acceptable to the Purchaser Party. Any Purchaser Party shall have the right to employ separate counsel in any such action and participate in the defense thereof, but the fees and expenses of such counsel shall be at the expense of such Purchaser Party except to the extent that (x) the employment thereof has been specifically authorized by the Company in writing, (y) the Company has failed after a reasonable period of time to assume such defense and to employ counsel or (z) in such action there is, in the reasonable opinion of counsel, a material conflict on any material issue between the position of the Company and the position of such Purchaser Party, in which case the Company shall be responsible for the reasonable fees and expenses of no more than one such separate counsel. The Company will not be liable to any Purchaser Party under this Agreement (1) for any settlement by a Purchaser Party effected without the Company’s prior written consent, which shall not be unreasonably withheld or delayed; or (2) to the extent, but only to the extent that a loss, claim, damage or liability is attributable to any Purchaser Party’s breach of any of the representations, warranties, covenants or agreements made by such Purchaser Party in this Agreement or in the other Transaction Documents. The indemnification required by this Section 4.8 shall be made by periodic payments of the amount thereof during the course of the investigation or defense, as and when bills are received or are incurred. The indemnity agreements contained herein shall be in addition to any cause of action or similar right of any Purchaser Party against the Company or others and any liabilities the Company may be subject to pursuant to law.
4.9 Reservation of Common Stock. As of the date hereof, the Company has reserved and the Company shall continue to reserve and keep available at all times, free of preemptive rights, a sufficient number of shares of Common Stock for the purpose of enabling the Company to issue the Shares pursuant to this Agreement and the Warrant Shares pursuant to any exercise of the Warrants.
4.10 Listing of Common Stock. The Company hereby agrees to use best efforts to maintain the listing or quotation of the Common Stock on the Trading Market on which it is currently listed, and concurrently with the Closing, the Company shall apply to list or quote all of the Shares and Warrant Shares on such Trading Market and promptly secure the listing of all of the Shares and Warrant Shares on such Trading Market. The Company further agrees, if the Company applies to have the Common Stock traded on any other Trading Market, it will then include in such application all of the Shares and Warrant Shares, and will take such other action as is necessary to cause all of the Shares and Warrant Shares to be listed or quoted on such other Trading Market as promptly as possible. The Company will then take all action reasonably necessary to continue the listing and trading of its Common Stock on such Trading Market and will comply in all respects with the Company’s reporting, filing and other obligations under the bylaws or rules of such Trading Market. The Company agrees to maintain the eligibility of the Common Stock for electronic transfer through the Depository Trust Company or another established clearing corporation, including, without limitation, by timely payment of fees to the Depository Trust Company or such other established clearing corporation in connection with such electronic transfer.
4.11 Subsequent Equity Sales.
(a) During the period commencing on the date hereof and ending thirty (30) days after the Closing Date, neither the Company nor any Subsidiary shall (i) issue, enter into any agreement to issue or announce the issuance or proposed issuance of any shares of Common Stock or Common Stock Equivalents or (ii) file any registration statement or amendment or supplement thereto, other than the Prospectus Supplement, the filing of an amendment or supplement to an existing registration statement to reflect any transfers of securities outstanding as of the date hereof, or the filing of a registration statement on Form S-8 in connection with any employee benefit plan.
(b) During the period commencing on the date hereof and ending one (1) year anniversary of the Closing Date, the Company shall be prohibited from effecting or entering into an agreement to effect any issuance by the Company or any of its Subsidiaries of Common Stock or Common Stock Equivalents (or a combination of units thereof) involving a Variable Rate Transaction. “Variable Rate Transaction” means a transaction in which the Company (i) issues or sells any debt or equity securities that are convertible into, exchangeable or exercisable for, or include the right to receive additional shares of Common Stock either (A) at a conversion price, exercise price or exchange rate or other price that is based upon and/or varies with the trading prices of or quotations for the shares of Common Stock at any time after the initial issuance of such debt or equity securities, or (B) with a conversion, exercise or exchange price that is subject to being reset at some future date after the initial issuance of such debt or equity security or upon the occurrence of specified or contingent events directly or indirectly related to the business of the Company or the market for the Common Stock or (ii) enters into, or effects a transaction under, any agreement, including, but not limited to, an equity line of credit or an “at-the-market” facility, whereby the Company may issue securities at a future determined price regardless of whether shares pursuant to such agreement have actually been issued and regardless of whether such agreement is subsequently canceled; provided, however, that, following the restrictive period set forth in Section 4.11(a) above, the entry into and/or issuance of shares of Common Stock in an “at-the-market” facility or any of its affiliates as sales agent shall not be deemed a Variable Rate Transaction. Any Purchaser shall be entitled to obtain injunctive relief against the Company to preclude any such issuance, which remedy shall be in addition to any right to collect damages.
(c) Notwithstanding the foregoing, the restrictions set forth in this Section 4.11 shall not apply in respect of an Exempt Issuance, except that no Variable Rate Transaction shall be an Exempt Issuance.
4.12 Equal Treatment of Purchasers. No consideration (including any modification of this Agreement) shall be offered or paid to any Person to amend or consent to a waiver or modification of any provision of this Agreement unless the same consideration is also offered to all of the parties to this Agreement. For clarification purposes, this provision constitutes a separate right granted to each Purchaser by the Company and negotiated separately by each Purchaser, and is intended for the Company to treat the Purchasers as a class and shall not in any way be construed as the Purchasers acting in concert or as a group with respect to the purchase, disposition or voting of Securities or otherwise.
4.13 Certain Transactions and Confidentiality. Each Purchaser covenants that neither it nor any Affiliate acting on its behalf or pursuant to any understanding with it will execute any purchases or sales, including Short Sales of any of the Company’s securities during the period commencing with the execution of this Agreement and ending at such time that the transactions contemplated by this Agreement are first publicly announced pursuant to the initial press release as described in Section 4.4. Each Purchaser covenants that until such time as the transactions contemplated by this Agreement are publicly disclosed by the Company pursuant to the initial press release as described in Section 4.4, such Purchaser will maintain the confidentiality of the existence and terms of this transaction. Notwithstanding the foregoing, and notwithstanding anything contained in this Agreement to the contrary, the Company expressly acknowledges and agrees that (i) no Purchaser makes any representation, warranty or covenant hereby that it will not engage in effecting transactions in any securities of the Company after the time that the transactions contemplated by this Agreement are first publicly announced pursuant to the initial press release as described in Section 4.4, (ii) no Purchaser shall be restricted or prohibited from effecting any transactions in any securities of the Company in accordance with applicable securities laws from and after the time that the transactions contemplated by this Agreement are first publicly announced pursuant to the initial press release as described in Section 4.4 and (iii) no Purchaser shall have any duty of confidentiality or duty not to trade in the securities of the Company to the Company, any of its Subsidiaries, or any of their respective officers, directors, employees, Affiliates or agent, including, without limitation, the Placement Agent, after the issuance of the initial press release as described in Section 4.4. Notwithstanding the foregoing, in the case of a Purchaser that is a multi-managed investment vehicle whereby separate portfolio managers manage separate portions of such Purchaser’s assets and the portfolio managers have no direct knowledge of the investment decisions made by the portfolio managers managing other portions of such Purchaser’s assets, the covenant set forth above shall only apply with respect to the portion of assets managed by the portfolio manager that made the investment decision to purchase the Securities covered by this Agreement.
4.14 Capital Changes. Until the one year anniversary of the Closing Date, the Company shall not undertake a reverse or forward stock split or reclassification of the Common Stock without the prior written consent of the Purchasers holding a majority in interest of the Shares, other than a reverse stock split that is required, in the good faith determination of the Board of Directors, to maintain the listing of the Common Stock on the Trading Market.
4.15 Exercise Procedures. The form of Notice of Exercise included in the Warrants set forth the totality of the procedures required of the Purchasers in order to exercise the Warrants. No additional legal opinion, other information or instructions shall be required of the Purchasers to exercise their Warrants. Without limiting the preceding sentences, no ink-original Notice of Exercise shall be required, nor shall any medallion guarantee (or other type of guarantee or notarization) of any Notice of Exercise form be required in order to exercise the Warrants. The Company shall honor exercises of the Warrants and shall deliver Warrant Shares in accordance with the terms, conditions and time periods set forth in the Transaction Documents.
4.16 Additional Investment Rights. On any date following the Closing Date and on or prior to two (2) week anniversary of the Closing Date, the Purchasers shall have the right, severally and not jointly, to purchase up to an aggregate of 4,000,000 shares of Common Stock (or in the event that such Purchaser or its Affiliates would beneficially own more than 4.99% of the Company’s outstanding shares of Common Stock as a result of the Option Investment, Pre-Funded Warrants), from the Company at a price per share equal to $3.50, with each share of Common Stock accompanied by a warrant to purchase one share of common stock at an exercise price of $4.20 (the “Option Investment”). The Option Investment will be reflected in a form of warrant, to be delivered at closing.
To exercise the right to the Option Investment, the Purchasers shall provide written notice to the Company, and the securities issuable upon exercise of the Option Investment shall be delivered in no event later than the first (1st) Trading Day following the date of the exercise (or the second (2nd) Trading Day following the date of the exercise if the notice is signed on a day that is not a Trading Day or after 4:00 p.m. (New York City time) and before midnight (New York City time) on a Trading Day). Any securities issued pursuant to the Option Investment shall be issued pursuant to this Agreement and shall be registered on the same Prospectus Supplement, unless otherwise agreed to by the Company and Purchaser.
ARTICLE V
MISCELLANEOUS
5.1 Termination. This Agreement may be terminated by any Purchaser, as to such Purchaser’s obligations hereunder only and without any effect whatsoever on the obligations between the Company and the other Purchasers, by written notice to the other parties, if the Closing has not been consummated on or before the fifth (5th) Trading Day following the date hereof; provided, however, that no such termination will affect the right of any party to sue for any breach by any other party (or parties).
5.2 Fees and Expenses. Each party shall pay the fees and expenses of its advisers, counsel, accountants and other experts, if any, and all other expenses incurred by such party incident to the negotiation, preparation, execution, delivery and performance of this Agreement. The Company shall pay all Transfer Agent fees (including, without limitation, any fees required for same-day processing of any instruction letter delivered by the Company and any exercise notice delivered by a Purchaser), stamp taxes and other similar taxes and duties levied in connection with the delivery of any Securities to the Purchasers.
5.3 Entire Agreement. The Transaction Documents, together with the exhibits and schedules thereto, the Prospectus and the Prospectus Supplement, contain the entire understanding of the parties with respect to the subject matter hereof and thereof and supersede all prior agreements and understandings, oral or written, with respect to such matters, which the parties acknowledge have been merged into such documents, exhibits and schedules.
5.4 Notices. Any and all notices or other communications or deliveries required or permitted to be provided hereunder shall be in writing and shall be deemed given and effective on the earliest of: (a) the time of transmission, if such notice or communication is delivered via email attachment at the email address as set forth on the signature pages attached hereto at or prior to 5:30 p.m. (New York City time) on a Trading Day, (b) the next Trading Day after the time of transmission, if such notice or communication is delivered via email attachment at the email address as set forth on the signature pages attached hereto on a day that is not a Trading Day or later than 5:30 p.m. (New York City time) on any Trading Day, (c) the second (2nd) Trading Day following the date of mailing, if sent by U.S. nationally recognized overnight courier service or (d) upon actual receipt by the party to whom such notice is required to be given. The address for such notices and communications shall be as set forth on the signature pages attached hereto.
5.5 Amendments; Waivers. No provision of this Agreement may be waived, modified, supplemented or amended except in a written instrument signed by the Company and Purchasers holding at least a majority of the Shares and Warrant Shares then held by all Purchasers (or such Purchasers’ successors or assigns pursuant to this Agreement) (or, prior to the Closing, the Company and each Purchaser), provided that if any amendment, modification or waiver disproportionately and adversely impacts a Purchaser (or group of Purchasers), the consent of at least a majority in interest of such disproportionately impacted Purchaser (or group of Purchasers) shall also be required. No waiver of any default with respect to any provision, condition or requirement of this Agreement shall be deemed to be a continuing waiver in the future or a waiver of any subsequent default or a waiver of any other provision, condition or requirement hereof, nor shall any delay or omission of any party to exercise any right hereunder in any manner impair the exercise of any such right. Any amendment effected in accordance with this Section 5.5 shall be binding upon each Purchaser and holder of Securities and the Company.
5.6 Headings. The headings herein are for convenience only, do not constitute a part of this Agreement and shall not be deemed to limit or affect any of the provisions hereof.
5.7 Successors and Assigns. This Agreement shall be binding upon and inure to the benefit of the parties and their successors and permitted assigns. The Company may not assign this Agreement or any rights or obligations hereunder without the prior written consent of each Purchaser (other than by merger). Any Purchaser may assign any or all of its rights under this Agreement to any Person to whom such Purchaser assigns or transfers any Securities, provided that such transferee agrees in writing to be bound, with respect to the transferred Securities, by the provisions of the Transaction Documents that apply to the “Purchasers.”
5.8 No Third-Party Beneficiaries. The Placement Agent shall be the third party beneficiary of the representations and warranties of the Company in Section 3.1, the covenants of the Company in Article 4 and the representations and warranties of the Purchasers in Section 3.2. This Agreement is intended for the benefit of the parties hereto and their respective successors and permitted assigns and is not for the benefit of, nor may any provision hereof be enforced by, any other Person, except as otherwise set forth in Section 4.8 and this Section 5.8.
5.9 Governing Law. All questions concerning the construction, validity, enforcement and interpretation of the Transaction Documents shall be governed by and construed and enforced in accordance with the internal laws of the State of New York, without regard to the principles of conflicts of law thereof. Each party agrees that all legal Proceedings concerning the interpretations, enforcement and defense of the transactions contemplated by this Agreement and any other Transaction Documents (whether brought against a party hereto or its respective affiliates, directors, officers, shareholders, partners, members, employees or agents) shall be commenced exclusively in the state and federal courts sitting in the City of New York. Each party hereby irrevocably submits to the exclusive jurisdiction of the state and federal courts sitting in the City of New York, Borough of Manhattan for the adjudication of any dispute hereunder or in connection herewith or with any transaction contemplated hereby or discussed herein (including with respect to the enforcement of any of the Transaction Documents), and hereby irrevocably waives, and agrees not to assert in any Proceeding, any claim that it is not personally subject to the jurisdiction of any such court, that such Proceeding is improper or is an inconvenient venue for such Proceeding. Each party hereby irrevocably waives personal service of process and consents to process being served in any such Proceeding by mailing a copy thereof via registered or certified mail or overnight delivery (with evidence of delivery) to such party at the address in effect for notices to it under this Agreement and agrees that such service shall constitute good and sufficient service of process and notice thereof. Nothing contained herein shall be deemed to limit in any way any right to serve process in any other manner permitted by law. If any party shall commence a Proceeding to enforce any provisions of the Transaction Documents, then, in addition to the obligations of the Company under Section 4.8, the prevailing party in such Proceeding shall be reimbursed by the non-prevailing party for its reasonable attorneys’ fees and other costs and expenses incurred with the investigation, preparation and prosecution of such Proceeding.
5.10 Survival. The representations and warranties contained herein shall survive the Closing and the delivery of the Securities.
5.11 Execution. This Agreement may be executed in two or more counterparts, all of which when taken together shall be considered one and the same agreement and shall become effective when counterparts have been signed by each party and delivered to each other party, it being understood that the parties need not sign the same counterpart. In the event that any signature is delivered by e-mail delivery (including any electronic signature covered by the U.S. federal ESIGN Act of 2000, Uniform Electronic Transactions Act, the Electronic Signatures and Records Act or other applicable law, e.g., www.docusign.com) or other transmission method, such signature shall be deemed to have been duly and validly delivered and shall create a valid and binding obligation of the party executing (or on whose behalf such signature is executed) with the same force and effect as if such “.pdf” signature page were an original thereof.
5.12 Severability. If any term, provision, covenant or restriction of this Agreement is held by a court of competent jurisdiction to be invalid, illegal, void or unenforceable, the remainder of the terms, provisions, covenants and restrictions set forth herein shall remain in full force and effect and shall in no way be affected, impaired or invalidated, and the parties hereto shall use their commercially reasonable efforts to find and employ an alternative means to achieve the same or substantially the same result as that contemplated by such term, provision, covenant or restriction. It is hereby stipulated and declared to be the intention of the parties that they would have executed the remaining terms, provisions, covenants and restrictions without including any of such that may be hereafter declared invalid, illegal, void or unenforceable.
5.13 Replacement of Securities. If any certificate or instrument evidencing any Securities is mutilated, lost, stolen or destroyed, the Company shall issue or cause to be issued in exchange and substitution for and upon cancellation thereof (in the case of mutilation), or in lieu of and substitution therefor, a new certificate or instrument, but only upon receipt of evidence reasonably satisfactory to the Company of such loss, theft or destruction. The applicant for a new certificate or instrument under such circumstances shall also pay any reasonable third-party costs (including customary indemnity) associated with the issuance of such replacement Securities.
5.14 Remedies. In addition to being entitled to exercise all rights provided herein or granted by law, including recovery of damages, each of the Purchasers and the Company will be entitled to specific performance under the Transaction Documents. The parties agree that monetary damages may not be adequate compensation for any loss incurred by reason of any breach of obligations contained in the Transaction Documents and hereby agree to waive and not to assert in any Action for specific performance of any such obligation the defense that a remedy at law would be adequate.
5.15 Saturdays, Sundays, Holidays, etc. If the last or appointed day for the taking of any action or the expiration of any right required or granted herein shall not be a Business Day, then such action may be taken or such right may be exercised on the next succeeding Business Day.
5.16 Construction. The parties agree that each of them and/or their respective counsel have reviewed and had an opportunity to revise the Transaction Documents and, therefore, the normal rule of construction to the effect that any ambiguities are to be resolved against the drafting party shall not be employed in the interpretation of the Transaction Documents or any amendments thereto.
5.17 WAIVER OF JURY TRIAL. IN ANY ACTION, SUIT, OR PROCEEDING IN ANY JURISDICTION BROUGHT BY ANY PARTY AGAINST ANY OTHER PARTY, THE PARTIES EACH KNOWINGLY AND INTENTIONALLY, TO THE GREATEST EXTENT PERMITTED BY APPLICABLE LAW, HEREBY ABSOLUTELY, UNCONDITIONALLY, IRREVOCABLY AND EXPRESSLY WAIVES FOREVER TRIAL BY JURY.
(Signature Pages Follow)
IN WITNESS WHEREOF, the parties hereto have caused this Securities Purchase Agreement to be duly executed by their respective authorized signatories as of the date first indicated above.
| BIOXCEL THERAPEUTICS, INC. | Address for Notice: | |
| 555 Long Wharf Drive | ||
| New Haven, CT 06511 | ||
| Attn: Chief Legal Officer |
| By: | /s/ Vimal Mehta | |||
| Name: | Vimal Mehta | E-Mail: | ||
| Title: | Chief Executive Officer | [***] | ||
With a copy to (which shall not constitute notice):
Honigman LLP
1440 New York Avenue, NW Suite 200
Washington, DC 20005
Attn: N. Danny Shulman
[REMAINDER OF PAGE INTENTIONALLY LEFT BLANK
SIGNATURE PAGE FOR PURCHASER FOLLOWS]
[PURCHASER SIGNATURE PAGES TO BTAI SECURITIES PURCHASE AGREEMENT]
IN WITNESS WHEREOF, the undersigned have caused this Securities Purchase Agreement to be duly executed by their respective authorized signatories as of the date first indicated above.
Name of Purchaser:
| Signature of Authorized Signatory of Purchaser | ||
| /s/ Eli Hassett | ||
Name of Authorized Signatory: Eli Hassett
Title of Authorized Signatory: Director
Email Address of Authorized Signatory: [***]
Address for Notice to Purchaser: C/O Joshua Fenttiman, 145 Adelaide Street West, Toronto, Canada, M5H 4E5
Address for Delivery of Warrants to Purchaser (if not same as address for notice):
Subscription Amount: $14,000,000
Shares: 188,383
| Pre-Funded Warrant Shares: 3,811,617 | Beneficial Ownership Blocker ¨ 4.99% or x 9.99% |
| Common Warrant Shares: 4,000,000 | Beneficial Ownership Blocker x 4.99% or ¨ 9.99% |
EIN Number: [***]
[REMAINDER OF PAGE INTENTIONALLY LEFT BLANK]
EXHIBIT A-1
FORM OF COMMON WARRANT
[Intentionally Omitted.]
EXHIBIT A-2
FORM OF PRE-FUNDED WARRANT
[Intentionally Omitted]