株探米国株
英語
エドガーで原本を確認する
6-K 1 a6_kxtrsnuevavictoriapampa.htm 6-K Document


UNITED STATES
SECURITIES AND EXCHANGE COMMISSION
Washington, D.C. 20549

Form 6-K

REPORT OF FOREIGN PRIVATE ISSUER PURSUANT TO RULE 13a-16 OR 15d-16 UNDER THE
SECURITIES EXCHANGE ACT OF 1934
For the month of April 2025.
Commission File Number 33-65728

CHEMICAL AND MINING COMPANY OF CHILE INC.
(Translation of registrant’s name into English)
El Trovador 4285, Santiago, Chile (562) 2425-2000
(Address of principal executive office)
Indicate by check mark whether the registrant files or will file annual reports under cover of Form 20-F or Form 40-F.
Form 20-F:_X_ Form 40-F










SQM FILES TECHNICAL REPORT SUMMARIES


Santiago, Chile, April 23, 2025 – Sociedad Química y Minera de Chile S.A. ( SQM or the “Company”) issued technical report summaries for Salar de Atacama, the Nueva Victoria property, the Pampa Blanca property, and the Mount Holland lithium project (the “Technical Report Summaries”). The Technical Report Summaries are filed as Exhibits 96.1, 96.2, 96.3, 96.5 respectively, to this Report on Form 6-K and incorporated herein by reference.

Exhibits










SIGNATURES
Pursuant to the requirements of the Securities Exchange Act of 1934, the registrant has duly caused this report to be signed on its behalf by the undersigned, thereunto duly authorized.

CHEMICAL AND MINING COMPANY OF CHILE INC.
(Registrant)
Date: April 23, 2025 /s/ Gerardo Illanes
By: Gerardo Illanes
CFO


EX-23.3 2 exhibit233-consentxnueva.htm EX-23.3 exhibit233-consentxnueva
Exhibit 23.3 CONSENT OF QUALIFIED PERSON I, Marco Fazzi, state that I am responsible for preparing or supervising the preparation of part(s) of the technical report summary titled "Technical Report Summary, Operation Report, Nueva Victoria" with an effective date of March 31, 2025, as signed, and certified by me (the “Technical Report Summary”). Furthermore, I state that: a. I consent to the public filing of the Technical Report Summary by Sociedad Química y Minera de Chile S.A. (the “Company”) as an exhibit to Form 6-K of the Company (“Form 6-K”); b. the document that the Technical Report Summary supports is the Company’s Annual Report on Form 20- F for the year ended December 31, 2024, and any existing amendments or supplements and/or exhibits thereto (the "Form 20-F") (the Form 6-K and Form 20-F, collectively the “Document”); c. I consent to the use of my name in the Document, to any quotation from or summarization in the Document of the parts of the Technical Report Summary for which I am responsible, and to the incorporation by reference of the Technical Report Summary into Form 20-F; and d. I confirm that I have read the Document, and that the Document fairly and accurately reflects, in the form and context in which it appears, the information in the parts of the Technical Report Summary for which I am responsible. By /s/ Marco Fazzi Marco Fazzi Mineral Resources & Long Term Planning Manager SQM Dated at Santiago, Chile on March 31, 2025


 
EX-23.4 3 exhibit234-consentnuevav.htm EX-23.4 exhibit234-consentnuevav
Exhibit 23.4 CONSENT OF QUALIFIED PERSON I, Freddy Ildefonso, state that I am responsible for preparing or supervising the preparation of part(s) of the technical report summary titled "Technical Report Summary, Operation Report, Nueva Victoria" with an effective date of March 31, 2025, as signed, and certified by me (the “Technical Report Summary”). Furthermore, I state that: a. I consent to the public filing of the Technical Report Summary by Sociedad Química y Minera de Chile S.A. (the “Company”) as an exhibit to Form 6-K of the Company (“Form 6-K”); b. the document that the Technical Report Summary supports is the Company’s Annual Report on Form 20- F for the year ended December 31, 2024, and any existing amendments or supplements and/or exhibits thereto (the "Form 20-F") (the Form 6-K and Form 20-F, collectively the “Document”); c. I consent to the use of my name in the Document, to any quotation from or summarization in the Document of the parts of the Technical Report Summary for which I am responsible, and to the incorporation by reference of the Technical Report Summary into Form 20-F; and d. I confirm that I have read the Document, and that the Document fairly and accurately reflects, in the form and context in which it appears, the information in the parts of the Technical Report Summary for which I am responsible. By /s/ Freddy Ildefonso Freddy Ildefonso Geosciences Superintendent SQM Dated at Santiago, Chile on March 31, 2025


 
EX-23.5 4 exhibit235-consentxnueva.htm EX-23.5 exhibit235-consentxnueva
Exhibit 23.5 CONSENT OF QUALIFIED PERSON I, Gino Slanzi G, state that I am responsible for preparing or supervising the preparation of part(s) of the technical report summary titled "Technical Report Summary, Operation Report, Nueva Victoria" with an effective date of March 31, 2025, as signed, and certified by me (the “Technical Report Summary”). Furthermore, I state that: a. I consent to the public filing of the Technical Report Summary by Sociedad Química y Minera de Chile S.A. (the “Company”) as an exhibit to Form 6-K of the Company (“Form 6-K”); b. the document that the Technical Report Summary supports is the Company’s Annual Report on Form 20- F for the year ended December 31, 2024, and any existing amendments or supplements and/or exhibits thereto (the "Form 20-F") (the Form 6-K and Form 20-F, collectively the “Document”); c. I consent to the use of my name in the Document, to any quotation from or summarization in the Document of the parts of the Technical Report Summary for which I am responsible, and to the incorporation by reference of the Technical Report Summary into Form 20-F; and d. I confirm that I have read the Document, and that the Document fairly and accurately reflects, in the form and context in which it appears, the information in the parts of the Technical Report Summary for which I am responsible. By /s/ Gino Slanzi G. Gino Slanzi G. General Manager Inprotec SpA Dated at Santiago, Chile on March 31, 2025


 
EX-23.6 5 exhibit236-consentxpampa.htm EX-23.6 exhibit236-consentxpampa
Exhibit 23.6 CONSENT OF QUALIFIED PERSON I, Marco Fazzi, state that I am responsible for preparing or supervising the preparation of part(s) of the technical report summary titled "Technical Report Summary, Operation Report, Pampa Blanca" with an effective date of March 31, 2025, as signed, and certified by me (the “Technical Report Summary”). Furthermore, I state that: a. I consent to the public filing of the Technical Report Summary by Sociedad Química y Minera de Chile S.A. (the “Company”) as an exhibit to Form 6-K of the Company (“Form 6-K”); b. the document that the Technical Report Summary supports is the Company’s Annual Report on Form 20- F for the year ended December 31, 2024, and any existing amendments or supplements and/or exhibits thereto (the "Form 20-F") (the Form 6-K and Form 20-F, collectively the “Document”); c. I consent to the use of my name in the Document, to any quotation from or summarization in the Document of the parts of the Technical Report Summary for which I am responsible, and to the incorporation by reference of the Technical Report Summary into Form 20-F; and d. I confirm that I have read the Document, and that the Document fairly and accurately reflects, in the form and context in which it appears, the information in the parts of the Technical Report Summary for which I am responsible. By /s/ Marco Fazzi Marco Fazzi Mineral Resources & Long Term Planning Manager SQM Dated at Santiago, Chile on March 31, 2025


 
EX-23.7 6 exhibit237-consentxpampa.htm EX-23.7 exhibit237-consentxpampa
Exhibit 23.7 CONSENT OF QUALIFIED PERSON I, Freddy Ildefonso, state that I am responsible for preparing or supervising the preparation of part(s) of the technical report summary titled "Technical Report Summary, Operation Report, Pampa Blanca" with an effective date of March 31, 2025, as signed, and certified by me (the “Technical Report Summary”). Furthermore, I state that: a. I consent to the public filing of the Technical Report Summary by Sociedad Química y Minera de Chile S.A. (the “Company”) as an exhibit to Form 6-K of the Company (“Form 6-K”); b. the document that the Technical Report Summary supports is the Company’s Annual Report on Form 20- F for the year ended December 31, 2024, and any existing amendments or supplements and/or exhibits thereto (the "Form 20-F") (the Form 6-K and Form 20-F, collectively the “Document”); c. I consent to the use of my name in the Document, to any quotation from or summarization in the Document of the parts of the Technical Report Summary for which I am responsible, and to the incorporation by reference of the Technical Report Summary into Form 20-F; and d. I confirm that I have read the Document, and that the Document fairly and accurately reflects, in the form and context in which it appears, the information in the parts of the Technical Report Summary for which I am responsible. By /s/ Freddy Ildefonso Freddy Ildefonso Geosciences Superintendent SQM Dated at Santiago, Chile on March 31, 2025


 
EX-23.8 7 exhibit238-consentxpampa.htm EX-23.8 exhibit238-consentxpampa
Exhibit 23.8 CONSENT OF QUALIFIED PERSON I, Gino Slanzi G., state that I am responsible for preparing or supervising the preparation of part(s) of the technical report summary titled "Technical Report Summary, Operation Report, Pampa Blanca" with an effective date of March 31, 2025, as signed, and certified by me (the “Technical Report Summary”). Furthermore, I state that: a. I consent to the public filing of the Technical Report Summary by Sociedad Química y Minera de Chile S.A. (the “Company”) as an exhibit to Form 6-K of the Company (“Form 6-K”); b. the document that the Technical Report Summary supports is the Company’s Annual Report on Form 20- F for the year ended December 31, 2024, and any existing amendments or supplements and/or exhibits thereto (the "Form 20-F") (the Form 6-K and Form 20-F, collectively the “Document”); c. I consent to the use of my name in the Document, to any quotation from or summarization in the Document of the parts of the Technical Report Summary for which I am responsible, and to the incorporation by reference of the Technical Report Summary into Form 20-F; and d. I confirm that I have read the Document, and that the Document fairly and accurately reflects, in the form and context in which it appears, the information in the parts of the Technical Report Summary for which I am responsible. By /s/ Gino Slanzi G. Gino Slanzi G. General Manager Inprotec SpA Dated at Santiago, Chile on March 31, 2025


 
EX-96.2 8 exhibit962-technicalreport.htm EX-96.2 Document

Exhibit 96.2

image_1.jpg










image_2.jpg

TECHNICAL REPORT SUMMARY OF THE NUEVA VICTORIA OPERATION
YEAR 2024



Date: April 23, 2025
SQM TRS Nueva Victoria

tm2311827d1_ex96-4img001.jpg
Summary
This report provides the methodology, procedures and classification used to obtain SQM’s Nitrate an Iodine Mineral Resources and Mineral Reserves, at the Nueva Victoria Site. The Mineral Resources and Reserves that are delivered correspond to the update as of December 31, 2024.
The results obtained are summarized in the following tables:

Mining Total Inferred Resource Total Indicated Resource Total Measured Resource
Tonnage Nitrate grade Iodine grade Tonnage Nitrate grade Iodine grade Tonnage Nitrate grade Iodine grade
(Mt) (%) (ppm) (Mt) (%) (ppm) (Mt) (%) (ppm)
Nueva Victoria 48.5 5.3 372 295.8 5.4 353.2 1004.5 4.3 284.0


Mineral Reserves 2024

Proven Reserves (1) Average grade Nitrate Average grade Iodine Average Cut-off
(million metric tons) (Percentage by weight) (Parts per million) grade for the Mine
Mining
Nueva Victoria 781.4 4.5 303 Iodine 250 ppm
Probable Reserves (2) Average grade Nitrate Average grade Iodine Average Cut-off
(million metric tons) (Percentage by weight) (Parts per million) grade for the Mine
Sector
Nueva Victoria 254.4 5.7 366 Iodine 250 ppm

(1)The tables above show the Proven and Probable Reserves before losses related to the exploitation and treatment of the mineral. Proven and Probable Reserves are affected by mining methods, resulting in differences between the estimated reserves that are available for exploitation in the mine plan and the recoverable material that is ultimately transferred to the leach pads. The global average metallurgical recovery of nitrate and iodine processes contained in the recovered material is variable in each pampa (50% to 80 %). Proven and probable reserves have a caliche thickness ≥ 2.0 m and a slope, which should not exceed 8%.
(2)All the most proven mining reserves are with the block model valued method, for which each pampa will have a cut-off benefit (BC), to maximize the economic value of each block.



SQM TRS Nueva Victoria

tm2311827d1_ex96-4img001.jpg
TABLE OF CONTENTS
SQM TRS Nueva Victoria

tm2311827d1_ex96-4img001.jpg
SQM TRS Nueva Victoria

tm2311827d1_ex96-4img001.jpg
7.3.4
100T AND 50M GRID
#
SQM TRS Nueva Victoria

tm2311827d1_ex96-4img001.jpg
8.3.3.1
PLANNING RC DRILLING
8.3.3.2
HEADER
8.3.3.3 Geological Mapping
8.3.3.4 Dispatch of Samples for Mechanical Preparation
SQM TRS Nueva Victoria

tm2311827d1_ex96-4img001.jpg
11.1.7.1
SWATH PLOTS
11.1.7.2
VISUAL VALIDATION
11.1.8
POLYGON MINERAL RESOURCE EVALUATION
SQM TRS Nueva Victoria

tm2311827d1_ex96-4img001.jpg
CUT-OFF GRADE AND CUT-OFF BENEFIT
SQM TRS Nueva Victoria

tm2311827d1_ex96-4img001.jpg
16.2
IODINE AND ITS DERIVATIVES, MARKET, COMPETITION, PRODUCTS, CUSTOMERS
#
16.2.1
IODINE MARKET
#
16.2.2
IODINE PRODUCTS
#
16.2.3
IODINE: MARKETING AND CUSTOMERS
#
16.2.4
IODINE COMPETITION
#
16.3
NITRATES
#
16.3.1
SPECIALTY PLANT NUTRITION, MARKET, COMPETITION, PRODUCTS, CUSTOMERS
#
16.3.2
INDUSTRIAL CHEMICALS, MARKET, COMPETITION, PRODUCTS, CUSTOMERS
#
SQM TRS Nueva Victoria

tm2311827d1_ex96-4img001.jpg
SQM TRS Nueva Victoria

tm2311827d1_ex96-4img001.jpg
SQM TRS Nueva Victoria

tm2311827d1_ex96-4img001.jpg
TABLES
#
#
#
#
#
#
#
SQM TRS Nueva Victoria

tm2311827d1_ex96-4img001.jpg
#
TABLE 11-2. SPECIFIC GRAVITY SAMPLES IN NUEVA VICTORIA
#
TABLE 11-3. BLOCK MODEL DIMENSIONS
#
TABLE 11-4. VARIOGRAM MODELS FOR IODINE AND NITRATE IN NUEVA VICTORIA
#
TABLE 11-5. SAMPLE SELECTION FOR EACH SECTOR
#
#
#
#
TABLE 11-9. MINERAL RESOURCE ESTIMATE, EXCLUSIVE OF MINERAL RESERVES, AS DECEMBER 31, 2022
#
#
#
#
SQM TRS Nueva Victoria

tm2311827d1_ex96-4img001.jpg
TABLE 14-8 NUEVA VICTORIA PROCESS PLANT PRODUCTION SUMMARY
#
#
#
#
#
#
SQM TRS Nueva Victoria

tm2311827d1_ex96-4img001.jpg
#
#
#
#
FIGURES
#
SQM TRS Nueva Victoria

tm2311827d1_ex96-4img001.jpg
#
#
#
#
#
#
#
#
#
#
SQM TRS Nueva Victoria

tm2311827d1_ex96-4img001.jpg
#
#
#
FIGURE 10-9. IODINE RECOVERY AS A FUNCTION OF TOTAL SALTS CONTENT
#
FIGURE 10-10. PARAMETER SCALES AND IRRIGATION STRATEGY IN THE IMPREGNATION STAGE
#
FIGURE 10-11. IRRIGATION STRATEGY SELECTION
#
FIGURE 10-12. NITRATE AND IODINE YIELD ESTIMATION AND INDUSTRIAL CORRELATION FOR THE PERIOD 2008-2022
#
FIGURE 11-2. VARIOGRAM MODELS FOR IODINE AND NITRATE IN NUEVA VICTORIA
#
FIGURE 11-3. PLAN VIEW OF THE POLYGONS BORDERING THE MINERAL RESOURCES HERMOSA
#
FIGURE 11-4. SWATH PLOTS FOR IODINE TEA
#
#
COMMENTARIES
#
FIGURE 11-6. SWATH PLOTS FOR IODINE HERMOSA
#
COMMENTARIES
#
FIGURE 11-8. SWATH PLOTS FOR IODINE TORCAZA
125
FIGURE 11-9. SWATH PLOTS FOR NITRATE TORCAZA
126
COMMENTARIES
#
#
#
FIGURE 12-2 MAP OF RESERVES SECTORS IN NUEVA VICTORIA
#
SQM TRS Nueva Victoria

tm2311827d1_ex96-4img001.jpg
HEAP LEACH PADS (FIGURE 13-3) ARE BUILT TO ACCUMULATE A TOTAL OF 1 MT, WITH HEIGHTS BETWEEN 7 TO 15 M AND CROWN AREA OF 65.000 M2
#
#
#
#
#
#
#
#
SQM TRS Nueva Victoria

tm2311827d1_ex96-4img001.jpg
SQM TRS Nueva Victoria

tm2311827d1_ex96-4img001.jpg
1EXECUTIVE SUMMARY
1.1PROPERTY SUMMARY AND OWNERSHIP
The Nueva Victoria Property, situated 145 km southeast of the city of Iquique, covers an area of 69,793 hectares (ha) of low topographic relief terrain. The property boundary includes several nitrate and iodine deposits of economic value including Hermosa Oeste, Tente en el Aire, Pampa Hermosa, Pampa Engañadora, etc. The Nueva Victoria Property also has substantial potential for metallic mineralization, notably copper and gold, which could in the future sustain exploitation by SQM or generate royalties. Several properties adjacent to the Nueva Victoria Project host mineral deposits with geological characteristics like those at Nueva Victoria, including mining lots held by ACF Minera S.A., owned by the Urticoechea family.
1.2GEOLOGY AND MINERALIZATION
Nueva Victoria is a nitrate-iodine deposit located in the Intermediate Basin (Central Depression) of northern Chile, limited to the west by the Coastal Range (representing the Jurassic magmatic arc) and to the east by the Precordillera (associated with the Cenozoic magmatic activity which gave rise to the large Cu-Au deposits of northern Chile), generating a natural barrier for their deposition and concentration.
The regional geology in which the Nueva Victoria deposits are immersed corresponds to Paleogene clastic sedimentary rocks, over a volcanic basement, associated with lavas of intermediate composition (mainly andesites - tuffs) representing Jurassic volcanism, overlying a series of intrusive belonging to the Cretaceous, which mostly outcrops outside the property area.
The mineralization at Nueva Victoria is mantiform, with a wide areal distribution, forming deposits several kilometers in extension. The mineralization thicknesses are variable, with mantles of approximately 1.0 to 6.0 meters (m).
Because of geological activity over time (volcanism, weathering, faulting) the deposits can be found as continuous mantles, thin salt crusts and superficial caliche and “Stacked" caliche.
The mineralogical association identified corresponds mainly to soluble sulfates of Na - K, less soluble sulfates of Ca, Chlorides, Nitrates, and Iodates.
Within the mineral species of interest, for Nitrates; Nitratine Potassium Nitrate; Hectorfloresite; Lautarite, Bruggenite as Iodates.

In 2024, there was a detailed exploration program of 5,325 ha in the Hermosa Oeste, Pampa Engañadora; Franja Oeste, TEA Oeste, Iris Vigia; Mina Sur and Mina Oeste. The basic exploration conducted in 2024 corresponds to 3,500 ha in Pampa Fortuna. Currently, drilling totals 3,284 reverse circulation (RC) drill holes (20,274 meter). All the drill holes were vertical. Drilling is carried out with wide grid in the first reconnaissance stage (1,000 x 1,000 m; 800 x 800 m; 400 x 400 m); to later reduce this spacing to define the resources in their different categories.
1.3MINERAL RESOURCE STATEMENT
This subsection contains forward-looking information related to mineral resource estimates for the Nueva Victoria Project. Material factors that could cause actual results to differ materially from the conclusions, estimates, designs, forecasts or projections in the forward-looking information include any material difference from one or more of the material factors or assumptions set forth in this subsection, including the geological interpretation, controls and assumptions associated with the establishment of the economic extraction prospects.
All available samples were used without compositing and no capping, or other outlier restriction, to develop a geological model in support of estimating Mineral Resources. Hard contacts were used between different geological units. Sectors with a drill hole grid of 50 x 50 m and up to 100 x 100 m were estimated in a three-dimensional block model using the Ordinary Kriging (KO) interpolation method in one pass. Additionally, variograms were constructed and used to support the search for ellipsoid anisotropy and linear trends observed in the data. Iodine and nitrate grade interpolation was performed using the same variograms model calculated for Iodine. In the case of sectors with drill holes grids greater than 100 x 100 m and up to 200 x 200 m were estimated in a three-dimensional block model using the Inverse Distance
SQM TRS Nueva Victoria
Pag. 1

tm2311827d1_ex96-4img001.jpg
Weighted (IDW) interpolation method. For areas with drill holes grids from 200 x 200 m up to 400 x 400 m were estimated in two dimensional using the Polygon Method.
Mineral Resources were classified using the drill hole grid. Zones with grid of 50 x 50 m up to 100 x 100 m were classified as Measured. For Indicated Mineral Resources, the zone should have a 200 x 200 m drill hole grid. To define inferred Resources a 400 x 400 m drill hole grid was used.
The Mineral Resources involves a new methodology, "block valorization", which considers for the resource, an optimal economic envelope of each pampa for a cut-off benefit (USD/Ton of ore) greater than 0.1 (BC). The parameters included in the calculation of the value of the block are: Iodine price, Nitrate price, Iodine Recovery, Nitrate Recovery, Mine Cost, Iodine Plant Cost and Nitrate Plant Cost. The block valuation methodology is stacked for measured and indicated resources (excluding reserves). The resulting inferred resources are not valued and are reported on an iodine cut-off grade (300 ppm).
The Mineral Resource Estimate, excluding Mineral Reserves, is presented in Table 1-1. Note that based on the caliche deposits found on the surface, all the Measured and Indicated Mineral Resources with environmental permits and that are within the envelope of the valorization of the block, have been converted into Mineral Reserves. As a consequence of the above, it provides geological resources excluding mining reserves, for which the report of measured, indicated and inferred geological resources is included in this Technical Report Summary (TRS). As the process of estimating mineral resources is reviewed and improved each year, mineral resources may change in terms of geometry, tonnage, or grades.
Table 1-1. In situ Mineral Resource Estimate, Exclusive of Mineral Reserves, effective December 31, 2024.
Nueva Victoria Inferred Resource Indicated Resource Measured Resource
Tonnage (Mt) Nitrate (%) Iodine (ppm) Tonnage (Mt) Nitrate (%) Iodine (ppm) Tonnage (Mt) Nitrate (%) Iodine (ppm)
Franja Oeste 16.0 3.9 401 12.6 2.2 251 21.1 3.5 282
Hermosa 46.6 5.1 169
Hermosa Oeste 17.0 4.7 387 9.6 4.9 267 18.3 3.8 230
Mina Norte 14.7 2.5 272
Mina Oeste 50.9 2.8 180
Mina Sur 12.6 3.0 274
TEA Sur 5.9 2.5 249
TEA Unificado 37.2 3.8 241
TEA Oeste 13.0 3.8 307 7.9 3.5 265
Torcaza 7.8 2.7 197
Engañadora 6.1 4.3 252
Cocar 5.1 7.3 302
Los Angeles 9.3 7.9 331
TEA Oeste 1.1 4.0 397
Total 48.5 5.3 372 41.4 3.6 272 223.1 3.6 218
(a)Mineral Resources are not Mineral Reserves and do not have demonstrated economic viability. There is no certainty that all or any part of the Mineral Resource will be converted into Mineral Reserves upon the application of modifying factors.
(b)The Mineral Resources are based on the application of modifying factors and due to the fact that the caliche deposits are located on the surface, part of the Measured and Indicated Mineral Resources with environmental permits and that are within the envelope of the valorization of the block greater than 3, have been converted into Mineral Reserves. As a consequence of the above, geological resources are provided excluding mining reserves, for which they are included in this Report of Measured Geological Resources, indicated and inferred in this Summary of the Technical Report.
SQM TRS Nueva Victoria
Pag. 2

tm2311827d1_ex96-4img001.jpg
(c)Comparisons of values may not add due to rounding of numbers and the differences caused by use of averaging methods.
(d)The units “Mt”, “ppm” and “%” refer to million tons, parts per million, and weight percent respectively.
(e)The Resource Mineral involves a cut-off benefit (USD/Ton of ore) greater than 0.1 and caliche thickness ≥ 2.0 m.
(f)As the mineral resources estimation process is reviewed and improved each year, mineral resources could change in terms of geometry, tonnage or grades.
Density was assigned to all materials with a default value of 2.1 (t/m3), this value comes from several analysis made by SQM in Nueva Victoria and other operations.
The Mineral Resource estimate considers an optimal Cut-Off Benefit (BC) to maximize the economic value of each block, this value considers the corresponding operational, financial and planned investment costs, depreciation, profit margin, and taxes. The iodine price used was to determine reasonable prospects for economic extraction is 42,000 USD/ton the same as that used to estimate Mineral Reserves.
Marco Fazzi and Freddy Ildefonso are the QPs responsible for the Mineral Resources. The QP is not aware of any environmental, permitting, legal, title, taxation, socioeconomic, marketing, political or other relevant factors that could materially affect the Mineral Resource Estimate that are not discussed in this Technical Report.
1.4MINERAL RESERVE STATEMENT
This sub-section contains forward-looking information related to Mineral Reserve estimates for the Project. The material factors that could cause actual results to differ materially from the conclusions, estimates, designs, forecast or projections in the forward-looking information include any significant differences from one or more of the material factors or assumptions that were set forth in this sub-section including Mineral Resource model tons and grade, modifying factors including mining and recovery factors, production rate and schedule, mining equipment productivity, commodity market and prices and projected operating and capital costs.
The Measure Mineral Resources defined by drill hole grid 50 x 50 m and up to 100 x 100 m and evaluated using 3D blocks and Ordinary Kriging are considered as high level of geological confidence are qualified as Proven Mineral Reserves. (See Table 12.2)
The Indicate Mineral Resources defined by drill holes grids greater than 100 x 100 m up to 200 x 200 m; and evaluated using 3D blocks model and Inverse Distance Weighted (IDW) interpolation method is considered as medium level of geological confidence are qualified as Probable Mineral Reserves.
The Mineral Reserves are based on the block valuation methodology, which considers for the resource, an optimal economic envelope of each pampa for a Cut-off Benefit (USD/Ton of ore) greater than 3. The parameters included in the calculation of the value of the block are: Iodine price, Nitrate price, Iodine Recovery, Nitrate Recovery, Mine Cost, Iodine Plant Cost and Nitrate Plant Cost", another restriction for reserves is a caliche thickness ≥ 2.0 m and a slope, which should not exceed 8%. Economic viability is demonstrated in discounted cash flow after taxes (see Section 19). All Mineral Reserves are defined in sectors with environmental permits (RCA).
Based on these criteria, Proven Reserves Mineral at Nueva Victoria are estimated in to 781.4 million tons (Mt) with an estimated average nitrate grade of 4.5% and 302.7 ppm iodine.
Probable Mineral Reserves at the Nueva Victoria site are 254.4 Mt with and estimated average nitrate grade of 5.7% and 366.3 ppm iodine. Mineral Reserves are stated as in-situ ore.
SQM TRS Nueva Victoria
Pag. 3

tm2311827d1_ex96-4img001.jpg
Table 1-2. Mineral Reserve at the Nueva Victoria Mine (Effective 31 December 2024)
Proven Reserves Probable Reserves Total Reserves
Tonnage (Mt) 781.4 254.4 1,035.83
Iodine Grade (ppm) 302.7 366.3 318.3
Nitrate Grade (%) 4.5 5.7 4.8
Iodine (kt) 237 93 330
Nitrate (kt) 3.5 2 2

Notes:
(a)The Mineral Reserves are based on a Cut-off Benefit (BC) greater than 3 USD/t, a caliche thickness ≥ 2.0 m. and a restriction of sectors with slopes not greater than 8%.
(b)Proven Minerals Reserves are based on Measured Mineral Resources at the criteria described in (a) above, calculations were made using a model estimated by Ordinary Kriging.
(c)Probable Mineral Reserves are based on Indicated Mineral Resources based on the criteria described in (a) above, calculations were made using a model estimated by IDW.
(d)Mineral Reserves are stated as in-situ ore (caliche) as the point of reference.
(e)The units “Mt”, “kt”; “ppm” and “%” refer to million tons, kilotons; parts per million, and weight percent respectively.
(f)Mineral Reserves are based on an Iodine price of 42.0 USD/kg. Miner is also based on economic viability as demonstrated in an after-tax discounted cash flow (see Section 19).
(g)Marco Fazzi and Freddy Ildefonso are the QP responsible for the Mineral Reserve.
(h)The QP is not aware of any environmental, permitting, legal, title, taxation, socioeconomic, marketing, political or other relevant factors that could materially affect the Mineral Reserve estimate, that are not discussed in this TRS.
(i)Comparison of values may not total due to rounding of numbers and the differences caused by use of averaging methods.

1.5MINE DESIGN, OPTIMIZATION, AND SCHEDULING
At Nueva Victoria the total amount of Caliche extraction reached in 2024 was 49.2 million tons (Mt). Caliche production for the Long Term (LP) form 2025 through 2040 ranges between 48 Mt per year to 54 Mt per year for a total ore production of 858 Mt with an average iodine grade of 327 ppm and a nitrate grade of 4.9%. The mining procedure at Nueva Victoria involves the following processes:
⮚Removal of surface layer and overload (between 0.50 m to 1.0 m thick).
⮚Caliche extraction, up to a maximum depth of 6 m, through explosives (drill & blast) or surface mining (SM).
⮚Caliche loading, using front-end loaders and/or shovels.
⮚Transport of the mineral to heap leach, using mining trucks (rigid hopper) of high tonnage (100 to 150 tons).
⮚Construction of heap leach to accumulate a total of 1 Mt, with heights of 7 to 15 m and a crown area of 65,000 square meters (m²).
SQM TRS Nueva Victoria
Pag. 4

tm2311827d1_ex96-4img001.jpg












The physical stability analysis performed by SQM indicates that these heaps are stable for long-term, and no slope modification is required for closure.
⮚Continuous irrigation of heap leach is conducted to complete the leach cycle. The cycle of each heap lasts approximately 300 to 500 days and during this time, heap height decreases by 15% to 20%.
The criteria set by SQM to establish the mining plan correspond to the following:
⮚Caliche thickness ≥ 2.0 m
⮚Sectors with slopes not greater than 8%.
⮚Unit sales Price for prilled Iodine 42,000 USD/ton (mining, leaching, seawater pipeline and plant processing).
In the mining processes, SQM considers an efficiency between 80% an 90% (losses of mineral and grades dilution in the integral process of mineral extraction, load, and transport; and heap leach construction).
Given the production factors set in mining and leaching processes (71.1% for Iodine and 35.1% for Nitrates production for leaching that are average values), a total production of 199.7 kt of prilled Iodine and 14,839 kt of nitrate salts is expected for this period (2025- 2040) from lixiviation process to treatment plants.
1.6METALLURGY AND MINERAL PROCESSING
1.6.1Metallurgical Testing Summary
The test work developed is aimed at determining the susceptibility of raw materials to production by means of separation and recovery methods established in the plant, evaluating deleterious elements, to establish mechanisms in the operations and optimize the process to guarantee a recovery that will be intrinsically linked to the mineralogical and chemical characterization, as well as physical and granulometric of the mineral to be treated.
Historically, SQM Nitrates, through its Research and Development area, has conducted tests at plant and/or pilot scale that have allowed improving the knowledge about the recovery process and product quality through chemical oxidation tests, solution cleaning and recently, optimization tests of leaching heap operations, through the prior categorization of the ore to be leached.
SQM's analysis laboratories located in the city of Antofagasta and the Iris Pilot Plant Laboratory (Nueva Victoria) perform physicochemical, mineralogical, and metallurgical tests. The latter allow to know the behavior of the caliche bed against water leaching and thus support future performance. In addition, the knowledge generated contributes to the selection of the best irrigation strategy to maximize profit and the estimation of recovery at industrial scale by means of empirical correlations between the soluble content of caliches and the metallurgical yields of the processes.
1.6.2Mining and Mineral Processing Summary
The Nueva Victoria Operation comprises the sectors of Nueva Victoria belonging to Nueva Victoria, Sur Viejo and Iris. The production process begins with mining of “Caliche” ore. The ore is heap-leached to generated iodate & nitrate rich leaching solutions referred to by SQM as “Brines”. The brines are piped to processing plants where the iodate is converted to iodide, which is then processed to obtain pelleted (“Prilled”) iodine. The iodine-depleted brine which exits the iodide plant is referred to as brine Feble (“BF”) by SQM, literally feble brine in the sense of depleted, weakened. A proportion of the BF is recirculated to the heap-leaching stage of the process; the remaining BF is routed to the evaporation ponds at Sur Viejo. The solar evaporation ponds produce salts rich in sodium nitrate and potassium nitrate. These nitrate-rich salts are sent to the SQM Coya Sur Plants (locate 160 Km to the south of Nueva Victoria, and 7 Km southeast of the town of Maria Elena in the Antofagasta Region of northern Chile) where they are refined to produce commercial sodium nitrate and potassium nitrate.
The surface area authorized for mining at Nueva Victoria is 1,299 square kilometers (km2). The surface area authorized for mining at Iris is 45.5 km2. No expansion is planned at Iris.
SQM TRS Nueva Victoria
Pag. 5

tm2311827d1_ex96-4img001.jpg












Caliche extraction at Nueva Victoria is 37 million tons per year (Mtpy), with an additional 6.48 Mtpy at Iris. The overall mining rate at Nueva Victoria and Iris will be increased to a total of 71.48 Mtpy with the incorporation of the TEA expansion.
1.7CAPITAL AND OPERATING COSTS
This section contains forward-looking information related to capital and operating cost estimates for the Project. The material factors that could cause actual results to differ materially from the conclusions, estimates, designs, forecast or projection in the forward-looking information include any significant differences from one or more of the materials factors or assumptions that were set forth in this section including prevailing economic conditions continue such that projected capital costs, labor and equipment productivity levels and that contingency is sufficient to account for changes in material factors or assumptions.
The annual production estimates were used to determine annual estimates of capital and operating costs. All cost estimates were in 2024 USD. Total capital costs are estimated to be about USD 1,275 million for seawater pipelines, new facilities for the TEA expansion project, as well as sustaining and expansion capital for current operations. Annual operating costs were based on historical operating costs, material movements and estimated unit costs provided for SQM. These including mining, leaching, iodine and nitrate production. Ore capital costs included working capital and closure costs. Annual total operating cost of 6.0 USD/ton caliche to 7.5 USD/ton of caliche, with an average total operating cost of 6.8 USD/ton of caliche over the Long Term (Table 19.3).
1.8ECONOMIC ANALYSIS
This section contains forward-looking information related to economic analysis for the Project. The material factors that could cause actual results to differ materially from the conclusions, estimates, designs, forecast or projection in the forward-looking information include any significant differences from one or more of the materials factors or assumptions that were set forth in this sub section including estimated capital and operating costs, project schedule and approvals timing, availability of funding, projected commodities markets and prices.
All costs were assumed in 2024 USD.
For the economic analysis a Discounted Cash flow (DCF) model was developed.
An iodine sales price of 42,000 USD/ton and a nitrate salt for fertilizer price of 323 USD/ton was used in the discounted cash flow. The imputed nitrate salts for fertilizer price of 323 USD/ton.
QP believes these prices reasonably reflect current market prices and are reasonable to use as sales prices for the economic analysis for this Study.
The discounted cash flow establishes that the Mineral Reserves estimate provided in this report are economically viable. The base case NPV is estimated to be USD 3.1 billion. The Net Present Value for this study is most sensitive to operating cost and sales prices of both iodine and nitrates. (Table 19.4) QP considers the accuracy and contingency of cost estimates to be well within a Prefeasibility Study (PFS) standard and enough for the economic analysis supporting the Mineral Reserve estimated for SQM.
1.9CONCLUSIONS AND RECOMMENDATIONS
Marco Fazzi and Freddy Ildefonso, QPs of Mineral Resources and Mineral Reserves concludes that the work done in the review of this TRS includes adequate details and information to declare the Mineral Reserves. In relation to the resource treatment processes, the conclusion of the responsible QP, Gino Slanzi, is that appropriate work practices and equipment, design methods and processing equipment selection criteria have been used. In addition, the company has developed new processes that have continuously and systematically optimized its operations.
Some recommendations are given in the following areas:
⮚Continue with the improvements implemented during the year 2022 for the Qa-Qc program to integrate it to Acquire System manages to align with the best practices of the industry, facilitating with this a more robust quality control.
SQM TRS Nueva Victoria
Pag. 6

tm2311827d1_ex96-4img001.jpg












⮚With the migration of geological database to Acquire platform, traceability of drilling, geology, geochemical data is achieved in a secure base.
⮚It is considered important to evaluate the leachable material through heap leaching simulation, which allows the construction of a conceptual model of caliche leaching with a view to secondary processing of the riprap to increase the overall recovery . It is recommended to continue with the research work of the geometallurgical model to determine the real recovery to the increase of water.
⮚Environmental issues include leachate or acid water management, air emissions management, tailings dump management, and leachate riprap.

⮚Audit with an external company of the entire resource estimation process, that is, expert review of drilling database, resource estimation, and reserve valuation

All the above recommendations are considered within the declared CAPEX/OPEX and do not imply additional costs for their execution.
SQM TRS Nueva Victoria
Pag. 7

tm2311827d1_ex96-4img001.jpg












2INTRODUCTION
This Technical Summary Report (TRS) was prepared by SQM's team of professionals and external advisors for Sociedad Química y Minera de Chile (SQM), in accordance with the requirements of Regulation SK, Subpart 1300 of the United States Securities Exchange Commission (SEC), hereinafter referred to as SK 1300.
2.1TERMS OF REFERENCE AND PURPOSE OF THE REPORT
At Nueva Victoria SQM produces nitrate salts (sodium nitrate and potassium nitrate) and iodine, by heap leaching and evaporation.
The effective date of this TRS report is December 31, 2024.
This TRS uses English spelling and Metric units of measure. Grades are presented in weight percent (wt.%). Costs are presented in constant US Dollars as of December 31, 2024.
Except where noted, coordinates in this TRS are presented in metric units using the World Geodesic Reference System (PSAD) 1956 Universal Transverse Mercator (UTM) ZONE 19 South (19S).
The purpose of this TRS is to report Mineral Resources and Mineral Reserves for SQM’s Nueva Victoria operation.
2.2SOURCE OF DATA AND INFORMATION
This TRS is based on information from SQM and public domain data. All information is cited throughout this document and is listed in the final "References" section at the end of this report. Table 2-1 provides the abbreviations (abbv.) and acronyms used in this TRS.
Table 2-1. Abbreviations and Acronyms
Acronym/Abbv. Definition
 ' minute
" second
% percent
° degrees
°C degrees Celsius
100T 100 truncated grid
AA Atomic absorption
AAA Andes Analytical Assay
AFA weakly acidic water
AFN Feble Neutral Water
Ajay Ajay Chemicals Inc.
AS Auxiliary Station
ASG Ajay-SQM Group
BF Brine Feble
BFN Neutral Brine Feble
BWn abundant cloudiness
CIM Centro de Investigación Minera y Metalúrgica
cm centimeter
CU Water consumption
COM Mining Operations Center
CSP Concentrated solar power
CONAF National Forestry Development Corporation
DDH diamond drill hole
SQM TRS Nueva Victoria
Pag. 8

tm2311827d1_ex96-4img001.jpg












Acronym/Abbv. Definition
DGA General Directorate of Water
DTH down-the-hole
EB 1 Pumping Station No. 1
EB2 Pumping Station No. 2
EIA environmental impact statement
EW east-west
FC financial cost
FNW feble neutral water
g gram
G gravity
GU geological unit
g/cc grams per centimeter
g/mL grams per milliliter
g/ton grams per ton
g/L grams per liter
GPS global positioning system
h hour
ha hectare
ha/y hectares per year
HDPE High-density Polyethylene
ICH industrial chemicals
ICP inductively coupled plasma
ISO International Organization for Standardization
kg kilogram
kh
horizontal seismic coefficient
kg/m3
kilogram per cubic meter
km kilometer
kv
vertical seismic coefficient
kN/m3
kilonewton per cubic meter
km2
square kilometer
kPa Kilopascal
kt kilotonne
ktpd thousand tons per day
ktpy kilotonne per year
kUSD thousand USD
kV kilovolt
kVa kilovolt-amperes
L/h-m2
liters per hour square meter
L/m2 /d
liters per square meter per day
L/s liters per second
LR Leaching rate
LCD/LED liquid crystal displays/light-emitting diode
LCY Caliche and Iodine Laboratories
LdTE medium voltage electrical transmission line
LIMS Laboratory Information Management System
SQM TRS Nueva Victoria
Pag. 9

tm2311827d1_ex96-4img001.jpg












Acronym/Abbv. Definition
LOM life-of-mine
m meter
M&A mergers and acquisitions
m/km2
meters per square kilometer
m/s meters per second
m2
square meter
m3
cubic meter
m3 /d
cubic meter per day
m3 /h
cubic meter per hour
m3 /ton
cubic meter per ton
masl meters above sea level
mbgl meter below ground level
mbsl meters below sea level
mm millimeter
mm/y millimeters per year
Mpa megapascal
Mt million ton
Mtpy million tons per year
MW megawatt
MWh/y Megawatt hour per year
NNE north-northeast
NNW north-northwest
NPV net present value
NS north south
O3
ozone
ORP oxidation reduction potential
PLS pregnant leach solution
PMA particle mineral analysis
ppbv parts per billion volume
ppm parts per million
PVC Polyvinyl chloride
QA Quality assurance
QA/QC Quality Assurance/Quality Control
QC Quality control
QP Qualified Person
RC reverse circulation
RCA environmental qualification resolution
RMR Rock Mass Rating
ROM run-of-mine
RPM revolutions per minute
RQD rock quality index
SG Specific gravity
SEC Securities Exchange Commission of the United States
SSE South-southeast
SEIA Environmental Impact Assessment System
SQM TRS Nueva Victoria
Pag. 10

tm2311827d1_ex96-4img001.jpg












Acronym/Abbv. Definition
MMA Ministry of Environment
SMA Environmental Superintendency
SNIFA National Environmental Qualification Information System (SMA online System)
PSA Environmental Following Plan (Plan de Seguimiento Ambiental)
SEM Terrain Leveler Surface Excavation Machine
SFF specialty field fertilizer
SI intermediate solution
SING Norte Grande Interconnected System
S-K 1300 Subpart 1300 of the Securities Exchange Commission of the United States
SM Surface Mining
SM (%) salt matrix
SPM sedimentable particulate matter
Sr relief value, or maximum elevation difference in an area of 1 km²
SS soluble salt
SX solvent extraction
t ton
TR Irrigation rate
TAS sewage treatment plant
TEA project Tente en el Aire Project
tpy tons per year
t/m3
tons per cubic meter
tpd tons per day
TRS Technical Report Summary
ug/m3
microgram per cubic meter
USD United States Dollars
USD/kg United States Dollars per kilogram
USD/ton United States Dollars per ton
UTM Universal Transverse Mercator
UV ultraviolet
VEC Voluntary Environmental Commitments
WGS World Geodetic System
WSF Water soluble fertilizer
wt.% weight percent
XRD X-Ray diffraction
XRF X-ray fluorescence
2.3DETAILS OF INSPECTION
The most recent site visit dates for each Qualified Person (QP) are listed in Table 2-2:






SQM TRS Nueva Victoria
Pag. 11

tm2311827d1_ex96-4img001.jpg












Table 2-2. Summary of site visits made by QPs to Nueva Victoria in support of TRS Review
Qualified Person (QP) Expertis Date of Visit Details of Visit
Marco Fazzi Geology and Mining dic-24 Nueva Victoria Mine and Facilities
Gino Slanzi Metallurgy and Mineral Processing dic-24 Inspection of Iodine Plants, Mine and Leaching Piles
Freddy Ildefonso Geology and Mining dic-24 Nueva Victoria Mine and Facilities
During the site visits to the Nueva Victoria Property, the QPs, accompanied by SQM technical staffs:
⮚Visited the mineral deposit (caliche) areas.
⮚Inspected drilling operations and reviewed sampling protocols.
⮚Reviewed core samples and drill holes logs.
⮚Assessed access to future drilling locations.
⮚Viewed the process though mining, heap leaching to the finished prilled iodine product.
⮚Reviewed and collated data and information with SQM personnel for inclusion in the TRS.
2.4PREVIOUS REPORTS ON PROJECT
Technical Report Summary prepared by WSP Consulting Chile (WSP), March 2022.
Technical Report Summary prepared by SQM SA; March 2023.
Technical Report Summary prepared by SQM SA; April 2024.
SQM TRS Nueva Victoria
Pag. 12

tm2311827d1_ex96-4img001.jpg












3DESCRIPTION AND LOCATION
3.1LOCATION
The Nueva Victoria Property is in the Commune of Pozo Almonte, in the Province of Tamarugal, within the Region of Tarapacá of northern Chile. The center of the property is situated 80 km south-southeast (SSE) of the City of Iquique and 70 km south of the City of Pozo Almonte.
The access control checkpoint to the Property is located on the eastern side of the Ruta 5 South trunk road (the Panamericana Highway), 83 km south of the City of Pozo Almonte. The Nueva Victoria Property is approximately 55 km north-south by 40 km east-west.

Figure 3-1. General Location Map
plano_ubicacinxnv.jpg


SQM TRS Nueva Victoria
Pag. 13

tm2311827d1_ex96-4img001.jpg












3.2MINERAL TITLES, CLAIMS, RIGHTS, LEASES AND OPTIONS
SQM currently has 5 mineral properties located in the north of Chile, in the First Region of Tarapacá (I) and Second Region of Antofagasta (II). These are the Nueva Victoria, Pampa Orcoma; María Elena, Pedro de Valdivia and Pampa Blanca properties. All properties cover a combined area of approximately 288,915 ha and has been make prospecting grid resolution of 400 x 400 m or finer.
The Nueva Victoria Property covers an area of approximately 69,800 ha.
3.3MINERAL RIGHTS
SQM owns mineral exploration rights over 1,538,919 ha of land in the I and II Regions of northern Chile and is currently exploiting the mineral resources over less of 1% of this area (as of Dec 2023).
Figure 3-2. Location of Nueva Victoria Project

plano_pmineraxnv-rca.jpg

3.4ENVIRONMENTAL IMPACTS AND PERMITTING
Since 1997, SQM has completed numerous Environmental Impact Assessments (EIA) (Estudio de Impacto Ambiental) and Environmental Impact Statements (EIS) (Declaración de Impacto Ambiental, DIA) in support of the development and ongoing expansion of the Nueva Victoria Property (including the “Pampa Hermosa” and “TEA” Projects). These environmental assessments are completed within the Chilean regulatory platform Sistema de Evaluación de Impacto Ambiental (SEIA), which is managed by the Chilean Regulatory Authority, the Servicio de Evaluación Ambiental (SEA, https://www.sea.gob.cl/).
SQM TRS Nueva Victoria
Pag. 14

tm2311827d1_ex96-4img001.jpg












Section 17.1 of this TRS details these environmental studies and the environmental approvals (permits), termed Resoluciones de Calificación Ambiental (RCA), issued by SEA.
3.5OTHER SIGNIFICANT FACTORS AND RISKS
SQM’s operations are subject to certain risk factors that may affect the business, financial conditions, cash flow, or SQM’s operational results. The list of potential risk factors is summarized below:
⮚Risks related to be a company based in Chile; potential political risks as well as changes to the Chilean Constitution and legislation that could conceivably affect development plans, production levels, royalties and other costs.
⮚Risks related to financial markets.
3.6ROYALTIES AND AGREEMENTS
Apart from paying standard mineral royalties to the Government of Chile, in compliance with the Chilean Royalty Law, SQM has the obligation to pay for the production that comes from the mining property "COCAR" 1000 US$ per tonne of prilled iodine and 10 US$ per tonne of nitrate produced at Coya Sur facilities, both adjusted by the US CPI ("Consumer Price Index - All Urban Consumers"). The mining property affected by this is only 35 Mt of the total resources of SQM.


SQM TRS Nueva Victoria
Pag. 15

tm2311827d1_ex96-4img001.jpg












4ACCESSIBILITY, CLIMATE, LOCAL RESOURCES, INFRASTRUCTURE AND PHYSIOGRAPHY
This section of the TRS provides a summary of the physical setting of the Nueva Victoria Property, access to the property and relevant civil infrastructure.
4.1TOPOGRAPHY
The Nueva Victoria Property is located in the Intermediate Basin (Central Depression) of the Atacama Desert. The property constitutes an area of gentle topographic relief with an average elevation of 1.500 m.a.s.l.
Figure 4-1 presents a topographic map developed from a digital elevation model (DEM) corresponding to a 30 m resolution ASTER satellite image. The lower part of the figure presents a topographic cross section through the DEM. The figure categorizes the topographic slope into the six categories summarized in Table 4-1.
Table 4-1. Slope Categories applied in the analysis of the ASTER DEM
Slope Category From To
Very Low 4.3°
Low 4.3° 9.94°
Moderate 9.94° 16.71°
Medium 16.71° 26.58°
High 26.58°
Very High Slopes > 38.66°
From inspection of Figure 4-1, it can be appreciated that the Nueva Victoria Property presents slopes that vary from very low (near flat) to moderate or medium. The steepest slopes are observed in the western sector, close to the coast, due to the coastal scarp.
Figure 4-1. Slope parameter map Sr and elevation profile trace AA"
image_6.jpg
SQM TRS Nueva Victoria
Pag. 16

tm2311827d1_ex96-4img001.jpg












4.2VEGETATION
The Nueva Victoria Property is a desert landscape devoid of vegetation cover (EIA, 2007).
4.3ACCESSIBILITY AND TRANSPORTATION TO THE PROPERTY
As detailed in Section 1 of this TRS, the Nueva Victoria Property is situated 80 km SSE the City of Iquique and 70 km south of the City of Pozo Almonte. The principal route to the property from Diego Aracena International Airport is as follows:
1.Drive 28 km north on Ruta 1 to the City of Iquique.
2.Travel northeast through the City of Iquique on primary roads to take Ruta 16 (motorway) to reach the settlement of Alto Hospicio at 44 km total distance driven.
3.Continue East on Ruta 16 (motorway) for 83 km to reach the deserted mining town of Humberstone. Humberstone is a Chilean National Monument and part of a UNESCO World Heritage Site where saltpeter (KNO3) was formerly mined.
4.At Humberstone, turn south on the trunk road of Ruta 5, reaching the City of Pozo Almonte at 87 km from Humberstone.
5.Continue south on the trunk road of Ruta 5, reaching the SQM access control checkpoint (garita) of the Nueva Victoria property at 171 km.

4.4CLIMATE AND LENGTH OF OPERATING SEASON
Nueva Victoria is in the Intermediate Basin (Central Depression) of the hyper arid Atacama Desert at a latitude of approximately 21°S. The topographic relief at the property is gentle and much of the area is essentially flat with an average elevation of 1,500 m.a.s.l. Long-term annual rainfall is close to 0 mm, and the annual average temperature is 18° C. Relative humidity of the air is low. On very rare occasions, the convective summer rains which occur from November to February over land above 4,000 m.a.s.l. on the Altiplano of the Andes may extend west to bring very infrequent rain to the Intermediate Basin and Nueva Victoria.
The climate of the study area is classed as a low marginal desert climate within the Köppen climate classification (EIA, 2007).
Nueva Victoria operates all year, there are no climate constraints which would force the operations to shut down during any part of the year. However, in the event of a very rare thunderstorm, precautions must be taken to eliminate the risk to life that that lightning strikes could present.

4.5INFRASTRUCTURE AVAILABILITY AND SOURCES
In the Nueva Victoria mining area, the following facilities and infrastructures can be found.
The main facilities at Nueva Victoria are as follows:
⮚Caliche mining areas.
⮚Industrial water supply.
⮚Heap leaching operation.
⮚Iodine plants (Nueva Victoria, Modulo 4 TEA and Iris properties).
⮚Evaporation ponds (Sur Viejo).
SQM TRS Nueva Victoria
Pag. 17

tm2311827d1_ex96-4img001.jpg












⮚Iodine production & prilling Plant NV (Nueva Victoria).
⮚Administrative and technical offices and training rooms.
⮚Medical facilities.
⮚Camp and associated facilities (gym, restaurant, etc.).
⮚Domestic waste disposal site.
⮚Hazardous waste yard.
⮚Non-hazardous industrial waste yard.
SQM TRS Nueva Victoria
Pag. 18

tm2311827d1_ex96-4img001.jpg












5HISTORY
Commercial exploitation of caliche mineral deposits in northern Chile began in 1830s when sodium nitrate was extracted from the mineral for use in explosives and fertilizers production. By the end nineteenth century, nitrate production had become Chile's leading industry, and, with it, Chile became a world leader in nitrates production and supply. This boom brought a surge of direct foreign investment and the development of the Nitrate “Offices” or “Oficinas Salitreras” as they were called.
Synthetic nitrates' commercial development in 1920s and global economic depression in l930s caused a serious contraction of the Chilean nitrate business, which did not recover in any significant way until shortly after World War II. Post-war, widely expanded commercial production of synthetic nitrates resulted in a further contraction in Chile's natural nitrate industry, which continued to operate at depressed levels into their 1960s.
The Victoria “Office” was first established between 1941 and 1944 by the “Compañía Salitrera de Tarapacá”. At its peak, Victoria produced 150,000 metric tons of nitrates with over 2,000 employees. In 1960, CORFO, Chile´s Production Development corporation formed the roots of SQM. In 1971, Anglo Lautaro sold all its shares to CORFO and SQM became wholly owned by the Chilean government. Since SQM´s inception, nitrates and iodine have been produced from caliche deposits in northern Chile.
In late 2002, Nueva Victoria East was re-established as a mining operation. Nueva Victoria mineral is transported by trucks to heap leach facilities where iodine is produced. This site is made up of facilities located in three sectors corresponding to Nueva Victoria, Sur Viejo and Iris.
The overall site layout is shown in Figure 6-4.
In 2014, there was investment into developing new mining sectors and increased production of both nitrates and iodine at Nueva Victoria, achieving a production capacity (including Iris facility) of approximately 8,500 metric tons per year of iodine at the site.
In 2015, SQM company focused on increasing the efficiency of its operations. This included a plan to restructure our iodine and nitrates operations. To take advantage of highly efficient production facilities at Nueva Victoria, it was decided to suspend mining and nitrates operations and reduce iodine production at Pedro de Valdivia site. During 2017, production capacity for iodine was increased at Nueva Victoria, with current effective iodine capacity at approximately 14,000 metric tons per year.
SQM TRS Nueva Victoria
Pag. 19

tm2311827d1_ex96-4img001.jpg












6GEOLOGICAL SETTING, MINERALIZATION AND DEPOSIT
6.1REGIONAL GEOLOGICAL SETTING
In Chile, the nitrate-iodine deposits are in the intermediate basin, limited to the east by the Coastal Range (representing the Jurassic magmatic arc) and the Precordillera (associated to the magmatic activity originating from the mega Cu-Au deposits in northern Chile), generating a natural barrier for their deposition and concentration. (Figure 6-1).
The salt and nitrate deposits of northern Chile occur in all topographic positions from hilltops and ridges to the centers of broad valleys (Ericksen, 1981). They are hosted in rocks of different ages and present very varied lithologies; however, a distinctive feature is that they are always related in some way to a key unit known as the Saline Clastic Series (CSS à Late Oligocene to Neogene). The CSS comprises mainly siliciclastic and volcanoclastic sandstones and conglomerates produced by erosion and re-sedimentation of pre-existing rocks of the Late Cretaceous-Eocene volcanic arc. This key stratigraphic unit includes rocks deposited under a range of sedimentary environments including fluvial, eolian, lacustrine, and alluvial, but all were developed primarily under arid conditions. The upper parts of CSS include lacustrine and evaporitic rocks composed mainly of sulfates and chlorides. The outcrop of CSS always lies to the west of the ancient Late Cretaceous-Eocene volcanic arc, covering the present-day topography (Chong et al., 2007).
Figure 6-1. Geomorphological scheme of saline deposits in northern Chile.
image_7.jpg
Note: Nitrate deposits are restricted to the eastern edge of the Coastal Range and in the Central Basin (Taken from Gajardo, A & Carrasco, R. (2010). Salares del Norte de Chile: Potential Lithium Source. SERNAGEOMIN, Chile).
Most of the nitrate deposits in Chile are found in the provinces of Tarapacá and Antofagasta, with more northerly occurrences in Tarapacá largely restricted to a narrow band along the eastern side of the Coastal Range; while, to the south they extended extensively not only in the Coastal Range, but also in the Central Valley and the Andean Front (Garret, 1983). Extremely rare minerals are present in this type of deposits, among which we find nitrates, nitrate-sulphates, chlorides, perchlorates, iodates, borates, carbonates, and chromates. The mineralization occurs as veins or impregnations filling pores, cavities, desiccation polygons and fractures of unconsolidated sedimentary deposits; or as a massive deposit forming a consolidated to semi-consolidated cement as extensive uniform mantles cementing the regolith, called caliche.
SQM TRS Nueva Victoria
Pag. 20

tm2311827d1_ex96-4img001.jpg












The regional geology in which the Nueva Victoria nitrate-iodine deposits are situated corresponds to Paleogene clastic sedimentary rocks, over a volcanic basement, associated with lavas of intermediate composition (mainly andesites - tuffs) representing Jurassic volcanism. The area of influence of the geological component includes the coastal plain, the coastal Farellón, the coastal mountain range and the central Gran pampa. The oldest rocks outcropping in the area correspond to Upper Carboniferous Granitoids. This unit is covered by rocks of the Sierra de Lagunas Strata, which correspond to Upper Triassic-Lower Jurassic volcano-sedimentary products and affected by associated hypabyssal intrusive rocks. The Sierra de Lagunas strata are covered in apparent concordance by rocks of The Oficina Viz Formation, which represent the volcanic products of the Lower and Middle Jurassic magmatic arc.
The Cerro Vetarrón Monzonite outcrops in the central sector of the Cordillera de la Costa, it is partly contemporaneous with the Oficina Viz Formation. The Oficina Viz Formation is concordantly covered by marine sedimentary rocks of the Huantajaya Group à   the Lígate Cove Formation and the El Godo Formation.
Plutonic rocks originated in the arc magmatism during the Upper Jurassic-Lower Cretaceous, represented by the Patache Diorite, the Cerro Carrasco Intrusive Complex, and the Oyarbide Intrusive Complex, as well as by hypabyssal bodies associated with the latter unit. These complexes outcrop in the coastal strip and in the western edge of the Coastal Range.
The deformation processes of north-south faults associated with the Atacama Fault System caused structural basins (tensional basins and grabens) where the Cerro Rojo Formation and Punta Barranco Formation were continentally deposited. These Mesozoic units are intruded by Lower Cretaceous subvolcanic intrusive and granitoids of the Montevideo Intrusive Complex. These intrusive bodies outcrop in the easternmost portion of the Cordillera de la Costa and the second unit presents ages that decrease towards the east. On the other hand, in the eastern limit of the Coastal Range, isolated rocks of Upper Cretaceous intrusive outcrop, which represent the magmatism of that period and evidence the migration of the magmatism axis towards the east.
The Great Coastal Escarpment generated during the Pleistocene-Holocene by the combined action of eustatic, tectonic and erosive events, limits the western edge of the Coastal Range with the Coastal Strip. Attached to the Great Coastal Escarpment there are large volumes of colluvial deposits, which are also found on a smaller scale along escarpments associated with east-west faults and on the slopes of some mountain fronts. After the generation of the Great Coastal Escarpment, sedimentation of littoral deposits occurs at its foot. Massive landslide deposits caused by various gravitational displacements of material from the western edge of the Coastal Mountain Range.
In the Pleistocene-Holocene, the deposition of the Alto Hospicio Gravels and the alluvial deposits occur in the Coastal Range in the Pleistocene-Holocene, which are restricted to the bottoms of the ravines and locally form alluvial fans. These deposits have a considerably smaller extension than the Oligocene-Pliocene deposits, which shows a reduction in the contribution of alluvial clastic material. On the other hand, in the Central Basin there are large extensions of Pleistocene-Holocene alluvial deposits, whose components come from the erosion of rocks from the Precordillera. These alluvial deposits are cut and covered by active alluvial deposits, of lesser extension and made up of clays, silts, and fine sands.
6.2LOCAL GEOLOGY
The geology of the Nueva Victoria Property is presented in Figure 6-2. The geological units are described below.
6.2.1Intrusive Igneous Rocks
Granites, diorites, quartz monzonites and gabbro of Cretaceous age, intruded as sills and dikes. Denoted as Jg on the geological map.
6.2.2Volcanic and Marine Sedimentary Sequences
Jurassic age marine sedimentary rocks (sandstones, glauconitic breccias, shales and limestones) with intercalations of continental andesites and andesitic breccias. Denoted as Jm(m) on the geological map.
SQM TRS Nueva Victoria
Pag. 21

tm2311827d1_ex96-4img001.jpg












6.2.3Stratified Sedimentary and Volcanoclastic Rocks
This category comprises Mesozoic to Cenozoic sedimentary and volcanoclastic units comprising:
⮚Continental volcanoclastic rocks of Jurassic age comprising andesites, breccias & andesitic agglomerates with intercalations of continental sediments. Denoted as Jv (i) on the geological map.
⮚Continental clastic sedimentary rocks of Triassic age comprising conglomerates, sandstones & quartzites with intercalations of marine sedimentary rocks. Denoted as Tr on the geological map.
⮚Poorly to well consolidated sediments of Quaternary age comprising aeolian sediments, colluvial deposits, alluvial fans, terraces, and sedimentary debris flows. Denoted as Qcp on the geological map.
⮚Evaporitic salts forming salt pans, salt flats, saline & gypsiferous crusts, associated with modern and former wetlands and brackish or saline lagoons and areas of former or current shallow water tables. Denoted as Qs on the geological map.
⮚Recent alluvial sediments, sedimentary debris flows and aeolian deposits. Denoted as Qal on the map.
SQM TRS Nueva Victoria
Pag. 22

tm2311827d1_ex96-4img001.jpg












Figure 6-2. Geological map at Nueva Victoria. Internal document-SQM
image_8.jpg
SQM TRS Nueva Victoria
Pag. 23

tm2311827d1_ex96-4img001.jpg












image_9.jpg
SQM TRS Nueva Victoria
Pag. 24

tm2311827d1_ex96-4img001.jpg












6.3PROPERTY GEOLOGY
Through the collection of geological information by logging of drill holes and surface mapping, five stratified subunits have been identified within the Quaternary Unit (Qcp) (Units A to E). (Figure 6-3). These units correspond to sediments and sedimentary rocks that host the non-metallic or industrial ores of interest, i.e., iodine and nitrate. Each of the units is described below.
6.3.1Unit A
Forms the upper part of the profile. It corresponds to a sulfated soil or petrogypsic saline detrital horizon of light brown color. It has an average thickness of approximately 0.4 m. It consists mainly of sand and silt-sized grains, and to a lesser extent gravel-sized clast. It presents as a well-cemented horizon at depth, while higher in the profile, within 0.2 m of ground surface, weathering and leaching of the more soluble components have rendered it porous and friable. At ground surface it presents as loose fine sand to silt-sized sediment, referred to locally as "chuca" or "chusca" which is readily transported by the wind or lofted by dust devils. Below the chusca, the competent part of the unit may present subvertical cracks vertical cracks, which may become filled with chusca or aeolian sediments.
6.3.2Unit B
Underlies Unit A. It corresponds to a light brown detrital sulfate soil characterized by anhydrite nodules in a medium to coarse sand matrix. Its thickness may vary laterally. It is typically between 0.5 to 1.0 m but may become laterally impersistent.
6.3.3Unit C
Underlies Unit B. It comprises fine to medium dark brown sandstones, with intercalations of sedimentary breccias. The thickness of this unit varies between 0.5 to 2.0 m. The sandstones and breccias are well consolidated and cemented by salts comprising sulfates, chlorides & nitrates. The salts occur as envelopes around the sedimentary clast (sand and gravel grains), fill cavities between the sedimentary clast and form saline aggregates due to saline efflorescence, (the deposition of salts from the evaporation of water from the capillary fringe of shallow water tables).
6.3.4Unit D
Underlies Unit C. It comprises dark brown matrix-supported polymictic breccias. The thickness of this units varies between 1 to 5 m. The clasts are angular, tending towards sub rounded with depth. They range from 2 mm (very fine gravel) to 80 mm (small cobble) in diameter. Lithologically, the clast comprises porphyritic andesites, amygdaloidal andesites, intrusive and highly altered lithics. The matrix of the breccias consists of medium to coarse sand-sized grains. The breccias are well consolidated and cemented by salts. As in the case of Unit C, the salts comprise sulfates, chlorides and nitrates, which occur as envelopes around the clast, fill cavities and present as saline aggregates resulting from saline efflorescence.
6.3.5Unit E
This unit is like Unit D, except for the sedimentary fabric and structure. It comprises dark brown clast-supported polymictic conglomerates. The clasts are sub rounded, and presents a wide range of sizes, with some clast exceeding 100 mm in diameter. Their composition includes porphyritic andesites, intensely epidotized and chloritized porphyritic andesites, fragments of indeterminate altered intrusive rocks and clasts with abundant iron oxide. The deposit is well cemented by salts, which, as in the case of Units C & D envelop the clasts, fill cavities and occur as aggregates or accumulations of salts formed by saline efflorescence.
6.3.6Unit F
Corresponds to the igneous basement of the sedimentary sequence. At Nueva Victoria this corresponds to Cretaceous volcanic rocks, andesitic to dioritic lavas, and granitic bodies. The basement presents little mineralization of economic interest, this being restricted to fracture infills, where present.
SQM TRS Nueva Victoria
Pag. 25

tm2311827d1_ex96-4img001.jpg












Figure 6-3. Typical profile of the Qcp unit at Nueva Victoria.
image_10.jpg
Upper horizon of sulfate sediments, forming loose, readily wind-transportable "chusca" where it is weathered and leached at the ground surface. This unit varies in thickness in the range 0.5 – 0.9 m.
Anhydrite nodules in a medium to coarse sand matrix. This unit typically varies in thickness in the range 0.5 – 1.0 m, but it may become laterally impersistent.
Horizon fine to medium-grained dark brown sandstones with intercalations of sedimentary breccias. This unit hosts economic mineralization. The thickness of the unit typically varies between 1.0 – 1.5 m.
Level of fine to medium-grained breccias. As in the case of Unit C, this unit hosts economic mineralization. The thickness of the unit varies between 1.0 - 3.0 m.
The Geology of the different sectors of Nueva Victoria corresponds to sedimentary and volcano-sedimentary associations, on a Jurassic igneous crystalline Jurassic basement, related through sedimentation cycles, which could correspond to the distal facies of an alluvial fan, which vary in size from medium sand to fine gravel. In general, the facies found correspond to breccias, sandstones, andesites, intrusive, and tuffs. In the TEA and Hermosa sectors, salt crusts can be observed encasing sandstones, as well as cover of anhydrite, which is present in an irregular manner and with variable thicknesses. In the West Mine Sector, the anhydrite crust is much more frequent, reaching maximum thicknesses, of the order of metric. Figure 6-4 shows the location of the sectors that are described in detail.

SQM TRS Nueva Victoria
Pag. 26

tm2311827d1_ex96-4img001.jpg












Figure 6-4. Nueva Victoria Sectors
plano_avancexpilasxnvx2.jpg

6.3.7Tente en el Aire (TEA)
Morphologically, this deposit area is in a flat area (pampa) crossed by a NW-SE fault system and surrounded by volcanic outcrops. The low topographic relief has protected the evaporite deposits against erosive processes, particularly in the south and northeast of TEA. The western part of TEA has been affected by surface runoff that leached the caliche, making it soft, friable and porous and reducing its nitrate content. Lithologically TEA presents a sequence of sandstones and polymictic breccias over a volcanic basement. Salt crusts and variable thicknesses of anhydrite cover the sandstones (Figure 6-5).
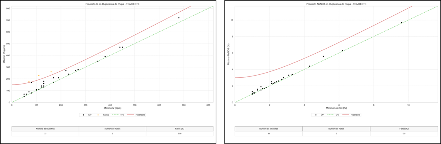
The occurrence of mineralization corresponds to mineralized mantles (caliche) which typically vary in thickness in the range 3.0 – 3.5 m. 70% of TEA is covered by high-nitrate content, competent caliche, cemented by a high content of soluble salts. The remaining 30% of TEA is covered by reduced nitrate leached caliche of lower geomechanically quality.
Nitrate mineralization in TEA caliche is in the range 4.5 – 6.5% NaNO3 with iodine is in the range 400 - 430 ppm I2.
SQM TRS Nueva Victoria
Pag. 27

tm2311827d1_ex96-4img001.jpg












Figure 6-5. Schematic Cross section of TEA Deposit.
plano_litologaxteax2024xv1.jpg
seccion_tea.jpg
SQM TRS Nueva Victoria
Pag. 28

tm2311827d1_ex96-4img001.jpg












6.3.8Torcaza
The Torcaza deposit area comprises an open pampa in the southeast, limited by volcanic outcrops to the west and by fluvial deposits to the east. Its geology comprises a sequence of fine-grained sandstones and medium-grained breccias, with a tendency to an increase in clast sizes with depth. The mineralized mantles of caliche are typically 2.5 – 3.2 m in thickness. Nitrate content is spatially variable. A Nitratine (NaNO₃) horizon can be identified in the stratigraphic sequence between the sandstone and breccia subunits, deposited by mineral-rich groundwaters (Figure 6-6).
The nitrate grade at Torcaza is in the range 4.0 – 6.0 % NaNO3 and the iodine grade is in the range 300 - 400 ppm.
Figure 6-6. Stratigraphic Cross Section of Torcaza sector
plano_litologaxtorcazax202.jpg
seccion_torcaza.jpg
SQM TRS Nueva Victoria
Pag. 29

tm2311827d1_ex96-4img001.jpg












6.3.9Hermosa
The Hermosa deposit area comprises a closed basin crossed by a system of NW-SE faults. It is an area of gently undulating relief with areas of salt accumulation. It is limited by volcanic outcrops to the west and north. The gentle topographic relief has limited erosion. The geology at Hermosa comprises a sequence of medium-grained sandstones and polymictic breccias over oligomictic breccias resting on volcanic basement (Figure 6-7).
The mineralized mantles (caliche) at Hermosa typically vary in thickness in the range 3.5 – 4.0 m. 90% of Hermosa is covered by high-nitrate content, competent caliche, cemented by a high content of soluble salts. The remaining 10% of Hermosa is covered by reduced nitrate leached caliche of lower geomechanically quality.
Nitrate mineralization in Hermosa caliche is in the range 5.5 – 7.5 % NaNO3, and the iodine grade is in the range 250 - 450 ppm I2.
Figure 6-7. Stratigraphic Column and Schematic cross section of Hermosa Sector.
plano_litologaxhermosax202.jpg
SQM TRS Nueva Victoria
Pag. 30

tm2311827d1_ex96-4img001.jpg












seccion_hermosa.jpg

6.3.10Mina Oeste
The Mina Oeste corresponds to an open Pampa to the southeast located in an alluvial environment, limited by volcanic outcrops to the west and by fluvial deposits to the east. Lithologically, the sector is formed by a sequence of fine sandstones and medium breccias with an increase of clast at depth. And anhydrite crust is present in this sector and is much more frequent than in other sectors, reaching the maximum thicknesses, of order metric (Figure 6-8).
Like the Torcaza deposit area, the Mina Oeste deposit area comprises an open pampa in the southeast, limited by volcanic outcrops to the west and by fluvial deposits to the east. Its geology comprises a sequence of fine-grained sandstones and medium-grained breccias, with a tendency to an increase in clast sizes with depth.
At Mine Oeste, the anhydrite crust is more prominent and laterally persistent than in the other deposit areas and may attain a thickness of the order of a 1 m.
The mineralized mantles of caliche are a little thinner than in TEA and Hermosa, generally attaining a thickness in the range 2.0 – 2.5 m. The caliche has been subject to leaching which has reduced its nitrate content and geomechanically competence.
The nitrate grade at West Mine is in the range 3.5 – 5.5 % NaNO3 and the iodine grade is in the range 300 - 400 ppm.
6.3.11Mina Norte
The Mina Norte deposit area corresponds to a raised block, bounded to the east by the Sur Viejo salt flat.
The caliches of this sector have suffered salt remobilization and erosion, reflected in the lower nitrate content and reduced thickness of the caliche. Lithologically, the caliches correspond to sandstones and breccias with high quartz contents, which makes them highly abrasive. Figure 6-9 presents the stratigraphic column and a cross section for Mina Norte.
The caliche mantles present average thicknesses of 2.0 – 2.2 m. The geomechanically quality of the caliches in this sector is generally high, except locally where they are cut by faults which may result in significant clay content.
As for the Mina Oeste deposit area, the nitrate grade at Mina Norte is in the range 3.5 – 4.5% NaNO3 and the iodine grade is in the range 350 - 400 ppm.

SQM TRS Nueva Victoria
Pag. 31

tm2311827d1_ex96-4img001.jpg












Figure 6-8. Schematic Cross section of Mina Oeste Sector.
plano_litologaxminaoestex2.jpg

seccion_minaxoeste.jpg
SQM TRS Nueva Victoria
Pag. 32

tm2311827d1_ex96-4img001.jpg












Figure 6-9. Schematic Cross Section of Mina Norte Sector.

plano_litologaxminanortex2.jpg

seccion_minaxnorte.jpg














SQM TRS Nueva Victoria
Pag. 33

tm2311827d1_ex96-4img001.jpg












6.3.12Mina Sur
The Mina Sur deposit area corresponds to a tectonically uplifted basin, bounded to the east by the Sur Viejo salt flat. The Mina Sur deposit area was enriched by surface water runoff after mineralization which favored the remobilization of soluble salts and enrichment with chlorides, sulfates, potassium, calcium, and sodium. The geology of South Mine comprises a sequence of anhydrites, sandstones and polymictic breccias over siltstones with variable clay content.
The caliche mantles reach average thicknesses of 2.0 meters. Their geomechanically quality is generally high, except locally where they are cut by faults which may result in significant clay content.
The nitrate grade at Mina Sur is lower than at Mina Norte and Mina Oeste, being in the range 2.5 – 3.5% NaNO3, although the iodine grade is a little higher at 350 - 450 ppm.

Figure 6-10. Schematic Cross Section of Mina Sur Sector.
plano_litologaxminasurx202.jpg



seccion_minaxsur.jpg

SQM TRS Nueva Victoria
Pag. 34

tm2311827d1_ex96-4img001.jpg












6.3.13 TEA Oeste
The TEA Oeste corresponds to an alluvial type of deposit, formed by a sequence of sandstones and alluvial breccia and Conglomerate oligomictic supported matrix, cemented by salts; Under this sequence, volcanic units can be seen at shallow depths, mainly on the western margin of the deposit.

The clay and sulfate content in general is low; Overload thickness varies between 0 - 0.3 m. The average thickness of the mineralized mantle is 3.0 m.

Nitrate mineralization occurs in discontinuous salt cores with range 3.5 – 4.5% NaNO3, although the iodine mineralization occurs in large continuous salts cores; the grade is a 400 - 430 ppm.

Figure 6-11. Schematic Cross Section of TEA Oeste Sector.
plano_litologaxteaoestex20.jpg
seccion_teaxoeste.jpg



SQM TRS Nueva Victoria
Pag. 35

tm2311827d1_ex96-4img001.jpg












6.3.14 Franja Oeste

Franja Oeste corresponds to an alluvial type deposit, formed by sandstones and alluvial breccias supported by oligomictic and/or polymictic matrix, cemented by salts and whose clasts come from the erosion of the immediately underlying units. It is covered by a level of saline silt that lies on a layer of nodular to powdery anhydrite.

Breccias and sandstones, in general, are weak rocks and are semi-compact to leached, with low clay and sulfate content, the average percentage of clasts is 19%, generally small pebble size.
The caliche mantles reach average thicknesses of 3.0 meters.The nitrate grade varies between 3.0 – 4.0% NaNO3, while the iodine grade varies from 300 - 400 ppm.

Figure 6-12. Schematic Cross Section of Franja Oeste Sector.

plano_litologaxfoestex2024.jpg
6.3.15 Hermosa Oeste

The Hermosa Oeste sector corresponds to an alluvial-type nitrate deposit, formed by a sequence of sandstones, conglomerates and alluvial breccia supported by oligomictic and/or polymictic matrix cemented by salts and whose clasts come from the erosion of the immediately underlying units. Sequence that is covered by a level of saline silt that lies on a layer of nodular to powdery anhydrite.

It is characterized by the presence of reverse faults oriented NW-SE, which generate some abrupt topographic slopes, giving the relief a stepped appearance.

SQM TRS Nueva Victoria
Pag. 36

tm2311827d1_ex96-4img001.jpg












The area has an average clast content of 21%. The sulfate and clay content is low, the medium and high clay contents, which represent 11.5% of the drillholes, have an average thickness of 1.9 m, and appear from approximately 1.7 meters deep.
The caliche mantles reach average thicknesses of 3.5 meters.The nitrate grade varies between 5.0 – 7.0 % NaNO3, while the iodine grade varies from 350 - 450 ppm.

Figure 6-13. Schematic Cross Section of Franja Oeste Sector.

hermosa_wxgeox2.jpgseccion_hermosaxoeste.jpg
SQM TRS Nueva Victoria
Pag. 37

tm2311827d1_ex96-4img001.jpg












6.4MINERALIZATION

Table 6-1 presents a summary of the mineralogy of the Nueva Victoria Property. The number of samples included in the database on which the table is based are indicated by the “n =“value in the table header. TEA has by far the greatest number of samples with n = 293. The minerals recorded are indicated as percentage. The table uses the following color coding to indicate the percentage content by mass of dry sample of each mineral of interest:
⮚Red fill indicates that the mineral accounts for 10% or greater of the mass of the dry samples.
⮚Orange fill indicates that the mineral accounts for between 5% and 10% of the mass of the dry samples.
⮚Yellow fill indicates that the mineral accounts for between 1% and 5% of the mass of the dry samples.
⮚In a cell with no color fill indicates that the mineral of interest accounts for less than 1% of the mass of the dry samples.
Table 6-1. Mineralogy of Nueva Victoria Caliches.
Group Mineral
(Spanish name in brackets)
Formula West Mine (n = 75) Torcaza(n = 22) Franja Oeste
(n =53)
South Mine
(n = 94)
Hermosa
(n = 179)
TEA
(n = 293)
Nitrates Nitratine
NaNO3
13.1% 15.8% 12.1% 5.3% 14.1% 14.7%
Darapskita
Na3(SO4)(NO3).H2O
0.4% 0.1% 0.4% 0.2%
Humberstonite
K3Na7Mg2(SO4)6(NO3)2.6H2O
0.2% 1.4% 0.3% 0.8% 0.5% 0.3%
Iodates Lautarite
Ca(IO3)2
0.3% 0.3% 0.3% 0.1%
Hectorfloresite
Na2K2Fe22+Fe63+Si6O24(OH)6
0.7% 0.8% 0.8% 0.7% 1.0% 0.8%
Bruggenite
Ca(IO3)2.H2O
1.6% 0.8% 0.6% 0.4% 0.6% 0.7%
Chlorides Halite NaCI 7.2% 13.1% 11.0% 6.6% 8.4% 9.4%
Sulfates Anhydrite
CaSO4
8.3% 3.5% 12.0% 31.9% 5.7% 7.8%
Glauberite
Na2Ca(SO4)2
4.0% 3.3% 1.1% 5.5% 4.0% 0.9%
Loeweite,
Na12Mg7(SO4)13.15H2O
2.5% 0.6% 0.3% 1.8% 1.9% 0.9%
Polyhalite
K2Ca2Mg(SO4)4.2H2O
11.8% 11.0% 10.0% 7.8% 8.9% 10.5%
Kieserite
MgSO4.H2O
2.5% 1.9% 3.7% 0.7% 2.6% 3.5%
Blodite
Na2Mg(SO4)2. 4H2O
2.3% 4.2% 2.7% 2.2% 3.9% 6.8%
Carbonates Calcite
CaCO3
1.0%
Clays Paligorskite
(Mg,Al)2Si4O10(OH).4H2O
0.1% 0.1% 0.6%
Illite
K0.65Al2[Si4O10](OH)2.nH2O
0.6% 0.4% 0.4% 0.1% 0.6% 2.4%
Feldespars Anorthite
(Na-Ca)Al2Si2O8
11.4% 13.6% 12.7% 5.7% 8.9% 6.6%
Lenses Muscovite
KAl2(AlSi3O10)(OH)2
3.4% 2.0% 2.8% 1.8% 5.9% 2.6%
Clinochlorite Fe
(Fe,Mg)5Al(Si3AlO10)(OH)8
1.6% 0.3% 0.4% 0.1% 1.2% 0.7%
Silicates Quartz
SiO2
6.4% 8.5% 7.9% 11.7% 13.6% 4.0%
Albite
NaAlSi3O8
7.5% 4.7% 6.7% 6.0% 5.4% 14.5%
Albite Ca
CaAl2Si2O8
12.5% 9.3% 10.7% 6.3% 8.3% 8.9%
Orthoclase
KalSi3O8
0.8% 3.2% 3.3% 4.1% 2.3% 0.6%
Pargasite K
Ca2Mg5(AlSi7O22)(OH)2
1.3% 0.9% 0.4% 0.1% 0.1%
SQM TRS Nueva Victoria
Pag. 38











6.5DEPOSIT TYPES
6.5.1Genesis of Caliche Deposits
Wetzel (1961) postulated that nitrate deposits are enriched in salts by mudflow events. Mueller (1960) supported the theory of Singewald and Miller (1916) which cited accumulation by capillary rise and evaporation of groundwater at the margins of salt flats. Fiestas (1966) suggested that reactions between acids from volcanic gas clouds and the rocks and soils of the nitrate fields was important in the genesis of the mineral salts concentrated within the caliche deposits. Ericksen (1975) proposed that the mineral salts have a mainly atmospheric origin, the product of dry atmospheric precipitation of mineral salt aerosols carried inland from the coast; the aerosols being derived from marine spray at the ocean surface/atmosphere interface, particularly from waves in the breaker zone of the coast. In 1963, working with condensed fog samples, he demonstrated that the coastal fogs of northern Chile contain mineral salts which could be an important source of mineral salts that subsequently become concentrated over time by leaching and evaporation, forming economic caliche deposits.
Authors such as Pueyo et al. (1998) and Reich et al. (2003) describe mechanisms for the genesis of saline groundwaters and brines, which can give rise to the generation of caliche deposits in porous host rocks such as sandstones and breccias, though processes of concentration, primarily evapo-concentration, by the evaporation of water from the capillary fringe of shallow water tables. The soluble mineral salts first enter the source water via the leaching of altered rocks and pre-existing saline materials. They emphasize the role the hydrological system operating over long periods of time in the leaching and transport of the salts, including during periods of former wetter climate (hydrological paleo system).
Current thinking is that the mineral salts of most economic caliche deposits in the arid north of Chile, except for a few specific cases of marine evaporite deposits, have a dominantly volcanic origin. Chong (1991) noted that the leaching of volcanic materials would have been favored by thermal processes related to the middle Tertiary volcanic arc. Álvarez (2016) explained how groundwater leaching of iodine from iodine bearing organic-rich rocks may constitute an important origin of iodine in caliche deposits.

6.5.2Nueva Victoria
The mineralization at Nueva Victoria is mantiform, with distinct deposit areas of several kilometers in extension. Mineralized mantle (caliche) thicknesses vary between deposit areas, falling within the range 1.0 – 6.0 m. Because of the action of geological processes over time (weathering, erosion, faulting, volcanism) the caliche deposits can take a variety of forms, including, as detailed below.

6.5.3Continuous Mantles
Laterally continuous mineralization hosted in sandstones and breccias; presenting caliche thicknesses generally in the range 2.0 – 4.0 m, but occasionally reaching up to 6.0 m. Nitrate grades tend to be highest where the caliche is thickest. Iodine grades tend to reduce at depth. The caliche mantles may be cut by fractures filled with cemented sands (sand dikes). Secondary deposition of mineral salts may be observed along bedding plane contacts.

6.5.4Thin salt Crusts and Superficial Caliche
Evaporite deposits presenting as thin (0.5 to 1.2 m), laterally discontinuous mineralization, often developed within and over fine-grained sandstones of high competence. Nitrate grades in these thin deposits can reach 20% and iodine can attain values of 1,500 ppm.

6.5.5Stacked caliches.
This type of deposit is found in sectors with a high degree of leaching. It is particularly associated with alluvial fans. The leaching of the overlying material reduces its degree of cementation and geomechanical competence and reduces the grade of economic mineralization that it contains. Reprecipitation of the leached minerals at depth in the formation (e.g., alluvial fan) results in better-cemented, geomechanically more competent, more mineralized caliches at depth. The thickness of
SQM TRS Nueva Victoria
Pag. 39











these mineralized caliches is variable, but is generally around 2.0 m. Generally, the mineral grades of these caliches are lower than the other caliche deposit styles.

6.5.6Other Economic Mineralization
Most of the economic nitrate and iodine mineralization associated with caliche mantles occurs as:
⮚Envelopes around the sedimentary clast (sand and gravel grains) of host sandstones, breccias and conglomerates.
⮚Filling of the pore space between the sedimentary clast.
⮚Evaporite aggregates due to saline efflorescence.
Economic mineralization may also manifest itself in the following ways:
⮚Cutting the caliche mantles as fracture infills (sand dikes).
⮚Veins of 0.5 to 1.0 m thickness associated with sediment - lava contact surfaces.
⮚As veins of 0.5 to 1.0 m thickness in volcanic rocks.
⮚As veins in altered or fractured volcanic rocks.
The nitrate deposits at Nueva Victoria are located on the western edge of the Intermediate Basin, formed mainly by surface or shallow horizontal to sub-horizontal strata of clastic sedimentary rocks (sandstones, breccias and conglomerates) which have been mineralized by solutions rich in mineral salts (nitrates, chlorides, iodates) to form caliche deposits found in large horizontal layers, ranging in thickness from 1 to 4 m, with barren material (overburden) ranging from 0.0 to 2.0 m at the top.
SQM TRS Nueva Victoria
Pag. 40











7EXPLORATION
Nueva Victoria is an active mine operation. Ongoing exploration is conducted by SQM with primary purpose of supporting mine operations and increasing estimated Mineral Resources. The exploration strategy is focused on have preliminary background information on the tonnage and grade of the ore bodies and will be the basis for decision making for the next Recategorization campaigns. Exploration work was completed by mine personnel.
7.1SURFACE SAMPLES
SQM does not collect surface samples for effect of exploration.
7.2TOPOGRAPHIC SURVEY
Detailed topographic mapping was created in the different sectors of Nueva Victoria by aerial photography, using an unmanned aircraft operated by remote control, Wingtra One (Figure 7-1); equipment with 61 Mega pixels resolution, maximum flight altitude 600 m, flight autonomy 55 minutes. The accuracy in the survey is 5 to 2 cm.
The measurement was contracted to STG since 2015.
Figure 7-1. Wingtra One Fixed-Wing Aircraft
image_19.jpg
Prior to 2015, the topography survey was done by data measurement profiles every 25 meters; these profiles were done by walking and collecting information from points as the land surveyor made the profile. With this information, the corresponding interpolations were generated to obtain sector surfaces and contour lines.

SQM TRS Nueva Victoria
Pag. 41











7.3DRILLING METHODS AND RESULTS
The Nueva Victoria geologic and drill hole database included 114,306 holes that represented 482,738 m of drilling. Table 7-1 summarizes the drilling by sector. Figure 7-2 shows the drill hole locations. As for the type of drilling used, it corresponds to RC holes, with a maximum depth of 7 meters. All the Nueva Victoria drilling was done with vertical holes.
Table 7-1. Detail of the Number of Drill Holes and Total Meters Drilled by sector in Nueva Victoria, Iris, and Soronal Properties
SQM Property Sector EIA Grid N° of Drill Holes Total Meters Core Recovery (%)
Soronal Fortuna Hermosa 100 - 400 1,192 6,126 90
Hermosa Hermosa 100T 12,038 60,510 90
Tente en el Aire Hermosa 100T - 200 7,313 36,565 89
Hermosa Oeste TEA 100T-200 - 400 4,743 24,868 87
Coruña Hermosa 100 1,038 6,228 No Data
TEA Oeste TEA 100T-200 - 400 3,434 17,695 87
TEA Sur TEA 100T 1,165 6,336 87
Cocar TEA 100T - 100 - 200 1,402 7,073 87
Pampa Engañadora TEA 100T-200 - 400 3,738 20,753 85
Franja Oeste TEA 100T - 200 8,027 40,887 87
Nueva Victoria & Iris Oeste 3 TEA 50 - 100 485 2,183 84
Mina Oeste Nueva Victoria 50 - 100T 18,692 66,251 90
Mina Norte Nueva Victoria 50 21,165 74,078 83.5
Mina Sur Nueva Victoria 50 - 100T 24,541 86,959 94
Iris Vigia Nueva Victoria 100T - 200 933 4,226 87
Torcaza Torcaza 50 - 100 - 200 4,400 22,000 88.1
114,306 482,738
The drilling campaigns were carried out according to the resource projection priorities of the Mineral Resources and Long Term Planning Management. Subsequently, this prospecting plan was presented to the respective VPs to ratify if they comply with the reserve projections to be planned, if they do not coincide, the prospecting plan is modified.

























SQM TRS Nueva Victoria
Pag. 42











Figure 7-2. Drill hole location map

plano_sondajesxnvxv3xfig7x2.jpg


SQM TRS Nueva Victoria
Pag. 43











Drilling at Nueva Victoria was completed with prospecting grids of 400 x 400 m, 200 x 200 m, 100 x 100 m, 100T and 50 x 50 m.
7.3.1Grid > 400 m
Areas that have been recognized and that present some mineralization potentials are initially prospected in wide mesh reverse air holes, generally greater than 400 m with variable depths of 6 to 8 m depending on the depth at which the ore is encountered. In consideration of the type of grid and the fact that the estimations of tonnage and grades are affected in accuracy, this resource is defined as a Hypotheticals and Speculative Resources, exploration target grid > 400 m.
7.3.2400 m Grid
Once the Inferred sectors with expectations are identified, 400 x 400 m prospecting grids are carried out. In areas of recognized presence of caliche or areas where 400 x 400 m grid drilling is accompanied by localized closer spaced drilling that confirms the continuity of mineralization, the 400 m grid drilling provides a reasonable level of confidence and therefore define dimensions, thickness, tonnages, and grades of the mineralized bodies, used for defining exploration targets and future development. The information obtained is complemented by surface geology and the definition of geological units. This area is used to estimated Inferred Resources. In other cases when there is no reasonable level of confidence the 400 x 400 m grid will be defined as a Potential Resource.
7.3.3200 m
Subsequently, the potential sectors are redefined, and the 200 x 200 m prospecting grid is carried out, which in this case allows to delimit, with a significant level of confidence, the dimensions, power, tonnage, and grades of the mineralized bodies as well as the continuity of the mineralization. At this stage, detailed geology is initiated, the definition of geological units on surface continues to be complemented and sectors are defined to carry out geometallurgical assays. This area is used to estimated Indicated Mineral Resources.

7.3.4100 m, 100T and 50 m Grid
The 50 x 50 m, 100 x 100 m and 100T ~ 100x50 m prospecting grid allows to delimit with a significant level of confidence (amount of information associated to the drilling grid) the dimensions, powers, tonnages, and grades of the mineralized bodies as well as the continuity of the mineralization. The definition of geological units and collect information on geometallurgical assays from the pilot plants depending on the prospecting site is then continued. This area is used to estimate Measured Mineral Resources.
The results of the drilling campaigns in the sector of Mina Norte can be seen in Figure 7-3, where it is highlighted in red the sectors with iodine greater than 450 ppm, in magenta the iodine between 400 - 450 ppm; in blue the iodine between 350 - 400 ppm; in green the iodine between 300 – 350 ppm and in yellow the iodine less than 300 ppm. The mineralized bodies at Mina Norte are distributed in a continuous and regular distribution, with a higher concentration of iodine mineralization in the north and center portion of the Mine Norte.
SQM TRS Nueva Victoria
Pag. 44











Figure 7-3. Iso-Iodine Map Nueva Victoria Mina Norte
plano_isoyodoxminanortex20.jpg
Figure 7-4. Iso-Iodine Map Nueva Victoria Mine Sur

plano_isoyodoxminasurx2024.jpg
The results of the drilling campaigns in the sector of Mina Sur can be seen in Figure 7-4, where it is highlighted in red the sectors with iodine greater than 450 ppm, in magenta the iodine between 400 - 450 ppm; in blue the iodine between 350 - 400 ppm; in green the iodine between 300 – 350 ppm and in yellow the iodine less than 300 ppm. The mineralized bodies at Mina Sur are distributed in a continuous and regular distribution, with a higher concentration of iodine mineralization in the south of the Sector.
SQM TRS Nueva Victoria
Pag. 45











Figure 7-5. Iso-Iodine Map Nueva Victoria Mina Oeste
plano_isoyodoxminaoestex20.jpg
The results of the drilling campaigns in the sector of Mine Oeste can be seen in Figure 7-5, where it is highlighted in red the sectors with iodine greater than 450 ppm, in magenta the iodine between 400 - 450 ppm; in blue the iodine between 350 - 400 ppm; in green the iodine between 300 – 350 ppm and in yellow the iodine less than 300 ppm. The mineralized bodies at Mina Oeste are distributed in a continuous and regular distribution, with a higher concentration of iodine mineralization in the center of the Sector.
SQM TRS Nueva Victoria
Pag. 46











Figure 7-6. Iso-Iodine Map Nueva Victoria; TEA Sector
plano_isoyodoxteax2024xv1.jpg
The results of the drilling campaigns in the TEA sector is shown in Figure 7-6. where it is highlighted in red the sectors with iodine greater than 450 ppm, in magenta the iodine between 400 - 450 ppm; in blue the iodine between 350 - 400 ppm; in green the iodine between 300 – 350 ppm and in yellow the iodine less than 300 ppm. The mineralized bodies at TEA are distributed in a discontinuous and irregular distribution, with a higher concentration of iodine mineralization in the east and north of the Sector.
SQM TRS Nueva Victoria
Pag. 47











Figure 7-7. Iso-Iodine Map Hermosa Sector

plano_isoyodoxhermosax2024.jpg
The results of the drilling campaigns in the Hermosa sector is shown in Figure 7-7. where it is highlighted in red the sectors with iodine greater than 450 ppm, in magenta the iodine between 400 - 450 ppm; in blue the iodine between 350 - 400 ppm; in green the iodine between 300 – 350 ppm and in yellow the iodine less than 300 ppm. The mineralized bodies at
SQM TRS Nueva Victoria
Pag. 48











Hermosa are distributed in a discontinuous and irregular distribution, with a higher concentration of iodine mineralization in the Southwests of the Sector.


Figure 7-8. Iso-Iodine Map Torcaza Sector

plano_isoyodoxtorcazax2024.jpg
The results of the drilling campaigns in the Torcaza sector is shown in Figure 7-8. where it is highlighted in red the sectors with iodine greater than 450 ppm, in magenta the iodine between 400 - 450 ppm; in blue the iodine between 350 - 400 ppm; in green the iodine between 300 – 350 ppm and in yellow the iodine less than 300 ppm. The mineralized bodies at Torcaza are continuous and regular in the eastern portion, while in the western portion, the mineralization is discontinuous and irregular.








SQM TRS Nueva Victoria
Pag. 49











Figure 7-9. Iso-Iodine Map TEA Oeste Sector
plano_isoyodoxteaoestex202.jpg
The results of the drilling campaigns in the TEA Oeste sector is shown in Figure 7-9. where it is highlighted in red the sectors with iodine greater than 450 ppm, in magenta the iodine between 400 - 450 ppm; in blue the iodine between 350 - 400 ppm; in green the iodine between 300 – 350 ppm and in yellow the iodine less than 300 ppm. The mineralized bodies at TEA Oeste are continuous and regular in the center portion, while in the western portion, the mineralization is discontinuous and irregular.

7.3.52024 Campaigns.
SQM has an ongoing program of exploration, recategorization and resource evaluation in the areas surrounding the Nueva Victoria mine, which is currently in operation. SQM has performed reconnaissance drilling at 400 m spacing. (Table 7-2 and Table 7-3).
In 2024, a Mineral Resource recategorization project was carried in the TEA sector and its surroundings, to have exploitable Mineral Reserves for the development of the Five-Year Plan.
For this purpose, 3,993 drill holes representing 23,033 m were carried out, at an estimated cost of 106.5 USD/m; obtaining total salt analysis sample by sample. With this information, Hermosa Oeste and Franja Oeste have sectors to be recategorized from Probable to Proven reserve.
SQM TRS Nueva Victoria
Pag. 50











Table 7-2. Meters Drilled in Campaigns 2024
Project / Area Holes Drilled Total Meters
Hermosa Oeste 19 89
Franja Oeste 914 5,384
Pampa Engañadora 1,019 5,931
Cocar 63 378
Iris Vigia 108 648
Mina Oeste 342 2,025.5
Mina Sur 426 2,556
Fortuna 171 1,020.5
Hermosa 383 2,298
TEA Oeste 548 2,703
Total 3,993 23,033
Table 7-3. Campaigns 2024 Average NaNO3 and I2
Project / Area Holes Drilled
Average NaNO3 (%)
Average I2 (ppm)
Hermosa Oeste 19 6.8 539
Franja Oeste 914 2.9 151
Pampa Engañadora 840 2.5 212
Mina Oeste 342 2.6 170
Mina Sur 426 1.4 81
Hermosa 383 5.6 270
TEA Oeste 548 1.8 186
Total 3,472 2.7 180
7.3.6Exploration Drill Sample Recovery
Core recovery has been calculated for all RC holes completed to date. In historical campaigns, the recovery was lower due to the type of drilling rig used.
Since 2015, the drilling equipment was adapted, which allowed a decrease in the loss of material and consequently an improvement in sample recoveries. It should be noted that the recoveries are above 80%, a value that fluctuates in direct relation to the degree of competence of the rock to be drilled, having for example lower recoveries in Franja Oeste and Pampa Engañadora, which present semi-soft caliches of low compaction. Sectors such as Hermosa and TEA have recoveries close to 90% as they correspond to caliche sectors with high competition and mineralization. Table 7-4 details the recovery percentages by sector in Nueva Victoria.

SQM TRS Nueva Victoria
Pag. 51











Table 7-4. Recovery Percentages at Nueva Victoria by Sectors
SQM Property Sector EIA Grid N° of Drill Holes Total Meters Core Recovery (%)
Soronal Fortuna Hermosa 100 - 400 1,192 6,126 90
Hermosa Hermosa 100T 12,038 60,510 90
Tente en el Aire Hermosa 100T - 200 7,313 36,565 89
Hermosa Oeste TEA 100T - 200 - 400 4,743 24,868 87
Coruña Hermosa 100 1,038 6,228 No Data
TEA Oeste TEA 100T - 200 - 400 3,434 17,695 87
TEA Sur TEA 100T 1,165 6,336 87
Cocar TEA 100T - 100 - 200 1,402 7,073 85
Pampa Engañadora TEA 100T - 200 - 400 3,738 20,753 85
Franja Oeste TEA 100T - 200 8,027 40,887 87
Nueva Victoria & Iris Oeste 3 TEA 50 - 100 485 2,183 84
Mina Oeste Nueva Victoria 50 - 100T 18,692 66,251 90
Mina Norte Nueva Victoria 50 21,165 74,078 83.5
Mina Sur Nueva Victoria 50 - 100T 24,541 86,959 94
Iris Vigia Nueva Victoria 100T - 200 933 4,226 87
Torcaza Torcaza 50 - 100 - 200 4,400 22,000 88.1
114,306 482,738
7.3.7Exploration Drill Hole Logging
For all the samples drill hole logging was carried out by SQM geologist, which was done in the field. Logging procedures used documented protocols. Geology logging recorded information about rock type, mineralogy, alteration and geomechanics.
The logging process included the following steps:
⮚Measurement of the “destace” and drill hole using a tool graduated in cm.
⮚Mapping of cutting (RC) and/or drill hole cores (DDH), defining their color, lithology, type and intensity of alteration and/or mineralization.
⮚Determination of geomechanical units a Leached, smooth, rough and intercalations.
The information is recorded digitally with a Tablet and/or computer, using a predefined format with control system and data validation in Acquire.
The Logging Geologist was responsible for:
⮚Generate geological data of the highest possible quality and internal consistency, using established procedures and employing System in Acquire.
⮚Locate and verify information of work to be mapped.
⮚Execute geomechanical and lithological drill hole mapping procedures.
7.3.8Exploration Drill Hole Location of Data Points
The process of measuring the coordinates of drill holes collars was performed, in 2 stages. Prior to the drilling of the drill holes, the geology area generates a plan and list with the number of drill holes by Acquire, to be marked and coordinates to the personnel of the external contractor of the STG company. A Land surveyor measured the point in the field and identifies the point with a wooden stake and an identification card with contain barcode with information of number of drill hole recommended, coordinates and elevation.
SQM TRS Nueva Victoria
Pag. 52











Holes are surveyed, after drilling, with GNSS equipment, for subsequent processing by specialized software with all the required information. Once the complete campaign is finished, the surveyed data was reviewed, and a list was sent with the drill id information and its coordinates.
Collar coordinates were entered into Microsoft® Excel sheets and later aggregated into a final database in Acquire by personnel from the SQM.
At the completion of drilling, the drill casing was removed, and the drill collars were marked with a permanent concrete monument with the drill hole name recorded on a metal tag on the monument.
7.3.9Qualified Person’s Statement on Exploration Drilling
The Qualified Person believes that the selection of sampling grids of gradually decreasing spacing as Mineral Resources areas are upgrades from Inferred to Measured Mineral Resources and as they are further converted to Proven, and Probable Mineral Reserves where production plans have been applied, is appropriate and consistent with good business practices for caliche mining. The level of detail in data collection is appropriate for the geology and mining method of these deposits.
SQM TRS Nueva Victoria
Pag. 53











8SAMPLE PREPARATION, ANALYSIS AND SECURITY
8.1SITE SAMPLE PREPARATION METHODS AND SECURITY

Analytical samples informing Nueva Victoria Mineral Resources were prepared and assayed at the Iris plant and Internal Laboratory located in city of Antofagasta.

All sampling was completed by the external operators. Based on review of the procedures during the site visit and subsequent review of the data, it is the opinion of the QP that the measures taken to ensure sample representativeness were reasonable for estimating Mineral Resources.
8.1.1RC Drilling

The RC drilling is focused on collecting lithological and grade data of chemical variables from the “Caliche mantle”. RC Drilling was carried out with a 5 ¼ inch diameter by an external company "Perforations RMuñoz" under the supervision of SQM. SQM designed the drilling campaigns and points of interest to obtain new information on caliche mantle grades.

Once the drilling point was designated, the positioning of the drilling rig was surveyed, and the drill rig was set up on the surveyed drill hole location, continue with the drilling (Figure 8-1 A, B y C). At the beginning of each drill hole, the drilling point was cleaned or uncovered, eliminating the soft overburden, or chusca, with a backhoe.

Samples were collected from the cyclone at continuous 50 cm intervals in plastic bags. The samples were weighed and quartered at the platform. A cutting sample was taken and left on the floor as a control sample. The sample bag was tied, and a number card was inserted. (Figure 8-1 D).

Figure 8-1. A) Drilling Point Marking B) Drill Rig Positioning C) RC Drilling D) RC Samples at Platform

imagen8-1.jpg

The samples are transported by truck to the plant for mechanical preparation and chemical analysis. They are then unloaded from the truck in the correct sequential order and placed on pallets supplied by plant personnel. Sample loading and unloading are recorded by reading barcodes, which are incorporated into Acquire. (Figure 8-2).
SQM TRS Nueva Victoria
Pag. 54











Figure 8-2. A) Transportation Truck. B) Pallets with RC Samples
imagen8-2.jpg
8.1.2Sample Preparation
Mechanical sample preparation was carried out by Pilot Plant Iris V7 located at Nueva Victoria. Sample preparation includes (Figure 8-3).
⮚Samples of 12 to 18 kg are divided in a cone splitter, the sample obtained should weigh between 1.0 to 2.5 kg (equivalent from 10 to 14% of the initial sample mass)
⮚Drying of the sample in case of humidity.
⮚Sample size reduction using cone crushers to produce an approximately 1 to 2.5 kg sample passing a number 8 mesh (-#8).
⮚Division of the sample in a Riffle cutter of 12 slots of ½" each. The sample is separated in 2, one of them corresponds to rejection and the other sample must weigh at least 500 g.
⮚Sample pulverizing.
⮚Packaging and labeling, generating 2 bags of samples, one will be for the composites in which 250 g are required (original) and the other will be for the laboratory, in which 100 g are required. (Figure 8-4.).
Insertion points for quality control samples in the sample stream were determined. Duplicated samples were incorporated every 20 samples, including the first sample. Samples were shipped in boxes containing a maximum of 63 samples (weighing approximately 15 kg) to the Caliche Iodine Internal laboratory.

SQM TRS Nueva Victoria
Pag. 55











Figure 8-3. Sample Preparation Flow Diagram
image_27.jpg
Figure 8-4. A) Sample Division B) Cone Crusher C) Riffle Cutter D) Sample Pulverizing E) Packaging
imagen2.jpg


SQM TRS Nueva Victoria
Pag. 56











8.2LABORATORIES, ASSAYING AND ANALYTICAL PROCEDURES
Chemical analysis for NO3 and iodine was performed at the Caliche Iodine laboratory, located Antofagasta. Which is ISO 9001:2015 certified in shippable iodine, replicated in caliche and drill holes.
The caliche iodine laboratory has capacity to analyze 500 samples/day for nitrate and iodine analysis. Sample handling, from receipt to analysis, is performed in 3 areas:
⮚Receiving and pressing area
⮚Nitrate area
⮚Redox volumetric area
Nitrate analysis was performed by UV-Visible Molecular Absorption Spectroscopy. The minimum concentration entered the Laboratory Information Management System (LIMS) system was 1,0%, the result was expressed in % of NaNO3. Iodine analysis was performed by Redox volumetric. The minimum concentration reported to the LIMS system was 0,005%.
8.3RESULTS, QC PROCEDURES AND QA ACTIONS
8.3.1Laboratory Quality Control
To validate the results of the laboratory analysis, the following control measures were carried out (Figure 8-5)
Iodine:
⮚Prepare a reference standard .
⮚Use of secondary reference material.
⮚Measure the reference standard and the reagent blank to ensure the quality of the reagents used.
⮚Every 5 samples a QC prepared with a Caliche of known concentration
⮚Of the obtained result should not exceed 2% of the nominal value of the QC, otherwise the variables should be revised, and the analysis of the batch should start from the beginning.
Nitrate:
Analyze at the beginning of the sample set a standard solution.
⮚Every 5 samples a QC prepared with a Caliche of known concentration, the variation of the obtained result should not exceed 5% of the nominal value of the QC, otherwise the variables should be revised, and the analysis of the batch should start from the beginning.
SQM TRS Nueva Victoria
Pag. 57











Figure 8-5. Flow Chart for Approval of Laboratory Chemical Analysis Results
image_29.jpg
8.3.2Quality Control and Quality Assurance Programs (Qa-Qc)

Qa/Qc programs were typically set in place to ensure the reliability and assurance of the exploration data. They include written field procedures of aspects such as drilling, surveying, sampling, and assaying, data management, and database integrity.

The quality control program aims to ensure the quality of the data from the drilling campaigns so that the grade data entered into the estimation databases have sufficient precision and accuracy to be considered reliable. For this purpose, blind control samples are inserted into batches, which consist of racks of 70 samples. The insertion templates A and B are generated and controlled by the AcQuire software, which distributes the controls as follows, adding 16.7%, including high-grade standards, low-grade standards, blanks (known and certified values), and duplicate samples (Table 8-1).

Table 8-1. Quantity and Type of Control for Insertion.

Sample Template A % Template A Template B % Template B
Samples Primary 60 100% 60 100%
DUPG (Coarse Duplicate) 1 1.7% 1 1.7%
DUPP (Fine Duplicate) 2 3.3% 2 3.3%
STDA (High Grade Standard) 2 3.3% 1 1.7%
STDB (Low Grade Standard) 1 1.7% 2 3.3%
DUP (Duplicate Field) 1 1.7% 1 1.7%
BK (Blank) 3 5% 3 5%



SQM TRS Nueva Victoria
Pag. 58











The number of controls entered is directly proportional to the number of samples per box, according to the formula:

STD (A, B, BK & DUP, DUPG, DUPP) = (Template / Number of samples per box) *100

To prepare the boxes with quality controls, trained technical personnel is used for sample handling and the use of the AcQuire software. Their responsibility is to ensure proper sample handling to avoid contamination and correct insertion of all controls, ensuring that the samples are numbered sequentially. Once this is done, the box is sealed for transportation to the SQM laboratory. The AcQuire system uses a barcode system with digital reading, which minimizes human error, as it does not allow the process to continue if the barcode codes are not sequential. Additionally, the box that transports the samples has encoding and a QR code to ensure traceability.

Figure 8-6. Creation of boxes, indicating samples with barcodes.

imagen8-6.jpg

These batches are analyzed in the laboratory in order to quantify the precision, accuracy and contamination of the process as detailed below:

-Precision: It is quantified through the percentage of failures of duplicate pairs. The acceptability limit is no more than 10% of failures that exceed 3 times the practical detection limit.

- Accuracy: With the results of the analysis of standards, the relative bias and the coefficient of variation are calculated and the process control is also analyzed through a control chart. The acceptability ranges are a maximum of 5% bias (positive or negative) with a coefficient of variation of no more than 5% and it is recommended to investigate when the processes go out of control, whether due to gross, analytical, systematic or other errors. A sample is defined as being out of control when it exceeds 3 standard deviations, or if 2 or more consecutive samples exceed 2 standard deviations.

-Contamination: Fine white samples must not exceed 5% with a value exceeding 3 times the practical detection limit of the laboratory. If these deliver results outside the established parameters, the batch (rack) is rejected, and the root cause of the problem is investigated to subsequently reanalyze the racks involved.

The AcQuire and LIMS systems function as our databases to obtain information and perform the tracking of all samples, optimizing the time for results and their reliability regarding traceability.


8.3.2.1 QAQC Program Results

The results of the Qa-Qc program for the Nueva Victoria Sector from 2023 to end 2024. The results of the QAQC program are delivered in detail for each pampa that results were obtained.

SQM TRS Nueva Victoria
Pag. 59











Standards

Table 8-2 details a summary table of control results for each pampa.

Table 8-2. Summary Table of Results of Controls (Standard) – Pampas

Sector STD MV Element Unit Average Samples OCS OCS (%) Bias (%) CV (%)
Hermosa STD_A_1 499
I2
ppm 503 627 16 2.55 0.31 8.31
Hermosa STD_A_1 5.93
NaNO3
% 5.8 627 14 2.23 -1.94 4.49
Hermosa STD_B_1 250
I2
ppm 259.6 425 16 3.76 3.42 7.43
Hermosa STD_B_2 2.76
NaNO3
% 2.7 425 12 2.82 -1.59 8.08
Tea Oeste STD_A_1 499
I2
ppm 532.4 17 0 0 6.68 6.66
Tea Oeste STD_A_1 5.93
NaNO3
% 5.6 19 0 0 -6.27 7.55
Tea Oeste STD_B_2 260
I2
ppm 260 7 0 0 0 3.14
Tea Oeste STD_B_2 2.76
NaNO3
% 2.4 7 0 0 -12.01 3.11
Hermosa Oeste STD_A_1 499
I2
ppm 520.6 279 12 4.3 3.96 7.92
Hermosa Oeste STD_A_1 5.93
NaNO3
% 5.8 287 4 1.39 -2.35 3.7
Hermosa Oeste STD_B_1 250
I2
ppm 262.7 102 5 4.9 5.1 8.57
Hermosa Oeste STD_B_2 2.76
NaNO3
% 2.8 106 2 1.89 -0.5 6.96
Franja Oeste STD_A_1 499
I2
ppm 504.1 316 0 0 1.02 12.56
Franja Oeste STD_A_1 5.93
NaNO3
% 5.5 368 2 0.54 -6.42 6.23
Franja Oeste STD_B_1 250
I2
ppm 274.2 252 3 1.19 9.67 11.23
Franja Oeste STD_B_2 2.76
NaNO3
% 2.6 281 5 1.78 -7.47 7.71
Cocar STD_A_2 560
I2
ppm 596 5 0 0 6.43 5.64
Cocar STD_A_2 5.31
NaNO3
% 4.6 5 0 0 -12.99 10.08
Cocar STD_B_2 260
I2
ppm 271.4 7 0 0 4.4 7.79
Cocar STD_B_2 2.76
NaNO3
% 2.3 7 0 0 -16.67 5.61
Engañadora STD_A_1 499
I2
ppm 525.9 190 0 0 5.4 12.58
Engañadora STD_A_1 5.93
NaNO3
% 5.4 194 2 1.03 -8.5 8.44
Engañadora STD_B_1 250
I2
ppm 275.6 189 2 1.06 10.24 10.74
Engañadora STD_B_2 2.76
NaNO3
% 2.6 191 4 2.09 -7.81 7.1
Mina Sur STD_A_2 560
I2
ppm 552.1 124 3 2.42 -1.27 2.4
Mina Sur STD_A_2 5.31
NaNO3
% 5.3 123 3 2.44 -0.98 5.86
Mina Sur STD_B_2 260
I2
ppm 261.3 120 0 0 0.48 4.08
Mina Sur STD_B_2 2.76
NaNO3
% 2.6 117 2 1.71 -4.81 8.68
Mina Oeste STD_A_2 560
I2
ppm 547.5 91 2 2.2 -2.24 2.69
Mina Oeste STD_A_2 5.31
NaNO3
% 5.1 91 3 3.3 -3.41 4.89
Mina Oeste STD_B_2 260
I2
ppm 257.2 90 4 4.44 -1.25 4.88
Mina Oeste STD_B_2 2.76
NaNO3
% 2.5 90 2 2.22 -8.21 7.81

Hermosa

The following figures provide the results for accuracy graphs in Pampa Hermosa for the iodine (Figure 8.7) and nitrate (Figure 8.8) variables.

SQM TRS Nueva Victoria
Pag. 60











Figure 8-7. STD A-1 and B-1 Iodine Accuracy Evaluation (499 ppm and 250 ppm).

imagen8-7.jpg

Figure 8-8. STD A-1 and B-1 Nitrate Accuracy Evaluation (5.93 % and 2.76 %).

figura8-8.jpg



Hermosa Oeste

The following figures provide the results for accuracy graphs in Pampa Hermosa Oeste for the iodine (Figure 8.9) and nitrate (Figure 8.10) variables.

















SQM TRS Nueva Victoria
Pag. 61











Figure 8-9. STD A-1 and B-1 Iodine Accuracy Evaluation (499 ppm and 250 ppm).

imagen8-9.jpg

Figure 8-10. STD A-1 and B-1 Nitrate Accuracy Evaluation (5.93 % and 2.76 %).

imagen8-10.jpg


Engañadora

The following figures provide the results for accuracy graphs in Pampa Engañadora for the iodine (Figure 8.11) and nitrate (Figure 8.12) variables.


















SQM TRS Nueva Victoria
Pag. 62











Figure 8-11. STD A-1 and B-1 Iodine Accuracy Evaluation (499 ppm and 250 ppm).

imagen8-11.jpg

Figure 8-12. STD A-1 and B-1 Nitrate Accuracy Evaluation (5.93 % and 2.76 %).

imagen8-12.jpg



Franja Oeste

The following figures provide the results for accuracy graphs in Pampa Franja Oeste for the iodine (Figure 8.13) and nitrate (Figure 8.14) variables.

















SQM TRS Nueva Victoria
Pag. 63











Figure 8-13. STD A-1 and B-1 Iodine Accuracy Evaluation (499 ppm and 250 ppm).

imagen8-13.jpg


Figure 8-14. STD A-1 and B-1 Nitrate Accuracy Evaluation (5.93 % and 2.76 %).

imagen8-14.jpg



Mina Sur

The following figures provide the results for accuracy graphs in Pampa Mina Sur for the iodine (Figure 8.15) and nitrate (Figure 8.16) variables.

Figure 8-15. STD A-1 and B-1 Iodine Accuracy Evaluation (560 ppm and 260 ppm).

SQM TRS Nueva Victoria
Pag. 64











imagen8-15.jpg



Figure 8-16. STD A-1 and B-1 Nitrate Accuracy Evaluation (5.31 % and 2.76 %).

imagen8-16.jpg


Mina Oeste

The following figures provide the results for accuracy graphs in Pampa Mina Oeste for the iodine (Figure 8.17) and nitrate (Figure 8.18) variables.

Figure 8-17. STD A-1 and B-1 Iodine Accuracy Evaluation (560 ppm and 260 ppm).

imagen8-17.jpg
SQM TRS Nueva Victoria
Pag. 65













Figure 8-18. STD A-1 and B-1 Nitrate Accuracy Evaluation (5.31 % and 2.76 %).

imagen8-18.jpg

Duplicates

Hermosa

Coarse and Fines Duplicates

In the results of duplicates for iodine and nitrate in coarse (Table 8-3) and pulp (Table 8-4) for pampa Hermosa, the following accuracy results were not observed (Figure 8-19 and Figure 8-20).

Table 8-3. Summary Table of Results Duplicates Coarse - Hermosa

Statisticians Nitrate Grade % Difference Statisticians Iodine Grade ppm Difference
Original Check Original - Check Original Check Original - Check
Number 398 398 0 Number 400 400 0
Mean 5.905 5.951 -0.05 Mean 261.4 267.5 -6.1
Stand. Deviation 3.819 3.823 0 Stand. Deviation 211.2 204.3 7
% Difference -0.78 % Difference -2.34
Minimum 1 1 Minimum 50 50
Percentile 25 3 3.175 Percentile 25 130 140
Median 5.2 5.1 Median 190 200
Percentile 75 7.9 7.6 Percentile 75 310 317.5
Maximum 26.4 26.5 Maximum 1510 1600
Correlation Index 0.88 Correlation Index 0.86








SQM TRS Nueva Victoria
Pag. 66











Table 8-4. Summary Table of Results Duplicates Pulp - Hermosa

Statisticians Nitrate Grade % Difference Statisticians Iodine Grade ppm Difference
Original Check Original - Check Original Check Original - Check
Number 1,210 1,210 0 Number 1,218 1,218 0
Mean 5.62 5.60 0.01 Mean 253.5 256 -2.5
Stand. Deviation 3.63 3.65 -0.02 Stand. Deviation 194.4 193.2 1.2
% Difference 0.22 % Difference -0.99
Minimum 1 1 Minimum 50 50
Percentile 25 2.93 2.9 Percentile 25 130 130
Median 4.7 4.6 Median 190 200
Percentile 75 7.4 7.4 Percentile 75 310 310
Maximum 25.5 26 Maximum 1,700 1,730
Correlation Index 0.98 Correlation Index 0.98











Figure 8-19. Figure of Results Duplicates Coarse (I2 and Nitrate) - Hermosa

imagen8-19.jpg

Figure 8-20. Figure of Results Duplicates Pulp (I2 and Nitrate) - Hermosa

SQM TRS Nueva Victoria
Pag. 67











imagen8-20.jpg



Hermosa Oeste

Coarse and Fines Duplicates

In the results of duplicates for iodine and nitrate in coarse (Table 8-5) and pulp (Table 8-6) for pampa Hermosa Oeste, the following accuracy results were not observed (Figure 8-21 and Figure 8-22).

Table 8-5. Summary Table of Results Duplicates Coarse – Hermosa Oeste

Statisticians Nitrate Grade % Difference Statisticians Iodine Grade ppm Difference
Original Check Original - Check Original Check Original - Check
Number 411 411 Number 402 402
Mean 2.984 2.897 0.09 Mean 177.71 177.84 -0.1
Stand. Deviation 2.639 2.44 0.2 Stand. Deviation 124.03 116.04 7.99
% Difference 2.92 % Difference -0.07
Minimum 1 1 Minimum 50 50
Percentile 25 1.2 1.3 Percentile 25 90 100
Median 2.1 2 Median 140 150
Percentile 75 3.7 3.5 Percentile 75 210 210
Maximum 19.5 14.5 Maximum 830 820
Correlation Index 0.86 Correlation Index 0.83














SQM TRS Nueva Victoria
Pag. 68











Table 8-6. Summary Table of Results Duplicates Pulp – Hermosa Oeste

Statisticians Nitrate Grade % Difference Statisticians Iodine Grade ppm Difference
Original Check Original - Check Original Check Original - Check
Number 669 669 Number 669 669
Mean 3.07 3.07 0 Mean 212.2 217.4 -5.2
Stand. Deviation 2.59 2.61 -0.02 Stand. Deviation 181.5 196.4 -14.9
% Difference 0 % Difference -2.45
Minimum 1 1 Minimum 50 50
Percentile 25 1.4 1.4 Percentile 25 100 100
Median 2.3 2.3 Median 150 160
Percentile 75 3.6 3.6 Percentile 75 270 260
Maximum 18.2 18.3 Maximum 1350 2320
Correlation Index 0.92 Correlation Index 0.88



Figure 8-21. Figure of Results Duplicates Coarse (I2 and Nitrate) – Hermosa Oeste

imagen8-21.jpg


Figure 8-22. Figure of Results Duplicates Pulp (I2 and Nitrate) – Hermosa Oeste

SQM TRS Nueva Victoria
Pag. 69











imagen8-22.jpg


Franja Oeste

Coarse and Fines Duplicates

In the results of duplicates for iodine and nitrate in coarse (Table 8-7) and pulp (Table 8-8) for pampa Franja Oeste, the following accuracy results were not observed (Figure 8-23 and Figure 8-24).

Table 8-7. Summary Table of Results Duplicates Coarse – Franja Oeste

Statisticians Nitrate Grade % Difference Statisticians Iodine Grade ppm Difference
Original Check Original - Check Original Check Original - Check
Number 411 411 Number 402 402
Mean 2.984 2.897 0.09 Mean 177.71 177.84 -0.1
Stand. Deviation 2.639 2.44 0.2 Stand. Deviation 124.03 116.04 7.99
% Difference 2.92 % Difference -0.07
Minimum 1 1 Minimum 50 50
Percentile 25 1.2 1.3 Percentile 25 90 100
Median 2.1 2 Median 140 150
Percentile 75 3.7 3.5 Percentile 75 210 210
Maximum 19.5 14.5 Maximum 830 820
Correlation Index 0.86 Correlation Index 0.83


Table 8-8. Summary Table of Results Duplicates Pulp – Franja Oeste

SQM TRS Nueva Victoria
Pag. 70











Statisticians Nitrate Grade % Difference Statisticians Iodine Grade ppm Difference
Original Check Original - Check Original Check Original - Check
Number 1,106 1,106 Number 1,082 1,082
Mean 2.87 2.88 0 Mean 184.86 190.25 -5.4
Stand. Deviation 2.23 2.22 0.01 Stand. Deviation 152.24 154.68 -2.44
% Difference -0.14 % Difference -2.91
Minimum 1 1 Minimum 50 50
Percentile 25 1.3 1.3 Percentile 25 90 90
Median 2.1 2.2 Median 140 140
Percentile 75 3.4 3.4 Percentile 75 220 220
Maximum 18.5 17.9 Maximum 1310 1400
Correlation Index 0.98 Correlation Index 0.97









Figure 8-23. Figure of Results Duplicates Coarse (I2 and Nitrate) – Franja Oeste

figura8-23.jpg















SQM TRS Nueva Victoria
Pag. 71











Figure 8-24. Figure of Results Duplicates Pulp (I2 and Nitrate) – Franja Oeste

figura8-24.jpg


Mina Sur

Coarse and Fines Duplicates

In the results of duplicates for iodine and nitrate in coarse (Table 8-9) and pulp (Table 8-10) for pampa Mina Sur, the following accuracy results were not observed (Figure 8-25 and Figure 8-26).

Table 8-9. Summary Table of Results Duplicates Coarse – Mina Sur

Statisticians Nitrate Grade % Difference Statisticians Iodine Grade ppm Difference
Original Check Original - Check Original Check Original - Check
Number 82 82 Number 84 84
Mean 1.46 1.45 0.01 Mean 91.79 85.95 5.80
Stand. Deviation 1.15 1.36 -0.21 Stand. Deviation 70.91 81.08 -10.20
% Difference 0.55 % Difference 6.36
Minimum 1 1 Minimum 50 50
Percentile 25 1 1 Percentile 25 50 50
Median 1 1 Median 60 50
Percentile 75 1.4 1.33 Percentile 75 110 87.5
Maximum 7.5 10.9 Maximum 510 670
Correlation Index 0.92 Correlation Index 0.72











SQM TRS Nueva Victoria
Pag. 72











Table 8-10. Summary Table of Results Duplicates Pulp – Mina Sur

Statisticians Nitrate Grade % Difference Statisticians Iodine Grade ppm Difference
Original Check Original - Check Original Check Original - Check
Number 249 249 Number 257 257
Mean 1.46 1.39 0.07 Mean 88.2 87.3 0.9
Stand. Deviation 1.54 1.35 0.20 Stand. Deviation 94.3 91.2 3.1
% Difference 4.64 % Difference 1.06
Minimum 1 1 Minimum 50 50
Percentile 25 1 1 Percentile 25 50 50
Median 1 1 Median 60 50
Percentile 75 1.3 1.3 Percentile 75 70 70
Maximum 12.3 11.4 Maximum 510 670
Correlation Index 0.86 Correlation Index 0.95


Figure 8-25. Figure of Results Duplicates Coarse (I2 and Nitrate) – Mina Sur

imagen8-25.jpg


Figure 8-26. Figure of Results Duplicates Pulp (I2 and Nitrate) – Mina Sur

imagen8-26.jpg

SQM TRS Nueva Victoria
Pag. 73











Mina Oeste

Coarse and Fines Duplicates

In the results of duplicates for iodine and nitrate in coarse (Table 8-11) and pulp (Table 8-12) for pampa Mina Oeste, the following accuracy results were not observed (Figure 8-27 and Figure 8-28).


Table 8-11. Summary Table of Results Duplicates Coarse – Mina Oeste

Statisticians Nitrate Grade % Difference Statisticians Iodine Grade ppm Difference
Original Check Original - Check Original Check Original - Check
Number 63 63 Number 63 63
Mean 2.33 2.61 -0.28 Mean 201.6 196 5.6
Stand. Deviation 1.47 1.83 -0.37 Stand. Deviation 145.4 140.6 4.8
% Difference -12.19 % Difference 2.76
Minimum 1 1 Minimum 50 60
Percentile 25 1.1 1.3 Percentile 25 125 110
Median 2 2.2 Median 170 160
Percentile 75 2.9 2.95 Percentile 75 225 225
Maximum 8.2 9.7 Maximum 940 910
Correlation Index 0.74 Correlation Index 0.938


Table 8-12. Summary Table of Results Duplicates Pulp – Mina Oeste

Statisticians Nitrate Grade % Difference Statisticians Iodine Grade ppm Difference
Original Check Original - Check Original Check Original - Check
Number 187 187 Number 187 187
Mean 2.74 2.64 0.1 Mean 167.86 167.54 0.3
Stand. Deviation 2.36 2.23 0.14 Stand. Deviation 128.6 126.8 1.9
% Difference 3.5 % Difference 0.19
Minimum 1 1 Minimum 50 50
Percentile 25 1.2 1.15 Percentile 25 80 90
Median 1.8 1.8 Median 120 1220
Percentile 75 3.3 3.2 Percentile 75 215 210
Maximum 12.8 12.8 Maximum 980 950
Correlation Index 0.94 Correlation Index 0.99








SQM TRS Nueva Victoria
Pag. 74











Figure 8-27. Figure of Results Duplicates Coarse (I2 and Nitrate) – Mina Oeste

imagen8-27.jpg

Figure 8-28. Figure of Results Duplicates Pulp (I2 and Nitrate) – Mina Oeste

imagen8-28.jpg



Engañadora

Coarse and Fines Duplicates

In the results of duplicates for iodine and nitrate in coarse (Table 8-13) and pulp (Table 8-14) for pampa Engañadora, the following accuracy results were not observed (Figure 8-29 and Figure 8-30).















SQM TRS Nueva Victoria
Pag. 75











Table 8-13. Summary Table of Results Duplicates Coarse – Engañadora

Statisticians Nitrate Grade % Difference Statisticians Iodine Grade ppm Difference
Original Check Original - Check Original Check Original - Check
Number 285 285 Number 281 281
Mean 3 3.1 -0.1 Mean 182.1 185.05 -3
Stand. Deviation 2.1 2.5 -0.4 Stand. Deviation 129.5 133.4 -3.8
% Difference -2.4 % Difference -1.62
Minimum 1 1 Minimum 50 50
Percentile 25 1.4 1.4 Percentile 25 100 100
Median 2.4 2.5 Median 150 150
Percentile 75 4 3.9 Percentile 75 220 220
Maximum 15.1 21.1 Maximum 1,150 870
Correlation Index 0.81 Correlation Index 0.75



Table 8-14. Summary Table of Results Duplicates Pulp – Engañadora

Statisticians Nitrate Grade % Difference Statisticians Iodine Grade ppm Difference
Original Check Original - Check Original Check Original - Check
Number 842 842 Number 812 812
Mean 3.057 3.022 0.03 Mean 173.73 180.78 -7
Stand. Deviation 2.51 2.47 0.038 Stand. Deviation 137.8 148.6 -10.8
% Difference 1.12 % Difference -4.05
Minimum 1 1 Minimum 50 50
Percentile 25 1.4 1.4 Percentile 25 90 100
Median 2.2 2.1 Median 135 140
Percentile 75 3.875 3.8 Percentile 75 200 210
Maximum 18.9 18.9 Maximum 1,260 1,580
Correlation Index 0.973 Correlation Index 0.895















SQM TRS Nueva Victoria
Pag. 76











Figure 8-29. Figure of Results Duplicates Coarse (I2 and Nitrate) – Engañadora

imagen8-29.jpg


Figure 8-30. Figure of Results Duplicates Pulp (I2 and Nitrate) – Engañadora

imagen8-30.jpg



TEA Oeste

Coarse and Fines Duplicates

In the results of duplicates for iodine and nitrate in coarse (Table 8-15) and pulp (Table 8-16) for pampa Tea Oeste, the following accuracy results were not observed (Figure 8-31 and Figure 8-32).













Table 8-15. Summary Table of Results Duplicates Coarse – Tea Oeste
SQM TRS Nueva Victoria
Pag. 77












Statisticians Nitrate Grade % Difference Statisticians Iodine Grade ppm Difference
Original Check Original - Check Original Check Original - Check
Number 13 13 Number 13 13
Mean 2.81 2.68 0.12 Mean 261.5 260 1.5
Stand. Deviation 2.16 2.02 0.14 Stand. Deviation 169.4 176.7 -7.3
% Difference 4.38 % Difference 0.59
Minimum 1 1 Minimum 90 80
Percentile 25 1.1 1.4 Percentile 25 170 180
Median 1.9 1.8 Median 220 220
Percentile 75 4 2.5 Percentile 75 260 260
Maximum 7 7.2 Maximum 710 750
Correlation Index 0.97 Correlation Index 0.96



Table 8-16. Summary Table of Results Duplicates Pulp – Tea Oeste

Statisticians Nitrate Grade % Difference Statisticians Iodine Grade ppm Difference
Original Check Original - Check Original Check Original - Check
Number 33 33 Number 33 33
Mean 2.306 2.303 0 Mean 187.27 190.3 -3
Stand. Deviation 1.82 1.84 -0.02 Stand. Deviation 146.9 142.8 4.1
% Difference 0.13 % Difference -1.62
Minimum 1 1 Minimum 50 50
Percentile 25 1 1.1 Percentile 25 100 100
Median 1.7 1.6 Median 130 140
Percentile 75 2.5 2.6 Percentile 75 230 260
Maximum 9.6 9.7 Maximum 720 680
Correlation Index 0.995 Correlation Index 0.958















Figure 8-31. Figure of Results Duplicates Coarse (I2 and Nitrate) – Tea Oeste
SQM TRS Nueva Victoria
Pag. 78












imagen8-31.jpg


Figure 8-32. Figure of Results Duplicates Pulp (I2 and Nitrate) – Tea Oeste

imagen8-32.jpg



Blanks

Contamination in quality control is indicated by controls of white samples, below is a summary table of the results of blanks controls in the pampas of Nueva Victoria (Figure 8-17).
















Table 8-17. Summary Table of Results Blanks – Nueva Victoria
SQM TRS Nueva Victoria
Pag. 79












Sector
I2
NO3
Samples Average Desv Stand OCS %OCS Samples Average Desv Stand OCS %OCS
Hermosa 393 62.4 18.3 0 0 392 1.4 0.5 1 0.003
Hermosa Oeste 229 62 47 5 0.022 229 1.7 0.5 0 0
Franja Oeste 342 86.1 26.9 0 0 348 1 0.1 0 0
Mina Sur 85 54.9 9.2 0 0 84 1.2 0.3 0 0
Mina Oeste 64 51.7 5.5 0 0 64 1.2 0.2 0 0
Engañadora 191 94.5 30.1 0 0 264 1.1 0.2 0 0
Tea Oeste 11 80.9 35.6 0 0 11 1 0.1 0 0
Cocar 5 52 4.5 0 0 5 1.1 0.1 0 0


The following figures correspond to the 4 pampas that have the highest number of white control samples, Hermosa, Hermosa Oeste, Franja Oeste and Engañadora (Figure 8-33, Figure 8-34, Figure 8-35 and Figure 8-36).

Figure 8-33. Figure of Blanks (I2 and Nitrate) – Hermosa

imagen8-33.jpg

Figure 8-34. Figure of Blanks (I2 and Nitrate) – Hermosa Oeste

imagen8-34.jpg













SQM TRS Nueva Victoria
Pag. 80











Figure 8-35. Figure of Blanks (I2 and Nitrate) – Franja Oeste

imagen8-35.jpg

Figure 8-36. Figure of Blanks (I2 and Nitrate) – Engañadora

imagen8-36.jpg


8.3.3Sample Security
SQM maintains strict control over sampling, mechanical sample preparation and chemical analysis. In each of the stages, the safety and chain of custody of the samples was safeguarded, using protocols that describe the steps to be followed for this purpose. All these controls are managed and controlled through the Acquire platform, in process of implement by SQM since Q3 2022, according to the follow sections.
This section highlights your current processes and procedures and introduces data management processes recommended for deployment in GIM Suite.
The following workflow architecture demonstrates the data flow and object requirements of GIM Suite.

8.3.3.1 Planning RC Drilling

The drilling are planned by the geology area using modeling software, which generates an Excel file containing a previous identification of the drilling, which will later be modified for the final identification, along with the east and north coordinates and the planned depth are also indicated. This planning drilling is import task into Arena should allow the user to import the planned drill hole data from the file. Coordinates must be entered in PSAD56. The object must enter the
SQM TRS Nueva Victoria
Pag. 81











status of the drilling as Planned at the time of import, as well as store the identification of the probing planning in a virtual field. Template file for importing planned drillholes.
Task in "Arena" that will show the information of the planned drilling.

Figure 8-34. Figure of information planned drilling (Arena).
image_40.jpg

8.3.3.2Header

In general, a drilling plan can take up to 30 thousand meters of drilling or more, depending on the objectives that are in the year, between 4 thousand and 5 thousand meters are drilled in the month for each drilling rig, the contractor company executes the drilling and monthly delivers to the geology area the file with the information taken in the field. Some drilling that was ultimately planned may not be executed due to poor facility conditions.

Import Final Drills: Object of import in Acquire 4 that allows the user to import the collar data of the final drilling, also considering the import of the original samples and their respective duplicates of terrain. Due to the geology having the same stretch as the geological mapping, it is indicated to occupy the compound of blastholes for the storage of this data.

Data Capture Collar: Data Capture of Sand based on Blastholes, which will be used in the field for the capture of collar and sample data, where you must indicate the sounding that the duplicate ground sample can take, the section of the first sample will be entered manually by user, once it must consider the highlight section of the drilling, The subsequent sections may be indicated automatically by the application, considering as a protocol that the samples original is usually 50 cm in size. The correlative of the samples will continue to be controlled by the checkbooks occupied in land, the user must manually enter the correlative of the first sample taken in the field, the correlative of the subsequent samples will be entered automatically by the application. In this Data Capture, the user can also change the status of the probe as Canceled, thus identifying the drilling that was not executed in the field.

Import Final Coordinates: With this importer object of the Acquire 4, the user will enter the final coordinates data of the drilling, the importer will validate if the final coordinates contain a difference in meters greater than 10% in relation to the planned coordinates, indicating a message to the user at the time of data entry.

Consult probing collar: Task in "Arena" that will show the information of the necklace of the soundings.

Dashboard Planned vs Executed Meters: Dashboard in Sand that presents a graph and grid with information of the planned meters on the perforated meters, thus providing additional information to control the meters of the drilling campaigns. The data can be filtered by date of execution of the drilling and sector of the mine.

Choose Sample Correlates: Data Entry object in Acquire 4 that will allow the user to enter a range of correlative samples making it possible to choose which samples will be printed the labels. The object must indicate the initial SAMPLE ID to be printed, so that user error is avoided.
SQM TRS Nueva Victoria
Pag. 82












Sample Label Report: Report in Acquire 4 that allows the user to print sample labels in the format of the checkbook, the report will be applied on an A4 or Letter size paper, considering that the printing will be made on a cardboard paper. The label will have the barcode with the identification of each sample, thus enabling the user to read the barcode with the tablet camera when entering the identification of the first sample
8.3.3.3Geological mapping

In the geological mapping, data on lithology, clast, clays, color, sulfate, salt crust, anhydrite crust, sulfate destace, percentage of clast and observation are captured.

Geological Mapping: Data capture in "Arena" that allows the user to perform the geological mapping of the drilling, this tool must allow the user to perform the mapping in the field so that it is not connected to the mine network. The task will occupy Blastholes as the task type.

Import Geologic Mapping: Importer in "Arena" that allows to enter the geological mapping data carried out in the field.

Geomechanics Mapping: Data capture in "Arena" where the geomechanical data of the drilling will be captured. For the data not related to the samples, this data capture must be of the Drillholes type.

Import Geomechanics Mapping: Importer in "Arena" that allows to enter the geomechanical mapping data carried out in the field.

Consult Geology of Drilling: Task in "Arena" that will show the information of the geology of the drilling.

Consult Geomechanics of Drilling: Task in "Arena" that will show the information of the geomechanics of the drilling.

8.3.3.4Dispatch of samples for mechanical preparation

Create dispatch order for Physical Sample Preparation: In this object the user can generate the order of dispatch of samples for physical preparation. Create a correlative and identifier for the office number.

Print dispatch order for Physical Sample Preparation: Object that will allow to execute the printing of the report of shipment order to physical preparation.

Physical Office Reception: Script object in Acquire that allows the user to indicate the samples received in the pilot plant, the object must be filtered by physical dispatch number where it will make available the samples associated with this dispatch, thus enabling the user to select the samples and indicate in the system that these samples were received. The object must indicate and automatically create the pulp samples indicating the position where each one was generated.

Consult Drilling Dispatch to Preparation: Task in Sand that will show the information of the dispatch of the samples of the drilling that were sent to mechanical preparation.

Consult Pulp Samples: Task in Arena that will have the information of the pulp samples in a grid of data associated with the number of the physical dispatch received by the pilot plant.

In the drilling stage, before drilling begins, the drill rod was marked to indicate the distance for sampling. The drilling rig was equipped with a cyclone to slow down the particle velocity, under it, a bag is placed to collect the samples.

The collected sample from the cyclone is carefully stored in a plastic bag, then it was identified with a sequential card with a barcode and tied. The Supervisor oversaw requesting a revision to a determined sample of the drilling (coarse sample), originating another sample and of noting the weights obtained in the balance for each cut sample. This data collection is done through the Acquire platform.

The samples were loaded daily onto the truck that will transport them to the sample plant, the following steps are followed:
SQM TRS Nueva Victoria
Pag. 83












a.SQM Supervisor delivers a dispatch guide with the drill holes and the total number of samples to be collected and mentions to the person in charge of the sample plant, the number of samples and the number of samples without recovery, if any. This dispatch guide is generated for Acquire platform.

b.Samples are loaded sequentially according to the drilling and unloaded in the same way.

c.Upon arrival at the plant, the corresponding permit must be requested from the area manager, who will provide an unloading guideline, which contemplates how the samples should be positioned on the pallets.

d.The pallets with samples are moved to the sample preparation area from their storage place to the place where the Cone Splitter is located.

During all stages of sample preparation, special care was taken to maintain the identification of the samples and to clean the equipment after use. The samples already packed and labeled were collected following the instructions for filling boxes of “caliche” samples, respecting the correlative order of the samples, the order in which they must be deposited in the box and the quantity of samples according to the capacity of the box.

The trays were labeled indicating the corresponding information and date (Figure 8-37) are then transferred to the storage place at Testigoteca (core Warehouse) Iris and Testigoteca TEA located at Nueva Victoria (Figure 8-38), either transitory or final, after being sent to the laboratory.

Figure 8-37. A) Samples Storage B) Drill Hole and Samples Labeling
image_49.jpg

SQM TRS Nueva Victoria
Pag. 84











Figure 8-38. Iris – TEA Warehouse at Nueva Victoria
image_50.jpg
Assay samples were collected by appropriately qualified staff at the laboratories. The analysis results of the samples were reported by the specialty analyst to the LIMS software system, integrated to platform Acquire.
Automatically LIMS triggering an e-mail to the users and only to those who are authorized to send the information.
8.4OPINION OF ADEQUACY
The competent person considers that in what corresponds to the preparation, analysis, safety of the samples and procedures used by SQM in Nueva Victoria complies with the appropriate standard without showing relevant deficiencies that may alter the obtaining of the results derived from the procedures.
SQM TRS Nueva Victoria
Pag. 85











9DATA VERIFICATION
9.1PROCEDURES

Verification by the QP as reviewed in previous sections on drilling procedures, sample collection, handling and quality control, geological mapping of drill cores and cuttings, and laboratory and analytical procedures, provides quality assurance. Based on the review of SQM's procedures and standards, the protocols are considered adequate and with excellent standards to guarantee the quality of the data obtained from drilling campaigns and laboratory analysis.

9.2DATA MANAGEMENT

Through drilling, the reconnaissance of the reservoir at depth and continuity in the horizontal is carried out, for this purpose prospecting grids of 400 x 400 m, 200 x 200 m, 100 x 100 m, 100T and 50 x 50 m are used. Depending on the size of the drill hole grid, geological resources are estimated using different interpolation methods (for more details, see 1.3 Mineral Resources Statement).

The samples obtained from these reverse air drilling campaigns are sent to SQM's internal laboratory, which has quality control standards in terms of their mechanical and chemical treatment. QA-QC analyses are performed on control samples in all survey grids a (400 x 400 m, 200 x 200 m, 100 x 100; 100T and 50 x 50 m). This QA-QC consists of the analysis of the concentrations of NaNO3 and iodine in duplicate samples compared to original (or primary) samples.

9.3TECHNICAL PROCEDURES

The competent person indicates that in terms of the Chain of Custody (traceability of the place of origin of the samples), subsequent preparation and analysis and safety of the samples, SQM applies the required procedures to ensure the optimal collection of field and laboratory data; to ensure the control and quality of the results.

9.4QUALITY CONTROL PROCEDURES

The competent person indicates that at SQM, Quality Control analyses ensure the precise monitoring of samples from the preparation of the sample and the consequent chemical analysis through a protocol that includes the periodic analysis of duplicates and the insertion of samples for quality control.

9.5PRECISION EVALUATION

With respect to the Accuracy Assessment, the Competent Person indicates that the iodine and nitrate levels of the duplicate samples in the 400 x 400, 200 x 200 and 100 x 100 meshes have a good correlation with the grades of the original samples (evidenced in the figures and tables, with the high correlation coefficient). However, it is recommended to always keep a permanent control of this evaluation. In this process, to prevent and detect in time any anomaly that may occur.

9.6ACCURACY EVALUATION

A QA-QC analysis is performed on the drilling campaigns in all the pampas of Nueva Victoria for standard/standard samples, which were carried out and analyzed by the laboratory. The results obtained show that the variation of the analyses with respect to the standards used by SQM show acceptable average biases, with an average of -6.37% of NaNO3 and 3.27% in Iodine.




SQM TRS Nueva Victoria
Pag. 86











9.7QUALIFIED PERSON’S OPINION OF DATA ADEQUACY

The Competent Person indicates that the methodologies used by SQM to estimate the geological resources and reserves in Nueva Victoria are adequate.

The 400 x 400 m drill grid may imply continuity as indicated by each grade interpolator, average grade of mineralization with a moderate confidence level since there is no certainty that all or part of these resources will be converted to mineral reserves after the application of the modifying factors.

The 200 x 200 m drilling grid generate geological information of greater detail being possible to define geological units, continuity, grades and power. Therefore, at this stage of exploration, sectors for geometallurgical tests can be defined. These resources are qualified as Indicated Resources.
To the extent that the exploration grid is sequentially reduced with drilling 100 x 100 m, 100T and 50 x 50 m, the geological information is more robust, solid which allows a characterization of the mineral deposit with a significant level of confidence. These resources are qualified as Measured Resources.
SQM TRS Nueva Victoria
Pag. 87











10MINERAL PROCESSING AND METALLURGICAL TESTING
Since 2009, further research has been developed through laboratory tests to continuously improve yield estimation and valuable element recovery such as iodine and nitrate. These efforts, focused on caliche chemical and physical characterization, made it possible to develop a set of strategies that provide a better prediction and recovery projection for each caliche mining area identified, which are and will be processed at Nueva Victoria's plant.
It should be noted that, before Nueva Victoria started operations in 2002, SQM nitrates & iodine explored options to expand and/or optimize iodine production through a trial plan developed at Pedro de Valdivia's process plant to establish an oxidative treatment of the concentrate. These tests demonstrated that it is possible to avoid flotation stage in the conventional process, iodine production process works well using an external oxidizer, and it is economically viable and less costly to build and operate. As such, extensive tests were completed with different iodine brines from different resources to confirm these results, as well as considering the oxidation stages applicable at Nueva Victoria Process Plant.
In 2016, given water scarcity in the north of Chile, industry investigated new sustainable sources of water for its processes. A caliche leaching test plan was performed with seawater, to determine its technical feasibility, positive and negative impacts or metallurgical recovery and performance equivalence. A pilot plant at the plant site demonstrated its feasibility of the leaching process. The historical development of testing has made it possible to differentiate the main categories of caliche types according to their composition and physical behavior. These tests are designed to optimize the process to guarantee compliance with the customer's product specifications and, on the other hand, to ensure that harmful elements can be kept below the established limits.
More than a decade of research on multiple systems has provided a foundation for leaching process, recovery, and production of iodine. This includes a review of trials which have contributed to the development and build-up of current operating procedures.
10.1HISTORICAL DEVELOPMENT OF METALLURGICAL TESTS
In 2009, heap & ponds management created a working group that will be in charge to develop tests to continuously improve yield estimation and valuable elements recovery, such as iodine and nitrate, from heaps and evaporation ponds. In early February 2010, the first metallurgical test work program was presented at the Pilot Plant facility located at Iris sector. Its main objective is to provide, through pilot scale tests, all the necessary data to guide, simulate, strengthen, and generate enough knowledge to understand the phenomenology behind production processes in leaching heaps and evaporation ponds.
The initial work program was framed around the following topics:
⮚Reviewing constructive aspects of heaps.
⮚Study thermodynamic, kinetic, and hydraulic phenomena of the heap.
⮚Designing a configuration in terms of performance and production level.
Work program activities are divided into specializations and the objectives of each activity and methodology followed are summarized in the following table.

SQM TRS Nueva Victoria
Pag. 88











Table 10-1. Methodologies of the Test Plan Initially Developed for the Study of Caliche Behavior.
Activity Objective Methodology
Heap physical aspects Pile geometry and height Optimum dimensions and the effect of height on performance Mathematical methods and column leaching tests at different heights
Granulometry Impact of size and determination of maximum optimum Leaching tests at three levels of granulometry
Loading Impact of loading shape and optimization of the operation Column percolability with different size segregation in loading
Wetting requirements Determination of impact on yield due to wetting effect Column tests, dry and wet ore
Caliche characterization Characterization by mining sector Chemical analysis, XRD and treatability tests
Hydraulics Impregnation rate, irrigation and irrigation system configuration Establish optimums Mathematical methods and industrial level tests
Kinetics Species solubilities Establish concentrations of interferents in iodine and nitrate leaching Successive leaching tests
Effect of irrigation configuration Effect of type of lixiviant Column tests
Sequestering phases Impact of clays on leaching Stirred reactor tests
System configuration Pile reworking study Evaluate impact on yield Column tests
Solar evaporation ponds AFN / brine mixture study Reduction of salt harvesting times Stirred and tray reactor tests
Routine Sample processing Preparation and segregation of test samples
Treatability tests Data on the behavior of caliche available in heaps according to the exploited sector Column tests
Quality control of irrigation elements and flowmeters Review of irrigation assurance control on a homogeneous basis
This first metallurgical test work plan results in the establishment of appropriate heap dimensions, maximum ROM size and heap irrigation configuration. In addition to giving way to studies of caliche solubilities and their behavior towards leaching. Diagram of chemical, physical, mineralogical, and metallurgical characterization tests applied to all company resources.
SQM, through its Research and Development area, has carried out the following tests at plant and/or pilot scale that have allowed improving the recovery process and product quality:
⮚Iodide solution cleaning tests.
⮚Iodide oxidation tests with Hydrogen and/or Chlorine in the Iodine Plant.
The cleaning test made it possible to establish two stages prior to the oxidation of solution filtration with an adjuvant and with activated carbon. In addition, it is defined that to intensify the cleaning work of this stage, it is necessary to add traces of sulfur dioxide to the iodide solution. Meanwhile, the iodide oxidation tests allowed incorporating the use of hydrogen peroxide and/or chlorine in adequate proportions to dispense with the iodine concentration stage by flotation, obtaining a pulp with a high content of iodine crystals.
Currently, the metallurgical tests performed are related to the physicochemical properties of the material and the behavior during leaching. The procedures associated with these tests are described below.
SQM TRS Nueva Victoria
Pag. 89











10.2METALLURGICAL TESTING
The main objective of the tests developed is to be assessing different minerals' response to leaching. In the pilot plant-laboratory, test data collection for the characterization and recovery database of composites are generated. Tests detailed below have the following specific objectives:
⮚Determine whether analyzed material is sufficiently amenable to the leaching process, nitrate and iodine solution concentration for production by established separation and recovery methods in plant.
⮚Optimize this process to guarantee a recovery that will be linked intrinsically to mineralogical and chemical characterization, as well as physical and granulometry characterization of mineral to be treated.
⮚Determine deleterious elements, to establish mechanisms for operations to keep them below certain limits that guarantee a certain product quality.
SQM's analytical and pilot test laboratories perform the following chemical, mineralogical, and metallurgical tests:
⮚Microscopy and chemical composition.
⮚Physical properties: Tail Test, Borra test, Laboratory granulometry, Embedding tests, Permeability.
⮚Leaching test.
Currently, SQM is conducting plant-scale tests to optimize heap leach operations through categorization of the mineral to be leached. Metallurgical studies are conducted on mining method called surface mining (SM), which consists of breaking and extracting the “caliche mantle” material through a tractor with a cutting drum, which allows obtaining a smaller mineral with more homogeneous size distribution.
Preliminary leaching tests of this material under identical conditions to ROM material have resulted in higher recoveries of approximately 12% of the recovery in ROM heaps.
In order develop these tests, two different SM teams have been acquired and evaluated:
⮚Rolling system availability.
⮚Cutting system design.
⮚Sensitivity to rock conditions.
⮚Productivity variability.
⮚Consumption and replacement of components.
The 2024 mining plan aims to treat 10% of mineral caliche by SM to obtain, through quarry selection, a maximum recovery estimated at +12% in iodine and +6% in nitrate. At the operational level, recoveries will be monitored to establish annual sequential exploitation levels. Through this work it is hoped to determine an optimal proportion of SM mineral to be incorporated into ROM stockpiles to increase recovery.
In the following sections, a description of sample preparation and characterization procedures, for metallurgical tests, and process and product monitoring/control activities of the operations through chemical analysis is given.
10.2.1Sample preparation
Samples for metallurgical testing are obtained through a sampling campaign. The methods used are related to the different drilling methodologies used in the different campaigns to obtain core samples for analysis through a 100T-200 grid drilling campaign and diamond drilling (more details in Section 7.3 Drilling Methods and Results). With the material sorted from the trial pits (calicatas), loading faces, piles, drill holes and diamond drill, composite samples are prepared to determine iodine and nitrate grades, and to determine physicochemical properties of the material to predict its behavior during leaching.
SQM TRS Nueva Victoria
Pag. 90











Samples are segregated according to a mechanical preparation guide, which aims to provide an effective guideline for minimum required mass and characteristic sizes for each test, to optimize the use of available material. This allows successful metallurgical testing, ensuring validity of results and reproducibility. The method of sampling and development of metallurgical tests on samples from Nueva Victoria property, for the projection of future mineral resources, consists in summary of the stages outlined in the Figure 10.1
Figure 10-1. General Stages of the Sampling Methodology and Development of Metallurgical Test at Nueva Victoria.
image_51.jpg
As for the development of metallurgical, characterization, leaching and physical properties tests, these are developed by teams of specialized professionals with extensive experience in the mining-geo-metallurgical field. The work program in metallurgical tests contemplates that the samples are sent to internal laboratories to perform the analysis and test work according to the following detail:
⮚Analysis Laboratories located in Antofagasta provide chemical and mineralogical analysis.
⮚Pilot Plant Laboratory, located in Iris- Nueva Victoria, for completion of the physical and leaching response tests.
Details of the names, locations and responsibilities of each laboratory involved in the development of the metallurgical tests are reported in Section 10.4 Analytical and Testing Laboratories. The reports documenting the drilling programs provide detailed descriptions of sampling and sample preparation methodologies, analytical procedures meeting current industry standards. Quality control is implemented at all stages to ensure and verify that the collection process occurs at each stage successfully and is representative. To establish the representativeness of the samples, a map of a diamond drilling campaign in the NV sector is shown below to estimate the physical and chemical properties of the caliche of the resource to be exploited (Figure 10-2).

SQM TRS Nueva Victoria
Pag. 91











Figure 10-2. Diamond Drilling Campaign Map for Composite Samples from the NV Sector for Metallurgical Testing

fig_10x2.jpg

10.2.2Caliche Mineralogical and Chemical Characterization
As part of SQM nitrate test work, mineralogical tests were conducted on composite samples. To develop its mineralogical characteristics and its alterations, a study of the elemental composition is conducted by X-Ray Diffraction (XRD). A particle mineral analysis (PMA) to determine mineral content of the sample is carried out.
Caliche mineralogical characterization are done for the components Nitrate, Chloride, Iodate, Sulfate and Silicate.
Additionally, caliche chemical characterization in iodine, nitrate, Na2SO4 (%), Ca (%), K (%), Mg (%), KClO4 (%), NaCl (%), Na (%), Na (%), H3BO3 (%), and SO4 were obtained from chemical analyses obtained from an internal laboratory of
SQM TRS Nueva Victoria
Pag. 92











the company. The analysis methods are shown in Table 10-2. More details on SQM's in-house and staff-operated laboratories can be found in the Section 10.4 Analytical and Testing Laboratories.
The protocols used for each of the methods are properly documented with respect to materials, equipment, procedures, and control measures. Details of the procedure used to calculate iodine and nitrate grades are provided in Section 10.2.3
Table 10-2. Applied Methods for the Characterization of Caliche or Composite.
Parameter Unit Method
Iodine grade ppm Volumetric redox
Nitrate grade % UV-Vis
Na2SO4
% Gravimetric / ICP
Ca % Potentiometric / Direct Aspiration – AA or ICP Finish
Mg % Potentiometric / Direct Aspiration – AA or ICP Finish
K % Direct Aspiration – AA or ICP Finish
SO4
% Gravimetric / ICP
KclO4
% Potentiometric / Direct Aspiration – AA or ICP Finish
NaCl % Volumetric
Na % Direct Aspiration – AA or ICP Finish
H3BO3
% Volumetric or ICP Finish
In-house analytical laboratories operated by company personnel are responsible for the chemical and mineralogical analysis of samples. These laboratories are located in the city of Antofagasta and correspond to the following four sub-facilities:
⮚Caliche-Iodine Laboratory
⮚Research and Development Laboratory
⮚Quality Control Laboratory
⮚SEM and XRD Laboratory
Results of the chemical and mineralogical characterization reported by the company are conclusive on the following points:
⮚The most soluble part of the saline matrix is composed of sulfates, nitrates and chlorides.
⮚There are differences in the ion compositions present in salt matrix (SM(%)).
⮚Anhydrite, Polyhalita and Glauberite, and less soluble minerals, have calcium sulfate associations.
⮚From a chemical-salt point of view, this deposit is favorable in terms of the extraction process, as it contains an average of 49% of soluble salts, high calcium content (>2.5%), and good concentrations of chlorides and sulfates (about 11% and 13% respectively).
⮚Being a mostly semi-soft deposit Surface mining (SM) methods can be applied in almost all the deposit. The geomechanical characteristic of the deposit together with a low clastic content and low abrasiveness (proven by calicatas) allows low mining costs applying SM technology.
10.2.3Caliche Nitrate and Iodine Grade Determination
Composite samples (material sorted from the trial pits (calicatas), loading faces, piles, drill holes and diamond piles) are analyzed by iodine and nitrate grades. The analyses are conducted by Caliche and Iodine laboratory located in the city of Antofagasta. Facilities for iodine and nitrate analysis have been qualified under ISO-9001:2015 for which TÜV Rheinland provides quality management system certification. The latest recertification process was approved in November 2020 and is valid until March 15, 2023.
SQM TRS Nueva Victoria
Pag. 93











10.2.3.1Iodine determination
The methodology to determine iodine in caliche is the redox volumetry, it is based on titration of an exactly known concentration solution, called standard solution, which is gradually added to another solution of unknown concentration, until chemical reaction between both solutions is complete (equivalence point).
Quality control controls consist of equipment condition checks, sample reagent blanks, titrator concentration checks, repeat analysis for a standard with sample configured to confirm its value.

10.2.3.2Nitrate determination
Nitrate grade in caliches is determined by UV-visible molecular absorption spectroscopy. This technique allows to quantify parameters in solution, based on their absorption at a certain wavelength of the UV-visible spectrum (between 100 and 800 nm).
This determination uses a Molecular Absorption Spectrophotometer POE-011-01, or POE-17-01, in which a glass test tube containing a filtered solution obtained by leaching with filtered distilled water is used. Results obtained are expressed in percent nitrate.
QA criteria and result validity are achieved through:
⮚Prior equipment verification.
⮚Performing comparative nitrate analysis once a shift, by contrasting readings of the same samples with other UV-visible equipment and checking readings in Kjeldahl method distillation equipment, for nitrogen determination.
⮚Conducting standard and QC sample input every 10 samples.
Although the certification is specific to iodine and nitrate grade determination, this laboratory is specialized in chemical and mineralogical analysis of mineral resources, with long-standing experience in this field. It is the QP’s opinion that quality control and analytical procedures used at the Antofagasta Caliches and Iodine laboratory are of high quality.
Figure 10.3 UDK 169 with AutoKjel Autosampler - Automatic Kjeldahl Nitrogen Protein Analyzer
image_54.jpg
10.2.4Caliche Physical Properties
To measure, identify, and describe mineral physical tests of mineral properties are developed to predict how it will react under certain treatment conditions. The tests performed are summarized in Table 10-3. During the site visit it was possible
SQM TRS Nueva Victoria
Pag. 94











to verify the development of embedding, sedimentation, and compaction tests in the Iris Pilot Plant Laboratory, which are shown in Figure 10-3.
Table 10-3. Determination of Physical Properties of Caliche Minerals.
Test Parameter Procedure Objective Impact
Tails Test Sedimentation and compaction Sedimentation test, measuring the clearance and riprap cake every hour for a period of about 12 hours Obtain the rate of sedimentation and compaction of fines Evidence of crown instability and mid generation. Irrigation rate
Borra test % Of fine material The retained material is measured between the -#35 #+100 and #-100 after a flocculation and decantation process. Flocculation and decantation of ore To obtain the amount of ore flocculation and decantation process % Of fine that could delay irrigation. Irrigation rate. Canalizations.
Size distribution % Of microfine Standard test of granulometry, the percentage under 200 mesh is given Obtain % microfine % Water retention and yield losses
Permeability K (cm/h) Using constant load permeameter and Darcy's law To measure the degree of permeability of ore Decrease in extraction kinetics of extraction
Embedded alpha Wettability measurement procedure of rock To measure the degree of wettability of the ore Variability in impregnation times
Figure 10-4. Embedding, Compaction and Sedimentation Tests Performed in the Iris Pilot Plant Laboratory.
image_55.jpg
Table 10-4 provides a summary of physical test results comparing the conditions of TEA and Orcoma.
SQM TRS Nueva Victoria
Pag. 95











Table 10-4 Comparative Results of Physical Tests for Pampa Orcoma and TEA Exploitation Project.
Sector Sedimentation Compactation % Fines #-200 Alpha
TEA 0.024 7.54 31.86 10.57 2.37
ORCOMA 0.025 10.05 32.98 12.29 2.29
According to the results, it is possible to highlight the following points:
⮚Sedimentation: Both have medium sedimentation velocity, which implies the need for impregnation and prolonged resting for stabilization.
⮚Compaction: Orcoma has a good compaction, which indicates a greater uniformity in the porous bed, which allows reaching high irrigation rates and therefore better kinetics.
⮚Fines: Both sectors present high percentage of fines, this implies that the best impregnant to use should be a solution other than water. The negative impact of this condition could be increased depending on the type of fine material (e.g., clays) generating water pockets and channeling.
⮚Material #-200: Corresponds to the microfine and are the ones that give rise to channeling and exhibit very high value in both sectors.
⮚Parameter Alpha: At medium levels, these imply acceptable embedding speed which can be improved with a slow controlled impregnation.
As the physical properties measured are directly related to the irrigation strategy, the conclusion is that both caliches should be treated in a similar way considering a standard impregnation stage of mixed drip and sprinkler irrigation.


10.2.5Physical characterization modification and improvement

During 2024, a modification to the physical tests was implemented, in order to automate those currently being performed. For this, the procedure was to carry them out in parallel to those already being performed, in order to continue in 2025 with only the automated tests.

Automated Soil Particle Size Analysis:

It calculates the particle size distribution by Stokes’ law, with a range spanning from 63 μm to 2 μm, instead of just a few measurements at discrete time points. It allows for unattended, automated operation. This results in an overall error rate of 0.5%—lower conventional particle size analysis method.

Results analysis:
This type of information allows estimating the amount of fine material (-10#) that can cause percolation problems in the leaching heap, being all particle sizes smaller than 50 micrometers, or so called silt (limo) and clay (arcilla), that affect percolation.

For Hermosa sector, the measured sector and the variogram was adjusted for an spheric model:






SQM TRS Nueva Victoria
Pag. 96











Figure 10-5. silt distribution content in Hermosa.

image4.jpg

Figure 10-6. silt Variogram in Hermosa
image2.jpg

10.2.6Agitated Leaching Tests
Leaching tests are performed at the company's in-house laboratory facilities located at the Iris Pilot Plant. The following is a brief description of the agitated and successive leaching test procedure.
Leaching in Stirred Reactors
Leaching experiments are conducted at atmospheric pressure and temperature in a plastic reactor without baffles. A propeller agitator at 200 RPM was used to agitate leach suspension. In short, all the experiments were executed with:
⮚Ambient conditions.
⮚Caliche sample particle size 100% mesh -65# mesh.

SQM TRS Nueva Victoria
Pag. 97











⮚Caliche mass 480, 320 or 200 g.
⮚L/S ratio 2:1.
⮚Leaching time 2 h.
⮚Three contact leaching including use of drainage solution.
To start up the leaching experiment, a reactor was initially filled with distilled water and then the solution is gently agitated. After a few minutes, caliche concentrate added to the solution and agitation increased to the final rate.
Once finished, the product was filtered, and the brine solution analyzed by checking the extraction of analytes and minerals by contact with the leaching agent, consumption per unit and iodine extraction response.
Successive leaching’s are complementary to stirred vessel leaching and performed in a stirred vessel with the same parameters explained above. However, it contemplates leaching three caliche samples successively with the resulting drainage solution of each stage. The objective of this test is to enrich this solution of an element of interest such as iodine and nitrates to evaluate heap performance as this solution percolates through the heap. The representative scheme of successive leaching in stirred vessel reactors is shown in Figure 10-7.
Figure 10-7. Successive Leach Test Development Procedure
image_56.jpg
The extraction of each analyte and minerals per contact is analyzed. These results reported by the company are conclusive on the following points:
⮚Higher quantity of soluble salts, lower is the extraction.
⮚Higher proportion of Calcium in Salt Matrix results in higher extraction.
⮚Physical and chemical quality for Leaching is determined by a Soluble Salts content of less than 50%.
For a caliche of TEA sector, the chemical characterization and leaching results are shown in Table 10-5, with an average salt matrix of 63.7% soluble salts and iodine yield of 56.4%.
SQM TRS Nueva Victoria
Pag. 98











Table 10-5 Chemical Characterization of Samples Obtained from TEA and Successive Leach Test Results.
Sectors Mesh Recoveries Proyected Elements
Mton Iodine (ppm)
NaNO3
Na2SO4
Ca Mg k
SO4 ap
KCIO4
NaCl Na
H3BO3
Hermosa 100-100T 155 408 6.7 17.3 1.82 0.95 0.84 10.84 0.04 12.6 8.13 0.23
TEA Norte 100T 62 428 5.8 18.4 2.21 1 0.85 10.6 0.08 14.5 9.45 0.4
TEA Sur 200 22 412 4.7 21 3.02 1.1 0.81 10.57 0.02 14.2 7.97 0.39
TEA Oeste 2000 75 407 5.4 16.6 2.31 0.97 0.69 8.44 0.05 16.7 8.87 0.57
Average 314 412 6.1 17.6 2.1 0.97 0.8 10.2 0.05 14.1 8.56 0.36
The following graphs, included in Figure 10-8, show the results of the agitated leaching tests of two resources from TEA and Pampa Orcoma. The graphs represent the Nitrate and Iodine yield achieved as a function of soluble salt content.
In the graphs, the green line corresponds to the experimental yield result, while the orange line indicates a modeling result of the Pampa Orcoma yield factored at 90%. The yield equivalent to 90% of what the model indicates is 66.3% for Iodine and 63.4% for Nitrate. These factored yields are conservatively used for the economic evaluation of the project.
The green line, which corresponds to the experimental results, shows that an ore from Pampa Orcoma with a content of soluble salts of 46.5% has a yield of 73% in iodine and 70.5% in nitrate, while an ore from TEA, with a content of 62.9% of soluble salts, has a yield of 55.5% in iodine and 60.7% in nitrate. Both resources show a difference in Nitrate yield of 70.5% vs 60.7% and Iodine yield, 73% vs 55.5%. Nitrate and iodine yield difference is the 9% and 17%, respectively.
SQM TRS Nueva Victoria
Pag. 99











Figure 10-8. Nitrate and Iodine yield Obtained by Successive Agitated Leaching Test.
image_57.jpg
image_58.jpg
10.2.7Column Leach Test Using Sea Water
Water availability is limited, being a critical issue for the mining industries and, therefore, other leaching agents such as seawater can be a viable alternative. Therefore, experimental studies of caliche leaching in mini columns were conducted to evaluate seawater's effect.
This study aims to analyze seawater's effect on caliche leaching from different sectors of nitrate-iodine mining properties, using seawater sampled in Mejillones Bay at 100 m offshore and below 15 m deep.
The types of tests executed are in duplicate under the following impregnation-irrigation strategy and conditions:
⮚Water Impregnation - Irrigation with Water (MC 1-MC2).
SQM TRS Nueva Victoria
Pag. 100











⮚Water Impregnation - Irrigation with 60% v/v Water - 40% v/v with a recirculated weakly acidic water (AFA). (MC 3-MC 4).
⮚Seawater Impregnation - Irrigation with Seawater (MC 5-MC 6).
⮚Seawater Impregnation - Irrigation with Mixed 60% v/v Seawater - 40% v/v AFA (MC 7-MC 8)
⮚The test development conditions are indicated in Table 10-6.
⮚Composition determined by granulometry of the material disposed in the columns.
Table 10-6 Conditions for Leaching Experiments with Seawater.
Parameter Detaille
Mass 3,031.3 g
Granulometry 1'' - 3/4'' - 1/2'' - 1/4'' - 20'' mesh
Test Duration 7 days
Total Impregnation 19 hours in watering/rest schedule
Continuous Irrigation 1 h/2 h-1 h/1 h/1h h-2 h/1 h
Irrigation Rate Flow-Flow 5 days and 20 h
The results of the experiments show that highly soluble minerals such as nitrate and iodate are rapidly leached with seawater without much difference with respect to the raw water method.
Regarding nitrate and iodine extraction, a higher NO3 extraction, in Figure 10-9, is observed when leaching with seawater as well as a higher IO3 extraction is observed when leaching with seawater (MC5 and MC6 curves versus MC1 and MC2 curves).
In addition to the above, when comparing the extractions achieved in iodine leaching by water/AFA and seawater/AFA, curves MC 3, and MC 4 versus MC 7 and MC 8, the seawater/AFA mixture is better (MC 7 and MC 8). While, for nitrate, there is no appreciable difference in increase when using seawater as a mixture and extraction is like that of iodine.
Figure 10-9. Results of Nitrate and Iodine Extraction by Seawater Leaching.
image_59.jpg
a)Nitrate extraction with seawater
SQM TRS Nueva Victoria
Pag. 101











image_60.jpg
b)Iodine extraction with seawater
In the future heap behavior will be studies through column leaching tests using seawater, including different irrigation rates and bed heights in the column, and analyzing the experimental concentrations of each species.
10.2.8Laboratory Control Procedures
Currently, there is a quality control system in place to monitor iodine production operations, which consists of monitoring processes starting with inlet brine characterization, followed by sampling and characterization of the cutting and oxidation brine, as well as the prill product obtained. From the product obtained from the iodine prill plant, a series of analyses are conducted to quantify purity, chloride/bromine ratio, sulfate, mercury, residues, and color index.
The analyses, on liquid and solid samples, are performed in the laboratory facilities located in the city of Antofagasta, Analysis laboratory, involving two installations:
⮚Caliche-Iodine Laboratory: Determination of iodine and nitrate in caliches.
⮚Research and Development Laboratory: Facility in charge of performing determination by AAS, ICP-OES, potentiometry, conventional titration, solution density.
More details on SQM's in-house and staff-operated laboratories can be found in the Section 10.4 Analytical and Testing Laboratories.
Table 10-7 shows the basic set of analyses requested from laboratories and the methodologies used for their determination.
SQM TRS Nueva Victoria
Pag. 102











Table 10-7 List of Requested Analyses for Caliche Leach Brines and Iodine Prill
Iodine Solutions
Parameter Method
Iodine grade Volumetric redox
Nitrate grade UV-Vis
PH Potentiometric
Acidity Volumetric acid-base
Alkalinity Volumetric acid-base
H3BO3
Volumetric or ICP Finish
Na2SO4
Gravimetric / ICP
Ca Potentiometric / Direct Aspiration-AA or ICP Finish
Mg Potentiometric / Direct Aspiration-AA or ICP Finish
K Direct Aspiration-AA or ICP Finish
SO4
Gravimetric / ICP
KClO4
Potentiometric
NaCl Volumetric
Na Direct Aspiration-AA or ICP Finish
Iodine Prill
Parameter Method
Purity or iodine count Potentiometric
Bromide and chloride Volumetric
Non-volatile material (residue) Gravimetric
Sulfate Turbidimetry
Mercury Spectrophotometry
Coloration Index Colorimetric
SQM's nitrate and iodine processing plants have been in production for many years and metallurgical requirements for processing and recovering the nitrate from evaporation ponds from iodine process remaining solution are well known. Consequently, no new metallurgical studies related to evaporation studies have recently been carried out. However, once pond systems are in operation, sampling and assay procedures for evaporation tests are as follows:
⮚Brine sample collection is conducted on a periodic basis to measure brine properties, such as chemical analysis, density, brine activity, etc. Samples are taken by an internal company laboratory using the same methods and quality control procedures as those applied to other brine samples.
⮚Precipitated salts are collected from ponds for chemical analysis to evaluate evaporation pathways, brine evolution, and physical and chemical properties of the salts.
10.3SAMPLES REPRESENTATIVENESS
The company has established Quality Assurance/Quality Control (QA/QC) measures to ensure the reliability and accuracy of sampling, preparation, and assays, as well as the results obtained from assays. These measures include field procedures and checks that cover aspects such as monitoring to detect and correct any errors during drilling, prospecting, sampling, and assaying, as well as data management and database integrity. This is done to ensure that the data generated are reliable and can be used in both resource estimation and prediction of recovery estimates.
According to the sampling protocol, the samples, once logged by the technical staff in charge of the campaign, are delivered from the drilling site to a secure and private facility. Analytical samples are prepared and assayed at the in-house "Pilot Plant Laboratory" located at the Nueva Victoria site and Iris sector. The protocol ensures the correct entry in the
SQM TRS Nueva Victoria
Pag. 103











database by tracking the samples from their sampling or collection points, identifying them with an ID, and recording what has been done for the samples delivered/received. The set of procedures and instructions for traceability corresponds to a document called "Caliche AR Sample Preparation Procedure".
The company applies a quality control protocol established in the laboratory to receive caliche samples from all the areas developed according to the campaign, preparing the dispatches together with the documentation for sending the samples, preparing, and inserting the quality controls, which will be the verification of the precision and accuracy of the results. The LIMS data management system is used to randomly order the standards, blank and duplicates in the corresponding request. By chemical species analysis, an insertion rate of standard or standard QA/QC samples and duplicates is established.
The following criteria are established for the handling of results:
⮚Numbers of samples that are above and below the lower detection limits.
⮚Differences of values in duplicates are evaluated. For example, when comparing duplicates of nitrate and iodine grades, a maximum difference, calculated in absolute value, of 0.4% for NaNO3 and 0.014% for iodine is accepted.
⮚For standards measured, results with a tolerance of +/- 2 standard deviations from the certified value are accepted.
In the case of any deviation, the laboratory manager reviews and requests check of the samples, in case the duplicate or standard is non-compliant.
As for physical characterization and leaching tests, all tests are developed in duplicate. Determination results are accepted with a difference of values in the duplicates of 2%.
Given the QA/QC controls and documentation described above the QP considers that the test samples are representative of the different types and styles of mineralization and of the mineral deposit. Sampling for operations control is representative of caliche as they are obtained directly from the areas being mined or scheduled for mining. The caliche analysis and characterization tests are appropriate for a good planning of operations based on a recovery estimation.
10.4ANALYTICAL AND TESTING LABORATORIES
The metallurgical testing program directs samples to be sent to internal laboratories in charge of analysis and testing:
⮚Analysis laboratory located in Antofagasta, in charge of chemical and mineralogical analysis and composed of four laboratories (see Table 10-8).
⮚Pilot Plant Laboratory located at Iris- Nueva Victoria responsible for sample reception and physical and leaching response tests.
The following table details the available facilities and the analyses performed in each one of them.
Table 10-8 List of Installations Available for Analysis.
Laboratory Location Analyses
Caliche-Iodine Laboratory Antofagasta Determination of Iodine and Nitrate in caliches, probing
Research and Development Laboratory Antofagasta AAS, ICP-OES, potentiometry, conventional titration, solution density
Quality Control Laboratory Antofagasta Polarized light microscopy, particle size distribution
SEM and XRD Laboratory Antofagasta SEM and XRD
Pilot Plant Laboratory Nueva Victoria Physical characterization and ore leaching tests
Iodine and nitrate testing facilities available at Caliche and Iodine Laboratories (LCY) in Antofagasta are certified under ISO-9001:2015. Certification was granted by TÜV Rheinland and is valid from 2020-2023.
SQM TRS Nueva Victoria
Pag. 104











It should be noted that part of the exploration efforts is focused on possible gold and copper metallic mineralization underneath the caliche. Therefore, samples are sent to external analytical laboratories that are independent from SQM and accredited and/or certified by the International Standards Organization (ISO):
⮚Andes Analytical Assay (AAA) (ISO 9001 Certification).
⮚ALS Global Chile (ISO/IEC 17025).
⮚Centro de Investigación Minera y Metalúrgica (CIMM) (ISO/IEC 17025).
SQM TRS Nueva Victoria
Pag. 105











10.5TESTING AND RELEVANT RESULTS
10.5.1Metallurgical Recovery Estimation
Caliche characterization results are contrasted with metallurgical results to formulate relationships between elemental concentrations and recovery rates of the elements of interest or valuable elements and reagent consumption.
The relationships between reported analyses and recoveries achieved are as follows:
⮚It is possible to establish an impact regarding recovery based on the type of salt matrix and the effect of salts in the leaching solution. With higher amounts of soluble salts, extraction is lower while higher calcium in SM results in higher extraction.
⮚Caliches with better recovery performance tend to decant faster (speed) and compact better.
⮚The higher presence of fines hinders bed percolation, compromising the ability to leach and ultrafine that could delay irrigation or cause areas to avoid being irrigated.
⮚The higher hydraulic conductivity or permeability coefficient, better the leachability behavior of the bed.
For metallurgical recovery estimation, the formulated model contains the following elements:
⮚Chemical-mineralogical composition.
⮚Yield.
⮚Physical characteristics: sedimentation velocity, compaction, percentage of fines and ultrafine, uniformity coefficient, and wetting.
The metallurgical analysis is focused on determining the relationships associated with these variables, since the relationships can be applied to the blocks to determine deposit results. From a chemical and yield point of view, a relationship is established between unit consumption (UC, amount of water) or total irrigation salts (salt concentration, g/L) and iodine extraction. The best subset of the regressions was used to determine the optimal linear relationships between these predictors and metallurgical results. Thus, iodine and nitrate recovery equations are represented by the following formulas and Figure 10-10:
image_61.jpg
image_62.jpg
image_63.jpg
image_64.jpg
SQM TRS Nueva Victoria
Pag. 106











Figure 10-10. Iodine Recovery as a Function of total Salts Content.
image_65.jpg
The graph of Figure 10-10 compares iodine yield results for samples from two SQM resources, TEA and Pampa Orcoma (abbreviated as ORC), as a function of total salts. The mineral samples (MS) are differentiated by their percentage soluble salt content, so that sample MS-45 (TEA), for example, corresponds to a mineral sample from the TEA sector characterized by 45% soluble salts. Following this logic, MS-45 (ORC), corresponds to a mineral sample from Pampa Orcoma, which has a soluble salt content of 45%. As can be seen, an output matrix content of 65% implies a lower recovery compared to an ore content of 45%.
In conclusion, the metallurgical tests, as previously stated, have allowed establishing baseline relationships between caliche characteristics and recovery. In the case of iodine, a relationship is established between unit consumption and soluble salt content, while for nitrate, a relationship is established depending on the grades of nitrate, unit consumption and the salt matrix. Relationships that allow estimating the yield at industrial scale.
10.5.2Irrigation Strategy Selection
In terms of physical properties, the metallurgical analysis allows to determine caliche classification as unstable, very unstable, stable, and very stable, which gives rise to an irrigation strategy in the impregnation stage. As a result, a parameter impact ranking is established in caliche classification, in the order indicated below (from higher to lower impact):
1.Compaction degree (C).
2.Sedimentation velocity (S).
3.Fines and ultrafine percentage (%f; percent passing #200) with wetting degree (α).
4.Uniformity degree (Cu).
The weighting establishes a value to be placed on a scale of selection depending on the type of impregnation for the highest yield (see Figure 10-11):
⮚Scale 1.1 to 1.9; pulse ramp 70 days of irrigation with intermediate solution.
SQM TRS Nueva Victoria
Pag. 107











⮚Scale 1.9 to 2.6; pulse ramp 60 days of irrigation with intermediate solution.
⮚Scale 2.6 to 3.3; pulse ramp 50 days of irrigation with water.
⮚Scale 3.3 to 3.9; pulse ramp 40 days of irrigation with water.
Figure 10-11. Parameter Scales and Irrigation Strategy in the Impregnation Stage.
image_67.jpg
10.5.3Industrial Scale Yield Estimation
All the knowledge generated from the metallurgical tests carried out, is translated into the execution of a procedure for the estimation of the industrial scale performance of the heap. Heap yield estimation and irrigation strategy selection procedure is as follows:
⮚A review of the actual heap Salt Matrix was compared to results obtained from diamond drill hole samples from the different mining polygons. The correlation factor between the two is obtained, which allows determining, from the tests applied to diamond drill hole samples, how the heap performs in a more precise way.
⮚With the salt matrix value, a yield per exploitation polygon is estimated and then, through a percentage contribution of each polygon's material to heap construction, a heap yield is estimated.
⮚Based on percentage physical quality results for each polygon, i.e., C m/min, compaction, % fine material, Alpha, #-200, an irrigation strategy is selected for each heap.
For example, for Pile 583, the physical test showed that the pile tends to generate mud in the crown and was unstable. A 60-day wetting was recommended to avoid generating turbidity. The recommendation was to irrigate at design rate.
The real composition for Pile 583, determined by the diamond drilling campaign by polygon is shown in the Table 10-9 in which some differences can be observed.
SQM TRS Nueva Victoria
Pag. 108











Table 10-9 Comparison of the Composition Determined for the 583 Heap Leaching Pile in Operation at Nueva Victoria.
Type Real vs. Diamond Salts Matrix
Iodine grade
(ppm)
Nitrate grade
(%)
Na2SO4 Ca Mg K KClO4 NaCl Na H3BO3 Saline Soluble
Sample 400 4.0 17.9 2.0 1.3 0.5 0.1 10.1 4.3 0.3 57.8
Real 424 4.2 16.4 1.9 1.2 0.6 1.4 10.5 4.6 0.3 58.3
Through the established methodology, composition and physical properties, the resulting 583 pile yield estimate is 54.5%. The estimation scheme is as shown in Figure 10-12.
Figure 10-12. Irrigation Strategy Selection
Participation of Polygon
chart-367cd767fa794e848e9.jpg
chart-585b0a83c2854ec1be9.jpg
Following the example and in relation to the observed yield values contrasted with the values predicted by the model, the following graphs shows the annual yield of Nueva Victoria plant, both for iodine and nitrate, for the period 2008-2020.
The annual industrial throughput values with the values predicted by the model are shown in the Figure 10-13 in which a good degree of correlation is observed.
The annual industrial throughput values with the values predicted by the model are shown in the following figures and in which a good degree of correlation is observed.

SQM TRS Nueva Victoria
Pag. 109











Figure 10-13. Nitrate and Iodine Yield Estimation and Industrial Correlation
image.jpg
The new correlation to project nitrate and iodine yield is made with data from 10 years of industrial operation. This correlation relates the availability of water (CU) to the amount of soluble salts (Caliche*SS*MS) to be dissolved present in the caliche and is directly related to the species of interest (Iodine and Nitrate).

Nueva Victoria has operated in ranges of CU 0.40 m3/t and 0.6 (m3/t). The higher the CU, the lower the CRS (Recirculating charge Salt), therefore the better the performance.

Caliches with high soluble salts (SS), the CRS increases, the increase in CU is more significant.
Caliche with low SS, less steep slope, the CU is not as significant
ST Purge to Ponds: Total salts present in AFA to evaporating solar ponds.
Unit Consumption: Corresponds to fresh water to leachate by mass of treated caliche.

MS: total salt contained in caliche

SS: soluble salts
10.6SIGNIFICANT RISK FACTORS

The main risk factor for heap leaching is the error in the chemical and physical characterization of caliches that allows us to correctly predict the behavior of future caliches. This is why, during 2024, new standard physical caliche tests were
SQM TRS Nueva Victoria
Pag. 110











implemented that allow them to be reproducible and reliable and provide information that can be used directly in recovery models.

Other risks:
Elements detrimental to recovery or to the quality of the product obtained pose a risk. Insoluble material and elements such as magnesium (magnesium sulfate or Epsom salt) and perchlorate in the raw material also poses a negative impact to the process. In this regard, this report has provided information on tests carried out on the process input and output flows, such as brine and finished products of iodine, potassium nitrate and sodium nitrate, for these elements, thus showing the company's constant concern to improve the operation and obtain the best product.
Plant control systems analyze grades and ensure that they comply with required threshold values and will not affect the concentration of valuable species in the brine or impact plant performance. Therefore, processing factors or deleterious elements that may have a significant impact on the potential economic extraction are controlled. For example, brines are monitored and those that are loaded with 2-2.5 g/L of Epsom salt are purged to waste ponds.
Along with the above, the company is also interested in developing or incorporating a new stage, process and/or technology that can mitigate the impact of known factors. This is achieved with constant focus on continuous improvement of the processes.
10.7QUALIFIED PERSON´S OPINION
10.7.1Physical and chemical characterization
Mineralogical and chemical characterization results, as well as physical and granulometric characterization of the mineral to be treated, which are obtained from the tests performed, allow to continuously evaluate different processing routes, both in initial conceptual stages of the project and during established processes, in order to ensure that such process is valid and up to date, and/or also to review optimal alternatives to recover valuable elements based on the nature of the resource. Additionally, analytical methodologies determine deleterious elements, to establish mechanisms in operations so that these can be kept below the limits to ensure a certain product quality.
10.7.2Chemical – Metallurgical Tests
Metallurgical test work performed in laboratories and pilot plants are adequate to establish proper processing routes for caliche resources.
Testing program has evidenced adequate scalability of separation and recovery methods established in plant to produce iodine and nitrate salts. It has been possible to generate a model that can assist with an operational plan for the initial irrigation stage to improve iodine and nitrate recovery in leaching.
Samples used to generate metallurgical data are sufficiently representative to support estimates of planning performance and are suitable in terms of estimating recovery from the Mineral Resources.
10.7.3Innovation and Development
The company has a research and development team that has demonstrated important advances regarding development of new processes and products to maximize returns from exploited resources.
Research is developed by three different units covering topics, such as chemical process design, phase chemistry, chemical analysis methodologies, and physical properties of finished products. These address raw material characterization, operations traceability, and finished product.
SQM TRS Nueva Victoria
Pag. 111

tm2311827d1_ex96-4img001.jpg
11MINERAL RESOURCE ESTIMATE
11.1KEY ASSUMPTIONS, PARAMETERS AND METHODS
This sub-section contains forward-looking information related to density a grade for the Project. The material factors that could cause actual results to differ materially from the conclusions, estimates, designs, forecast or projections in the forward-looking information include any significant differences from one or more of the material factors or assumptions that were set forth in this sub-section including actual in-situ characteristics that are different from the samples collected and tested to date, equipment and operational performance that yield different results from current test work results.
The resource estimation process is different depending on the drill hole spacing grid available in each sector:

⮚Measured Mineral Resources: Sectors with a Block Model, with a drill hole spacing grid of 50 x 50 m, 100T and 100 were estimated with a full 3D block model using Ordinary Kriging, which contains variables, such as Iodine, Nitrate, soluble salts, geology, geotechnics, topography, etc. For Nueva Victoria all sectors defined Measured Resources have an available Block Model.

⮚Indicated Mineral Resources: Sectors with a Block Model; with a drill hole spacing grid of 200 x 200 m were estimated with a full 3D block model using Inverse Distance Weighted (IDW) which contains variables, such as Iodine, Nitrate, soluble salts, geology, geotechnics, topography, etc. For Nueva Victoria all sectors defined Indicated Resources have an available Block Model.

⮚Inferred Mineral Resources: Sectors with a drill hole spacing grid greater than 200 x 200 m up to 400 x 400m were estimated in 2D using the Polygon Method. This Inferred Resources do not have block model. the output are polygons which are then transformed to tonnage by multiplying by the area, thickness, and density.

11.1.1Sample Database
The 2024 Nueva Victoria Model included the estimate of Iodine and Nitrate, and in the case of smaller grids Measured Mineral Resources includes soluble Salts, elements, lithology, and hardness parameters.
Table 11-1 summarizes the basis statistics of Iodine and Table 11-2 Nitrate for Nueva Victoria.


Table 11-1. Basic Sample Statistics for Iodine in Nueva Victoria
Sector Variable Number of Samples Minimum Maximum Mean Std. Dev. Variance CV Kurtosis
Franja Oeste Iodine 74.738 50 2.670 209 166 27.593 0,8 14,7
Hermosa Iodine 85.983 50 3.500 249 224 50.261 0,9 9,5
Hermosa Oeste Iodine 49.123 50 3.040 241 211 44.563 0,9 12,6
Mina Norte Iodine 124.590 50 2.000 353 242 58.729 0,7 9
Mina Oeste Iodine 185.934 50 2.370 271 228 52.139 0,8 10,8
Pampa Engañadora Iodine 10.485 50 2.920 169 203 41.087 1,2 28,6
Tea Sur Iodine 10.633 50 2.000 273 182 33.099 0,7 10,6
Tea Oeste Iodine 15.052 50 4.140 273 235 55.366 0,9 16,5
Torcaza Iodine 47.930 50 2.000 248 244 59.477 1,0 11,8





SQM TRS Nueva Victoria
Pag. 112

tm2311827d1_ex96-4img001.jpg
Table 11-2. Basic Sample Statistics for Nitrate in Nueva Victoria
Sector Variable Number of Samples Minimum Maximum Mean Std. Dev. Variance CV Kurtosis
Franja Oeste Nitrate 74,738 1 38 3,0 2,5 6,3 0,8 7,4
Hermosa Nitrate 85,983 1 39,6 5,8 3,9 15,2 0,7 2,0
Hermosa Oeste Nitrate 49,123 1 27,7 3,9 3,4 11,6 0,9 4,8
Mina Norte Nitrate 124,590 1 20 3,8 3,2 10,2 0,8 5,2
Mina Oeste Nitrate 185,934 1 25,9 4,2 3,9 15,3 0,9 3,9
Pampa Engañadora Nitrate 10,485 1 20 3,4 3,5 12,3 1,0 5,6
Tea Sur Nitrate 10,633 1 22,6 2,9 2,6 6,8 0,9 8,5
Tea Oeste Nitrate 15,052 1 28 3,7 3,1 9,6 0,8 5,3
Torcaza Nitrate 47,930 1 28,7 3,4 3,7 13,7 1,1 6,2

11.1.2Geological Domains and Modeling
For the estimation of each block within a geological unit (UG) (Figure 11-1) only the composite grades, elements and hardness parameters found in that domain are used (Hard contact between UG). The main UG are described as:
⮚Overburden, Cover (UG 1).
⮚Mineralized mantle, Caliche (UG 2).
⮚Underlying (UG 3).

Figure 11-1. Geological Model UG1 and UG2 (Pampa Hermosa - Pampa Mina Norte)

image7.jpg

11.1.3Assay Compositing
Considering that all the sample have the same length (0.5 m) and the block height is also 0.5 m, SQM did not composite the sample database and used directly in the estimation process.

11.1.4Evaluation of Outlier Grades and Grade Capping
Definition and control of outliers is a common industry practice that is necessary and useful to prevent potential overestimation of volumes and grades. SQM has not established detection limits (upper limit) in the determined grades of Iodine and Nitrates in the analyzed samples. The distribution of grades for both Iodine and Nitrates within the deposit were such that not samples were judged to be extreme, so no sample restrictions were used in the estimation process.
SQM TRS Nueva Victoria
Pag. 113


11.1.5Specific Gravity (SG)

At the Nueva Victoria Site, 723 density measurements were carried out with the Archimedes principle in the different sectors. This method is applicable to any type of samples, whether irregular samples (control) or cylindrical samples (test tube). The associated standards and recommendations correspond to those specified by ASTM. In this case, the following ASTM D-4531 and ASTM D-4543 will be used. The test consists of weighing a previously dried sample, submerging a rock sample or a test tube in melted paraffin and weighing its weight in air and submerged in water. This process will determine the unit weight of the sample, in relation to the properties of the water (density) and the weight differences that the sample presents in 3 environments: dry, dried with paraffin and immersed with paraffin.

A geophysical study was also carried out using the Well Profiling technique at the Nueva Victoria. This study has provided a detailed view of key physical properties in the characterization of subsurface lithology through the use of Caliper, Natural Gamma and Density probes. In this process, measurements were made in 146 wells, covering a maximum depth of 6 meters, providing valuable data for the evaluation of the strata of interest. The data obtained from the drilling carried out, with sampling at intervals of one centimeter, were processed independently for each drillhole (Figure 11-2). Finally, a comparison is made between the densities obtained through profiling and those calculated in the laboratory, provided by the client for analysis. This comparison allows the precision of in situ measurements to be evaluated against laboratory results, offering a comprehensive perspective on the consistency and reliability of the data collected.

Table 11-3 shows the sector, the laboratory, the samples and drilling analyzed and the specific gravity. These results justified the historical value used by SQM (2.1 gr/cc).
Table 11-3. Specific Gravity Samples in Nueva Victoria
Mining Laboratory N° Sample Specific Gravity (g/cc)
Nueva Victoria External 144 2.3
Internal 59 2.2
Gamma - Gamma 39 1.8
TEA External 380 2.2
Internal 140 2.2
Gamma - Gamma 107 2
Average 2.11

SQM TRS Nueva Victoria
Pag. 114


Figure 11-2. Density Analysis Location in Nueva Victoria.
plano_densidadxnvx2024.jpg
SQM TRS Nueva Victoria
Pag. 115


11.1.6Block Model Mineral Resource Evaluation
As mentioned before, sectors with a drill hole spacing grid greater than 50 x 50 m up to 100 x 100 m were estimated with a full 3D block model using Ordinary Kriging and the sector with a drill hole grid greater than 100 x 100 m and up to 200 x 200 m were estimated using Inverse Distance Weighted also using block model, for interpolation of Iodine, Nitrate, soluble salts, geology, geotechnics, topography, etc. For Nueva Victoria all sectors defined Measured and Indicated Resources have an available Block Model.
Block Model Parameters and Domaining Table 11-4 shows the definition for the block model built in Datamine Studio 3. The block size is 25 x 25 x 0.5 m in all sectors.
Table 11-4. Block Model Dimensions
Sector Parameters East North Elevation
Franja Oeste M200 Origin (m) 405,150 7,667,900 808
Range (m) 18,100 17,000 598
Final (m) 423,250 7,684,900 1,406
Block Size 50 50 0.5
N° of Blocks 362 340 1,196
Franja Oeste M100T Origin (m) 411,950 7,668,775 882
Range (m) 8,275 15,850 378
Final (m) 420,225 7,684,625 1,260
Block Size 25 25 0.5
N° of Blocks 331 634 756
Hermosa Origin (m) 414,950 7,704,175 1,066
Range (m) 9,100 9,050 179
Final (m) 424,050 7,713,225 1,245
Block Size 25 25 0.5
N° of Blocks 364 362 358
Hermosa Oeste Origin (m) 404,325 7,703,775 813
Range (m) 12,875 13,850 462
Final (m) 417,200 7,717,625 1,275
Block Size 25 25 0.5
N° of Blocks 515 554 924
Hermosa Oeste M200 Origin (m) 401,475 7,687,600 710
Range (m) 25,000 26,500 584
Final (m) 426,475 7,714,100 1,294
Block Size 50 50 0.5
N° of Blocks 500 530 1,168
Mina Norte Origin (m) 428,425 7,689,400 951
Range (m) 10,700 5,450 153
Final (m) 439,125 7,694,850 1,104
Block Size 25 25 0.5
N° of Blocks 428 218 306
Mina Oeste Origin (m) 419,975 7,680,075 901
Range (m) 9,650 15,650 258
Final (m) 429,625 7,695,725 1,159
Block Size 25 25 0.5
N° of Blocks 386 626 516
SQM TRS Nueva Victoria
Pag. 116


Mina Sur Origin (m) 432,050 7,676,500 897
Range (m) 11,450 7,725 148
Final (m) 443,500 7,684,225 1,045
Block Size 25 25 0.5
N° of Blocks 458 309 296
Pampa Engañadora Origin (m) 401,475 7,687,600 710
Range (m) 25,000 26,500 584
Final (m) 426,475 7,714,100 1,294
Block Size 50 50 0.5
N° of Blocks 500 530 1,168
TEA Sur Origin (m) 412,750 7,689,600 1,084
Range (m) 2,850 5,475 150
Final (m) 415,600 7,695,075 1,234
Block Size 25 25 0.5
N° of Blocks 114 219 300
TEA Unificado Origin (m) 409,950 7,692,050 991
Range (m) 11,050 13,025 204
Final (m) 421,000 7,705,075 1,194
Block Size 25 25 0.5
N° of Blocks 442 521 407
Torcaza Origin (m) 428,950 7,671,975 851
Range (m) 5,100 4,575 148
Final (m) 434,050 7,676,550 999
Block Size 25 25 0.5
N° of Blocks 204 183 296
SQM TRS Nueva Victoria
Pag. 117


Figure 11-3 illustrates a plan view of the sectors with a block model inside Nueva Victoria
Figure 11-3. Block Model Location in Nueva Victoria.
fig_11x1.jpg
Although there are overlaps between the boundaries of the Nueva Victoria Block Models, there is no duplication of blocks for the estimation of Mineral Resources, each of these models has the boundary of the other zones given by the different databases of each zone.

Variography
Experimental variogram where constructed using all the drill hole samples independent of the UG. The variogram is modeled and adjusted, obtaining parameters such as structure range and sill, nugget effect and the main direction of mineralization. Experimental variograms were calculated and modeled for Iodine and used in the estimation of both Iodine and Nitrate.
SQM TRS Nueva Victoria
Pag. 118


Table 11-5 describes the variogram models for Iodine used in each zone for the estimation of Iodine and Nitrate.
Table 11-5. Variogram Models for Iodine and Nitrate in Nueva Victoria
Sector Variable Rotation Nugget Effect Range 1 Sill 1
Z Y X Z Y X
Mina Norte Iodine 0 0 0 6964 0.5 80 80 46607
Mina Sur 0 0 0 28270 0.5 80 75 76582
TEA Oeste 45 0 0 11042 0.5 162 168 48542
Hermosa 45 0 0 20714 0.5 160 145 59524
Hermosa Oeste 0 0 0 29821 0.5 168 177 42500
Franja Oeste 0 0 0 17690 0.5 119 177 22187
Torcaza 0 0 0 39821 0.5 80 80 50351
Sector Variable Rotation Nugget Effect Range 1 Sill 1
Z Y X Z Y X
Norte Nitrate 0 0 0 6.4 0.5 80 80 10
Mina Sur 0 0 0 0.91 0.5 80 75 8
TEA Oeste 0 0 0 4.16 0.5 160 172 8
Hermosa 45 0 0 9.16 0.5 155 147 14
Hermosa Oeste 0 0 0 5 0.5 168 151 9
Franja Oeste 45 0 0 3.77 0.5 128 141 5
Torcaza 0 0 0 7.38 0.5 80 80 10
The nugget effect varies between 6% and 39% of the total sill, this suggests different behavior of Iodine between each zone. The total ranges are around 80 m to a maximum of 160 m (Figure 11-4). These variogram ranges are in line with the SQM´s definition of Measured Mineral Resources, namely estimates blocks using a drill hole grid greater than 50 x 50 m up to 100 x 100 m. (Block model evaluation).
The QP performed and independent analysis to confirm the variogram models used by SQM, in general, obtains similar nugget effect, total sill and variogram ranges to those used by SQM.
Figure 11-4. Variogram Models for Iodine and Nitrate in Nueva Victoria.
image_78.jpg
SQM TRS Nueva Victoria
Pag. 119


Interpolation and Extrapolation Parameters
The estimation of Iodine and Nitrate grades for Nueva Victoria has been conducted using Ordinary Kriging (KO) in one pass for each UG. SQM used cross-validation to determine the estimation parameters such as search radius, minimum and maximum number of samples used, etc. In the cross-validation approach, the validation is performed on the data by removing each observation and using the remaining to predict the value of remove sample. In the case of stationary processes, it would allow to diagnose whether the variogram model and other search parameter adequately describes the spatial dependence of the data.
The Block model is intercepted with the geological model to flag the geological units used in the estimation process.
The KO plan included the following criteria and restrictions:
⮚No capping used in the estimation process.
⮚Hard contacts have been implemented between all UG.
⮚No octant restrictions have been used for any UG.
⮚No samples per drill hole restrictions have been implemented for any UG.
Table 11-6 summarizes the orientation, search radius implemented and the scheme of samples selection for each GU and sector. Search ellipsoid radio were chosen based on the variogram ranges. Examples of 4 pampas are incorporated
Table 11-6. Sample Selection for each sector.
Sector Variable Range 1 Samples
Z Y X Minimun Maximun
Mina Norte Iodine 0.5 80 80 3 20
Mina Sur 0.5 80 75 3 20
TEA Oeste 0.5 162 168 3 20
Hermosa 0.5 160 145 3 20
Hermosa Oeste 0.5 168 177 3 20
Franja Oeste 0.5 119 177 3 20
Torcaza 0.5 80 80 3 20
Sector Variable Range 1 Samples
Z Y X Minimun Maximun
Norte Nitrate 0.5 80 80 3 20
Mina Sur 0.5 80 75 3 20
TEA Oeste 0.5 160 172 3 20
Hermosa 0.5 155 147 3 20
Hermosa Oeste 0.5 168 151 3 20
Franja Oeste 0.5 128 141 3 20
Torcaza 0.5 80 80 3 20
Once the estimation was made, a vertical reblocking was performed by transforming the 3D block model into a 2D grid of points (X and Y coordinates) with the mean laws of all the estimated variables. When 2D grid points are available, operational and mine planning parameters are applied to determine tonnage/grade curves according to iodine grades required. Finally, GIS software (Arcview and Mapinfo) is used to draw the polygons, limiting the estimated Mineral Resources with economic potential.
Block Model Validation
A validation of the block model was carried out to assess the performance of the KO and the conformity of input values. The block model validation considers:
SQM TRS Nueva Victoria
Pag. 120


⮚Statistical comparison between estimated blocks and samples grades of drill holes.
⮚Global and local comparison between estimated blocks and samples through each direction (East, North and elevation) performing the following test: Anisotropy analysis, Search Neighborhood, Similarity analysis, Seasonality Analysis, Multivariate comparison, cumulative Distribution Function, Trend analysis Near Neighbor (NN).
⮚Visual validation to check if the lock model matches the sample data.
11.1.7Global Statistics
The QP carried out a statistical validation between sample grades and estimated blocks. Global statistics of mean grades for the samples can be influenced by several factors, such as sample density, grouping, and, to a greater extent, the presence of high grades that have been restricted in the estimation plan.
Consequently, global statistics of samples grades were calculated using the Nearest-Neighbor (NN) method with search ranges like the one used in the estimation. A summary of this comparison is shown in Table 11-7 and Table 11-8 for Iodine and Nitrate respectively, where the negative values indicate a negative difference between block mean grades in relation to composite mean grades, and vice-versa. In general, differences under 5% are satisfactory, and differences above 10% require attention. The result of the estimate shows that relative differences are found within acceptable limits.
Table 11-7. Global Statistics comparison for Iodine
Sector # Data Minimum Maximum Mean Std. Dev
Franja Oeste Iodine 620.739 50 1.367 210
Hermosa Iodine 919.739 50 3.156 237
Hermosa Oeste Iodine 335.842 50 1.962 240
Mina Norte Iodine 437.603 50 1.770 353
Mina Oeste Iodine 1.019.717 50 1.965 272
Pampa Engañadora Iodine 158.585 50 2.805 157
Tea Sur Iodine 109.531 50 1.152 280
Tea Oeste Iodine 121.179 50 2.122 276
Torcaza Iodine 289.243 50 2.000 243
Nueva Victoria LP Iodine 324.646 50 1.969 231
Table 11-8. Global Statistics comparison for Nitrate
Sector # Data Minimum Maximum Mean Std. Dev
Franja Oeste Nitrate 620.739 1,0 18,1 3,1
Hermosa Nitrate 919.739 1,0 21,6 5,7
Hermosa Oeste Nitrate 335.842 1,0 19,8 3,8
Mina Norte Nitrate 437.603 1,0 19,5 3,6
Mina Oeste Nitrate 1.019.717 1,0 18,3 4,1
Pampa Engañadora Nitrate 158.585 1,0 20,0 3,8
Tea Sur Nitrate 109.531 1,0 15,2 3,0
Tea Oeste Nitrate 121.179 1,0 14,5 3,5
Torcaza Nitrate 289.243 1,0 22,5 3,4
Nueva Victoria LP Nitrate 324.646 1,0 30,3 4,0
SQM TRS Nueva Victoria
Pag. 121


11.1.7.1.Swath Plots
To evaluate how robust block grades are in relation to data, the following tests were performed to validate the robustness of the generated model (Anisotropy analysis, Search Neighborhood, Similarity analysis, Seasonality Analysis, Multivariate comparison, cumulative Distribution Function, Trend analysis Near Neighbor NN). From Figure 11-5 provides a summary of plots for each variable for TEA. In general, results indicate that estimates reasonably follow trends found in the deposit’s grades at a local and global scale without observing an excessive degree of smoothing.

Figure 11-5. Swath Plots for Iodine TEA
teayodo.jpg
Commentaries
From the analysis carried out, the following is concluded:
⮚There is a slight anisotropy.
⮚Vary the search ellipse, between 120 and 300 m provides very little to cross-validation, this mainly being a spatial structure where the first structure (which is the one that contributes the most to the variance) is of short scope and the second contributes very little to the total variance of the variogram its effect is minimal.
⮚There is an improvement in search levels of the order of 160 m mainly in the effect this has on standardized error.
⮚The similarity levels of the model respect the levels of similarity present in the samples of the drilling at a high level, this happens for both Iodine and Nitrate.
⮚The correlation indices present in the original data between Iodine and Nitrate, are keep in the block model.
⮚The model presents a slight optimism and underestimates in a very uninfluential way local uncertainty, both at the data level and at the distribution function level Theoretical.
⮚The average of the analyzed region presents, at the level of samples, an average value of iodine of 303 ppm and at block level 308 ppm.
⮚The average of the analyzed region presents, at level of samples an average nitrate of 5.09% and at block level 5.11%.
⮚The cross-validation is of good quality with a high degree of robustness.
⮚The model accurately represents the grades of the deposit in blocks of 25 x 25 x 0.5 both in Iodine and Nitrate. Presenting a slight optimism and very little influential underestimation of Local uncertainty.





SQM TRS Nueva Victoria
Pag. 122



From Figure 11-6 and Figure 11-7 provides a summary of plots for each variable for Hermosa. In general, results indicate that estimates reasonably follow trends found in the deposit’s grades at a local and global scale without observing an excessive degree of smoothing.

Figure 11-6. Swath Plots for Iodine Hermosa
hermosayodo.jpg

Figure 11-7. Swath Plots for Nitrate Hermosa
hermosanitrato.jpg
Commentaries
From the analysis carried out, the following is concluded:
⮚There is a slight anisotropy.
⮚Vary the search ellipse, between 120 and 300 meters provides very little to cross-validation, this mainly being a spatial structure where the first structure (which is the one that contributes the most to the variance) is of short scope and the second contributes very little to the total variance of the variogram its effect is minimal.
⮚There is an improvement in search levels of the order of 160 meters mainly in the effect this has on standardized error.
⮚The similarity levels of the model respect the levels of similarity present in the samples of the drilling at a high level, this happens for both Iodine and Nitrate.
⮚The correlation indices present in the original data between Iodine and Nitrate, are keep in the block model.
⮚The model presents a slight optimism and underestimates in a very uninfluential way local uncertainty, both at the data level and at the distribution function level Theoretical.
⮚The average of the analyzed region presents, at the level of samples, an average value of iodine of 224 ppm and at block level 251 ppm.
SQM TRS Nueva Victoria
Pag. 123


⮚The average of the analyzed region presents, at level of samples an average nitrate of 5.8% and at block level 5.7%.
⮚The cross-validation is of good quality with a high degree of robustness.
⮚The model accurately represents the grades of the deposit in blocks of 25 x 25 x 0.5 both in Iodine and Nitrate. Presenting a slight optimism and very little influential underestimation of Local uncertainty.

From Figure 11-8 and Figure 11-9 provides a summary of plots for each variable for Hermosa. In general, results indicate that estimates reasonably follow trends found in the deposit’s grades at a local and global scale without observing an excessive degree of smoothing.
Figure 11-8. Swath Plots for Iodine Torcaza
torcazayodo.jpg

Figure 11-9. Swath Plots for Nitrate Torcaza
torcazanitrato.jpg

Commentaries
From the analysis carried out, the following is concluded:
⮚There is a slight anisotropy.
⮚Vary the search ellipse, between 120 and 300 m provides very little to cross-validation, this mainly being a spatial structure where the first structure (which is the one that contributes the most to the variance) is of short scope and the second contributes very little to the total variance of the variogram its effect is minimal.
⮚There is an improvement in search levels of the order of 160 m mainly in the effect this has on standardized error.
SQM TRS Nueva Victoria
Pag. 124


⮚The similarity levels of the model respect the levels of similarity present in the samples of the drilling at a high level, this happens for both Iodine and Nitrate.
⮚The correlation indices present in the original data between Iodine and Nitrate, are keep in the block model.
⮚The model presents a slight optimism and underestimates in a very uninfluential way local uncertainty, both at the data level and at the distribution function level Theoretical.
⮚The average of the analyzed region presents, at the level of samples, an average value of iodine of 244 ppm and at block level 243 ppm.
⮚The average of the analyzed region presents, at level of samples an average nitrate of 3.4% and at block level 3.4%.
⮚The cross-validation is of good quality with a high degree of robustness.
⮚The model accurately represents the grades of the deposit in blocks of 25 x 25 x 0.5 both in Iodine and Nitrate. Presenting a slight optimism and very little influential underestimation of Local uncertainty

SQM TRS Nueva Victoria
Pag. 125


11.1.7.2 Visual Validation
To visually validate the Iodine and Nitrate estimation, the QP completed a review of a set of cross-sectional and plant view. The validation shows a suitable representation of samples in blocks. Locally, the blocks match the estimation samples both in cross-section and plant view. In general, there is an adequate match between composite data block model data for Iodine and Nitrates grades. High grades areas are suitably represented, and high-grade samples exhibit suitable control.
Figure 11-10 to Figure 11-17 present a series of horizontal plant views with the estimated model and the samples for Nitrate and Iodine in Franja Oeste, Hermosa, Hermosa Oeste and Mina Oeste.

Figure 11-10. Visual Validation of Iodine Estimation, Plan View Franja Oeste
image8.jpg















SQM TRS Nueva Victoria
Pag. 126


Figure 11-11. Visual Validation of Nitrate Estimation, Plan View Franja Oeste
image11.jpg
























SQM TRS Nueva Victoria
Pag. 127


Figure 11-12. Visual Validation of Iodine Estimation, Plan View Hermosa

image1.jpg

























SQM TRS Nueva Victoria
Pag. 128


Figure 11-13. Visual Validation of Nitrate Estimation, Plan View Hermosa
image6.jpg

























SQM TRS Nueva Victoria
Pag. 129


Figure 11-14. Visual Validation of Iodine Estimation, Plan View Hermosa Oeste
image5.jpg
























SQM TRS Nueva Victoria
Pag. 130


Figure 11-15. Visual Validation of Nitrate Estimation, Plan View Hermosa Oeste
image9.jpg


























SQM TRS Nueva Victoria
Pag. 131



Figure 11-16. Visual Validation of Iodine Estimation, Plan View Mina Oeste

image10.jpg
























SQM TRS Nueva Victoria
Pag. 132


Figure 11-17. Visual Validation of Nitrate Estimation, Plan View Mina Oeste

image3.jpg

11.1.8Polygon Mineral Resource Evaluation
This subsection contains forward-looking information related to the establishment of the economic extraction prospects of Mineral Resources for the Project. Material factors that could cause actual results to differ materially from the conclusions, estimates, designs, forecasts or projections in the forward-looking information include any material difference from one or more of the material factors or assumptions set forth in this subsection, including cut-off profit assumptions, cost forecasts and product price forecasts.
For the sectors with a drill hole spacing grid greater than 200 x 200 m up to 400 x 400 m, the Mineral Resource evaluation was performed at the Polygon Method. Table 11-9 shows the parameters used to define the polygon with economic potential in Nueva Victoria.
Table 11-9. Economic and Operational Parameters Used to Define Economic Intervals for each Drill Hole in Nueva Victoria
Parameter Value
Mantle thickness More than 2.0 m
Cover thickness Less than 3.0 m
Waste/Mineral Ratio Less than 1.0

SQM TRS Nueva Victoria
Pag. 133




These parameters are the inputs that calculates for each polygon the economic potential which then are converted to tonnage using the multiplication of polygon area, thickness, and density (2.1 g/cc).

11.2.MINERAL RESOURCE ESTIMATE
This sub-section contains forward-looking information related to Mineral Resources estimates for the Project. The material factors that could cause actual results to differ materially from the conclusions, estimates, designs, forecast or projections in the forward-looking information include any significant differences from one or more of the material factors or assumptions that were set forth in this sub-section including geological a grade interpretations and controls and assumptions and forecast associated with establishing the prospect for economic extraction.
Table 11-10. summarizes The Mineral Resources estimate, exclusive of reserves, for nitrate and iodine in Nueva Victoria.
Table 11-10. Mineral Resource Estimate, Exclusive of Mineral Reserves, as December 31, 2024
Nueva Victoria Inferred Resource Indicated Resource Measured Resource
Tonnage (Mt) Nitrate (%) Iodine (ppm) Tonnage (Mt) Nitrate (%) Iodine (ppm) Tonnage (Mt) Nitrate (%) Iodine (ppm)
Franja Oeste 16.0 3.9 401 12.6 2.2 251 21.1 3.5 282
Hermosa 46.6 5.1 169
Hermosa Oeste 17.0 4.7 387 9.6 4.9 267 18.3 3.8 230
Mina Norte 14.7 2.5 272
Mina Oeste 50.9 2.8 180
Mina Sur 12.6 3.0 274
TEA Sur 5.9 2.5 249
TEA Unificado 37.2 3.8 241
TEA Oeste 13.0 3.8 307 7.9 3.5 265
Torcaza 7.8 2.7 197
Engañadora 6.1 4.3 252
Cocar 5.1 7.3 302
Los Angeles 9.3 7.9 331
TEA Oeste 1.1 4.0 397
Total 48.5 5.3 372 41.4 3.6 272 223.1 3.6 218
Notes:
(a)Mineral Resource are not Mineral Reserves and do not have demonstrated economic viability. There is no certainty that all or any part of the Mineral Resources will be converted into Mineral Reserves upon the application of modifying factors.
(b)Mineral Resources are reported as in-situ and exclusive of Mineral Reserves, where the estimated Mineral Reserve without processing losses during the reported LOM was subtracted from the Mineral Resources inclusive of Mineral Reserves.
(c)Comparisons of values may not add due to rounding of numbers and the differences caused by used of averaging methods.
(d)The units “Mt”; %, and “ppm” refer to million tons, weight percent, and parts per million respectively.
SQM TRS Nueva Victoria
Pag. 134


(e)The Mineral Resource estimate considers as well as caliche thickness ≥ 2.0 m and overburden thickness ≤ 3.0 m. The mean iodine grade considers the cost and medium-and long-term price forecast of generating iodine as discussed in Section 11, 16 and 19 of this TRS.
(f)As the mineral resources estimation process is reviewed and improved each year, mineral resources could change in terms of geometry, tonnage, or grades.
(g)Marco Fazzi and Freddy Ildefonso are the QP responsible for the Mineral Resources.

11.3MINERAL RESOURCE CLASSIFICATION
This sub-section contains forward-looking information related to Mineral Resources classification for the Project. The material factors that could cause actual results to differ materially from the conclusions, estimates, designs, forecast or projections in the forward-looking information include any significant differences from one or more of the material factors or assumptions that were set forth in this sub-section including geological and grade continuity analysis and assumptions.
The Mineral Resources classification defined by SQM is based on drill hole spacing grid:
⮚Measured Resources were defined using the drill holes grids greater than the 50 x 50 m and up to 100 x 100 m, which allows to delimit with a significant level of confidence the dimensions, mantle thickness and grades of the mineralized bodies as well as the continuity of the mineralization. Variability and uncertain studies carried out by SQM show a relative estimation relative error less than 5%.
⮚Indicated Resources were defined using drill holes grids greater than the 100 x 100 m and up to 200 x 200 m, which allows to delimit with a reasonable level of confidence the dimensions, mantle thickness, tonnage, and grades of the mineralized bodies. Variability and uncertain studies carried out by SQM show a relative estimation relative error less than 8%.
⮚Inferred Mineral Resources were defined using drill holes grid greater than the 200 x 200 m and up to 400 x 400 m. When prospecting is carried out in districts or areas of recognized presence of caliche, or when the drill hole grids is accompanied by some prospecting in a smaller grid, confirming the continuity of mineralization, it is possible to anticipate that such resources have a sustainable base to give them a reasonable level of confidence, and therefore, to define dimensions, mantle thickness, tonnages, and grades of the mineralized bodies. The information obtained is complemented by the surface geology the definition of UGs.

11.4MINERAL RESOURCE UNCERTAINTY DISCUSSION
Mineral Resource estimates may be materially affected by the quality of data, natural geological variability of mineralization and/or metallurgical recovery and the accuracy of the economic assumptions supporting reasonable prospects for economic extraction including metal prices, and mining and processing costs.
Inferred Mineral Resources are too speculative geologically to have economic considerations applied to them to enable them to be categorized as Mineral Reserves.
Mineral Resources may also be affected by the estimation methodology and parameters and assumptions used in the grade estimation process including top-cutting (capping) of data or search and estimation strategies although it is the QP’s opinion that there is a low likelihood of this having a material impact on the Mineral Resource estimate.
11.5ASSUMPTIONS FOR MULTIPLE COMMODITY MINERAL RESOURCE ESTIMATE

For Nueva Victoria, resources depend on a cut-off benefit envelope > 0.1.
SQM TRS Nueva Victoria
Pag. 135


11.6QUALIFIED PERSON’S OPINION ON FACTORS THAT ARE LIKELY TO INFLUENCE THE PROSPECT OF ECONOMIC EXTRACTION
As Nueva Victoria is an active mine with more than 20 years of operational experience and data, it is the QP’s opinion that the relevant technical and economic factors necessary to support economic extraction of the Mineral Resource have been appropriately accounted for at the Mine.
The QP is not aware of any environmental, permitting, legal, title, taxation, socioeconomic, marketing, political or other relevant factors that could materially affect the Mineral Resource Estimate that are not discussed in this Technical Report.
SQM TRS Nueva Victoria
Pag. 136


12MINERAL RESERVE ESTIMATE
12.1ESTIMATION METHODS, PARAMETERS AND METHODS
This sub-section contains forward-looking information related to the key assumptions, parameters, and methods for the Mineral Reserve estimates for the Project. The materials factors that could cause actual results to differ materially from the conclusion, estimates, designs, forecast or projection in the forward-looking include any significant differences from one or more of the material factors or assumptions that were set forth in this sub-section including Mineral Resource model tons and grade and mine design parameters.
Mineral Reserves estimates are based on sample grades obtained from drill holes executed with reverse air drilling rigs in 200 x 200 m, 100 x 100 m, 100 T m (100 x 50 m) and 50x50 m grid spacing.
Measured Resources are evaluated from 3D blocks built by numerical interpolation techniques (Ordinary Kriging), where nitrate, iodine, and soluble salt content information available from data obtained in drill hole grids with a spacing equal to or less than 100 x 100 m.
Indicated Resources are evaluated from 3D blocks built by Inverse Distance Weighted (IDW) interpolation technique and defined by drill hole spacing of 200 x 200 m.
Mineral Reserves considers SQM’s criteria for the mining plan which includes to the following:
⮚Caliche Thickness ≥ 2.0 m
⮚Waste / Mineral Ratio ≤ 1
⮚Cut-off benefit ≥ 3 USD/t .
⮚Mineral Reserves have a restriction on sectors with slopes of no more than 8%.
⮚The average production cost for iodine prill corresponds to 21.5 USD/kg and the sales price for Iodine derivatives is 42.0 USD/kg. For nitrate concentrate brine1, the price for nitrate derivatives is average 101 USD/kg.
The mining sectors consider in the mining plans (see figure 12-1) are delimited in base of the environmental licenses obtained by SQM and a series of additional factors (layout of main accesses, heap and ponds locations, distance to treatment plants, etc.). Mining is executed in blocks of 25 x 25 m and the volumes of caliche to be extracted are established considering an average density value applied to 2.1 t/m³ for the deposit.
Using these criteria SQM estimated volumes (caliche) to be considered as Proven Reserves based on the 3D block models built, to define Measured Mineral Resources, and applying the criteria defined above to determine the mining plan.
The Indicated Resources estimated by Inverse Distance Weighted method using the Nitrate and Iodine grades and other relevant data obtained from medium density drill hole prospecting grids (200 x 200 m) are stated as Probable Reserves using the same criteria for mineral reserves describes above, caliche and overload thickness and cut benefit (> 3 USD/t).



SQM TRS Nueva Victoria
Pag. 137


Figure 12-1 Map of Reserves Sectors in Nueva Victoria
fig_12x2.jpg

12.2CUT-OFF BENEFIT
SQM has historically used an iodine cut-off grade of 300 ppm, for this year it considers an Cut-off Benefit (BC), to maximize the economic value of each block.

This method generates an optimal economic envelope for each pampa for a cutoff benefit (USD/Ton of mineral) greater than 0.1. In each pampa, the following must be considered:

• The accumulated benefit per ton of mineral in the column must be greater than or equal to the cut-off benefit.

• The last block in the column where the previous condition is met must have a value per ton greater than or equal to the cutoff benefit; otherwise, a vertical search is performed upwards.
SQM TRS Nueva Victoria
Pag. 138


12.3CLASSIFICATION AND CRITERIA
This sub-section contains forward-looking information related to the Mineral Reserve classification for the Project. The material factors that could cause actual results to differ materially from the conclusions, estimate, designs, forecast or projections in the forward-looking information include any significant differences from one or more of the material factors or assumptions that were set forth in this sub-section including Mineral Resources model tons, grade, and classification.
The geological features of the mineral deposits (sub-horizontal, superficial and limited thickness) allow to consider all the Mineral Reserves, because, regardless, the method of mining extraction used by SQM (drill & blast, Surface mining), the entire volume/mass of Proven and Probable Reserves can be extracted.
Any mining block (25x25 m) that can´t be extracted due to temporary infrastructure limitations (pond, pipes, roads, etc.), are still counted as Mineral Reserves since they may be mined once the temporary limitations are removed.
Proved Reserves have been determined based on Measured Resources, are classified as describe in Section 11.3 with modifying factors, as described in Section 12.1 and Section 12.2 .
Probable Reserves has been determined from Indicated Resources, which are classified as described in Section 11.3. Additional criteria as described in Section 12.1 and Section 12.2 .
12.4MINERAL RESERVES
This sub-section contains forward-looking information related to the Mineral Reserve estimates for the Project. The material factors that could cause actual results to differ materially from the conclusions, estimate, designs, forecast or projections in the forward-looking information include any significant differences from one or more of the material factors or assumptions that were set forth in this sub-section including Mineral Resources model tons and grade, modifying factors including mining and recovery factors, production rate and schedule, mining equipment productivity, commodity market and prices and projected operating and capital costs.
Nueva Victoria mine is divided into three sectors: Nueva Victoria, Tente en el Aire (TEA) and Hermosa. Each sector is further subdivided into exploitation sub-sectors (see Figure 12-1).
The Nueva Victoria Sector contains the following sectors:
⮚Mina Sur, Mina Oeste, Mina Norte, Oeste 3, Lobo, las Salinas, Torcaza , Iris Vigía and Franja Oeste;
The Tente en el Aire (TEA) Sector (Central Sector) contains the following sub-sectors:
⮚TEA Oeste, TEA Sur, TEA Central, TEA Unificado, Fortuna, Pampa Engañadora and Cocar;
Finally, the Hermosa Sector (North and NE Sector):
⮚Hermosa, Hermosa Oeste and Coruña
SQM extracts “caliches” from these sectors within areas having environmental license currently approved by the Chilean authorities. Soon, SQM plans to obtain additional environmental licenses to extend the mining into the TEA sector.
SQM exploits caliche at a rate of up to 37,000 ktpy for Nueva Victoria plant site (Exempt Resolution N°0515/2012), and a rate of up to 28,000 ktpy for TEA Project (Exempt Resolution 0047/2022), which implies a caliche production of 65,000 ktpy of caliche extraction in Nueva Victoria.
In 2024 caliche mining production targeted 49.2 Mt of Proved Reserves2 with an iodine grade averaging 416 ppm I2 and nitrate salts of 5.17% NaNO3.
SQM's Mining Plan for 2025-2040 (Nueva Victoria-SQM Industrial Plan) sets a total extraction of 858 Mt of caliche with production ranging between 48 Mt and 54 Mt. 90% (772 Mt) of this material will be extracted by blasting and 10% (85.8 Mt) by surface mining. Iodine average grade is 327 ppm and Nitrate average grade is 4.9% for the long term of mine (LP).
SQM TRS Nueva Victoria
Pag. 139


2 The Five-Year Mining Plan (5YP) in Nueva Victoria mine is defined by the exploitation of Proved Reserves. Every year SQM execute a plan to re-categorization the prospecting grid used to define indicate Resources (100 x 100 m or 200 x 200 m) to convert these to Measured Resources using a higher density drill hole spacing grid (100 T m or 50 x50 m).

The criteria for estimating Mineral Reserves are as described below:
⮚Measured Mineral Resources defined by 3D Model block and ordinary Kriging using data from high resolution drill hole spacing campaigns (100 x 100 m, 100T m or 50 x 50 m) are used to establish Proven Mineral Reserves.
⮚Indicated Mineral Resources defined by 3D Model Block an Inverse Distance Weighted using data from medium resolution drill hole spacing campaigns (200 x 200 m) are used to establish Probable Mineral Reserves.
⮚All the prospected sectors at Nueva Victoria have an environmental license to operate, considering the mining method used by SQM (drill-and-blast and SM) and the treatment by heap leach structures to obtain enriched brines of iodine and nitrates.
The modifying factors are considered herein. All permits are current and although there are no formal agreements, the operations have longstanding relationships with the communities, some of which are company towns. Mining, processing, downstream costs, mining loss, dilution, and recoveries are accounted for in the operational cut-off grade. As the project has been in operation since 2002, the risks associated with operating costs and recoveries are considered minimal.
Based on the described rules for resources to reserves conversion and qualification, the Proven Mineral Reserves and Probable Mineral Reserves of Nueva Victoria has been estimated as shown in Table 12-1 summarizes the estimated Mineral Reserves in the different sectors investigated by SQM in the Nueva Victoria mine.
Table 12-1 Mineral Reserves at the Nueva Victoria Mine (Effective 31 December 2024)
Proven Reserves Probable Reserves Total Reserves
Tonnage (Mt) 781.4 254.4 1,035.83
Iodine Grade (ppm) 302.7 366.3 318.3
Nitrate Grade (%) 4.5 5.7 4.8
Iodine (kt) 237 93 330
Nitrate (kt) 3.5 2 2
Notes:
a)The Mineral Reserves are based on a Cut-off Benefit (BC) greater than 3 USD/t, a caliche thickness ≥ 2.0 m. and a restriction of sectors with slopes not greater than 8%.
b)Proven Mineral Reserves are based on Measured Mineral Resources at the criteria described in (a) above.
c)Mineral Reserves are declared as in-situ ore (caliche).
d)The units “Mt”, “kt”, “ppm” and % refer to million tons, kilotons, parts per million, and weight percent respectively.
e)Mineral Reserves are based on a Nitrate price of 323 USD/ton and an Iodine price of 42.0 USD/Kg. Mineral Reserves are also based on economic viability as demonstrated in an after-tax discounted cashflow (see Section 19).
f)Marco Fazzi is the QP and Freddy Ildefonso are responsible for the Mineral Reserves.
g)The QP is not aware of any environmental, permitting, legal, title, taxation, socioeconomic, marketing, political or other relevant factors that could materially affect the Mineral Reserve estimate that are not discussed in this TRS.
SQM TRS Nueva Victoria
Pag. 140


h)Comparisons of values may not total due to rounding of numbers and the differences caused by use of averaging methods.
The final estimates of Mineral Reserves by sector are summarized in the Table 12-2. The procedure used to check the estimates as follows:
⮚Verified tonnage and average grades (iodine and nitrate) as Mineral Reserves by sectors with the measured and indicated resources previously analyzed (Section 11).
⮚Checked that the sectors with estimated Mineral Reserves by SQM are in areas with environmental licenses approved by the Chilean authorities while also considering application of modifying factors.
⮚Confirmed that each sector with Mineral Reserves is considered in the Long Term mine plan (2025-2040) and the total volume of mineral ore (caliche) is economically mineable.
⮚Considered the judgment of the Qualified Person in respect of the technical and economic factors likely to influence the prospect of economic extraction.
Table 12-2 Reserves at the Nueva Victoria Mine by Sector (Effective 31 December 2024)

Sector Proved Reserve Proved Reserve Total Reserve
Tonnage (MTon) Nitrate
(%)
Iodine (ppm) Tonnage(MTon) Nitrate
(%)
Iodine (ppm) Tonnage(MTon) Nitrate
(%)
Iodine (ppm)
Franja Oeste 59.7 3.8 329 24.0 2.8 319 83.7 3.5 326
Hermosa 199.4 6.1 271 199.4 6.1 271
Hermosa W 69.9 4.6 306 59.3 6.2 347 129.1 5.3 325
Mina Norte 68.4 3.3 334 68.4 3.3 334
Mina Oeste 126.0 3.9 290 126.0 3.9 290
Mina Sur 45.5 3.4 330 45.5 3.4 330
TEA Sur 10.8 3.0 311 10.8 3.0 311
Tea Unificado 152.7 4.4 316 152.7 4.4 316
TEA W 24.5 3.8 351 33.1 3.9 380 57.6 3.9 368
Torcaza 24.6 3.5 281 24.6 3.5 281
Engañadora 23.1 4.4 316 23.1 4.4 316
Cocar 23.0 8.0 405 23.0 8.0 405
Coruña 37.0 5.8 411 37.0 5.8 411
Fortuna 27.0 8.4 350 27.0 8.4 350
Iris Vigia 9.0 3.6 401 9.0 3.6 401
Oeste 3 15.0 5.9 402 15.0 5.9 402
TEA Central 4 6.5 375 4.0 6.5 375
TOTAL 781.4 4.5 303 254.4 5.7 366 1035.8 4.8 318

Exploitation sector of Nueva Victoria comprises:
Mina Oeste, Mina Sur, Mina Norte, Oeste 3, Iris Vigía, Torcaza and Franja Oeste (see ubication in the Figure 12-1 Map of Reserve Sectors in Nueva Victoria).
Exploitation sector of Tente en el Aire (TEA) includes:
SQM TRS Nueva Victoria
Pag. 141


TEA Oeste, TEA Sur, TEA Central , TEA Felipe, Fortuna, Pampa Engañadora and Cocar (see ubication in the Figure 12-2 (Map of Reserve Sectors in Nueva Victoria).
Exploitation sector of Hermosa considers:
Hermosa, Hermosa Oeste, and Coruña (see ubication in the Figure 12-1 Map of Reserve Sectors in Nueva Victoria).

12.5QUALIFIED PERSON’S OPINION
The estimate of mineral reserves is based on Measured and Indicated Mineral Resources. This information has been provided in reference to Nueva Victoria. The Competent Person has audited the mineral resource estimate and modifying factors to convert the measured and indicated resources into proven and probable reserves.
The Competent Person has also reconciled mineral reserves with production and indicates that such reserves are appropriate for use in mine planning.
SQM TRS Nueva Victoria
Pag. 142


13MINING METHODS
SQM provided with production forecasts for the period from 2025 to 2040 (Mining Plan MP). This Mining Plan was checked that the planned exploitation sectors had environmental licenses approved by the Chilean authorities; the total tonnage and average Iodine and Nitrate grades were consistent with estimated Mineral Reserves; the total volume of mineral ore (caliche) is economically mineable and the production of prilled Iodine and Brine Nitrate Concentrate (Brine Nitrate) set by SQM is attainable, considering the dilution and mass losses for mining and recovery factors for leaching and processing.
Mining at the Nueva Victoria mine comprises soil and overload removal, mineral extraction from the surface, loading and transport of the mineral (caliche) to make heap leach pads to obtain iodine and nitrate-enriched solutions (brine leach solution).
Mineralization can be described as stratified, sub-horizontal, superficial (≤ 5.0 m), and limited thickness (3.0 m average). The extraction process of the mineral is constrained by the tabular and superficial bedding disposition of the geological formations that contain the mineral resource (caliches). This mining process has been approved by local mining authorities in Chile (SERNAGEOMIN)3. Generally, extraction consists of a few meters’ thick excavation (one continuous bench of up to 6.0 m in height (overburden + caliche) where the mineral is extracted using traditional methods - drilling and blasting and a SM. Extracted ore is loaded by front loaders and/or shovels and transported by rigid hopper mining trucks to heap leach structures.
The concentration process starts with leaching in situ by means of heap leach pads irrigated by drip/spray to obtain an iodine and nitrate enriched solution that is sent to treatment plants to obtain the final products. The mining and extraction process is summarized in Table 13-1.
3 SERNAGEOMIN Resolution 1469/2005 of June 30, 2005 ("Ordinance for Regularization of Mine Exploitation Method and mineral treatment and expansion of Nueva Victoria mine and iodide plant"); updated by SERNAGEOMIN Resolution 0515/2012 of November 29, 2012, in accordance with Article 22 of D.S. No. 132/04, Ministry of Mining, Mining Safety Regulations).
Table 13-1. Summary of Nueva Victoria-SQM caliche mine characteristics
Mining System Opencast with a single and continuous bench with a height of up to 6 m
Drilling Atlas Copco Model Smart T45 ans SANDVIK DP1500
Blast Mining (Explosive) ANFO, detonating cord, 150 gr APD booster and non-electric detonators.
Power factor 0.365 kg/ton
Surface Mining Surface excavator (tractor with cutting drum)
Loading and Transportation
Front loaders (12 to 14 m3), 100 to 150 t trucks (60 m3 to 94 m3 capacity)
Topsoil Stripping (overburden removal)
0.15 m3 of soils and overburden / ton of caliche
Caliche Production 140,000 tons per day (tpd)
Dilution Factor ± 10 ppm Iodine (< 2,5%)
Recovery Factor 56% of Iodine and 52% of Nitrate (2008 - 2022 period)
Heap Leaching Water Consumption
0.39 to 0.60 m3/ ton leached caliche (2008 - 2022 period)
Sterile(a) / Ore Mass Ratio
1 t: 8 t
(a)This material is used by SQM to build the base of the heap pads. The final volume of waste material is negligible.
13.1GEOTECHNICAL AND HYDROLOGICAL MODELS, AND OTHER PARAMETERS RELEVANT TO MINE DESIGNS AND PLANS
This sub-section contains forward-looking information related to mine design for the Project. The material factors that could cause actual results to differ materially from the conclusions, estimates, designs, forecasts, or projections in the forward-looking information include any significant differences from one or more of the material factors or assumptions that were set forth in this sub-section.
SQM TRS Nueva Victoria
Pag. 143


Mining at Nueva Victoria is relatively simple, as it is only necessary to remove a surface layer of sterile material (soil + overburden) up to 1.0 m thick (sandstone, breccia, and anhydrite crusts), which is removed. Subsequently the ore (caliche) is extracted, which has a thickness of 2.0 to 6.0 m (average of 3.0 m). Caliche's geotechnical characteristics (Polymictic Sedimentary Breccia) allow a vertical mining bench face, allowing increased efficiency in the exploitation of the mining resources.
The mining conditions do not require physical stability analysis of the mining working face; therefore, no specific geotechnical field investigations and designs are required. One single final bench of about 4.70 m average height (1.0 m of soil + overburden and 3.2 m of caliche) is typical of the operations (Figure 13-1).
Figure 13-1. Stratigraphic Column and Schematic Profile, and Schematic Mining Process in Nueva Victoria Caliche Mine
image_139.jpg
Due to its practically non-existent surface runoff and surface infiltration (area with very low rainfall) and its shallow mining depth, the water table is not reached during excavation. Therefore, no surface water management and/or mine drainage plans are required to control groundwater and avoid problems arising from the existence of pore pressures.
Therefore, this mining operation does not require detailed geotechnical, hydrological, and hydrogeological models for its operation and/or mining designs and mining plans.
Two methods are used in the mining operation: blasting and surface mining. The selection of the method to be used in each sector depends on a variable defined by the hardness of the caliche to be excavated and its proximity to infrastructure, where there may be a potential risk of blasting damage.
SQM TRS Nueva Victoria
Pag. 144


The hardness is established during geological surveys and exploration and relates to the following qualitative technical criteria as judged by the geologist in the field from boreholes:
⮚Caliche drilled borehole section that exhibits collapse and/or roughness in diameter is rated as Soft (Hardness 1) or Semi-Soft (Hardness 2).
⮚Borehole section drilled in caliche that exhibits a consistent and smooth borehole diameter is rated as Hard (Hardness 3).
⮚This parameter is included in the block model and is used in decision-making on mining and heap leach shaping.
Extracted mineral is stockpiled in heaps located in same general area of exploitation. Heap leach pads are constructed in previously mined-out areas. The pads are irrigated to leach the target components (iodine and nitrates) by aqueous dissolution (pregnant brine solution).
SQM has analyzed heap leach stability4 to verify the physical long-term stability of these mining structures under adverse conditions (maximum credible earthquake). Geomechanical conditions analyzed for heap leaching facilities that are already closed have been considered, which have the following characteristics:
⮚Wet density of 20.4 kilonewtons per cubic meter (kN/m³).
⮚Internal friction angle of 32º.
⮚Cohesion of 2.8 kPa.
A graded compacted material is used to support the liner on which the piles rest. The specification is based on experience and is generally defined by a wet density of 18.5 kN/m³, an angle of friction (𝜙) of 38° and no cohesion. Between the soil base and heap material there is an HDPE sheet that waterproofs the heap leach pad foundation. The interface between geomembrane HDPE and the drainage layer material is modelled as a 10 cm thick layer of material and a friction angle 𝜙 = 25° is adopted, which represents generated friction between the soil and the geomembrane.
Maximum acceleration value for the maximum credible earthquake is set at 0.86 G (G = 9.8 m/s2) and for the design earthquake it is set at 0.35 G.
The horizontal seismic coefficient (Kh) was set through expressions commonly used in Chile and the vertical seismic coefficient (Kv) was set according to NCh 2369 Of. 2003, as 2/3 of the horizontal coefficient. Therefore, in the stability analysis of heaps, a Kh value of 0.21 and Kv of 0.14 was used for the maximum credible earthquake; and a Kh of 0.11 and Kv of 0.07 were used for the design earthquake.
4INFORME TÉCNICO ANÁLISIS DE ESTABILIDAD DE TALUDES PILAS 300 Y 350. SQM N° 14220M-6745-800-IN-001. PROCURE Servicios de Ingeniería (21146-800-IN-001), May 2021.
The stability analysis was executed using the static dowel equilibrium methodology (Morgenstern-Price Limit Equilibrium method) and GeoStudio’s Slope software, with results that comply with the minimum Factor of Safety criteria.
Based on the analysis developed in this document, it is possible to draw the following conclusions (Table 13-2 and Figure 13-2):
⮚The slopes of the heaps analyzed in their current condition are stable against sliding.
⮚None of the heaps will require slope profiling treatment after closure.
SQM TRS Nueva Victoria
Pag. 145


Table 13-2. Summary Results of Slope Stability Analysis of Closed Heap Leaching (Nueva Victoria)
Heap pad Number
Static case (FS adm = 1,4)
Pseudo-static design earthquake
(FS adm = 1,2)
Pseudo-static maximum credible earthquake
 (FS adm = 1,0)
300 1.93 1.42 1.09
350 1.91 1.42 1.1
Figure 13-2. Geotechnical Analysis Results: Heap #300, Hypothesis Maximum Credible Earthquake
image_141.jpg
TECHNICAL REPORT ‘’ANÁLISIS DE ESTABILIDAD DE TALUDES PILAS 300 Y 350’’. Document SQM N° 14220M-6745-800-IN-001. PROCURE Servicios de Ingeniería (21146-800-IN-001), May 2021.
13.2PRODUCTION RATES, EXPECTED MINE LIFE, MINING UNIT DIMENSIONS, AND MINING DILUTION AND RECOVERY FACTORS
The MP considers a total caliche extraction of 858 Mt, with a production growing from 48 Mtpy to 54 Mtpy, as shown in Table 13-3. For the MP total caliche to be extracted is projected to have iodine grades ranging between 313 to 362 ppm and nitrate grades between 4.6% and 5.6%.
With an average Iodine grade of 327 ppm, gross iodine prill production is estimated to be at 34.2 tpd (12,481 tpy of iodine). Likewise, for a Nitrate average grade of 4.9%, average Nitrate salts for fertilizer production is estimated to be at 2,540.9 tpd (927 ktpy of nitrate salts for fertilizer).
The mining area extends over an area of 40 km x 50 km (see Figure 12-2). The mining sequence is defined based on the productive thickness data established for caliche from geological investigations, approved mining licenses exist, distances to treatment plants and ensuring that mineral is not lost under areas where infrastructure is planned to be installed (heap bases, pipelines, roads, channels, trunk lines, etc.) Areas with future planned infrastructure are targeted for mining prior to establishing these elements or mined after the infrastructure is demobilized.
Mineral Reserves considers SQM's criteria for the mining plan which includes the following:
⮚Caliche Thickness ≥ 2.0 m.
⮚Slope ≤ 8.0%.
⮚Waste / Mineral Ratio ≤ 1.0
⮚Cut-off benefit ≥ 3.0 USD/t.
SQM TRS Nueva Victoria
Pag. 146


In addition to the above-mentioned operational parameters, the following geological parameters are also considered for determining the mining areas:
⮚Lithologies.
⮚Hardness parameters.
⮚Total salts (caliche salt matrix) which impact caliche leaching.
⮚Total salts elements (majority ions) which impact caliche leaching.
GPS control over the mining area floor is executed during mining to minimize dilution of the target iodine and nitrate grades.

SQM TRS Nueva Victoria
Pag. 147



Table 13-3. Mining Plan (2025-2040)

MATERIAL MOVEMENT UNITS 2025 2026 2027 2028 2029 2030 2031-2040 TOTAL
Nueva Victoria Sector Ore Tonnage Mt 48 54 54 54 54 54 540 858
Iodine (I2) in situ ppm 362 362 357 351 343 338 313 327
Average grade Nitrate Salts (NaNO3) % 5.6% 5.6% 5.6% 5.5% 5.5% 5.4% 4.6% 4.9%
TOTAL ORE MINED (CALICHE) Mt 48 54 54 54 54 54 540 858
Iodine (I2) in situ kt 17 20 19 19 19 18 169 280.8
Yield process to produce prilled Iodine % 66.0% 67.0% 74.9% 74.7% 74.3% 73.8% 68.8% 70.0%
Prilled Iodine produced kt 11.5 13.1 14.4 14.2 13.7 13.5 116.2 196.6
Nitrate Salts in situ kt 2,688 3,024 3,008 2,999 2,962 2,921 24,695 42,297
Yield process to produce Nitrates % 40.0% 40.0% 40.0% 40.0% 39.0% 38.0% 32.0% 35.1%
Nitrate production from Leaching kt 1,075 1,210 1,198 1,185 1,157 1,122 7,892 14,839
Ponds Yield to produce Nitrates Salts % 100.0% 100.0% 100.0% 100.0% 100.0% 100.0% 100.0% 100.0%
Nitrate Salts for Fertilizers kt 1,075 1,210 1,198 1,185 1,157 1,122 7,892 14,839
SQM TRS Nueva Victoria
Pag. 148


Grade dilution from mining is estimated to be less than 2.5% (± 10 ppm iodine) and less than 2.3% for nitrate (± 0.12% nitrate). During the caliche mining process, as the mineralized thicknesses are low (≤ 5.0 m), there is a double effect on the mineralized mantle floor resulting from the blasting process: with the inclusion of underlying material as well as over-excavation. These tend to compensate, with dilution or loss of grade is minor or negligible (± 10 ppm for Iodine).
The excavation depth is controlled by GPS on the loading equipment. SQM considers a planned mining recovery of 90%, (average value for MP 2025-2040).
The processes of extraction, loading and transport of the mineral (caliche) include:
⮚Surface layer and overburden removal (between 0.5 to 1.0 m thick) that is deposited in nearby mined out or barren sectors. This material is used to build the base of the heap leaching structures.
⮚Caliche extraction, to a maximum depth of 6 m, using explosives (drill and blast), or surface excavator (SM type Terrain Leveler SEM).
Blasting is performed to achieve good fragmentation, good floor control, ore sizes suitable for the loading equipment, and to avoid further handling (20% of fragments below 5.0-6.0 cm, 80% of fragments below 37.0 cm, and maximum diameter of 100 cm).
SMs are used to mine areas that are close to infrastructure that can be damaged by blasting, to extract softer caliche areas and to obtain a more homogenous granulometry of mineral extracted, which generates better recovery rates in the iodine and nitrate leaching processes. In addition, it generates less dust emission than drill and blast. The decision to use a miner versus drill & blast is based on simple compressive strength parameters of the rock (up to 35 megapascals [MPa]), to limit material abrasiveness, as well as the presence of caliche clasts.
This equipment allows mineral fragmentation through the rotation of the cutting drum with iron tips reinforced with tungsten alloy, which crushes the mineral to obtain an average and homogeneous size of approximately 15.0 cm (20% below 3.5 cm, 80% below 15.0 cm and Dmax 45.0 cm, as average values). The drum is located at the back of the machine, which enables the cutting of mineral while the crawler tracks remain on the ground so as not to damage the crushed material.
⮚Caliche loading, using front-end loaders and/or shovels.
⮚Transport of the mineral to heap leach pads, using mining trucks (rigid hopper, 100 t to 150 t).
Heap leach pads (Figure 13-3) are built to accumulate a total of 1 Mt, with heights between 7 to 15 m and crown area of 65,000 m2 .
Figure 13-3. Pad Construction and Morphology in Nueva Victoria Mine (caliches)
image_142.jpg
image_143.jpg
SQM TRS Nueva Victoria
Pag. 149


Physical stability analysis performed by SQM reports that these heaps are stable in the long term (closed heaps) and no slope modification is required for closure.
Fragmented material from surface mining comes to heaps separate from the ROM ones.
There are several stages in the heap construction process:
⮚Site preparation and construction of the heap base and perimeter parapets to facilitate collection of the enriched solutions.
The base of the heaps has an area of 84,000 m² and a maximum cross slope of 2.5% to facilitate the drainage of solutions enriched in iodine and nitrate salts.
Heap base construction material (0.4 m thick) comes from the sterile material and is roller-compacted to 95% of normal proctor (moisture and/or density is not tested on site).
An HDPE, waterproof geomembrane is laid on top of this base layer.
To protect the geomembrane, a 0.5 m thick layer of barren material is placed on top (to avoid damage to the membrane by ROM/SM fragments stored in the heap).
⮚Heap pad loading by high-tonnage trucks (100 to 150 t). The leach pads are built in two lifts each 3.25 m high, on average. The average high of a heap pad is 6.5 m.
⮚Impregnation, which consists of an initial wetting of the heap with industrial water, in alternating cycles of irrigation and rest, for a period of 60 days. During this stage the pile begins its initial solution drainage (brine)
⮚Continuous irrigation until leaching cycle is completed in the following stages:
•Irrigation Intermediate Brine: stage where first pass solutions are cycled through the oldest half of heaps to add an additional charge. It lasts up to 280 days.
•Mixing: Irrigation stage consisting of a mixture of recirculated Brine Feble5 and water. Drainage from these heaps is considered as SI and are used to irrigate other heaps. This stage lasts about 60-80 days.
•Washing: last stage of a heap's life, with a final irrigation of water, for approximately 20-30 days.
In total, there is a cycle of approximately 300 to 500 days for each heap, during which time the heap drops in height by 15-20%.
The irrigation system used is a mixed system with drippers and sprinklers. In the case of drippers, heaps may be covered with a plastic sheet or blanket to reduce evaporation losses and improve the efficiency of the irrigation system.
⮚Leaching solutions are collected by gravity via channels, which lead the liquids to a sump where it is recirculated by means of a portable pump and pipes to the brine reception and accumulation ponds.
⮚Once the heaps are out of operation, tailings can either be used for base construction of other heaps or remain on site as exhausted heaps.
In 2024, for the heap leaching processes, the total water demand was 586 L/s (2,108 m³/h) (unit consumption of 0.41 m³/ton caliche leached), while enriched solution flow from heap leach to Nueva Victoria-Iris concentration plants was 2,025 m³/h. In the process SQM applies a recirculation system for leaching to achieve a higher brine production than fresh water used. The hydraulic efficiency of the heap leaching process in NV mine is in the range of 75%-79% with an average of 77%.
In the Long term (MP) for 2025-2040 period, the unit water consumptions range from 0.40 to 0.50 m³/ton of caliche leached with an average of 0.49 m³/ton. The leaching process projected for 2025-2040 envisions an increase of water used (pumped groundwater and seawater) from 586 L/s in 2025 to 856 L/s in 2031. This increased water used in the leaching
SQM TRS Nueva Victoria
Pag. 150


process results in an improvement in the extraction of Iodine and Nitrates in the heap leach structures, allowing a better performance in the metallurgical recovery process.
Leaching process yields average 75.3% for iodine and 57.2% for nitrate in ROM heap leaching (drill and blast material) for the Long Term from 2025 to 2040 period.
Homogeneous and smaller fragmentation generated by the SM allows an increase of 6% in Nitrate yield (approximately to 63,2% recovery) and 12% in Iodine yield (approximately to 87.3% recovery).
Heap leaching process performance constraints include the amount of water available, slope shaping7 (slopes cannot be irrigated), re-impregnation and resource/reserve modelling errors. This last factor most influences annual target production deviations from actuals achieved. Such deviations are typically as high as -5% for iodine and -10% for nitrate.
Other facilities besides heaps are solution ponds (brine, blending, intermediate solution) and water and back-up ponds (brine and intermediate solution). There are about seven rectangular ponds with 8,000 m³ to 36,000 m³ capacity and heights between 3.0 to 4.9 m, which have pump systems, whose function is to drive industrial water, Brine Feble (BF), and Intermediate Brine to the heap leaching, through HDPE pipes, to extract the maximum amount of iodine and nitrate from the caliche heaps (continuous irrigation process).
From brine ponds, the enriched solutions are sent to the iodide plants via HPDE pipes.
7 Heap morphology implies a natural slope of 33º (1.53 H: 1.0 V).
13.3PRODUCTION AND FINAL MINE OUTLINE
SQM works with topographic control in the mining operations whereby the soil and overburden are removed (average thickness varies between 0.3 to 1 m at Nueva Victoria) and caliche is extracted (average thickness of 3.0 m).
Given that the excavations are small (4.70 m on average) in relation to the surface area involved (690 ha/y), it is not possible to correctly visualize a topographic map showing the final situation of the mine.
Figure 13-4 depicts the final mine outline for the 2025 to 2040 period (Long Term Plan).

SQM TRS Nueva Victoria
Pag. 151



Figure 13-4. Final Mine Outline - Nueva Victoria Mining Plan 2025-2040
plan_quinquenalxv1002.jpg
Caliche production data for the 2025-2040 Long Term (MP) involves a total production of 858 Mt, with average grades of 327 ppm of Iodine and 4.9% of Nitrates.
SQM TRS Nueva Victoria
Pag. 152


Based on production factors set in mining and leaching processes, a total production of 196.6 kt of Iodine and 14,839 kt of Nitrate salts for fertilizers is expected for this period (2025-2040), which means to produce fresh brine solution (74,400 m³/d) with average contents of 36.5 tpd of Iodine (0.50 g/L) and 2,541 tpd of Nitrate salts for fertilizers (137 g/l) that would be sent to the processing plants. Note that dilution factors considered here are in addition to the indicated resource to probable reserve factors described above.
Table 13-4. Mine and Pad Leaching Production for Nueva Victoria Mine Period 2025 – 2040.

LOM 2025-2040 Caliche % Ratios Iodine Nitrates
Production (Mt)
858
Average grade (Iodine ppm / Nitrates ppm) 327 4.9%
In-situ estimates (kt) 280.8 42,297
Traditional mining (kt) 776.5 90.5%
Surface mining (kt) 81.5 9.5%
Mining yield 95.0%
Grade Dilution Factor 2.25% 2.5%
Grade dilution
±7.36
±0.12
Mining process efficiency 90.0% 90.0%
Mineral charged in heap leach (kt) 280.8 42,297
Heap Leach ROM recovery from traditional mining 69.0% 34.5%
Heap ROM production from traditional mining heaps (kt) 174 13,194
Heap leach recovery from surface mining 84% 41%
Heap production ROM surface mining 22 1,635
Total Heap Leach production (kt) 197 14,839
Total Heap Leach production (tpd) 33.7 2540.9
Total Heap Leach production (ktpy)
12 927
Heap Leaching recovery coefficient 70.0% 35.1%

13.4REQUIREMENTS FOR STRIPPING, UNDERGROUND DEVELOPMENT, AND BACKFILLING
Initial ground preparation work requires an excavation of a surface layer of soil-type material (50 cm average thickness) and overburden or waste material above the mineral (caliche) that reaches average thicknesses of between 50 cm to 100 cm.
This is done by bulldozer type tracked tractors and Whelldozer type wheeled tractors. This waste material is deposited in nearby mined-out or barren sectors.
SQM has 8 bulldozer type tractors of 50 to 70 tons and 4 Whelldozer type tractors of 25 t to 35 t for these tasks.
Caliche mining is conducted through use of explosives and/or surface mining to a maximum depth of 6 m (3.0 m average and 1.5 m minimum mineable thickness), with an annual caliche production rate at Nueva Victoria of 52 Mtpy.
Caliche extraction by drilling and blasting is executed by means of rectangular blasting patterns, which are drilled considering an average caliche thickness of 3.5 m.
SQM TRS Nueva Victoria
Pag. 153


Table 13-5 Blasting Pattern in Nueva Victoria Mine
Diameter (Inches) Burden (m) Spacing (m) Subgrade (m)
3.5 2.8 to 3.2 2.2 to 2.8 0.5 to 0.8
4.0 2.8 to 3.4 2.8 to 3.4 0.7 to 1.2
4.5 3.4 to 3.8 3.4 to 3.8 1.0 to 1.5
Usually, drilling grid used in Nueva Victoria is 2.8 x 3.0 m and 3.0 x 3.2 m, with a drill diameter of 4". Atlas Copco rigs (F9 and D7 equipment) are used for drilling (Percussion drilling with DTH hammer).
The explosive used is ANFO, which is composed of 94% ammonium nitrate and 6.0% fuel oil, which has a density of 0.82-0.84 g/cc, with a detonation velocity between 3,800 to 4,100 m/s. The charge is 24.3 kg per drill hole.
A backfill (stemming) of 0.80 m is provided with sterile material. For detonation, 150 g APD boosters and non-electric detonators are used as detonators, which start with a detonating cord. The over-excavation (subgrade) is variable from 0.5 to 1.5 m. Blasting assumes a rock density of 2.1 t/m³ of intact rock, with an explosives load factor of 365 g/ton (load factor of 0.767 kg/m³ of blasted caliche), for an extraction of 129,500 tpd of caliche. The Figure 13-5 depicts a typical blast.
Figure 13-5. Typical Blast in Nueva Victoria Mine (caliches)
image_145.jpg
SQM has two Vermeer T1655; series equipment with a rotating drum and crawler tracks. Each unit can produce 3 Mtpy. It also has SEM-Wirtgen 2500SM Series equipment (Figure 13-6), with a different cutting design to Vermeer equipment, with crawler tracks and able to work with a conveyor belt stacking or loading material directly to a truck.
SQM TRS Nueva Victoria
Pag. 154


Figure 13-6. Terrain Leveler and SME equipment (Vermeer)
image_146.jpg
image_147.jpg
13.5REQUIRED MINING EQUIPMENT FLEET AND PERSONNEL
This sub-section contains forward-looking information related to equipment selection for the Project. The material factors that could cause actual results to differ materially from the conclusions, estimates, designs, forecasts or projections in the forward-looking information include any significant differences from one or more of the material factors or assumptions that were set forth in this sub-section including labor and equipment availability and productivity.
SQM has sufficient equipment at the Nueva Victoria mine to produce enough caliche as required, to mine and build heap leach pads, and to obtain enriched liquors that are sent to treatment plants to obtain Iodine and Nitrate end-products.
The equipment available to achieve Nueva Victoria's current production Mining Plan (2025-2040) of caliche is summarized in Table 13-6. The current equipment capacity has been evaluated by the QP and will meet the future production requirements.
Table 13-6 Equipment Fleet at Nueva Victoria mine
Equipment Quantity Type or size
Front Loader 6
12.5 and 15 m3
Shovels 5
13 to 15 m3 / 150 to 200 Ton
Surface Excavation Machine (SME) 4 100 to 200 Ton
Trucks 25 100 to 150 Ton
Bulldozer 9 50 to 70 Ton
Whelldozer 5 35 Ton
Drill 10 Top hammer of 3.5 to 4.5 inches (diameter)
Grade 3 5 -7 m
Roller 2 10 - 15 Ton
Excavator 3
Bucket capacity 1 -1.5 m3
The staff at Nueva Victoria's operation consists of 1,276 professionals, this total includes 316 professionals dedicated to leaching process, 612 professionals on mining operation, 228 professionals for the iodide and iodine plants and 120 professionals for the evaporation ponds. No contractor mining and labor is used.
The Nueva Victoria mine operation includes some general service facilities for site personnel: offices, bathrooms, truck maintenance and washing shed, change rooms, canteens (fixed or mobile), warehouses, drinking water plant (reverse osmosis) and/or drinking water storage tank, sewage treatment plant and transformers.
SQM TRS Nueva Victoria
Pag. 155


14PROCESSING AND RECOVERY METHODS
This sub-section contains forward-looking information related to the nitrate and iodine concentrators, leaching and solvent extraction throughputs and designs, equipment characteristics, and specifications for the Project. The material factors that could cause actual results to differ materially from the conclusions, estimates, designs, forecasts or projections in the forward-looking information include any significant differences from one or more of the material factors or assumptions that were set forth in this sub-section including actual ore feed characteristics that are different from the historical operations or from samples tested to date, equipment and operational performance that yield different results from the historical operations, historical and current test work results, and metallurgical recovery factors.
The Nueva Victoria Property includes caliche mining areas, heap leaching and processing plants to produce iodine as the primary product and nitrate as a secondary product. The mine facilities are concentrated in the following three SQM property areas: Nueva Victoria, Sur Viejo, and Iris.
Nueva Victoria ore contains an average of 4.5% nitrate and 303 ppm iodine as stated in the current TRS (Section 12.4 Mineral Proven Reserves). A portion of the iodine and nitrate is water-soluble and is extracted during heap leaching. Following iodide extraction, a portion of the iodide-depleted solution is fed back to the heap leaching process. The remaining iodide-depleted solution is pumped to the evaporation ponds where nitrate salts are recovered from it.
Standard open pit mining methods are used to mine the caliche ore. Caliche mining occurs over an area of approximately 844.5 km² within the Nueva Victoria Property. The nominal rate of caliche mining is currently 45.45 Mtpy. Pregnant Leach Solution (PLS) from the heap leach is piped to the iodide plant, Nueva Victoria, TEA and Iris, located about 20 km from the pile site, which have a production capacity of 11 ktpy, 5 ktpy (Commissioning in December 2024), respectively.
The 2010 environmental permit for the Pampa Hermosa Project considered the installation of a Nitrate Plant to produce sodium nitrate & potassium nitrate at Nueva Victoria. This has not yet been implemented, and currently nitrate production for Nueva Victoria is carried out at the Coya Sur (Antofagasta Region).
Nueva Victoria operations currently have the following facilities:
⮚Caliche mine and mine operation centers.
⮚Nueva Victoria Iodide Plant and Nueva Victoria Iodine Plant.

⮚TEA Iodide Plant (M4)
⮚Iodide - iodine Iris Plant.
⮚Neutralization Plant.
⮚Evaporation ponds.
⮚Waste salts deposit.
⮚Industrial water supply.
⮚Auxiliary installations: Camps and offices, domestic waste disposal site, hazardous waste yard, and non-hazardous industrial waste yard.
SQM TRS Nueva Victoria
Pag. 156


Figure 14-1 shows a block diagram of the main stages of caliche mineral processing to produce iodine prill and nitrate salts at Nueva Victoria. The following sections describe the operational stages and mineral processing facilities.
Figure 14-1. Simplified Nueva Victoria Process Flowsheet
image_148.jpg
14.1.PROCESS DESCRIPTION
The Nueva Victoria Property includes caliche mining, heap leaching and processing plants to obtain iodine as the main product and nitrate as a by-product.
Figure 14-2 presents a schematic of the mineral production process of iodine and concentrated nitrate salts from caliche ore at Nueva Victoria. This diagram shows that the process can be summarized in six relevant stages: mining, leaching,
SQM TRS Nueva Victoria
Pag. 157


extraction in iodide plant, conversion in iodine plant, neutralization, and evapo-concentration solar ponds. Each of these stages are described below.
Figure 14-2. Schematic of the Mineral Production Process at Nueva Victoria
image_149.jpg
The extraction process begins with the removal of non-mineralized soil and non-mineralized overburden and ends with the loading and transport of the caliche to the leaching heaps. More details on this operation are described in Section 13.2
Two categories of ore, defined by SQM, are processed at the site. These include Ore Category 1 (ROM ore extracted by blasting), and Ore Category 2 (ore extracted by SM).
The batter fragmentation of the SM ore results in a higher percentage recovery of the available mineral salts in the PLS generated. As of 2024, this material represents 20% of the mineral stacked on the heap leach pads. The relative proportion of this material added to the heap leach pads will increase sequentially over the long term.
SQM extracts caliche from Nueva Victoria at a rate of 37 Mtpy in accordance with RE N°0515/2012 (Resolution Exempt, the government permit that authorizes the mineral extraction). The authorized mining rate increased by an additional 28 Mtpy, reaching an authorized total of 65 Mtpy of mining at the Nueva Victoria Property. The caliche is extracted using explosives and then loaded and transferred to the heap leach pads. The caliche is leached using process water, augmented with depleted solution outflow from the iodide plant. This component of depleted (feeble) solution from the iodine process is referred to by SQM as BF that corresponds to weakly acidic water (also called agua feble ácida [AFA]).

SQM TRS Nueva Victoria
Pag. 158


The Table 14-1 summarizes the changes considered by the expansion project.
Table 14-1 Modifications to the Operation with Expansion of the TEA Project
Installation Current Situation Modification Situation with TEA Project
Nueva Victoria surface area authorized for mining 408.5 km² Increase of 436 km² Total mineable area of 844.5 km² at Nueva Victoria
Rate of caliche mining at Nueva Victoria 37 Mtpy Increase of 28 Mtpy Total mining rate 65 Mtpy
Rate of caliche mining at Iris 6.48 Mtpy No modification No modification
Iodide production, Nueva Victoria 11 Ktpy Increase of 12 Ktpy Total iodide production rate 25 Ktpy
Iodide production, Iris 2 Ktpy No modification
Iodine production, Nueva Victoria 11 Ktpy Increase of 12 Ktpy Total rate of iodine production 23 Ktpy
Iodine production, Iris 2 Ktpy No modification
Salt production 1,025 Mtpy (2,050 Mtpy with Pampa Hermosa) Increase of 1.95 Mtpy Total production rate of nitrate-rich salts 4 Mtpy
Evaporation ponds 8.34 km² Increase of 10.17 km² Total evaporation ponds area 18.51 km²
Water use 810.8 L/s (groundwater abstraction for industrial use) Increase of 900 L/s (abstraction of seawater) Total permitted water uses 1,710.8 L/s for industrial use
The operations carried out to treat the ore and obtain iodine and nitrate salts are described below.
14.1.1Mining Zone and Operations Center

SQM Nueva Victoria and Iris Properties cover areas of approximately 844.5 km² (Nueva Victoria West, North, and South). Administratively, SQM distinguishes:
⮚The mining areas (mineral deposit areas).
⮚The office and support buildings, warehouses, truck repair shops, heap leach piles, industrial water, and leaching solution (brine) storage ponds.
SQM refers to the processing plant and office area at Nueva Victoria and Iris as the Nueva Victoria Mine Operations Center (COM) and the Iris COM respectively.
Inside the mine areas there are the COM whose objective is the management of the different solutions. Basically, a COM is formed by the leaching heaps and accumulation ponds for the brine coming from the leaching process and the water required for the same. Thus, both COM from Nueva Victoria and Iris are facilities that have brine accumulation ponds, reception and accumulation ponds for AFA, industrial water ponds, and intermediate solution, which correspond to irrigation solutions.
All brine, industrial water and BF accumulation ponds are lined with impermeable membranes (typically HDPE or PVC) to prevent infiltration of their contents into the underlying ground.
14.1.2Heap Leaching
Leach Heaps are constructed on non-mineralized ground, so as not to cover valuable caliche resource. The land is prepared prior to construction of the heap leach pads. The soil is left with a slope profile of 1 to 4%, to promote gravity flow of the drained solution. The base is covered with an impermeable geomembrane (PVC, or HDPE) to prevent seepage of leaching solutions into the ground, allowing the solutions to be collected at the toe of the leach heap. A protective 40-50 cm thick layer of fine material (non-mineralized chusca (weathered material) or spent leached caliche) is spread over geomembrane to protect it against being damaged by the transit of mine vehicles or punctured by sharp stones.
SQM TRS Nueva Victoria
Pag. 159


The caliche to be leached is then emplaced over the protective layer. The leach piles are constructed with a rectangular base and heights between 7 to 15 m and a crown area of 65,000 m². Once the stacking of caliche is complete, heap is irrigated to dissolve the soluble mineral salts present in the caliche.
The heap leaching operation applies alternating cycles of irrigation and resting. The irrigation system used incorporates both sprinklers and drip irrigation. The heap leaching process typically takes around 425 days from start to finish (in general, the operating range is of approximately 300- 500 days for each heap). Over the leaching cycle, the removal of soluble mineral salts results in a 15% to 20% drop in height of each leach heap.
Figure 14-3 presents a schematic of the heap leaching process. The piles are organized in such a way as to reuse the solutions they deliver production heaps (the newest ones), which produce iodine rich solution to be sent to the iodine plant, and older heaps whose drainage feeds the production heaps. At the end of its irrigation cycle, an (old) pile leaves the system as inert debris, and a new heap enters at the other end, thus forming a continuous process.
Figure 14-3. Schematic of the Heap Leaching Process at Nueva Victoria
image_150.jpg
The stages in the heap leaching process (Figure 14-3) are as follows:
1)Heap Impregnation Stage : corresponds to the initial irrigation of the leach pile with industrial water. During this stage the heap begins generating salt-bearing leach solution at its base, termed brine. Stage 1 lasts about 50-70 days.
2)Irrigation Stage: During 190-280 days the heap is irrigating with Pregnant leaching solution (PLS) or iodine rich Brine. After that, the heap is irrigated with a mixture of recirculated AFA and referred to by SQM as BF and industrial water during aprox. 60-80 days.
3)Final Stage: final water irrigation of the heap with industrial water to maximize total extraction of soluble salts. This stage lasts about 20-30 days.
The PLS obtained during heap leaching process is referred to as brine by the operation. The leaching solutions (brines) which drain from the leaching heaps are piped, according to their chemical quality to poor solution, intermediate solution, and rich brine solution storage ponds (accumulation ponds) at the COM. From here they are piped to the Nueva Victoria, TEA and Iris process plants.
As part of ongoing efforts to reduce the use of continental groundwaters, SQM is currently evaluating:
⮚The integration of seawater into the industrial water feed.
SQM TRS Nueva Victoria
Pag. 160


⮚The reduction of evaporative water loss from leach piles by relying increasingly on drip irrigation rather than spray irrigation and covering the surface of leach piles which are undergoing irrigation with impermeable membranes.
⮚The reduction of evaporative water loss from industrial water accumulation ponds by covering the surface of these ponds with floating hexacovers

14.1.3Iodide-Iodine Production
The facilities are in three sectors corresponding to: Nueva Victoria, Sur Viejo, and Iris. The iodide and iodine production plants are located at Nueva Victoria.
The iodide plant is connected to the Nueva Victoria COM via a 20 km long pipeline. The new Iodide plant is strategically located in TEA Mine near to COM 5 to reduce the energy consumption of pumping solution.
The Iodide process consists of converting the iodate, recovered from the caliche by the heap leaching process, into iodide. The segregation of the brines into poor, intermediate and rich in the accumulation ponds at the Nueva Victoria-TEA and Iris sites allows SQM to ensure an optimum concentration of iodate (in the range 0.5 – 1.0 g/L iodate) in the brine feedline to the iodide plant.
The iodide-rich solution output from iodide plant is then fed into the iodine plant to produce Iodine pearls (prill), SQM final product.
The other output from the iodide plant is leaching solution depleted in iodide, which SQM often refers to as BF, or AFA. The BF produced at the iodide plant can be routed via two alternative paths:
⮚It can be recirculated to the heap leach operation.
⮚It can be sent to the neutralization plant, where BF is neutralized, by adding lime or sodium carbonate (brine feble neutral [BFN, AFN]). BFN is sent to the solar evaporation ponds at Viejo Sur where nitrate-rich salts are produced and sent for processing to the nitrate production plant at the SQM Coya Sur facilities, located 160 km to the south of Nueva Victoria, and 7 km southeast of the town of María Elena in the Antofagasta Region of northern Chile.
At Iris and Nueva Victoria service plants, this process is intended to reduce sodium iodate from caliche leach solutions to free iodine by addition of sulfur dioxide, and then to separate and purify it. The required sulfur dioxide is produced by burning sulfur. There are two stages in the process of obtaining free iodine: production of iodide from iodate (iodide plant) and production of iodine from iodide (iodine plant). The iodine and iodine derivatives production facilities have been qualified in accordance with ISO-9001:2015 and ISO-50001:2018 programs for which TÜV Rheinland provides quality management system certification.
Below is a description of iodate to iodine transformation processes that are performed at Nueva Victoria and Iris service plants.
14.1.3.1    Nueva Victoria Iodine Production
The Nueva Victoria Iodine Processing Plant is situated 1 km southeast of the access control (garita) to the SQM Nueva Victoria complex. It covers an area of approximately 15 ha. It includes:
⮚3 Iodate to iodide modules.
⮚1 Iodide to iodine modules.

A new iodide plant was commissioned in December 2024. This new production center has a capacity of 5.000 tons of iodine per year and produces iodide that is sent to the Nueva Victoria iodine plant to produce prill iodine. The new plant is located in TEA Mine, near to COM 5.
SQM TRS Nueva Victoria
Pag. 161


Leaching solutions (brines) from the heap leaching of caliche ores are piped to the brine reception pond of each iodate to iodide module. This brine has an iodate content between a minimum of 0.4 g/L and an ideal working concentration of 0.7 g/L iodine equivalent.
Figure 14-4 presents a schematic of the iodine recovery process.
Figure 14-4. Schematic of the Iodine Recovery Process at Nueva Victoria and TEA
image_151.jpg
The first stage of the process occurs at the iodide plant. The process start when one part of the brine (iodate) is reduced to iodide using sulfur dioxide. The sulfur dioxide is obteined from sulfur burn system. Then, iodide solution is contacted with a second part of the fresh solution (iodate) to obtain Iodine (1). The reaction happen to pH 1,8-2,0 as described by the following equation:
5I −(aq)+IO3−(aq)+6H +(aq)→3I2 (s)+3H2 O (l)
This process of producing iodine by reacting iodate and iodide in acidic solution is referred to as “cutting”.

When reaction occurs the pulp is sending to the solven extraction process, using kerosene as the solvent to purify and concentrate the iodide, SQM intermediate product. Nueva Victoria has three such SX plants (SX1, SX2, and SX3).
The outputs from the SX plant are:
⮚Iodide high concentrated solution.
⮚Iodine-depleted acidic solution, referred to by SQM as AFA (BF).
The kerosene solvent is recirculated to the start of the SX process.
One part of the AFA is recycled to the heap leaching process and the second part is sent to solar evaporation ponds to Sur Viejo. Then the solution is neutraliced using lime or sodium carbonate to enter to solar evaporation system for the recovery of potassium and sodium nitrate salts, which are trucked to the SQM Property at Coya Sur for refining.
The iodide high concentrated solution from iodide plants is refined in a 2-stage process. First it is filtered, then it is passed through an activated carbon tower to remove any kerosene and heavy metal traces.
The iodide high concentrated solution is then routed through to the next stage of the process at the iodine plant where it is oxidized, using hydrogen peroxide and chlorine as the oxidizing agents. The iodine pulp thus obtained is then melted and subsequently prilled to produce spheres of iodine called “prill” which have a metallic luster.
SQM TRS Nueva Victoria
Pag. 162


Figure 14-5 presents the general layout of the iodide and iodine plant complex at Nueva Victoria, including the additional capacity which will be required once the environmental permit for the TEA expansion has been obtained.
Figure 14-5. General Arrangement Drawing. Iodide-Iodine Plants of Nueva Victoria
image_152.jpg
14.1.3.2    Iris Iodide-Iodine Production
The Iris plant has an iodide-iodine plant within its COM. The iodine production facilities are currently inoperative and so the iodide brines are used to feed the iodine plants at Nueva Victoria. Figure 14-6 presents a schematic of the production process at Iris Plant.
Figure 14-6. Process Diagram of Iris Plant
image_153.jpg
The Iris Plant can process brines with iodate concentrations lower than 0.4 g/L iodine equivalent.
SQM TRS Nueva Victoria
Pag. 163


The iodide produced in the absorption towers is routed to the reactor, where it is mixed with fresh brine (Iodate) from the fresh brine storage pond at the plant. The iodate and iodide react to obtain iodine (I2).
The iodine-enriched solution is pumped to the blow-out tower (blowing tower), where it is desrob from the solution and transfer it to the air. Then the iodine/Air is sent to the stripping tower to transfer it at concentrated iodide solution.
This solution is routed to the iodide recirculation tank, creating a concentration cycle. The iodide-enriched brine is sent for refining at the Nueva Victoria iodine plant.
14.1.4Neutralization Plant
The neutralization plant at Nueva Victoria covers a surface area of approximately 59.76 ha. It includes AFA storage ponds, solids sedimentation ponds, neutralization ponds, industrial water ponds, reagent storage warehouses, pumping infrastructure and support facilities. The Neutralization Plant receives AFA solution from the iodide plants. The AFA is mixed with a lime (calcium hydroxide) slurry to neutralize it in the neutralization ponds.
14.1.5Solar Evaporation Ponds
The evaporation solar ponds (referred to by SQM as pozas), and associated transfer pumps, are located at Sur Viejo (Figure 14-7). There are 5 stages in the Evapo-concentration process. The ponds are of different types that vary in size given their function. The Sur Viejo evaporation ponds have a depth of 3.2 m and an approximate surface area of 7,600,000 m2. The pond configurations (pond types) used are detailed in Table 14-2. The mean annual rate of evaporation is approximately 5 L/m²/d (5 mm/d or 1,825 mm/y).
Table 14-2 Solar Evaporation Pond Types at Sur Viejo
Pond Type Description
Stage 1 Pond AFA Alkalinization Pond
Stage 2 Pond Brine Preconcentration, Phase 1 Pond
Stage 3 Pond Brine Preconcentration, Phase 2 Pond
Stage 4 Pond Cut-off or Control Pond
Stage 5 Pond High Grade Nitrate Pond
The 6-stage evaporation sequence is designed to progressively concentrate the evaporating brine. As this process progresses, the highly soluble nitrates (KNO3 and NaNO3) become ever more concentrated in the brine as impurities such as halite and Astrakanita progressively precipitate out from the ever-concentrating brine. Each of the 6 stages in the evapo-concentration process are described below.
Stage 1: AFA Alkalinization
Stage 1 corresponds to the AFA alkalinization (AFA neutralization) stage. Stage 1 infrastructure includes a neutralization plan, a quicklime (calcium oxide, CaO) storage silo, a slaking system to produce slaked lime (calcium hydroxide, CaOH2) and a reactor with agitator to mix the slaked lime slurry into the AFA. The slaked lime-AFA mixture (Stage 1 brine) is discharged into the Stage 1 pond. The main objective of this stage is to increase the pH of the brine from the pH 1.6 - 2.0 of the AFA to the pH 6.0-7.0 of the Stage 1 brine.
The rate of quicklime consumption (kg/m³ of AFA) varies between 0.30 and 0.60 kg/m3, depending on the acidity of the influent AFA. The Stage 1 brine can also be referred to as BFN, or Feble Neutral Water (FNW).
Stages 2 & 3: Brine Preconcentration Ponds
The brine passes through the 125,000 m² Stage 2 and 250,000 m² Stage 3 evaporation ponds in sequence. The objective of this process is to Evapo-concentration the AFN towards saturation with KNO3 and NaNO3, progressively precipitating out impurities, principally halite (NaCl) and Astrakanita (Na2Mg(SO4)2·4H2O) crystals.
SQM TRS Nueva Victoria
Pag. 164


Stage 4: Cut-off or Control Pond
Evapo-concentration continues during Stage 4, progressively concentrating KNO3 and NaNO3 toward saturation levels.
Stage 5: High Grade Nitrate Pond
KNO3 and NaNO3 crystallize out in the Stage 5 pond. The high-nitrate salts obtained include residual impurities, including NaCl, Astrakanita, KClO4, H3BO3, and MgSO4. The relative proportion of KNO3 and NaNO3 in the high-nitrate salts reflects their ratio in the AFA fed into Stage 1.

When the precipitate of the high-nitrate salt is ready, the salt is harvested, storaged and sent to SQM Coya Sur facility for further refinement prior to sale.
The Nueva Victoria Mine evaporation ponds planned for the TEA Project can be seen in Figure 14-8 and the dimensions are shown in Table 14-3.
Table 14-3 Solar Evaporation Pond Types at TEA Project
Pond Type Description Length x Width (m x m)
Surface Area ( m2)
Surface Area (Ha)
Stage 1 Pond AFA Alkalinization Pond 500 x 320 160,000 16
Stage 2 Pond Brine Preconcentration, Phase 1 Pond 500 x 250 125,000 12.5
Stage 3 Pond Brine Preconcentration, Phase 2 Pond 500 x 500 250,000 25
Stage 4 Pond Cut-off or Boundary Pond 240 x 165 39,600 3.96
Stage 5 Pond High Grade Nitrate Pond 280 x 250 70,000 7
SQM TRS Nueva Victoria
Pag. 165


Figure 14-7. General Arrangement of Sur Viejo Evaporation Ponds
image_154.jpg
SQM TRS Nueva Victoria
Pag. 166


Figure 14-8. General Arrangement of TEA Evaporation Ponds
image_155.jpg
14.1.6Sur Viejo Nitrate Plant (Planned)
The 2010 environmental permit (RCA 890/10), which constitutes the environmental approval for the Pampa Hermosa Project, contemplates the construction of a nitrate plant at the Sur Viejo, adjacent to the existing evaporation ponds. The nitrate plant has yet to be constructed and so the high-nitrate salt produced by the evaporation pond sequence at Sur Viejo is trucked to the SQM Coya Sur facility for refinement.
The production capacity of the Sur Viejo nitrate plant would be 1.2 Mtpy of refined NaNO3 & KNO3. It would cover an area of 8.2 ha. Of modular construction, it would comprise 4 modules, each with a 300 ktpy NaNO3 / KNO3 production capacity. The plant would receive high-nitrate brine from Stage 5 of the evaporation pond sequence, which would be routed through crystallizers, solid-liquid separators, thickeners, and centrifuges. The resulting commercial products would be sodium nitrate and wet potassium nitrate.
14.2.PRODUCTION SPECIFICATIONS AND EFFICIENCIES
SQM TRS Nueva Victoria
Pag. 167


14.2.1Process criteria
Table 14-4 contains a summary of the main criteria for the Nueva Victoria processing circuit.
Table 14-4 Summary of process criteria. Mine site caliche heap leaching and productive iodine process.
Criteria
Mining Capacity and Grades
Caliche Mine Exploitation
48 to 54 Mtpy
Exploitation of Future Proven Areas 28 Mtpy
Average Grades
4.9 % Nitrate ; 327 ppm Iodine
Availability / Use of Availability
Mining Exploitation Factor 80 - 90 %
Plant Availability Factors 96.7%
Caliche Iodine PO Factor
4.4 Mt Caliche per Ton of Prilled Iodine
Caliche Nitrate PO Factor
58 Tonnes Caliche / Nitrate
Caliche Iodine Iris Factor
Heap Leaching
Impregnation Stage 300 to 500 Days for Each Heap
Intermediate Solution
Mixed Irrigation Stage
Washing Stage with Industrial Water
Criteria
Heap Leaching
Water + AFA Mixed Irrigation 40% Dilution of AFA
Heap Drainage 250 to 450 days
Iodate Brine Turbidity <150 NTU
Yield and Plant Capacity
Iodate / Iodide Yield 92 - 95%
Iodide / Iodine Yield 98%
Production Capacity at Nueva Victoria
13 Ktpy Iodide at Nueva Victoria
Iodine Prill Product Purity 99,8%
High - Nitrate Salts Production Capacity
1.100 ktpy
The following sections summarize the Nueva Victoria productivity and forecast.
SQM TRS Nueva Victoria
Pag. 168


14.2.2Solar Pond Specifications
The specific criteria for the operation of evaporation ponds are summarize in Table 14-5:
Table 14-5 Description of Inflows and Outflows of the Solar Evaporation System
System Input Flows Unit Value
AFA Feed Flow m3 / h 1,050
Sodium Nitrate (NaNO3) g/l 124
Potassium (K) 12.5
Potassium Perchlorate (KClO4) 1.2
Magnesium (Mg) 15
Boron w/boric acid (H3BO3) 4.0
System outflows Unit Value
Discard Salts Ton 3,900,000
Astrakanite % 25
Sodium Chloride % 75
High Nitrate Salt Production Ton 2,050,000
Sodium Nitrate (NaNO3) 1,050,000
Sodium Nitrate (NaNO3) % 41.9
Potassium Nitrate (KNO3) 11.4
Potassium Perchlorate (KClO4) 0.32
Magnesium (Mg) 1.3
Boron w/boric acid (H3BO3) 2.4
14.2.3Production Balance and Yields
Since 2014, SQM has been working on a plan to develop new caliche mining areas at Nueva Victoria and increase production of both nitrates and iodine at Nueva Victoria. With respect to the Iris Property, no modifications to the operation are contemplated. In recent years, investments have been made to increase the water supply capacity at the Nueva Victoria operations and to expand the capacity of the solar evaporation ponds and implement new mining and solution collection areas through expansion projects submitted to the National Environmental Commission. These projects are the Pampa Hermosa project (approved in 2010) and the TEA project, currently in process. The approval of Pampa Hermosa allowed increasing the nominal production capacity of the Nueva Victoria Operations to 11 ktpy iodine and to produce up to 1.2 Mtpy of nitrates and use new water rights of up to 665.7 L/s. This increase in capacity was achieved by adding new iodide production modules and new support facilities over an area of 34.9 hectares at the Nueva Victoria COM.
Nueva Victoria (including Iris Operation) currently has a total production capacity of 13 ktpy of iodine, which affords SQM the flexibility to adjust production according to market conditions (iodine price). In 2019, 42.20 Mt of caliche, with a mean iodine grade of 465 ppm iodine, were processed, from which 10.7 kt of prilled iodine was produced. For the year 2023, the mean iodine grade of mined caliche was 398 ppm iodine and the 43.45 Mt of caliche processed yielded 12.2 kt of prilled iodine (11.4 kt from Nueva Victoria and 0.8 kt from PB). In 2024, the mean Iodine grade of the caliche was 408 ppm and 45.45 Mt of caliche was processed, producing 11.4 t of Iodine Prill.

SQM TRS Nueva Victoria
Pag. 169


Table 14-6 presents a summary of 2024 iodine and nitrate production at Nueva Victoria, including Iris.
Table 14-6 Summary of 2024 Iodine and Nitrate at Nueva Victoria, Including Iris
Iodine Balance NV Unit Total Year 2024
Caliche Processed Mt 45.45
Caliche Nitrate Grade % 5.0%
Caliche Iodine Grade ppm 408
Iodine Heap Yield % 66%
Brine sent to plant
Km3
17,789
Concentration gpl 69.00
Iodide Produce ton 11,596
Iodine Plant Yield % 98.3%
Iodine Produced kt 11.4
Iodide Plant Yield % 96%
Iodide Global Yield % 62%
Iris Iodine Production Unit Total Year 2024
Iodate Rich Brine Feed to Iodide Plant
m3
0
Iodide to Nueva Victoria Iodine Plant ton 0.00
Iodide Plant Yield % —%
Average Yield of Prilled Iodine from Iris Iodide 98%
Global Iodine Yield Iris —%
Iodine Produced ton 0.00
Nitrate Balance NV Unit Total Year 2024
AFA Sent to Sur Viejo Evaporation Ponds
Mm3
8,945,214
Nitrate in AFA Sent to Sur Viejo Evaporation Ponds
Ton NaNO3
1,112,460
Nitrate Concentration in AFA Sent to Sur Viejo Evaporation Ponds g/l (ppt) 125
NaNO3 Grade
% 50%
Yield of NaNO3 from Sur Viejo Evaporation Ponds
56.86%
Table 14-7 shows the production data from 2024 to 2019:
Table 14-7 Nueva Victoria Production Data for 2019 to 2024.
Nueva Victoria (Including Iris) 2024 2023 2022 2021 2020 2019
Mass of Caliche Ore Mined (Mt) 49,169 43,450 45,400 41,428 43,420 42,196
Iodine Grade in Caliche Ore (ppm) 416 398 430 441 452 465
Mass of Iodine Produced (Kt) 11.6 12.2 12.4 8.7 10.6 10.7

14.2.4.Production Estimation
In recent years, investments have also been made to increase water supply capacity at Nueva Victoria operations from two water sources approved by the Pampa Hermosa Environmental Study and to expand solar evaporation pond capacity and implement new mining and solution collection areas.
SQM TRS Nueva Victoria
Pag. 170


Due to Pampa Hermosa project, to increase nitrate production, Sur Viejo Industrial Area will have to be incorporated. In this sector, solar evaporation ponds will be expanded and there will be 2 types of ponds:
⮚Pre-concentration ponds: Four pits (500 x 250 m, depth 3.2 m) and 13 ponds (500 x 250 m, depth 2.2 m), and a total volume of 5,175,000 m3.
⮚Production ponds: Area 1,645,000 m2; 3,290,000 m3, 47 Ponds (140 x 250 m, depth of 2 m), and a total volume of 3,290,000 m3.
Furthermore, two additional neutralization plants will be built in addition to those already existing; a nitrate production plant will be built (reaching a total capacity of 1.2 Mtpy of sodium nitrate and/or potassium nitrate) and new salt storage areas will be set up (final product, nitrate-rich salts, discarded salts and neutralization process residue). These facilities will involve a total surface area of 1,328 ha.
In terms of future, Nueva Victoria, and Iris' mining (see Section 13.2, see Table 13-3) and industrial plan, an economic analysis of which is discussed later in Chapter 19 (see Table 19-1) considers caliche extraction at a rate of 54 Mtpy to the year 2026 and estimates an increase in iodine and nitrate production. Projected growth is sequential and is expected to reach 13.9 ktpy for the period 2025-2030 to 11.62 ktpy of iodine production by the years 2031-2040.
Table 14-8 shows that to achieve the committed production it is required to increase water consumption to 0.50 m3/ton for the years 2027-2040; the yield process to produce iodine is in average 74.6% by the years 2025-2030 and 68.8% by the years 2031-2040 and yield process average to produce nitrate is 39.5% for the period 2025-2030 and 32% for the period 2031-2040.
The indicated yield values for each year have been calculated using empirical yield ratios as a function of soluble salt content, nitrate grade and unit consumption.
Table 14-8 Nueva Victoria Process Plant Production Summary.
Parameter 2025 2026 2027 2028 2029 2030 2031-2040 Total
Mass of Caliche ore Processed (Mt) 48 54 54 54 54 54 540 858
Water Consumption (m3 / Ton Caliche)
0.40 0.42 0.50 0.50 0.50 0.50 0.50 0.47
Ore Grade (ppm, I2)
362 362 357 351 343 338 313 327
Ore Grade (Nitrate %) 5.6% 5.6% 5.6% 5.5% 5.5% 5.4% 4.6% 4.9%
Soluble Salts, % 60.2% 67.4% 66.1% 67.7% 66.0% 68.0% 65.7% 65.8%
Yield Process to produce Iodine, % 66.0% 67.0% 74.9% 74.7% 74.3% 73.8% 68.8% 70.0%
Yield process to produce Nitrates, % 40.0% 40.0% 40.0% 40.0% 39.0% 38.0% 32.0% 35.1%
Prilled Iodine produced (kt) 11.5 13.1 14.4 14.2 13.7 13.5 116.2 196.6
Nitrate Salts for Fertilizers (kt) 1,075 1,210 1,198 1,185 1,157 1,122 7,892 14,839
14.3PROCESS REQUIREMENTS
This sub-section contains forward-looking information related to the projected requirements for energy, water, process materials and personnel for the Project. The material factors that could cause actual results to differ materially from the conclusions, estimates, designs, forecasts, or projections in the forward-looking information include any significant differences from one or more of the material factors, or assumptions, that were set forth in this sub-section including actual plant requirements that yield different results from the historical operations.

SQM TRS Nueva Victoria
Pag. 171


Figure 14-9. shows Nueva Victoria's process diagram with TEA project incorporated, giving an overall production process balance. It is important to note that input quantities will depend on caliche chemical properties, as well as iodide plant operation (whether operating in SX or blow-out mode) but will not exceed those indicated in the diagram.
Figure 14-9. Projected Water and Reagent Consumption at Nueva Victoria with Implementation of the TEA Extension
image_156.jpg
The balance scenario shown corresponds to the situation of treatment of 65 Mtpy of caliche with 23 ktpy of iodine prill production.
Future energy and water needs will be satisfied by the infrastructure expansion plan considered in the TEA Project. This includes power transmission lines connected to electrical installations with new transformers to be located at mine operation centers, water supply centers, and the Nueva Victoria mining areas, as well as the Sur Viejo industrial area.
The following sections detail energy, water, staff, and process input consumption.
SQM TRS Nueva Victoria
Pag. 172


14.3.1Energy and Fuel Requirements
Power and Energy
The power supply comes from permanent power lines to the site. Its function is to supply electricity to the industrial areas to carry out operations and to supply electricity to the adduction system, specifically through installed substations. There is a control portal and power distribution center at the facility. This center has a start-up power supply for the operations, laboratory, and plant.
Nueva Victoria has one substation, with two distribution systems. One system has a capacity of 50 MW and the other has a capacity of 60 MW. Associated with the Nueva Victoria 50 MW line, the consumption declared by SQM for the 2024 is of 38,582,894 kilowatt-hours (kWh), while for the line Nueva Victoria 60 MW, the energy consumption is 107,328,061 kWh.
In terms of power consumed and considering a calendar year of 365 days and 24 hours, the indicated energy values translate into a consumption of 4.4 MW for the available 50 MW power line and 12.3 MW for the available 60 MW power line. Therefore, for the year 2024, the electric power consumption was about 16.70 MW.
Currently, NV has an auxiliary power generation system that supports 1600Kva for the NV and TEA iodide and iodine plants.
Fuels
The operation required 22,126 m3/y of diesel and 581 ton/y fuel oil. Fuel was supplied by duly authorized fuel trucks.

14.3.2Water Supply and Consumption

Water Supply System
Water supplies are required for basic consumption, drinking water consumption (treated and available in drums, dispensed by an external supplier) and for industrial quality work. As reported, the entire sector is supplied by an industrial water supply center located in Nueva Victoria.
For industrial water supply, groundwater will be extracted at an average rate of 711.6 L/s, from wellfields at the Salar de Sur Viejo, the Salar de Llamara and the Pampa del Tamarugal.
SQM has:
⮚4 wells at Sur Viejo with consumptive rights totaling 107 L/s.
⮚5 wells at the Iris with consumptive rights totaling 64.5 L/s.
⮚7 wells in the Salar de Llamara with consumptive rights totaling 244.7 L/s.
⮚7 wells in the Soronal with consumptive rights totaling 168.3 L/s.
⮚4 Catchment situated to east of the Salar de Bellavista wells with consumptive rights totaling 127.1 L/s.
SQM projects the addition of the following water resource supply capacity to its water rights:
⮚Groundwater extraction from the TC-10 well located in Salar de Llamara.
⮚Surface water extraction through permanent and continuous surface consumptive rights for a maximum of 60 L/s granted in Quebrada Amarga.




SQM TRS Nueva Victoria
Pag. 173


Additionally, during 2024, NV had an external water supply of 24.2 L/s average year for leaching process.
Industrial water pipelines connect groundwater ponds to the mining and industrial areas of Nueva Victoria. For water extraction, pumping and transport, there is a network of pipes, pumping stations and power lines that allow extraction of the required industrial water and its transport and redistribution to the different points where it is required.
Water is supplied to an existing process water storage tank. Raw water is used for all purposes requiring clean water with low dissolved solids and salt content, mainly for reagent replenishment.
Raw water is treated in a reverse osmosis system; whose infrastructure includes tanks for water storage (industrial or potable). The potable water storage tank also supplies water for use in:
8 711.6 L/s (approved by the Dirección General de Aguas (DGA), The Chilean Regulator
⮚Safety showers and other similar applications:
⮚Fire-fighting – the building of the Nueva Victoria, Iris and Sur Viejo COMS are equipped with water storage tanks for firefighting which supply hydrant & sprinkler systems.
⮚Cooling water.
⮚Boilers for steam generation.
⮚In addition, the TEA project considers a seawater supply system (900 L/s design flow) to supplement the industrial process water supply. The seawater will be drawn from the coast at Puerto Patillos, 58 km northwest of the Nueva Victoria Property and 55 km SSW of the City of Iquique. The seawater will be stored in reception ponds at Nueva Victoria.
Water Consumption
Table 14-9 summarizes the rate of groundwater pumping for industrial water supply by SQM, by sector, for the years 2020, 2021, 2022, 2023 & 2024.
Table 14-9 Historic Rates of Groundwater Extraction for Industrial Water Supply
Year Sur Viejo (L/s) Llamara (L/s) Iris (L/s) Soronal (L/s) Pampa Tamarugal (L/s) Total (L/s)
2020 104.7 225.5 61 126.9 117.2 635.3
2021 106.5 221.5 61.3 129 120 638.3
2022 103.1 203.9 60.4 126.1 122.8 616.3
2023 101.9 226.2 59.6 118.6 110.9 617.2
2024 103.1 230.6 59.2 112 124.3 629.2
Potable water will be required to cover all workers' consumption and sanitary needs. Potable water supply considers a use rate of 100 L/person/d, of which 2 L/person/d corresponds to drinking water at the work fronts and cafeterias. Commercial bottled water will be provided to staff. Sanitary water will be supplied from storage tanks located in the camp and office sectors, which will be equipped with a chlorination system. A total of 719 workers per month are required, considering the Nueva Victoria and Iris operations together, so the total amount of potable water will be 72 m3/day (0.83 L/s).
SQM TRS Nueva Victoria
Pag. 174


Table 14-10 provides a breakdown of the estimated annual water requirement by potable and industrial water for year 2024. The heap leaching process corresponds to the greatest water demand.
Table 14-10 Nueva Victoria Industrial and Potable Water Consumption
Process Annual Volume (M³/Year) Equivalent Rate (L/s)
Industrial Water
Heap Leach 17,691,696 561
Puquios Reinjection 1,264,329 40
Mine 158,112 5
Iodide - Iodine Plants 255,397 8
Neutralization Plant
Solar Evaporation Ponds 423,774 13
Camp 63,246 2
Total Industrial Water 19,856,554 629
Drinking Water 26,207 0.83
Figure 14-10 presents the historical rate of water consumption by the heap-leaching operation at Nueva Victoria over the period 2008 – 2024. In 2024 the consumption of industrial water for heap leaching was 561 L/s.
Figure 14-10. Historical Rate of Consumption of Industrial Water by the Heap Leach Operation at Nueva Victoria from own wells (L/s)
chart-ebb71631cbd64e65b10.jpg
Future Process Water Requirements
Future process water requirements, due to TEA Project incorporation, will be covered by adding a 900 L/s seawater supply system. This seawater supply system extends from an intake located in Patillos Bay at a depth of 25 m and 852 m from the beach line, through to the seawater storage ponds located at the Seawater System Terminal Station at Nueva Victoria.
SQM TRS Nueva Victoria
Pag. 175


This system will be implemented starting in 2026, with an capacity of 900 L/s.
14.3.3Staffing Requirements
An estimated 1,276 workers are required during Nueva Victoria operations, Table 14-11 summarizes current workforce requirements.
Table 14-11 Personnel Required by Operational Activity
Operational Activity Current Personnel, Nueva Victoria Operations
Caliche Mining 612
Leaching process 234
Maintenance (mine-plant-SEP) 137
Iodide Production 72
Iodine Production 101
Neutralization System 2
Evaporation System-Operations 118
Total 1,276

14.3.4Process Plant Consumables
Raw materials such as sulfur, chlorine, paraffin, sodium hydroxide, or sulfuric acid, are added to the plants to produce a concentrated iodide solution which is then used in iodine production. These materials are transported by trucks from different parts of the country. A-412, which connects with Route 5, is the main route for vehicular flows required for input supply and raw material shipment.
Reagent Consumption Summary
Table 14-12 summarizes the main annual materials required for Nueva Victoria's operations to the nominal production rate of 11 kt iodine prill. This table also includes a total requirement for the future expansion of TEA project. It is worth noting that some of the inputs can be replaced by an alternative compound; for example, sulfur can be replaced by liquid sulfur dioxide, kerosene can be replaced by sodium hydroxide and finally, lime can be replaced by sodium carbonate.
It is important to note that there are ranges of consumption factors that have been studied through historical operational data of plant treatment. The ranges are established according to the different qualities of brine obtained from the treated resource. These factors allow projecting the requirements of reagents and process inputs, both for annual, short- and long-term planning.

SQM TRS Nueva Victoria
Pag. 176


Table 14-12 Process Reagents and Consumption Rates per Year, NV
Reagent and Consumables Function or Process Area Units Cosumption of Nueva Victoria (11 kton iodine prill) Consumption with TEA (23 kton iodine prill)
Sodium Hypochlorite Addition Of Sodium Hypochlorite Solution in The Seawater Pipeline Suction. Tpy 29 60
Iodide And Iodine Consumption Tpy 2,228 4,659
23,102 48,305
Ammonium Nitrate Necessary for Blasting Tpy 13,860 22,000
Sulfuric Acid Iodide Plant Tpy 16,652 34,464
Sulfur Iodide And Iodine Plants Tpy 9,058 24,699
825 2,990
Liquid Sulfur Dioxide Used as an Alternative to Solid Sulfur Tpy 23,626 49,399
2,860 5,980
Kerosene At The Iodide Plant as a Solvent Tpy 6,007 12,062
Sodium Hydroxide At the Iodine Plants and at the Iodide Plant as Replacement of Kerosene Tpy 1,935 34,464
166 690
Chlorine Supply Chlorine to the Iodine Plants as an Oxidizer Tpy 2,563 5,360
To The Iodide Plants Tpy 247 517
Filter Aid Alpha Cellulose Powder used to Iodide and Iodine Plants Tpy 72 150
Tpy 43 90
Codium Chloride Iodide Plant Tpy 613 1,281
Tpy 6,353 13,284
Hydrogen Peroxide Iodine Plant as an Oxidizer Tpy 2,136 5,520
Activated Carbon At the Iodine Plant Tpy 52 117
Sulfonitric Acid At the Iodine Plant Tpy 72 150
Sodium Metabisulfite Iodine Plant Tpy 132 276
Lime (75 % Cao) Neutralization Plant Tpy 7,979 19,000
Heap Tpy 2,391 5,000
Lime (95 % Cao) Heap Tpy 2,674 2,500
Sodium Carbonate Neutralization Plant for Lime Replacement Tpy 17,217 36,000
Heap Tpy 16,483 34,464
Others
Fuel Oil Iodine Plant Tpy 399 1,817
Barrels Packaging Pcs/Month 15,105 31,584
Polyethylene Bags Packaging Pcs/Month 17,948 37,527
Krealon Bags Packaging Pcs/Month 16,452 34,399
Maxi Bags Packaging Pcs/Month 414 865

SQM TRS Nueva Victoria
Pag. 177


Table 14-13 Process Reagents and Consumption Rates per year with Nitrate Plant (Planned).
Reagent and Consumables Units Consumption
Potassium Chloride Tpy 924,000
Potassium Salts 3,314,000
Fuel Oil 33,500
Diesel 31,500
Reagent handling and storage
To operate, inputs used are stored in stockpiles and tanks, facilities available in the area known as the input reception and storage area. To store the inputs used in the Nueva Victoria plants, the following infrastructure are used:
⮚Sulfur storage facilities.
⮚Kerosene tanks.
⮚Sulfuric acid tanks.
⮚Peroxide tanks.
⮚Chlorine tanks (mobile).
⮚Bunker oil tanks.
⮚Diesel oil tanks.
⮚Sulfonitric acid tank.
In the case of inputs used at Iris' iodine plant, the storage facilities include:
⮚Sulfur storage facilities.
⮚Sulfuric acid tanks.
⮚Diesel oil tank.
⮚Caustic soda tank.
⮚Calcium carbonate silo.
Each reagent storage system assembly is segregated based on compatibility and is located within curbed containment areas to prevent spill spreading and incompatible reagents from mixing. Drainage sumps and pump sumps are provided for spill control.
14.3.5Air Supply
High pressure air at 600-700 kPa is produced by compressors in place to satisfy the requirements of the plant as well as the equipment. High pressure air supply is dried and distributed through air receivers located throughout the plant. Each process plant has a compressor room to supply air to the compressors.
14.4QUALIFIED PERSON´S OPINION
According to Gino Slanzi Guerra, QP responsible for metallurgy and resource treatment:
⮚Metallurgical test data on the resources planned to be processed in the projected production plan to 2023 indicate that recovery methods are adequate. The laboratory, bench and pilot plant scale test program conducted over the last few years has determined that feedstock is reasonably suitable for production and has demonstrated that it is
SQM TRS Nueva Victoria
Pag. 178


technically possible using plant established separation and recovery methods to produce iodine and nitrate salts. Based on this analysis, the most appropriate process route, based on test results and further economic analysis of the material, are the unit operations selected which are otherwise typical for the industry.
⮚In addition, historical process performance data demonstrates reliability of recovery estimation models based on mineralogical content. Reagent forecasting and dosing will be based on analytical processes that determine mineral grades, valuable element content and impurity content to ensure that system treatment requirements are effective. Although there are known deleterious elements and processing factors that can affect operations and products, the company has incorporated proprietary methodologies for their proper control and elimination. These are supported by the high level of expertise of its professionals, which has been verified at the different sites visited.
⮚The mineralogical, chemical, physical and granulometric characterization results of the mineral to be treated, obtained from trials obtained, allow continuous evaluation of processing routes, either at the initial conceptual stages of the project or during the process already established, to ensure that the process is valid and in force, and/or to review optimal alternatives to recover valuable elements based on resource nature. Additionally, analysis methodologies determine deleterious elements, to establish mechanisms in operations so that these can be kept below the limits to ensure a certain product quality.
SQM TRS Nueva Victoria
Pag. 179


15PROJECT INFRASTRUCTURE
This section contains forward-looking information related to locations and designs of facilities comprising infrastructure for the Project. The material factors that could cause actual results to differ materially from the conclusions, estimates, designs, forecasts, or projections in the forward-looking information include any significant differences from one or more of the material factors or assumptions that were set forth in this sub-section including Project development plan and schedule, available routes and facilities sites with the characteristics described, facilities design criteria, access, and approvals timing. The analysis of the infrastructure in Nueva Victoria has been developed considering current facilities and requirements associated with future projects. This Section describes the existing facilities and planned expansion projects.
SQM's mining sites in Tarapacá Region, Nueva Victoria, and Iris, are in Tarapacá Region, in Iquique and Tamarugal provinces, communes of Iquique and Pozo Almonte, approximately 145 km southeast from Iquique and 85 km south from Pozo Almonte, in the case of Nueva Victoria, and 120 km southeast from Iquique in the case of Iris, located close to Iris office (Figure 15-1). These works as a whole involve a surface area of approximately 92.998 ha, including the TEA Project. The geographical reference location is 7,682,276 N, 431,488E, with an average elevation of 891 masl.
In late 2002, in order to restore mining operations at Nueva Victoria East, SQM re-established mining operations at Nueva Victoria East. Mineral at Nueva Victoria is transported by truck to heap leaching facilities, where iodine is produced. This site is constituted by facilities located in three sectors corresponding to Nueva Victoria, Sur Viejo, and Iris.
Figure 15-2 shows Nueva Victoria's geographic location. It also shows, for reference purposes, other sites belonging to SQM (Coya Sur, Salar de Atacama, and Salar del Carmen), and facilities used to distribute its products (Port of Tocopilla, Port of Antofagasta, and Port of Iquique).
From caliche, this site produces iodine and nitrate-rich salts through heap leaching and evaporation ponds. The main raw material required for the production of nitrate and iodine is caliche mineral, which is obtained from SQM's surface mines. The areas that are currently mined are located approximately 35 km northwest of Nueva Victoria.
Iodine extraction from caliche is a well-established process, but variations in the iodine and other chemical content of treated mineral and other operational parameters require a high level of technical expertise to manage effectively.
Caliche mineral in northern Chile contains a unique deposit of nitrate and iodine known throughout the world and is the world's largest commercially exploited source for natural nitrate. From these caliche mineral deposits, a wide range of nitrate-based products are produced, used as specialty plant nutrients and industrial applications as well as iodine and iodine derivatives.
SQM TRS Nueva Victoria
Pag. 180


Figure 15-1. General Location of Nueva Victoria
image_158.jpg
SQM TRS Nueva Victoria
Pag. 181


Figure 15-2. Location of Nueva Victoria Production Area
image_159.jpg
Iodine and its derivatives are used in a wide range of medical, pharmaceutical, agricultural and industrial applications, including x-ray contrast media, polarizing films for liquid crystal display (LCD/LED) screens, antiseptics, biocides and disinfectants, in pharmaceutical synthesis, electronics, pigments and dye components.
The solutions resulting from caliche mineral leaching at Nueva Victoria plant are used to produce iodine from the iodate contained inside them. Iodine is extracted from aqueous and concentrated solutions in iodide form using solvent extraction in plants at Nueva Victoria, Pedro de Valdivia and Iris. Details on the process facilities and the iodine and nitrates extraction can be found in Section 14.
Prilled iodine is tested for quality control purposes, using international standard procedures it has implemented, and then packaged in 20 - 50 kg drums or 350 - 700 kg maxi bags and transported by truck to Antofagasta, Mejillones or Iquique for export.
Figure 15-3 shows Nueva Victoria's process diagram.

SQM TRS Nueva Victoria
Pag. 182


Figure 15-3. Nueva Victoria Plant Process Diagram
image_160.jpg
SQM S.A.'s surface area under Mining Concessions for Exploitation associated with caliche Mineral Resources for its mining operations as of 31 December 2022 is approximately 558,562 ha (Figure 15-4).
Figure 15-4. Nueva Victoria Site Resource Diagram
image_161.jpg
In September 2010, the National Environmental Commission (now the Environmental Assessment Service) approved Pampa Hermosa's Environmental Study in Chile's Tarapacá Region (RCA N°890/2010).
This approval allowed SQM to have a production capacity at Nueva Victoria of 11,000 t of iodine per year and to produce up to 1.2 Mt of nitrates, extract up to 37 Mt of caliche per year, and use new water rights of up to 665.7 L/s.
SQM TRS Nueva Victoria
Pag. 183


At Iris, SQM has approved 2,000 t of iodine production per year with annual caliche extraction of up to 6.48 Mt. In recent years SQM has invested to increase water capacity at Nueva Victoria's operations from two water sources approved by Pampa Hermosa's Environmental Study and to expand the capacity of solar evaporation ponds and implement new mining areas and solution collection.
In 2011 and 2013, SQM completed iodine plant capacity expansions at Nueva Victoria.
In 2014, SQM made investments in new mining sector development and production increases for both nitrates and iodine at Nueva Victoria, achieving a production capacity (including Iris facility) of approximately 8,500 tpy of iodine at that site.
In November 2015, mining and nitrate operations at Pedro de Valdivia were suspended and iodine production at the site was reduced to take advantage in the more efficient production facilities at Nueva Victoria. Pampa Blanca's operations were suspended in 2010 and Maria Elena's operations were suspended in October 2013.
During 2017, iodine production capacity at Nueva Victoria was increased to approximately 10,000 tpy.
Currently, Nueva Victoria has a production capacity of approximately 13,000 metric tpy of iodine in an area of about 48,000 ha and 1,000,000 metric ton of nitrates per year.
Current total effective production capacity at the iodine production plants (Nueva Victoria, Iris, Pedro de Valdivia) is approximately 14,800 tpy.
Total iodine production in 2024 was 13,100 t; 11,400 ton from Nueva Victoria (with loading fronts TEA, and NV Norte), and 1,700 t from Pedro de Valdivia. Nueva Victoria is also equipped to produce iodine from iodide delivered from the other plants. There is flexibility to adjust production according to market conditions.
Some of iodine produced is used to manufacture inorganic iodine derivatives, which are intermediate products used to make nutritional and agricultural applications, at facilities located near Santiago, Chile, and to produce organic and inorganic iodine derivatives in collaboration with Ajay, a company that purchases iodine. Iodine-derived products have been marketed mainly in South America, Africa, and Asia, while Ajay and its affiliates have marketed iodine derivatives mainly in North America and Europe.
During 2020, progress was made on the TEA project development and environmental processing. In November 2021, SQM's TEA project was favorably classified by Tarapacá Region's Environmental Assessment Commission.
It involves an investment of USD350 million and aims to incorporate new mine areas for iodide, iodine, and nitrate-rich salts production at Nueva Victoria mine, which will increase the total amount of caliche to be extracted and the use of the sea water for these processes.
This project consists in modifying Nueva Victoria mine, which consists of:
a)New mine areas (436 Km2), with a caliche extraction rate of 28 Mtpy, resulting in a total of 65 Mtpy.
b)Two new Iodide production plants (6,000 tpy each), for a total of 23,000 tpy, one of them of 5,000 tpy already in operation.
c)One new iodine production plant (12,000 tpy) for a total of 23,000 tpy no yet in operation.
d)New evaporation ponds to produce nitrate-rich salts (1,950,000 tpy) for a total of 4,000,000 tpy.
e)New operational irrigation centers and distribution pipe solutions which should cover the new mine area are under construction.
f)New truck workshops and supporting infrastructure such as roads, casinos, offices, control rooms, etc. which are under construction.
g)A new neutralization system, a seawater conveyance (900 L/s maximum) from Patillos Bay sector to the mining area, under construction.
SQM TRS Nueva Victoria
Pag. 184


15.1ACCESS TO PRODUCTION, STORAGE AND PORT LOADING AREAS
The main access for vehicular traffic will be through a private existing road and A-760 Route. This private road will be accessed from Route 5. Access to Route A-760 may be from Route A-750 or from Route 5.
Additionally, the TEA Project considers two service roads - a road that connects the north-west sector (mine areas) with the coastal sector, where seawater suction works are located; and an internal road that will run from south to north, parallel to electric transmission line.
SQM's products and raw materials are transported by trucks, which are operated by third parties under long-term, dedicated contracts.
Iodine raw material, obtained from the same caliche used for nitrate production, is processed, packaged, and stored exclusively at Nueva Victoria and Pedro de Valdivia facilities.
Iodine is packaged in FIBC drums and maxi-bags with an inner polyethylene bag and oxygen barrier. When transported, it is consolidated in containers and sent by truck to port terminals suitable for handling, mainly in Antofagasta, Mejillones, and Iquique.
They are then shipped to the different markets by container ship, or by truck to Santiago where iodine derivatives are produced at Ajay-SQM Chile's plants.
In Nueva Victoria, nitrate raw material is produced for potassium nitrate production at Coya Sur, whose plant, also owned by SQM, is located 161 km southwest of Nueva Victoria by road.
15.2PRODUCTION AREAS AND INFRASTRUCTURE
The main facilities of the Nueva Victoria production area are as follows:
⮚Caliche extraction mine.
⮚Industrial water supply.
⮚Leaching.
⮚Iodide plants NV.
⮚Iodine and Prilling Plant NV.
⮚Evaporation ponds.
⮚Iodine Iris Plant.
⮚Camp and Offices.
⮚Domestic waste disposal site.
⮚Hazardous Waste Yard.
⮚Non-hazardous industrial waste yard.
Figure 15-5 depicts the Nueva Victoria site layout.

SQM TRS Nueva Victoria
Pag. 185


Figure 15-5. Nueva Victoria Site Layout
image_162.jpg
The Nueva Victoria mining areas and process facilities are described in more detail below.
15.2.1.Caliche Mine Areas
Caliche ore is blasted and dug at Nueva Victoria and Iris. The minimum thickness of caliche ore that SQM will mine is 1.5 m. The ore deposits are mined on a 25 x 25 m grid pattern.
The surface area authorized for mining at Nueva Victoria is 844 km².
The overall mining rate at Nueva Victoria is a 65.0 Mtpy with the incorporation of TEA Expansion.
15.2.2Heap Leaching
⮚Heap leaching: platforms (normally 90 x 500 m) with parapets around the perimeter and with bottom waterproofed with HDPE membranes), which are loaded with required caliche (between 400 to 1000 Mton) and are irrigated with different solutions (Industrial Water, Industrial water + BF mix or Intermediate Solution).
⮚Mine Operation Centers (COM) represent a set of heap leaching facilities, with brine accumulation ponds (poor solution, intermediate solution, and rich solution), recirculated brine ponds, industrial water ponds and their respective pumping and impulsion systems.
⮚Auxiliary infrastructure includes general service facilities destined for workers.
SQM TRS Nueva Victoria
Pag. 186


15.2.3Iodide Plants
Iodide production at the Nueva Victoria Iodide Plant totals 11 ktpy. With the TEA expansion the combined Nueva Victoria iodide production will reach 23 ktpy.
The infrastructure at the iodide plants includes the following:
⮚Storage ponds to hold the brine received from the heap leaching operation.
⮚SO2 generation units.
⮚Absorption towers with their respective pick-up tanks.
⮚SX units.
⮚Stripping system.
⮚Gas scrubbing system.
⮚BF storage ponds with their respective pumps.
15.2.4Iodine Plant
The Iodine Plant at Nueva Victoria receives iodide from the iodide plant at Nueva Victoria. The current production capacity of the Nueva Victoria Iodine Plant is 11 ktpy. This increase to 23 ktpy whit the TEA expansion.
The infrastructure at the iodine plant includes the following:
⮚Iodide storage ponds (concentrated, filtered, or conditioned).
⮚Filters (perrin, or duplex plates).
⮚Activated carbon towers for iodide conditioning.
⮚Oxidizers.
⮚Reactors (for smelting, refining and prilling stages).
⮚Prilling towers.
⮚Prill grading sieving systems.
⮚Gas scrubbing system.
⮚Boiler room.
⮚Warehouse for packaging and temporary storage (product awaiting approval).
⮚Dispatch warehouse with a rack system for product storage.
15.2.5Ancillary Infrastructure at the Nueva Victoria
The following facilities are available for the storage of consumables used in the iodide and iodine plants:
⮚Sulfur stockpiles for the generation of sulfur dioxide.
⮚Kerosene tanks.
⮚Sulfuric acid tanks.
SQM TRS Nueva Victoria
Pag. 187


⮚Hydrogen peroxide storage tanks.
⮚Mobile storage tanks for chlorine.
⮚Oil storage tanks.
⮚Diesel storage tanks.
⮚Sulfonitric acid storage tanks.
The Nueva Victoria is also equipped with the following systems and infrastructure:
⮚Firefighting water system.
⮚Water storage tank with its respective pump and piping system distributed throughout the entire plant installation.
⮚Reverse osmosis system, including water storage tanks (industrial or drinking water).
⮚Generator room.
⮚Compressor room.
⮚Control room.
⮚Office building.
⮚Ponds used with intermediate process solutions.
⮚Equipment maintenance workshop.
⮚Material and replacement parts yard.
⮚Electrical control rooms.
15.2.6Evaporation Ponds
This facility, located in the industrial area of Sur Viejo, receives AFA piped 20 km from the iodide plant at Nueva Victoria.
Current production of high-nitrate salts at Nueva Victoria is 2.05 Mtpy. This is projected to increase to a total of 4 Mtpy whit the TEA expansion.
The current facility covers an area of 8.34 km², this will increase to a total of 18.51 km² with the TEA expansion.
The evaporation ponds facility includes the following infrastructure:
⮚Neutralization Plant to raise the pH of the influent AFA.
⮚Solar evaporation ponds.
⮚Auxiliary facilities.
Figure 15-6 presents an aerial view of the evaporation ponds facility at Sur Viejo.

SQM TRS Nueva Victoria
Pag. 188


Figure 15-6. General View of The Evaporation Ponds at the Sur Viejo Industrial Area
image_163.jpg
15.2.7Neutralization Plant
AFA is neutralized by mixing it with a slurry of calcium hydroxide. Neutralization takes place in mixing ponds that discharge into ponds that allow sedimentation of solids in suspension, such as gypsum.
15.2.8Solar Evaporation Ponds
Solar evaporation ponds are divided into pre-concentration ponds, production ponds and purge ponds. Figure 15-7 shows a panoramic view of a part of the solar evaporation ponds.

SQM TRS Nueva Victoria
Pag. 189


Figure 15-7. General View of Solar Evaporation Ponds in Sur Viejo
image_164.jpg
In the pre-concentration ponds, discard salts precipitate, which are harvested and placed in discard salt stockpiles that have a waterproofed base to recover the solution from the squeezing or impregnation. Nitrate-rich salts precipitate in the production ponds are harvested and stockpiled in product ponds.
These nitrate-rich salts are shipped by truck to SQM's facilities in the Antofagasta Region
15.2.9Auxiliary Facilities
These include offices, bathrooms, dressing rooms and a cafeteria for personnel working there, a reverse osmosis plant and a sewage treatment plant (TAS).
15.2.10Iris Iodine Plant
Located at the Iris COM, it includes the following infrastructure:
⮚Iodide plant
⮚Auxiliary installations
⮚Iodine plant
Figure 15-8 presents an aerial view of the Iris Iodine Plant.

SQM TRS Nueva Victoria
Pag. 190


Figure 15-8. General View of The Iris Iodine Plant Area
image_165.jpg
To produce iodine at Iris the plant that cover reception of raw materials to producing iodine prill as a final product.
The main equipment and infrastructure included in iodine plant are:
⮚SO2 generation furnaces
⮚Iodization absorption towers, each with its respective TK pick up, cooler and TK seal
⮚Iodine reception TK from the iodization towers
⮚Scrubber or gas scrubber with its respective TK seal
⮚TK for primary cutting
⮚Blow-out modules, consisting of absorption tower, desorption tower and NaOH TK
⮚Concentrated iodide TK
⮚Brine feble pond for blow-out modules discard solution, with their respective pumps
⮚Crystallizers (secondary cutting)
⮚Reactors (for smelting, refining and prilling stages)
⮚Prilling tower
⮚Dryers and sifters
⮚Boiler room.
SQM TRS Nueva Victoria
Pag. 191


Packaging and shipment facilities include.
⮚Auxiliary facilities
Storage facilities at the at Iris iodine plant include:
⮚Sulfur storage yard
⮚Sulfuric acid tanks
⮚Diesel oil tank
⮚Caustic soda tank
Other infrastructures around the plant include:
⮚Osmosis plant and water storage ponds
⮚TAS plants (sewage treatment)
⮚Generator room
⮚Compressors
⮚Control room
⮚Administrative offices
⮚Ponds used with intermediate process solutions
⮚Maintenance workshop
⮚Camp and Offices
In the industrial sectors of Nueva Victoria and Iris, the following annexed facilities are available:
⮚General office facility
⮚Offices
⮚Training room
⮚Cafeteria
⮚Camp
⮚Warehouse
⮚Domestic waste disposal site
⮚Hazardous waste yard and
⮚Non-hazardous industrial waste yard
15.3COMMUNICATIONS
The facilities have telephone, internet, and television services via satellite link or by fiber optics supplied by an external provider.
Communication for operations staff is via communication radios with the same frequency.
SQM TRS Nueva Victoria
Pag. 192


Communication to the control system, CCTV, internal telephony, energy, and data monitoring is via its own fiber optics, which connects process plants and control rooms.
Information Systems and IT
In addition to the facilities mentioned above, SQM operates several computer and information systems that connect its main subsidiaries to operational and administrative facilities in Chile and other parts of the world. IT and information systems are mainly used for finance, accounting, human resources, supply and inventory tracking, invoicing, quality control, research activities, as well as production and maintenance process control. The mainframe computer system is located at Santiago offices and Chilean and international subsidiaries are interconnected with each other through data links.
15.4WATER SUPPLY
Water for Nueva Victoria's facilities is obtained from ground water ponds near the production facilities. Currently, the new EIA TEA considers seawater from an aqueduct to be constructed by SQM.
For industrial water supply, there are groundwater extraction ponds in Salar de Sur Viejo, Pampa del Tamarugal and Salar de Llamara, whose water rights have been approved as shown in Table 15-1:
Table 15-1. Approved Water Rights, by Sector
Ponds Location Sector Approved water right (l/s)
Salar de Sur Viejo 107
Pampa del Tamarugal 359.9
Salar de Llamara 244.7
Total 711.6
The current authorized groundwater extraction for industrial use is 711.6 L/s, increasing by an additional 900 L/s due to seawater conveyance (TEA project), reaching a total of 1,611.6 L/s for industrial use.
The average water abstraction records (L/s) during 2022 to 2024 are included in Table 15-2
Table 15-2. Average Water Extraction, by Sector
 Pond location sector
Water extraction average value 2022 (l/s) Water extraction average value 2023 (l/s) Water extraction average value 2024 (l/s)
Salar de Sur Viejo 103.10 101.9 103
Pampa del Tamarugal 309.30 289.1 295.5
Salar de Llamara 203.90 226.20 230.6
Total 616.30 617.20 629
A network of pipelines, pumping stations, and power lines are used for water extraction, pumping, and transport to storage ponds, and from there to the different points where it is required. Average water consumption is 561 l/s.
The difference between extraction of 629 L/s compared to consumption of 561 L/s, in other words, 68 L/s (approximately 2,144,448 m³/y) is accumulated in pools and/or ponds.
15.5WATER TREATMENT
The volume of treated water at the wastewater treatment plant in 2024 was 63,072 m³.
Mining waste generated at the site correspond to depleted heap leaching, overburden, and waste salts.
SQM TRS Nueva Victoria
Pag. 193


15.6POWER SUPPLY
Figure 15-9 corresponds to the Nueva Victoria Tap-Off, an existing substation that supplies power to SQM's existing facilities through a 50 MVA transformer connected to the national transmission line Lagunas - San Simón section. The transformer provides 66 kV voltage level for the Sur Viejo and Llamara substation circuits, as well as 23 kV for the power supply to the production plant.

In addition to the Tap-Off, SQM is building a 100 MVA substation 5 kilometers north of the existing Tap-Off, which will disconnect the Lagunas - San Simón 220 kV line. The new substation contemplates the incorporation of a 100 MVA transformer with voltages of 66 and 23 kV, which will supply energy to SQM's new seawater projects, in addition to strengthening the company's energy matrix at its operations in the First Region.

Figure 15-9. Geographical location of S/E Tap Off Nueva Victoria
image_166.jpg
SQM TRS Nueva Victoria
Pag. 194


16MARKET STUDIES
This section contains forward-looking information related to commodity demand and prices for the Project. The material factors that could cause actual results to differ materially from the conclusions, estimates, designs, forecasts, or projections in the forward-looking information include any significant differences from one or more of the material factors or assumptions that were set forth in this section including prevailing economic conditions, commodity demand and prices are as forecasted over the Long-Term period.
16.1 IODINE AND ITS DERIVATIVES
16.1.1 The Company

Iodine and iodine derivatives are used in a wide range of medical, agricultural, and industrial applications as well as in human and animal nutrition products. They are mainly used in the X-Ray contrast media, polarizing film and pharmaceuticals.
Industrial chemicals have a wide range of applications in certain chemical processes such as the manufacturing of glass, explosives and ceramics. Industrial nitrates are also being used in concentrated solar power plants as a means for energy storage.

Iodine and its Derivatives: We believe that we are the world’s leading producer of iodine and iodine derivatives, which are used in a wide range of medical, pharmaceutical, agricultural and industrial applications, including X-Ray contrast media, polarizing films for LCD and LED, antiseptics, biocides and disinfectants, in the synthesis of pharmaceuticals, electronics, pigments and dye components.

Industrial Chemicals: We produce and sell three industrial chemicals: sodium nitrate, potassium nitrate and potassium chloride. Sodium nitrate is used primarily in the production of glass, explosives, and metal treatment, metal recycling and the production of insulation materials, among other uses. Potassium nitrate is used in the manufacturing of specialty glass, and it is also an important raw material for the production of frits for the ceramics, enamel industries, metal treatment and pyrotechnics. Solar salts, a combination of potassium nitrate and sodium nitrate, are used as a thermal storage medium in concentrated solar power plants. Potassium chloride is a basic chemical used to produce potassium hydroxide, and it is also used as an additive in oil drilling as well as in food processing, among other uses.

Table 16-1. Percentage Breakdown of SQM's Revenues for 2024, 2023 and 2022
Revenue breakdown 2024 2023 2022
Specialty Plant Nutrition 21% 12% 11%
Lithium and derivatives 49% 69% 76%
Iodine and derivatives 21% 12% 7%
Potassium 6% 4% 4%
Industrial chemicals 2% 2% 2%
Other products and services 1% —% —%
Total 100% 100% 100%

16.1.2 Business Strategy

Iodine and its Derivatives

Our strategy in our iodine business is to (i) encourage demand growth and promote new uses for iodine; (ii) provide a product of consistent quality according to the requirements of the customers; (iii) build a local and trustful relationship with our customers through warehouses placed in every major region; (iv) to achieve and maintain sufficient market share to optimize our cost and the use of the available production capacity; (v) participate in the iodine recycling projects through the Ajay-SQM Group (“ASG”), a joint venture with the US company Ajay Chemicals Inc. (“Ajay”) and reduce the production costs through improved processes and increased productivity to compete more effectively.
SQM TRS Nueva Victoria
Pag. 195



Industrial Chemicals

Our strategy in our industrial chemical business is to: (i) maintain our leadership position in the industrial nitrates market; (ii) encourage demand growth in different applications as well as exploring new potential applications; (iii) position ourselves as a long-term, reliable supplier for the industry, maintaining close relationships with R&D programs and industrial initiatives; (iv) reduce our production costs through improved processes and higher productivity in order to compete more effectively and (v) supply a product with consistent quality according to the requirements of our customers.

16.1.3 Main Business Lines

16.1.3.1 Iodine and its Derivatives

We believe that we are the world’s largest producer of iodine. In 2024, our revenues from iodine and iodine derivatives amounted to US$968.3 million, representing 21.4% of our total revenues in that year and an increase from US$892.2 million in 2023. This increase was mainly attributable to higher sales volumes than in 2023. Average iodine prices were approximately 2.3% lower in 2024 than in 2023. Our sales volumes increased approximately 11.1% in 2024. We estimate that our sales accounted for approximately 37% of global iodine sales by volume in 2024.
The following table shows our total sales volumes and revenues from iodine and iodine derivatives for 2024, 2023 and 2022:
Table 16-2. Iodine and derivatives volumes and revenues, 2022 - 2024
Sales volumes
(Thousands of metric tons)
2024 2023 2022
Iodine and derivatives 14.5 13.1 12.7
Total revenues
(In US$ millions)
968.3 892.2 754.3

16.1.3.1.1 Market

Iodine and iodine derivatives are used in a wide range of medical, agricultural and industrial applications as well as in human and animal nutrition products. Iodine and iodine derivatives are used as raw materials or catalysts in the formulation of products such as X-ray contrast media, biocides, antiseptics and disinfectants, pharmaceutical intermediates, polarizing films for LCD and LED screens, chemicals, organic compounds and pigments. Iodine is also added in the form of potassium iodate or potassium iodide to edible salt to prevent iodine deficiency disorders.

X-ray contrast media is the leading application of iodine, accounting for approximately 37% of demand. Iodine’s high atomic number and density make it ideally suited for this application, as its presence in the body can help to increase contrast between tissues, organs, and blood vessels with similar X-ray densities. Other applications include pharmaceuticals, which we believe account for 13% of demand; LCD and LED screens, 13%; iodophors and povidone-iodine, 6%; animal nutrition, 7%; fluoride derivatives, 6%; biocides, 5%; nylon, 3%; human nutrition, 3% and other applications, 7%.

In 2024, our estimates indicate that the market experienced an upturn of approximately 7% compared to the previous year. This expansion can primarily be attributed to a series of key factors impacting various industries. First, the broader global economic recovery has led to a better-than-expected GDP this year, with industrial production boosting company investments, especially in India and China. Additionally, demand for contrast media has accelerated due to significant expansions and strong performance among major players in this industry, where government expenditures in healthcare and new technologies have played a key role. Finally, while high prices have slowed demand in certain sectors, such as iodophors and biocides, the decline in these applications was smaller than the growth seen in other industries, leading to a strong iodine demand.

Conversely, the demand for X-ray contrast media emerged as a primary driver of growth in the iodine market. This increase is largely due to heightened healthcare expenditures, increased prevalence of chronic diseases necessitating
SQM TRS Nueva Victoria
Pag. 196


diagnostic imaging, rising volume of CT procedures, advancements in imaging technology and demographic shift towards an aging population. The growing use of diagnostic imaging, particularly in China, Europe and the US, has significantly bolstered the demand for iodine-based contrast agents, counterbalancing some of the declines seen in other sectors.

16.1.3.1.2 Products

We produce iodine in our Nueva Victoria plant, near Iquique, Chile, Pedro de Valdivia plant and in our newest addition, Pampa Blanca mining site, both located close to María Elena, Chile. We have a total production capacity of approximately 14,300 metric tons per year of iodine.

Through Ajay SQM Group (“ASG”), we produce organic and inorganic iodine derivatives. ASG was established in the mid-1990s and has production plants in the United States, Chile and France. ASG is one of the world’s leading inorganic and organic iodine derivatives producer.

Consistent with our iodine business strategy, we are constantly working on the development of new applications for our iodine-based products, pursuing a continuing expansion of our businesses and maintaining our market leadership.

We manufacture our iodine and iodine derivatives in accordance with international quality standards and have qualified our iodine facilities and production processes under the ISO 9001:2015 program, providing third party certification of the quality management system and international quality control standards that we have implemented.


16.1.3.1.3 Marketing and Customers
In 2024, we sold our iodine products in approximately 33 countries to 131 customers, and most of our sales were exports. Two customers individually accounted for at least 10% of sales in this segment, representing approximately 33% of iodine sales. The 10 largest customers together accounted for approximately 77% of sales during this period. On the other hand, no supplier had an individual concentration of at least 10% of the cost of sales of this line of business.
The following table shows the geographical breakdown of our revenues:
Table 16-3. Geographical Breakdown of the Revenues: Iodine and its derivatives
Revenues Breakdown 2024 2023 2022
North America 16% 14% 19%
Europe 38% 41% 38%
Chile 0% 0% 0%
Central and South America (excluding Chile) 2% 2% 2%
Asia and Others 43% 42% 41%

We sell iodine through our own worldwide network of representative offices and through our sales, support and distribution affiliates. We maintain inventories of iodine at our facilities throughout the world to facilitate prompt delivery to customers. Iodine sales are made pursuant to spot purchase orders or within the framework of supply agreements. Supply agreements generally specify annual minimum and maximum purchase commitments, and prices are adjusted periodically, according to prevailing market prices.


16.1.3.1.4 Competition

The world’s main iodine producers are based in Chile, Japan and the United States. Iodine is also produced in Russia, Turkmenistan, Azerbaijan, Indonesia and China.

Iodine is produced in Chile from a unique mineral known as caliche ore, whereas in Japan, the United States, Russia, Turkmenistan, Azerbaijan, and Indonesia, producers extract iodine from underground brines that are mainly obtained
SQM TRS Nueva Victoria
Pag. 197


together with the extraction of natural gas and petroleum. The recycled iodine waste production comes mainly from China and Japan.

Five Chilean companies accounted for approximately 60% of total global sales of iodine in 2024, including SQM, with approximately 37%, and four other producers accounting for the remaining 23%. The other Chilean producers are S.C.M. Cosayach (Cosayach), controlled by the Chilean holding company Inverraz S.A.; ACF Minera S.A., owned by the Chilean Urruticoechea family; Algorta Norte S.A., a joint venture between ACF Minera S.A. and Toyota Tsusho; and Atacama Minerals, which is owned by Chinese company Tewoo.

We estimate that eight Japanese iodine producers accounted for approximately 23% of global iodine sales in 2024, including recycled iodine.

We estimate that iodine producers in the United States accounted for nearly 5% of world iodine sales in 2024. Iodine recycling is a growing trend worldwide. Several producers have recycling facilities where they recover iodine and iodine derivatives from iodine waste streams.

We estimate 16% of the iodine supply comes from iodine recycling. Through ASG or alone, we are also actively participating in the iodine recycling business using iodinated side-streams from a variety of chemical processes in Europe and the United States.

The prices of iodine and iodine derivative products are determined by market conditions. World iodine prices vary depending upon, among other things, the relationship between supply and demand at any given time. Iodine supply varies primarily as a result of the production levels of the iodine producers (including us) and their respective business strategies. In 2024, our annual average iodine sales prices slightly decreased compared to 2023, reaching approximately US$67 per kilogram in 2024, from the average sales prices of approximately US$68 per kilogram observed in 2023.

Demand for iodine varies depending upon overall levels of economic activity and the level of demand in the medical, pharmaceutical, industrial and other sectors that are the main users of iodine and iodine-derivative products. Certain substitutes for iodine are available for certain applications, such as antiseptics and disinfectants, which could represent a cost-effective alternative to iodine depending on prevailing prices.

The main factors of competition in the sales of iodine and iodine derivative products are reliability, price, quality, customer service and the price and availability of substitutes. We believe we have competitive advantages compared to other producers due to the size and quality of our mining reserves and the available production capacity. We believe our iodine is competitive with that produced by other manufacturers in certain advanced industrial processes. We also believe we benefit competitively from the long-term relationships we have established with our largest customers.


16.1.3.2 Industrial Chemicals
In 2024, our revenues from industrial chemicals were US$78.2 million, representing approximately 1.7% of our total revenues for that year and a 55.4% decrease from US$175.2 million in 2023, as a result of higher sales volumes in this business line, which offset lower sales prices. Sales volumes in 2024 decreased 70.9% compared to sales volumes reported last year, while average prices in the business line increased 53.1% during 2024 compared to average prices reported during 2023.
SQM TRS Nueva Victoria
Pag. 198


The following table shows our sales volumes of industrial chemicals and total revenues for 2024, 2023 and 2022:
Table 16-4. Industrial chemicals volumes and revenues, 2022 - 2024
Sales volumes
(Thousands of metric tons)
2024 2023 2022
Industrial Chemicals 52.6 180.4 147.0
Total revenues
(In US$ millions)
78.2 175.2 165.2

16.1.3.2.1 Market

Industrial sodium and potassium nitrates are used in a wide range of industrial applications, including the production of glass, ceramics and explosives, metal recycling, insulation materials, metal treatments, thermal solar and various chemical processes.

We are also experiencing a growing interest in using solar salts in thermal storage solutions related to CSP technology. Due to their proven performance, solar salts are being tested in industrial heat processes and heat waste solutions. These new applications may open new opportunities for solar salts uses in the near future, such as retrofitting coal plants.

16.1.3.2.2 Products

We produce and sell three industrial chemicals: sodium nitrate, potassium nitrate and potassium chloride. Sodium nitrate is used primarily in the production of glass, explosives, metal treatment, metal recycling and the production of insulation materials, adhesives, among other uses. Potassium nitrate is used in the manufacturing of specialty glass, and it is also an important raw material for the production of frits for the ceramics, enamel industries, metal treatment and pyrotechnics. Solar salts, a combination of potassium nitrate and sodium nitrate, are used as a thermal storage medium in concentrated solar power plants. Potassium chloride is a basic chemical used to produce potassium hydroxide, and it is also used as an additive in oil drilling and in food processing, among other uses.

In addition to producing sodium and potassium nitrate for agricultural applications, we produce different grades of these products, including prilled grades, for industrial applications. The grades differ mainly in their chemical purity. We have operational flexibility in producing industrial grade nitrates, because they are produced from the same process as their equivalent agricultural grades, needing only an additional step of purification. We may, with certain constraints, shift production from one grade to the other in response to market conditions. This flexibility allows us to maximize yields and to reduce commercial risk. In addition to producing industrial nitrates, we produce, market and sell industrial-grade potassium chloride.

16.1.3.2.3 Marketing and Customers
In 2024, we sold our industrial nitrate products in 53 countries, to approximately 274 customers. No single customer accounted for at least 10% of this segment's sales, and the 10 largest customers together accounted for approximately 27% of this segment's revenues. On the other hand, no supplier has an individual concentration of less than 10% of the cost of sales of this line of business.. We make lease payments to Corfo which are associated with the sale of different products produced in the Salar de Atacama, including lithium carbonate, lithium hydroxide and potassium chloride. See Note 22.2 to our consolidated financial statements for the disclosure of lease payments made to Corfo for all periods presented.
SQM TRS Nueva Victoria
Pag. 199


The following table shows the geographical breakdown of our revenues:
Table 16-5. Geographical Breakdown of the Revenues: Industrial chemicals
Revenues Breakdown 2024 2023 2022
North America 56% 27% 36%
Europe 24% 12% 17%
Chile 1% 1% 1%
Central and South America (excluding Chile) 10% 6% 7%
Asia and Others 9% 54% 39%

Our industrial chemical products are marketed mainly through our own network of offices, logistic platforms, representatives and distributors. We maintain updated inventories of our stocks of sodium nitrate and potassium nitrate, classified according to graduation, to facilitate prompt dispatch from our warehouses. We provide support to our customers and continuously work with them to improve our service and quality, together with developing new products and applications for our products.

16.1.3.2.4 Competition

We believe that we are one of the world’s largest producers of industrial sodium nitrate and potassium nitrate. In 2024, our estimated market share by volume for industrial potassium nitrate was 32% and for industrial sodium nitrate was 29% (excluding domestic demand in China and India).

Our competitors in sodium nitrate are mainly based in Europe and Asia, producing sodium nitrate as a by-product of other production processes. In sodium nitrate, BASF AG, a German corporation, and several producers in Eastern Europe and China are competitive since they produce industrial sodium nitrate as a by-product. Our industrial sodium nitrate grades also compete indirectly with substitute chemicals, including sodium carbonate, sodium sulfate, calcium nitrate and ammonium nitrate, which may be used in certain applications in place of sodium nitrate and are available from a large number of producers worldwide.

Our main competitors in the industrial potassium nitrate business are Haifa Chemicals, Kemapco and some Chinese producers, which we estimate had a market share of 18%, 9% and 15%, respectively, in 2024. Producers of industrial sodium nitrate and industrial potassium nitrate compete in the marketplace based on attributes such as product quality, delivery reliability, price, and customer service. Our operation offers both products at high quality and with low cost.

In the industrial potassium chloride market, we are a relatively small producer, mainly focused on supplying regional needs.

16.2 SPECIALTY PLAN NUTRITION


16.2.1 The Company

Specialty plant nutrients are premium fertilizers that enhance crop yields and quality. Our key product is potassium nitrate, mainly used in fertigation for high-value crops. We also produce and sell potassium chloride globally as a commodity fertilizer. Additionally, we trade other complementary fertilizers worldwide to diversify our offerings.

Specialty Plant Nutrition: We offer three main types of specialty plant nutrients for fertigation, direct soil, and foliar applications: potassium nitrate, sodium nitrate, and specialty blends. We also sell other specialty fertilizers, including third-party products. These products, available in solid or liquid forms, are mainly used on high-value crops like fruit, flowers, and some vegetables. They are widely utilized in modern agricultural techniques such as hydroponics, greenhouses, and fertigation (where fertilizer is dissolved in water before irrigation).

SQM TRS Nueva Victoria
Pag. 200


Specialty plant nutrients offer advantages over commodity fertilizers, such as quick absorption, excellent water solubility, and low chloride content. Potassium nitrate, a key product, comes in crystalline and prill forms for various applications. Crystalline potassium nitrate suits fertigation and foliar use, while prills are ideal for direct soil application.

We market our products under the following brands: Ultrasol® (fertigation), Qrop® (soil application), Speedfol® (foliar application), and Allganic® (organic agriculture).

Sophisticated customers now seek integrated solutions rather than single products. Our offerings include customized blends and agronomic services, enhancing plant nutrition for better yields and quality. Derived from natural nitrate compounds or potassium brines, our products feature beneficial trace elements, offering advantages over synthetic fertilizers. Consequently, specialty nutrients command a premium price compared to standard fertilizers.

Potassium: Potassium chloride is produced from brines extracted from the Salar de Atacama. This commodity fertilizer is used to nourish various crops, including corn, rice, sugarcane, soybeans, and wheat.

Other Products and Services: We sell a variety of fertilizers and blends, including those we don't produce. We are the largest producer of potassium nitrate and distributor of potassium nitrate, sulfate, and chloride.

16.2.2 Business Strategy

Specialty Plant Nutrition

Our strategy for the specialty plant nutrition business includes:
•Leveraging our products' advantages over commodity fertilizers.
•Expanding our sales of high-margin potassium and natural nitrate-based nutrients.
•Investing in complementary businesses to enhance our product portfolio, increase production, reduce costs, and add marketing value.
•Developing new nutrient blends in strategically located mixing plants.
•Focusing on markets where soluble and foliar applications establish leadership.
•Enhancing global distribution and marketing through strategic alliances.
•Reducing production costs with improved processes and higher labor productivity.
•Supplying consistently quality products tailored to customer requirements.

Potassium

Our potassium business strategy includes:
•Flexibility to offer crystallized or granular products as needed.
•Targeting markets with logistical advantages and synergies with our specialty plant nutrition business.
•Providing consistent quality to meet customer requirements.

16.2.3 Main Business Lines

16.2.3.1 Specialty Plant Nutrition
In 2024, specialty plant nutrients revenues decreased to US$941.9 million, representing 20.8% of our total revenues for that year and a 3.1% increase from US$913.9 million in specialty plant nutrients revenues in 2023. Prices decreased approximately 11.9% in 2024.

It is estimated that we are the largest producer of potassium nitrate globally. Our sales accounted for approximately 41% of global potassium nitrate sales for all agricultural uses by volume in 2024.

SQM TRS Nueva Victoria
Pag. 201


Table 16-6. Specialty Plant Nutrition volumes and revenues, 2022 - 2024
Sales volumes
(Thousands of metric tons)
2024 2023 2022
Sodium nitrate 12.5 16.7 14.4
Potassium nitrate and sodium potassium nitrate 534.0 443.5 477.4
Specialty blends 276.7 243.4 218.0
Other specialty plant nutrients 159.7 136.5 138.1
Total revenues
(In US$ millions)
941.9 913.9 1,172.3

16.2.3.1.2 Market

Specialty plant nutrients serve various agricultural purposes, including fertigation for high-value crops like vegetables and fruits. These fertilizers must be highly soluble and free of impurities for modern irrigation methods such as drip and micro-sprinkler systems. Potassium nitrate stands out among these nutrients due to its chlorine-free composition, high solubility, proper pH, and lack of impurities, allowing it to command a premium price over alternatives like potassium chloride and sulfate.

Modern irrigation systems are widely used in protected crops and high-value fruit plantations like greenhouses, tunnels (for berries), and shade houses (for tomatoes). Specialty nutrients are also applied for foliar and granular soil applications in niches such as potato and tobacco production.

Specialty plant nutrients have distinct characteristics that can increase productivity and improve quality when applied to specific crops and soils. These products offer certain benefits over commodity fertilizers derived from other sources of nitrogen and potassium, such as urea and potassium chloride.

Since 1990, the international market for specialty plant nutrients has expanded at a quicker pace than the market for commodity fertilizers. Contributing factors include: (i) the adoption of new agricultural technologies like fertigation, hydroponics, and greenhouses; (ii) rising land costs and water scarcity, which have prompted farmers to enhance yields and reduce water consumption; and (iii) growing demand for higher-quality crops.

However, during 2022 and 2023, the market for agricultural soluble potassium nitrate saw a reduction in consumption by approximately 12% and 8%, respectively, due to significant price increases, adverse climate conditions, and high inflation rates. These estimates exclude locally produced and sold potassium nitrate in China and only account for net imports and exports.

Despite two consecutive years of decline, 2024 was a good year for the Specialty Plant Nutrition market. We estimate that the market, excluding production and consumption within China, grew by around 17%, reaching levels slightly below what we had seen during 2020.

16.2.3.1.2 Products

We produce three main types of specialty plant nutrients that provide nutritional solutions for fertigation, direct soil applications and foliar fertilizers: potassium nitrate (KNO3), sodium nitrate (NaNO3) and specialty blends. We also sell other specialty fertilizers, including products produced by third parties. All of these products are used in solid or liquid form primarily on high-value crops such as fruits, flowers and some vegetables. These fertilizers are widely used in crops using modern agricultural techniques such as hydroponics, greenhouses and crops with foliar application and fertigation (in the latter case, the fertilizer is dissolved in water prior to irrigation).

Specialty plant nutrients have certain advantages over commercial fertilizers, such as fast and effective absorption (without requiring nitrification), superior water solubility, and low chloride content. One of the most important products in this business line is potassium nitrate, which is marketed in crystalline or prilled form, allowing for different application
SQM TRS Nueva Victoria
Pag. 202


methods. Crystalline potassium nitrate products are ideal for fertigation and foliar applications, and potassium nitrate beads are suitable for direct soil applications.

Special blends are produced using our own special plant nutrients and other components in blending plants operated by us or our affiliates and related companies around the world.

The advantages of our special "Ultrasol" vegetable blends include the following:
•Fully water soluble for efficient use in hydroponics, fertigation, foliar applications, and advanced agricultural techniques, reducing water usage.
•Chloride-free to prevent toxicity in chlorine-sensitive crops.
•Provides nitrogen in nitric form for faster nutrient absorption compared to urea- or ammonium-based fertilizers.

We have developed brands for their commercialization according to the different applications and uses of our products. Our main brands are: Ultrasol® (fertigation), Qrop® (soil application), Speedfol® (foliar application) and Allganic® (organic agriculture).

During 2024, we continued to grow sales of differentiated fertilizers such as Ultrasoline® for improved root growth and optimal nitrogen metabolism, ProP® for more efficient phosphorus absorption, and Prohydric® for more efficient fertilization and water use.

Specialty nutrients can be classified as either specialty field fertilizers or water-soluble fertilizers based on their application methods.

Specialty field fertilizers are applied directly to the soil either manually or mechanically. Their high solubility, chloride-free nature, and non-acidic reactions make them ideal for crops like tobacco, potatoes, coffee, cotton, and certain fruits and vegetables.

Water-soluble fertilizers are delivered through modern irrigation systems and must be highly soluble, rich in nutrients, free of impurities, and have a low salinity index. Potassium nitrate is a key nutrient here due to its balance of nitric nitrogen and chloride-free potassium, essential for plant nutrition in these systems.

Potassium nitrate is crucial in foliar feeding to prevent and correct nutritional deficiencies and avoid stress. It aids in balancing fruit production and plant growth, especially in crops with physiological disorders.


16.2.3.1.3 Marketing and Customers
In 2024, we sold our specialty plant nutrients in approximately 100 countries and to more than 1,500 customers. No single customer individually accounted for at least 10% of sales in this segment during 2024. The 10 largest customers collectively accounted for approximately 25% of sales during that period. No supplier accounted for more than 10% of this business line's cost of sales.
The table below shows the geographical breakdown of our revenues:
Table 16-7. Geographical Breakdown of the Sales: Specialty plant nutrition
Revenues Breakdown 2024 2023 2022
Chile 12% 12% 11%
Central and South America (excluding Chile) 12% 8% 11%
Europe 17% 14% 17%
North America 39% 45% 42%
Asia and Others 21% 21% 20%

SQM TRS Nueva Victoria
Pag. 203


We distribute our specialty plant nutrition products globally through our network of commercial offices and distributors. In 2024, we saw continued growth in sales of differentiated fertilizers such as Ultrasoline® for enhanced root growth and optimal nitrogen metabolism, ProP® for improved phosphorus absorption, and Prohydric® which supports more efficient fertilization and water use.

We maintain inventory of our specialty plant nutrients at our commercial offices in key markets to facilitate prompt deliveries to customers. Sales are conducted through spot purchase orders or short-term contracts.

As part of our marketing strategy, we offer technical and agronomical assistance to clients. Our knowledge is based on extensive research and studies conducted by our agronomical teams in collaboration with producers worldwide. This expertise supports the development of specific formulas and hydroponic and fertigation nutritional plans, enabling us to provide informed advice.

By working closely with our customers, we identify the needs for new products and potential high-value markets. Our specialty plant nutrients are used on various crops, especially value-added ones, where they help customers increase yields and quality to achieve premium pricing.

Our customers are located in diverse regions, and as a result, we do not expect any seasonal or cyclical factors to significantly impact the sales of our specialty plant nutrients.


16.2.3.1.4 Competition

The primary factors influencing competition in the sale of specialty nutrients include product quality, logistics, agronomic service expertise, and pricing.

We consider ourselves the world's largest producer of potassium nitrate for agricultural purposes. Our potassium nitrate faces indirect competition from both specialty and commodity substitutes, which some customers may opt for depending on the soil type and crops involved.

In 2024, our sales represented approximately 41% of the global agricultural potassium nitrate market by volume. In the 100% soluble potassium nitrate segment, our main competitor is Haifa Chemicals Ltd. ("Haifa") of Israel. We estimate that Haifa's sales accounted for around 22% of global agricultural potassium nitrate sales in 2024 (excluding sales by Chinese producers within the domestic Chinese market).

Kemapco, a Jordanian producer owned by Arab Potash, operates a production facility near the Port of Aqaba, Jordan. We estimate that Kemapco's sales comprised roughly 13% of global agricultural potassium nitrate sales in 2024.

ACF, another Chilean producer primarily focused on iodine production, has produced potassium nitrate from caliche ore since 2005. Additionally, several potassium nitrate manufacturers operate in China, with most of their production consumed domestically within China.


16.2.3.2 Potassium
In 2024, our potassium chloride and potassium sulfate revenues amounted to US$270.8 million, representing 6.0% of our total revenues and a 3.0% decrease compared to 2023, due to lower prices, partially offset by higher sales volumes during the year. The average price for 2024 was approximately 24.2% lower than the average prices in 2023. Our sales volumes in 2024 were approximately 28.0% higher than sales volumes reported during 2023.
SQM TRS Nueva Victoria
Pag. 204


The following table shows our sales volumes of and revenues from potassium chloride and potassium sulfate for 2024, 2023 and 2022:
Table 16-8. Potassium volumes and revenues, 2022 - 2024
Sales volumes
(Thousands of metric tons)
2024 2023 2022
Potassium chloride and potassium sulfate 695.0 543.1 480.5
Total revenues
(In US$ millions)
270.8 279.1 437.2

16.2.3.2.1 Market

During the last decade, demand for potassium chloride and fertilizers in general has increased due to several factors, such as a growing world population, higher demand for protein-based diets, and less arable land. These factors contribute to fertilizer demand growth as efforts to maximize crop yields and continue to use resources more efficiently. It is estimated that demand in 2024 reached approximately 72 million metric tons, an increase from approximately 68 million tons during 2023, primarily due to lower prices and increased availability of potassium supply from Belarus and Russia.

Studies by the International Fertilizer Association indicate that cereals account for approximately 39% of global potassium demand, including maize (17%), rice (12%), and wheat (8%). Oil crops represent 25% of global consumption, with soybeans at 13% and oil palm at 9%. Other uses make up about 36%.

16.2.3.2.2 Products

We produce potassium chloride by extracting brines from the Salar de Atacama, which are rich in potassium and other salts. Potassium chloride is the most used and cost-effective potassium-based fertilizer for various crops. We offer potassium chloride in two grades: standard and compacted.

Potassium is one of the three essential macronutrients required for plant development. It is suitable for fertilizing crops that can tolerate relatively high levels of chloride and those grown under conditions with sufficient rainfall or irrigation to prevent chloride accumulation in the rooting systems.

The benefits of using potassium include:
•Increased yield and quality
•Enhanced protein production
•Improved photosynthesis
•Intensified transport and storage of assimilates
•Better water efficiency

Potassium chloride is also utilized as a raw material to produce potassium nitrate and other specialty nutrient granulated blends (NPK). Since 2009, our effective end product capacity has increased to over 2 million metric tons per year, providing us with greater flexibility and market coverage.

16.2.3.2.3 Marketing and Customers
SQM TRS Nueva Victoria
Pag. 205


The following table shows the geographical breakdown of our revenues:

Table 16-9. Geographical Breakdown of the Sales: Potassium
Revenues Breakdown 2024 2023 2022
North America 23% 24% 16%
Europe 15% 11% 6%
Chile 13% 11% 15%
Central and South America (excluding Chile) 33% 34% 41%
Asia and Others 16% 20% 22%

16.2.3.2.4 Competition

In 2024, it was estimated that we accounted for approximately 0.9% of the global sales of potassium chloride. Our main competitors are Nutrien, Uralkali, Belaruskali, and Mosaic. In 2024, Nutrien was estimated to account for approximately 15% of global sales, Uralkali for approximately 16%, Mosaic for approximately 8%, and Belaruskali for approximately 15%.

16.2.3.3 Other products

SQM generates revenue from the sale of third-party fertilizers (both specialty and commodity). These fertilizers are traded globally in substantial volumes and are used either as raw materials for specialty mixes or to enhance our product portfolio. We have established capabilities in commercial management, supply, flexibility, and inventory management, enabling us to respond to the evolving fertilizer market and secure profits from these transactions.

Table 16-10. Geographical Breakdown of the Sales: Other products
Revenues Breakdown 2024 2023
North America 74% 87%
Europe 16% 4%
Chile 2% 5%
Central and South America (excluding Chile) 5% 3%
Asia and Others 3% 1%
SQM TRS Nueva Victoria
Pag. 206


17ENVIRONMENTAL STUDIES, PERMITTING AND SOCIAL OR COMMUNITY IMPACT
The following section details the regulatory environment of the Project. It presents the applicable laws and regulations and lists the permits that will be needed to begin the mining operations. The environmental Assessment process requires that data be gathered on many components and consultations be held to inform the Project relevant stakeholders. The main results of this inventory and consultation process are also documented in this section. The design criteria for the water and mining waste infrastructure are also outlined. Finally, the general outline of the mine’s rehabilitation plan is presented to the extent of the information available now.
17.1ENVIRONMENTAL STUDIES
The Law 19,300/1994 General Bases of the Environment (Law 19,300 or Environmental Law), its amendment by Law 20.417/2010 and Supreme Decree N°40/2012 Regulation of the Environmental Impact Assessment Service regulations (DS N°40/2012 or RSEIA)) determines how projects that generate some type of environmental impact must be developed, operated, and closed. Regarding mining projects, the art. 3.i of the Environmental Law defines that mining project must be submitted to the Environmental Impact Assessment System (SEIA) before being developed.
The Nueva Victoria project, which includes the “Pampa Hermosa” and “Tente en el Aire” projects, has been submitted to the Environmental Impact Assessment System (SEIA) a total of 15 times, on account of the following projects:
⮚Salar Sur Viejo Groundwater Extraction Project presented through DIA and approved by RCA 036/ 1997
⮚Draft loopholes submitted by EIA and approved by RCA N° 058/1997
⮚Nueva Victoria extension presented through a DIA and approved by RCA N° 004/2005)
⮚Draft Adduction Call presented through DIA and approved by RCA N° 032/ 2005)
⮚Nueva Victoria Sur Mine presented through DIA and approved by RCA N° 0173/ 2006.
⮚Modification of Nueva Victoria Iodide Plant presented by DIA and approved by RCA N° 094/2007
⮚Incorporation of Chlorine in Nueva Victoria Iodine Plant presented by DIA and approved by RCA N°070/2008)
⮚Update Operation Nueva Victoria presented through DIA and approved by RCA N°124/2008.
⮚Nueva Victoria Mine Area submitted through an EIA and approved by RCA N°042/2008.
⮚Evaporation Iris Pipeline and Pools presented through a DIA and approved by RCA N° 061/ 2009.
⮚Pampa Hermosa Project presented through an EIA and approved by RCA N° 890/2010
⮚Expansion of Nueva Victoria South Mine Zone presented through by DIA and approved by RCA N°076/ 2012.
⮚Tente en el Aire presented by EIA and approved by RCA N° 20210100112/20211

⮚Partial modification of the reinjection system in the Llamara Puquios presented through by EIA and approved by RCA N° 20239900145/2023

⮚Adaptation of the seawater pipeline and complementary works in Nueva Victoria is presented through by DIA and approved by RCA N° 2023010039/2023


1 Resolución 202401101155/2024 resolves that the project “Constructive Adjustments to the Costa Tente Sector in the Air” does not require submission to the Environmental Impact Assessment System prior to its execution.
SQM TRS Nueva Victoria
Pag. 207


17.1.1Baseline studies
Each time the project has been submitted to the SEIA; baseline environmental studies have been carried out. The last Environmental Impact Study (EIA) approved is TEA.
The following is a more detailed analysis of certain components of the baseline:
Hydrology
As for the hydrology of the site, the average annual rainfall has a value of less than 2 mm in recent years, with many years with zero precipitation. The maximum 24 hour recorded in the area is less than 10 mm, with historical maximums fluctuating between 3 and 7 mm. There are no permanent surface runoff channels, with sporadic runoff associated with extreme precipitation events. It is estimated that the streams of the sectors are able to contain the runoff generated by these extreme precipitation events.
Hydrogeology
In the area of influence of the project, groundwater rights have been granted for 41 wells. All are consumptive, permanent, and continuous.
In the area of influence, there are four distinct hydrogeological units: A1, A3, C5 and D1 (IMAGE). Units A have a high hydrogeological potential to store and transmit water, C has a low potential and D has no potential.
Unit D1 corresponds to compact to slightly fractured/altered andesites, and locally fractured/altered diorites without water content. Its potential is nonexistent because it does not receive any recharge due to its position.
Unit C5 corresponds to sandy-clayey gravels intercalated with sands, clays and silts, without water content. It has a low to null recharge due to precipitation at the site.
Unit A3 corresponds to evaporite deposits hosted in the western sector of the Pampa del Tamarugal. It has a medium to high water transmissivity.
Unit A1 corresponds to sands and gravels with low consolidation, which form active deposits mainly in the central basin. It has a medium to high water transmissivity, with a maximum value of 4,280 m2/day.
According to the study, there is no evidence of the existence of water under the area of the planned works in the coastal mountain range. To the northwest and southwest of the planned works there are local basins with groundwater. To the east, groundwater belonging to the Pampa del Tamarugal aquifer can be observed. To the north of the works, in the Soronal salt flat, there is groundwater with a depth between 0.8 and 19.6 m.
According to hydro chemical information, the water in the area corresponds to the chloride-sodium type.
SQM TRS Nueva Victoria
Pag. 208


Figure 17-1. Location of Wells with Granted Water Rights
image_169.jpg
SQM TRS Nueva Victoria
Pag. 209


Figure 17-2. Hydrogeologic Map of the Area of Background Collection
image_170.jpg
Soil
The soils presented in the area of influence show very little edaphic development, mainly due to the extremely arid conditions of the site, which have limited the intensity of soil formation processes. Four different homogeneous soil units were defined, being "Depositional plains soils" the predominant one in the sector (76.6%).
The soil in the sector has a neutral to strongly alkaline pH; it is extremely saline, and strongly to extremely sodic. Soils with loam- sandy (Fa) and sandy- loam (aF) textures predominate. All these characteristics place all the sector's soils within use capacity VIII ("soils with no agricultural, livestock or forestry value, where their use is limited to wildlife, recreation or watershed protection").
The soil resource presented in the area of influence not considered a scarce or unique resource within the region. In addition, it has a very low capacity to support biodiversity, which makes it an inhospitable habitat (absolute desert condition).
SQM TRS Nueva Victoria
Pag. 210


Plants
As for the vegetation in influence of the project, the predominant vegetation type is "Prosopis Tamarugo plantation", covering 96.6% of the study area. It is followed by "Distichlis Spicata Meadow", with 1.9%; and the least represented is "Tillandsia Landbeckii Meadow", with 0.1%.
There is a preservation native forest formation around influence (vegetation type "Prosopis Tamarugo forest"); however, it is far from the area of direct intervention of the project. Only the intervention of floristic elements in the vegetation type "Tillandsia Landbeckii Meadow" is considered, which has no endemic species or species in conservation category.
With respect to the flora, 4 species were identified within the area of influence of the project, 2 belonging to the Magnoliopsida class and 2 to the Liliopsida class. There are 2 species classified in a conservation category: Prosopis Tamarugo (tamarugo), classified as endangered; and Prosopis Alba (Algarrobo Blanco), classified as out of danger. Both species are considered native. The area of influence is dominated by native and endemic species.
With respect to environmental singularities (1, according to the document "Guide for the Description of the area of influence, description of the Soil, Flora and Fauna Components of Terrestrial Ecosystems in the SEIA" (SEA, 2015)), Native Forest formations of Prosopis Tamarugo were detected, because it is a scarce area arid due to the presence of a species classified as Endangered; however, the project does not affect the habitat of Prosopis Tamarugo.
Wild Animals
38 native species were identified: 27 birds, 7 mammals and 4 reptiles.
18 species were identified in some state of conservation:
In danger: Black tern, little tern.
Vulnerable: Garuma Seagull, Nun Seagull, Humboldt Penguin, Guanay, Stolzmann's Dragon, Chungungo (detected exclusively in the Patillos Islote sector).
Near Threatened: Northern Mouse-Eared Bat.
Rare: Teresa's Corridor
Sufficiently known: Tamarugal Sebo-Eater, Lile;
Least Concern: Four-banded Racer, Booby, Common Sea Lion, Great Northern Gecko, Chilla Fox, Culpeo Fox.
Six Exotic species were detected: Dog, Donkey, Mule, Goat, hare and Guarén.
The coastal sector had the greatest richness of species, with 20 detected. This was followed by the Pampa del Tamarugal National Reserve sector, with 14 species, and then the pampas sector, with 9 species. In particular, the lesser tern was detected in the coastal sector (Chanavayita sector), with 7 adults and 5 active nests in the incubation stage. The black tern and other species of the family Procellaridae were detected only through carcasses, and no nesting sites were found. The Garuma gull was sighted in the coastal sector and in the pampas sector, with 9 sightings of adults and detection of isolated nesting events.
Fungi and Lichens
No fungal species were detected in the study area. 36 species of lichens were detected, four of which are in a conservation category: Acarospora Altoandina and Acarospora Rhabarbarina, both in the Data Deficient category; and Acarospora Bullata and Polycauliona Ascendens in the Least Concern category.
Biological Oceanography
A marine baseline was conducted, taking as the study area (larger than the area of influence of the project) a sector of the Bay of Patillos and a sector north of Caleta Caramucho.
SQM TRS Nueva Victoria
Pag. 211


In the sampling period (winter 2017 to winter 2018) the number of identified phytoplankton taxa varied between 41 and 47; of Zooplankton varied between 24 and 68.
With respect to fish, 16 taxa were found, the most abundant being Burrito (C. crusma), Bilagay (C. variegatus) and Borrachilla (Scartichthys spp). The highest abundance of fish was observed in transects with rocky substrate.
Human Environment
For the definition of the area of influence of the project's human environment, the sectors that had some type of housing, productive and/or cultural use were considered. Accordingly, the settlements of Chanavayita, Caleta Cáñamo and Caramucho, corresponding to the Coast sector, and the settlements of Colonia Pintados and Victoria, corresponding to the Pampa sector, were considered.
Figure 17-3. Sectors of the Area of Influence
image_171.jpg
SQM TRS Nueva Victoria
Pag. 212


Cultural Heritage
In paleontological terms, the sector where the project is located has a low to medium potential. Most of the geological units of the sector did not present paleontological findings of interest during the survey; however, the Coastal Deposits Unit (PIHI) shows medium to high potential, having shown a finding of fossil pieces in the field, in addition to its characteristics.
Regarding archaeology, a survey found 3,017 heritage elements in influence of the project. They were classified into five categories: 761 point finds, 194 aerial type finds, 239 linear type finds, 71 lithic sites and 1,752 calicheros. The linear elements were mostly classified as roadways, totaling almost 410 km in length. Specific finds are divided into isolated finds, signaling structures, animal skeletons, and stone inscriptions. Regarding the time of the findings, 76% were dated as chronologically historical, with 5.5% dating from pre-Hispanic times.
17.1.2Environmental Impact Study
As for the Pampa Hermosa Project, based on the results of the EIA (Chapter 5), the activities of the project and their possible environmental impacts were analyzed. This made it possible to identify the environmental components that could be directly or indirectly affected during the different phases of the project and where they are located.
For those significant environmental impacts, management measures were designed to mitigate, repair, and compensate the relevant affected elements.

The following table summarizes that information.

SQM TRS Nueva Victoria
Pag. 213


Table 17-1. Environmental Impacts of the Pampa Hermosa Project, modified through EIA "Partial modification of the reinjection system in the Llamara reservoirs" and Committed Measures
Impact Phase in
which it
occurs
Type of measure Measures
Decrease in surface water level in the Salar de Llamara ponds (púquios) Operation Mitigation Implementation of a hydraulic barrier: consist of injecting water between the pumping sector and the ponds, to induce an increase in the aquifer level so as to generate a water divide that isolates the hydraulic behavior of both sectors and prevent the cone of depression from spreading and affecting the water level of the ponds. This impact is modified through the EIA "Partial modification of the reinjection system in the Llamara reservoirs"
An Early Warning Plan "PAT" has been designed, which should be understood as an environmental management tool complementary to the implementation of the hydraulic barrier, i.e., the PAT would be activated if the hydraulic barrier runs the risk of not being efficient enough to meet the environmental objectives defined for the Púquios and hydromorphic vegetation. This impact is modified through the EIA "Partial modification of the reinjection system in the Llamara reservoirs". Including the voluntary commitment to replace continental water from the Salar de Llamara for mining operations with seawater, by 2030. That is, 11 years before the date approved for the Pampa Hermosa Project, limiting its extraction only to the flow required for the injection of the Mitigation Measure.
The alteration of the vital state of natural Tamarugo formations and of the habitat for flora species in the Salar de Llamara Operation Mitigation Staggered groundwater withdrawal and the exclusion of groundwater withdrawal from the 45 l/s well TC-10.
An Early Warning Plan has been designed that contemplates the application of warning and recovery measures aimed at maintaining population vitality values, the main measures to be implemented being a) Irrigation of tamarugos during the Warning Phase and b) Reduction of pumping flow during the Recovery Phase.
Tamarugo recovery irrigation program: the purpose of this program would be to recover the vitality of the Tamarugo of the Salar de Llamara that could be affected by water stress due to the pumping of the Project. For this purpose, it is considered to irrigate specimens that are in regular or bad condition, according to the amount of Tamarugo that exceeds the threshold defined for the activation of the Tamarugo alert for a certain period. This measure will be linked to the Early Warning Plan of the Llamara Tamarugo System, consequently it will be implemented together with the actions of the Tamarugo alert and recovery phase, as appropriate.
The alteration of the livelihood systems of tenant ranchers who use the Pampa del Tamarugal National Reserve due to water extraction. Construction, operation, and closure Mitigation Change of well catchment point
Staggered water withdrawal
Tamarugo plant production program
Tamarugo planting program
Program to support phytosanitary control of Tamarugo trees
Program for sustainable management of tamarugo trees
Productive development program for cattle ranchers
SQM commits not to affect the livelihood systems of the Quillagua Community in the Quebrada Amarga sector; to maintain monthly contact with the leadership of the Community in order to monitor the generation of any situation related to the project in the sector and, in the event that the information provided by the leadership indicates any situation attributable to the project, the respective measures will be taken in order to maintain the commitment of not affecting; and submit an annual report to the competent authority on these contacts with the Quillagua leadership, the situations detected that are attributable to the project and the actions taken for such purposes.
The alteration of cultural heritage Construction, operation, and closure Mitigation An archaeological exclusion area will be created for the geoglyphs, lithic workshops, burial sites and recorded animites, where the application of mitigation measures focused on signage and fencing is proposed, to ensure their protection and safeguarding.
Compensation Materials recovered in the different compensation activities will have a definitive destination such as the Saltpeter Museum Corporation of Humberstone
Plan for the study, preservation, and enhancement of the Pintados Station
Source: own elaboration, based on information obtained from RCA N°890/2010
SQM TRS Nueva Victoria
Pag. 214


The Pampa Hermosa Project is currently in a sanctioning process (Sanctioning File D-027-2016) for the infractions detected by the authority during 2016 in relation to the breach of certain commitments established in the Environmental Assessment Resolution (RCA 890/2010) of the project, mainly associated with water resources and their impact on environmental systems (public, tamarugos). Along these lines, in 2019 SQM presented an adequate plan to address this issue: a revised and corrected Environmental Compliance Program, which incorporates the observations made by the authority, complying with the contents and criteria established and legal requirements to ensure compliance with the requirements infringed.
PDC Approved on 02.26.2019 by Res. Ex N°24/Rol D-027-2016. and amended by Res. Ex. N°27/ Rol D-027-2016, 08.11.22.
This program establishes concrete actions to improve knowledge and follow-up of the environmental systems that make up the project, recognizes the role of the communities, and provides greater transparency in the monitoring of environmental variables. The final report was submitted in 2023, and the response from the Environmental Superintendency (SMA) is awaited.
It should be noted that the EIA "Partial modification of the reinjection system in the Llamara reservoirs", mentioned above, was presented as part of the commitment of this Compliance Program that the company presented. The project corresponds to a modification of the Pampa Hermosa project (RCA N°890/2010), geographically limited to the "Púquios Sector in Salar de Llamara", and its objective is to modify the mitigation measure of recital 7.1.1 of RCA N° 890/2010, which is oriented to minimize the secondary impacts that water extraction will have on biotic systems present in the area of influence of the project, allowing to maintain the surface levels of the ponds in such a way as not to affect the aquatic and terrestrial biota surrounding them. The project also modify the Phase I Alert Llamara Aquifer of the Early Warning Plan, as well as to strengthen the monitoring plan associated with the Púquios of Llamara.
As for the Tente en el Aire project, it aims to incorporate new mine areas into the "Nueva Victoria" mine to produce salts rich in iodide, iodine, and nitrate, which implies an increase in the total amount of caliche to be extracted, in the production of salts rich in iodide, iodine and nitrate and in the use of seawater for these processes.

SQM TRS Nueva Victoria
Pag. 215


The environmental impacts of this project and the measures proposed by the company to mitigate, repair, or compensate those impacts are in the following table:
Table 17-2. Environmental Impacts of the Tente en el Aire Project and Committed Measures
Impact Phase in
which it
occurs
Type of measure Measures
Intervention of relevant nesting habitat for the nesting of the little tern Chanavayita Construction, operation, and closure Mitigation Construction outside the breeding season of the Little Tern and installation of an automatic noise monitoring station outside the nesting area.
Permanent environmental inspector during the construction phase
Relocation of works near the "Chanavayita" site: installation of work sites 1 and linear works.
Apply soundproofing measures during construction and operation: acoustic screens during construction and encapsulation of auxiliary pumping station during operation.
Compensation Management measures plan for the nesting site at the Chanavayita access: strengthen dog control at the municipal kennel; install allusive signage at the nesting site at the Chanavayita access; environmental education plan; and research program to characterize the habitat and reproductive dynamics of the little tern at the Chanavayita site.
Intervention of relevant nesting habitat for the nesting of sea swallows in the northern sector of the project. Construction, operation, and closure Mitigation Prohibition of construction during the swallow's breeding season.
Prohibition of mining exploitation during the operation phase
Prohibition of removal of facilities during the reproductive season
Extension of the protection buffer of the swallow nesting site "Pampa Hermosa".
Extension of the exclusion area and prohibition of mining activities in the "Pampa Hermosa" nesting site, because of the previous measure.
20m protection buffer around potential nesting sites with nesting records, close to the route of the project's linear works.
Compensation Compensation measure MC-4 "Protection of the Exclusion Area": the owner agrees not to explore or exploit this mining property or those in his name that are not included in the project; he agrees to require the constitution of encumbrances on the surface properties.
Alteration of archaeological cultural heritage Construction and operation Mitigation MM1- Induction lectures in Paleontology
MM2- Rescue of elements of paleontological interest and release of area (surface)
MM3- Ongoing paleontological monitoring during construction in coastal sector
MM4- Creation of archaeological cultural heritage protection areas
MM5- Permanent archaeological monitoring during construction
MM6- Induction lectures in archeology
Compensation MC1- Improvement or fitting out of the warehouse of the Saltpeter Museum Corporation for the conservation of cultural heritage pieces.
Alteration of paleontological cultural heritage MC2- Scientific-educational publication on local and regional paleontology.
MC3- Intensive archaeological survey and documentation
MC4- Protection of the exclusion area
Source: based on RCA N°20210100112/2021
SQM TRS Nueva Victoria
Pag. 216


17.2OPERATING AND POST CLOSURE REQUIREMENTS AND PLANS
17.2.1Waste Disposal Requirements and Plans
During mining operations, two types of waste are generated. Mineral and non-mineral waste.
Mineral wastes
Mineral waste or mining residues refer in this case to inert salts are called waste salts. These salts are transported to certain areas for deposit, piling up on the ground in the form of cakes.
For this purpose, the Nueva Victoria site has the Sectoral Permit for the Collection of Discarded Salts presented and approved by the authority in accordance with current regulations (article 339 of Supreme Decree No. 132/2002, Mining Safety Regulations of the Ministry of Mining, for the establishment of a landfill.), additionally, it has the corresponding environmental authorization.
Currently, the discarded salts are deposited in stockpiles in the industrial zone of Sur Viejo (in an area of approximately 1,328 ha that also includes storage areas for the final product). However, in the Tente en el Aire project (environmentally approved in November 2021), which expands the current operation of Nueva Victoria, a new deposit is contemplated to dispose of the discarded salts from the evaporation pools and the waste of the neutralization process. This new tank will have an area of 360 ha in which material accumulation cakes up to 50 m high will be placed, resulting in an estimated total capacity of 102,500,000 tons (4,997,000 t/y of discard salts and 110,150 t/y of gypsum), to test the project “Waste dump corresponding to deposits of discarded salts, project Tente en el Aire" la Res. Ex 424/2022. These salts are neutral and pose no health risks as declared by the authority.
Regarding the management of these deposits, it should be noted that the hygroscopic properties of the salts that compose them favor compaction and subsequent cementation.
Given these characteristics (salts that form a crust and the level of final impregnation in brine of the residue of the neutralization process is approximately 20%), no emissions of particles or gases are generated.
Regarding the management of possible effluents, the new tank will have a perimeter drainage system, which will allow, on the one hand, the collection of the solutions resulting from the runoff or runoff generated by the impregnation solutions, which will be channeled to 4 collection ponds for later pumping to the evaporation ponds and on the other hand, The function of this drainage system will be the channeling of rainwater.
The waste salt deposits are committed to being monitored annually to verify that they are in accordance with the design variables and at the closure of the mine the discard salts and residues of the brine neutralization process will be maintained.
Non-mineral waste
All types of waste can be classified as non-mineral waste, which in turn can be classified as Hazardous Waste and Non-Hazardous Waste according to the environmental and sectoral regulations in force in Chile.
Among the non-hazardous waste associated with this type of projects, we can mention solid waste assimilable to households, sludge from the wastewater treatment system, containers of non-hazardous inputs, non-hazardous discards, waste associated with maintenance and generated products of the actions carried out in contingencies, among others.
Hazardous waste (RESPEL) comes from process discards, used maintenance lubricating oil generated by changing equipment and machinery, batteries, paint residues, ink cartridges, fluorescent tubes, contaminated cleaning materials, among others.
The disposal of this type of waste has the current environmental and sectoral legal authorizations declared in Section 17.3.
17.2.2Monitoring and Management Plan Established in the Environmental Authorization
The contents of the Environmental Monitoring Plan agreed for the implementation of the Pampa Hermosa project include: Project Phase, Environmental Components to be measured and controlled, Associated Environmental Impacts, Monitoring
SQM TRS Nueva Victoria
Pag. 217


Plan, Measurement Methods or Procedures, Location of Monitoring Points, Parameters that are used to characterize the state and evolution of said component, Permitted or committed levels or limits, Duration and frequency of the monitoring plan according to the stage of the project, Delivery of Report with monitoring results, Indication of the competent body that would receive such documentation, and Location in the evaluation history.
The Hydrogeological Environmental Monitoring Plan of the "Pampa Hermosa" Project is the same Environmental Monitoring Plan (PSA) of the Aducción Llamara Project (committed by RCA No. 32/05 and modified according to Resolution No. 097/07). In this way, the commitments of the PSA Aducción Llamara will be incorporated into the PSA Pampa Hermosa.
For the implementation of the "Tente en el Aire" project, a monitoring plan for the different components was committed. This plan states the following:
⮚Regarding the cultural heritage component the follow-up plan includes induction talks on paleontology; rescue of elements of paleontological interest and release of the area (surface); permanent paleontological monitoring during construction in the coastal sector; scientific-didactic publication on local and regional paleontology; creation of areas for the protection of archaeological cultural heritage; permanent archaeological monitoring during construction; induction talks on archaeology; and intensive archaeological prospection and documentation. Likewise, improvement or adaptation of the winery of the Saltpeter Museum Corporation for the conservation of pieces of cultural heritage.
⮚Regarding the wild animal component, the monitoring plan includes the exclusion of the mining area at tern nesting sites; modification of layout and establishment of precautionary areas in linear works at tern nesting sites; Chanavayita little tern nesting site; protection of the exclusion area; study of the ecology, phenology and ethology of the tern (Procellariformes: Hydrobatidae) in the Pampa Hermosa; research program on the increase of habitat use in the nesting site "Pampa Hermosa".
17.2.3Requirements and Plans for Water Management during Operations and After Closure
The extraction of water for the Nueva Victoria industrial operation is environmentally approved and totals 810 L/s, considering the use of 570.8 L/s of water approved in RCA 890/2010, a flow that is additional to the 120 L/s contemplated by the EIA “Lagunas” (RCA 58/1997) and the 120 L/s considered in the DIA “Extraction of Groundwater from Salar de Sur Viejo” (RCA 36/1997) and DIA “Expansion Nueva Victoria” (RCA 04/2005).
It should be noted that the last environmentally approved project (EIA "Tente en el Aire" - RCA 20210100112/2021), did not increase the projected freshwater requirement despite an increased rate of exploitation and processing of caliche, by relying on the use of 900 l/s of seawater.
The extraction is carried out from the 5 locations detailed in Table 17-3, located in the Salar de Sur Viejo, Salar de Llamara and the Pampa del Tamarugal (environmental protection area), comprising principally groundwater sources with a minor component of surface waters.
Table 17-3. Monthly Average Flow Period 2024 Nueva Victoria
Sur Viejo (l/s) Llamara (l/s) Iris (l/s) Soronal (l/s) CPC (l/s) Total flow (l/s)
103 231 59.2 112 124.3 629
16% 37% 9% 18% 20% 100%
Table 17-4 shows how the water resources are distributed among the different sectors of the Nueva Victoria operation.
Table 17-4. Distribution of Freshwater Consumption Between the Various Components of the Nueva Victoria Operation.
Pozas (l/s) Puquíos injection (l/s) Mine (l/s) Processing Plant (l/s) Camp (l/s) Leaching (l/s)
2.3% 4.6% 0.8% 1.3% 0.3% 90.7%
SQM TRS Nueva Victoria
Pag. 218


Information on water extraction from natural sources is public, being reported to the Chilean Regulatory Authority through the reporting component of the Environmental Monitoring Plan (PES).
The PES fulfills the objective of monitoring the ecosystems that may be affected by a project, thus guaranteeing their conservation and the permanence of the ecosystem services they provide. Hydrogeological reports include groundwater levels, hydro chemical quality of groundwater and surface water, and cumulative pumping rates and volumes from supply wells and surface water extraction points.
The PES also documents the mitigation measure of injecting water to generate a hydraulic barrier to protect the Púquios wetlands against the lowering of the water table associated with the extraction of groundwater from the Llamara aquifer. The chemical quality of the injected water is monitored to ensure that the hydrochemistry of groundwater in the Púquios wetlands is not adversely affected.
As stablished in the update of the Closure Plan (Exempt Resolution 814/2022) of the Nueva Victoria site, the works or actions contemplated for closure in relation to water resources are the removal of metal structures, pipes, and equipment, disabling of pumping wells, removal of steel pipes, removal of power lines, removal of substations and removal of waste.
17.3ENVIRONMENTAL AND SECTORIAL PERMITS STATUS
The project has been submitted 15 times to the SEIA. In 9 cases the projects were submitted through Environmental Impact Statements (EIS) and in 4 cases through Environmental Impact Assessments (EIA) and in all cases the projects were authorized by the environmental authority. Section 17.1 contains the environmental authorization for each project.
Additionally, the Project required different sectorial permitting for operating. The following table shows the sectorial permits defined in each RCA as applicable to each project:

SQM TRS Nueva Victoria
Pag. 219


Table 17-5. Sectorial Permits Defined in the Environmental Resolutions
Name of the Sectorial Permit (PAS) PAS Number Sectorial Approval Resolution
Permit to carry out research fishing 119 RCA 20210100112 approved by Resolution No. 20210100112/2021.
Permit for archaeological excavations 132 or Ex 76 RCA 042/2008.Approved by Resolution No. 5175/2012; 4531/2014; 1493/2015; 548/2020
RCA124/2008. Approved by Resolution No. 659/2009
RCA 890/2010. Approved by Resolution No. 5416/2010; 6164/2010; 568/2011; 149 0/2011; 3738/2011; 5802/2011; 6613/2011; 2974/2012; 3851/2012; 1947/2014; 3502/2015; 1950/2018; 2848/2020; 3772/2021; 5159/2024.
RCA 076/2012. Approved by Resolution No. 3885/2012
RCA 20210100112 Approved by Resolution No. 3395/2022 (paleontology); Resolution No. 5043/2022; 113/2023; 1407/2023; 4385/2024.
RCA 20230100139 Approved by Resolution No 2241/2024 (paleontology)
Permit for stockpiling mining waste 136 or EX 88 RCA 004/2005; RCA 173/2006; 042/2008; RCA 076/2012. Approved by Resolution No. 2552/2015, 2129/2020 (leaching piles); 2959/2016 (discarded stockpiles)
RCA 890/2010 Approved by Resolution No. 2129/2020 (leaching piles); 2959/2016; 1570/2020 (discarded stockpiles)
RCA 20210100112 approved by Resolution No. 424/2022. (discarded stock piles); Res. N°0728/2024 (discarded stock piles)
Res. N°0135/2025 (discarded stock piles)
Approval of the mining closing plan 137 RCA 890/2010 Approved by Resolution No. 515/2012.
RCA (036/1997; 058/1997; 04/2005; 032/2005; 173/2006; 094/2007; 042/2008; 070/2008; 076/2012) Approved by Resolution No. 1858/2015.amended by Res. No. 2817/2015.
RCA 20210100112 Resolution No. 814/2022, amended by Res. No. 1511/2022 . (Update PdC. Includes ASD).
Permit for the construction, modification, and expansion of any public or private work for the evacuation, treatment, or final disposal of sewage water 138 or Ex 91 RCA 004/2005, Approved by Resolution No. 2543/2006
RCA 124/2008. Approved by Resolution No. 3428/2014
RCA 890/2010. Approved by Resolution No. 1970/2013; 3079/2011; 3427/2014; 339/2018; 220116087/2022; 3429/2014; 3079/2011; 3430/2014; 1137/2007; 1139/2007; 2401409016/2024; 220115414/2022; 220115414; 2009/2019; 3134/2019; Res. N°466/2016 ; 6712/2021: 275/2020
Permit for the construction, modification, and expansion of any public or private facility for the evacuation, treatment, or final disposal of industrial or mining waste 139 Not requerid
Permit for the construction, modification and expansion of any garbage and waste treatment plant of any kind; or for the installation of any place for the accumulation, selection, industrialization, trade or final disposal of garbage and waste of any kind. 140 or Ex 93 RCA 004/2005. Approved by Resolution No . 1813/2006; 2167/2014
RCA 124/2008. Approved by Resolution No. 2547/2010.
RCA 890/2010. Approved by Resolution No. 1807/2016; 758/2018; 17581/2021; 2482/2019
RCA20210100112 approved by Res. 2301315361/2023; Res. 2401333155/2024
Permit for the construction, repair, modification and expansion of a sanitary landfill 141 RCA N°890/2010 Approved by Resolution N° 1054/2001 Authorizes operation of Sanitary Landfill; Res. N°936 Authorizes operation of Sanitary Landfill; Res.N°733 Approved Project of Sanitary Landfill.
SQM TRS Nueva Victoria
Pag. 220


Permit for the construction of a site for the storage of hazardous wastes 142 RCA 890/2010. Approved by Resolution No. 1495/2017; 081/2018; 753/2018; 289/2018; 2301442729/2023; 2301496155/2023; 2301310900/2023; 2201283666/20224 ;
RCA 20210100112/2021 Approved by Resolution N°2201283666/2023
RCA 20239911145/2023 Approved by Resolution N°2401544922 Authorizes operation of Respel Llamara 1; Res. N°2401635349 Authorizes operation of Respel Llamara 2 y 3.
Permit for the hunting or capture of specimens of animals 146 RCA 20210100112 approved by Resolution No. 80/2022; -82/2022; -86/2022.
Permit for the construction of some hydraulic works 155 RCA 20210100112 Seawater pools. Approved by Res No. 3538/2022: Solar evaporation ponds Res No. 4014/2023.
Permit for the modification of a watercourse 156 RCA 20210100112. Approved by Resolution N°. 139/2022
Permit to subdivide and urbanize rural land to complement an industrial activity with housing, to equip a rural sector, or to set up a spa or tourist camp; or for industrial, equipment, tourism, and population constructions outside the urban limits. 160 or Ex 96 RCA 124/2008. Approved by Resolution N°. 577/2011
Permit for the qualification of industrial or warehousing establishments. 161 RCA 004/2005 Approved by Resolution N°. 686/2014
Source: Elaboration by SQM

Additionally, an authorization of the Exploitation Method and Processing Plants is required. These authorizations are:
⮚Res. Annex 1447/2018. Exploitation method update – Office Iris
⮚Res. Ex. 1646/2011. Approves the Project "Update of Operation Nueva Victoria ".
⮚Res. 1602/2010. Approves Project "Stockpiles of discarded salts Sur Viejo."
⮚Res. 621/2006. Increase in the exploitation of caliche in Nueva Victoria.
⮚Res. 1469/2005. Regularization of the mine Exploitation Method and treatment of minerals and expansion of the Nueva Victoria mine and iodine plant.
⮚Res.1351/2004. Regularization of the Exploitation Method and Processing Plants of the Iris office.
⮚Res. Ex. 515/2012. Update Exploitation Method, Mineral Treatment and Closure Plan.
⮚Res. Ex. 121/2022. TEA Project Benefit Plant.

17.4SOCIAL AND COMMUNITY
This sub-section contains forward-looking information related to plans, negotiations or agreements with local individuals or groups for the Project. The material factors that could cause actual results to differ materially from the conclusions, estimates, designs, forecasts, or projections in the forward-looking information include any significant differences from one or more of the material factors or assumptions that were set forth in this sub-section including that regulatory framework is unchanged for Study period; no unforeseen environmental, social or community events disrupt timely approvals.
SQM TRS Nueva Victoria
Pag. 221


17.4.1Plans, Negotiations or Agreements with Individuals or Local Groups
The company has established agreements with indigenous and non-indigenous organizations on different aspects that derive both from previous commitments and from programs associated with corporate policies on community relations, for example:

⮚Continue supporting all necessary actions to maintain operational continuity in the supply of potable water in Quillagua, whose purification and distribution system is managed by the Rural Potable Water Committee of Quillagua (APR). In this sense, continue with specialized consultancy and training of APR operators, conduct an assessment of the state, and replacement or improvements of the osmosis plant, and expand the capacity of the water storage tank to advance towards the operational continuity of the plant, especially during summer periods.

⮚Support to strengthen the social organizations of the elderly in La Tirana.

Environmental Commitments to TEA

Development of talks-training to our own employees as well as to collaborators working at the site about a protocol of community relations of good practices as a guided conduct with the communities in which we are located.

Llamara Environmental Commitments

Development of participatory monitoring for flora and fauna biota and water measurements with the communities of Tamentica and Huatacondo in the Quebrada Amarga and Salar de Llamara sectors.

Pozo Almonte

1.Support for the Sergio Gonzalez Gutierrez high school in Pozo Almonte, implementation of a library with specialty texts; implementation of safety clothing for the development of the different disciplines taught.

2.Guided visits to Nueva Victoria with students from the Sergio Gonzalez de Pozo Almonte high school in order to learn about SQM's production process for their professional experience.

3.Guided visits to Nueva Victoria with social groups from Pozo Almonte to learn about SQM's impact and productivity.

4.ASIQUIM. Training to the towns of Huatacondo, Tamentica, Pintados and Victoria on the chemical processes developed by the company and their impacts.

5.In association with “Fundación Sonrisas”, support for the prevention and treatment of oral health of 200 schoolchildren in the town of Pozo Almonte and La Tirana.

6.In association with “Fundación Arturo López Pérez, FALP” diagnosis for the prevention of breast cancer in 180 women in the town of Pozo Almonte and 72 women in the town of La Tirana.

7.Training and support to entrepreneurs in the town of La Tirana (La Huayca Indigenous Association) to strengthen their productive activities.

8.Support for the elderly in the community of La Tirana for the commemoration of relevant dates and exchange of experiences with senior citizens from other regions of the country.

9.Commemoration of heritage dates of the commune of Pozo Almonte such as the day of the saltpeter or the pampina week, activities that gather 500 people in the first one and 2000 in the second one.

Chanavayita

1.Support to syndicates N° 1,2,3,4,5,6 for the development of individual, social and productive projects for each of its members.
SQM TRS Nueva Victoria
Pag. 222



2.Support for the commemoration of local patrimonial festivities.

3.Support for the exchange of socio-educational experiences for children and adolescents in the locality.

4.Support for schoolchildren in the implementation of school supplies and tools necessary for the learning process.

Caramucho

1.Support to syndicates N° 1,2 and 3 for the development of individual, social and productive projects for each of their members.

2.Support for the commemoration of local heritage festivities.

Cáñamo

1.Support in the construction of the necessary infrastructure for the expansion of the health post.

2.Support to the syndicate N°1 for the development of individual, social and productive projects for each of its members.

3.Support for the commemoration of local heritage festivities.
Regarding contributions in Quillagua:

1.ONA Foundation: Workshops on heritage trades, wood and looms
2.Repairs
3.Operation of Chug - Chug
4.Factor de Cambio Foundation Competitive Fund
5.Delivery of animal feed to farmers
6.Quillagua hydroponic cooperative
7.Didactic material for kindergarten
8.Local heritage festivities
Within the framework of the company's relationship policies, the following working groups are maintained:
CHANAVAYITA
1.Working Group of the Union of Fishermen N° 1 of Chanavayita.
2.Working Table of the Union of Fishermen N° 2 of Chanavayita.
3.Working Table of the Union of Fishermen N° 3 of Chanavayita.
4.Working Table of the Union of Fishermen N° 4 of Chanavayita.
5.Working Table of the Union of Fishermen N° 5 of Chanavayita.
6.Working Table of the Fishermen's Guild N° 6 Chanavayita.

CARAMUCHO

1.Working Table social organizations at Caramucho.
2.Working Group of Coastal Unions, which brings together: Union N° 1 of Caramucho, Union of Fishermen N° 2 of Caramucho and Union of Hemp Fishermen.
3.Working Group Fishermen's Union N°3 Caramucho
SQM TRS Nueva Victoria
Pag. 223



CÁÑAMO

1.Working Table social organizations at Cáñamo.

2.Working Table of the Fishermen's Guild N° 1 Cáñamo.
POZO ALMONTE
1.Working table of "Asociación Indígena Multiétnica Tierras de Jehová" of Colonia Pintados
2.Working Group of the "Asociación Indígena Aymara Juventud del Desierto"
3.Working table Victoria Office Neighborhood Council.
4.Working table with GHPPI Familia Choque, Bellavista Sector, RNPT
5.Working table with the Sandra Vicentelo Family, Tamentíca.

6.Working agreement with "GPHI Tamentíca".
7.Working Group Aymara Indigenous Association Campesinos Pampa del Tamarugal.
8.Working Group of Dairy Cooperatives and Dairy Producers of Tarapacá.

9.Working table "Asociación Indígena de la Huayca" at La Huayca.

10.Working table "Grupo Humano Perteneciente a Pueblo Indígenas Comunidad de la Huayca – Familia Ceballos" at La Huayca.

11.Working table with "Asociación Indígena Aymara Campesina Pampa del Tamarugal".

12.Working table " Comunidad Indígena Quechua de Huatacondo" at Huatacondo.
17.4.2Purchasing Commitments or Local Contracting
Notwithstanding the foregoing, as part of its community relations policy, SQM has programs aimed at hiring local labor, such as:
⮚Employability Workshops aimed at improving curriculum vitae for job interviews.
⮚More Suppliers Program of Tarapacá, executed by the Tarapacá Industrial Association, in which SQM generates a sponsorship payment for the execution of the program.
⮚Channel of diffusion with Municipal Office of Information Laboral of the Municipality of Pozo Almonte of labor offer of the company.
⮚Channel of dissemination and follow-up with the organizations attached to the different instances of local collaboration (Work Tables) of labor offer of the company.
⮚Educational support program with Liceo of Pozo Almonte for labor induction and professional practices
17.4.3Social Risk Matrix
The social risk matrix classifies the various impacts that SQM's activities could have on its operations, reputation, regulatory compliance and commitment to sustainability. In this way, the impacts are classified by probability of occurrence, from improbable to almost certain, and their consequences, from negligible to very high.

SQM TRS Nueva Victoria
Pag. 224


Based on the results of this classification, an analysis can be made to distinguish between the locations analyzed, the associated risk level (low, medium, significant or extreme), priority (low, medium or high) and the operation to which it is associated.

This allows a clear focus on the sectors and areas that could be affected and, based on the results provided by the risk matrix, to monitor and establish programs to identify threats and opportunities for improvement.

Although it is not possible to provide detailed information on the matrix due to the company's confidential analysis, it can be noted that no risks classified as extreme have been identified.
17.5MINE CLOSURE
This sub-section contains forward-looking information related to mine closure for the Project. The material factors that could cause actual results to differ materially from the conclusions, estimates, designs, forecasts or projections in the forward-looking information include any significant differences from one or more of the material factors or assumptions that were set forth in this sub-section including prevailing economic conditions continue such that unit costs are as estimated in constant (or real) dollar terms, projected labor and equipment productivity levels are appropriate at time of closure and estimated infrastructure and mining facilities are appropriate at the time of closure.
17.5.1Closure, Remediation, and Reclamation Plans
During the stage of the Project, the measures established in the "Faena Nueva Victoria" Closure Plan approved by the National Geology and Mining Service (SNGM) will be maintained, through the update of the “Nueva Victoria e Iris” Mining Slaughter Plan (RPC -57.1 585), approved on May 16, 2022, through Exempt Resolution N° 814 and modified by Exempt Resolution N°. 1511, by the National Geology and Mining Service (SERNAGEOMIN). This update includes the
SQM TRS Nueva Victoria
Pag. 225


following mining sites resolutions. Resolution N°. 1858 of 2015, as amended by Resolution N°. 2817 of 2015 implemented.

Project Name Resolution Year
1 Regularization of the Exploitation Method and Plants Iris Office Benefit 1351 2004
2 Regularization of Mine and Mineral Treatment Method and Expansion of Nueva Victoria Mine and Iodide Plant 1469 2005
3 Modify RCA N°004/2005 88 2016
4 Increased Caliche Exploitation in Nueva Victoria 621 2006
5 Iris Slaughter Closure Plan 376 2009
6 Deposit of Discarded Salts Sur Viejo 1602 2010
7 Update Operation New Victoria 1646 2011
8 Pampa Hermosa: Update Exploitation Method, Mineral Treatment and Closure Plan 515 2012
9 Partial temporary shutdown of the Iris Iodine Plant 49 2014
10 Closure Plan for Nueva Victoria Mining Site 1858 2015
11 Modifies Exempt Resolution N°. 1858/2015 2817 2015
12 Update Exploitation Method – Iris Office Site 1447 2018
13 Discard salts as sterile dumps 424 2022
14 Approval of waste dumps corresponding to Depleted Leaching Piles "Faena Nueva Victoria" 2129 2020
15 TEA Project Benefit Plant 121 2022
16 Exploitation Methods TEA Project 47 2022
17 Update Plan Closure for Nueva Victoria Mining Site 814 2022
18 Rectifies Res. N° 814 Update Closure Plan for Nueva Victoria Mining Site 1511 2022
19 Partial Temporary Closure Plan for Iris mining operation 2500 2022
20 Extension of the Partial Temporary Closure Plan for the “IRIS” mining operation 2578 2024
21 Approval of waste dumps corresponding to the exhausted leaching piles at Nueva Victoria mine 728 2024
22 Approval of waste dumps corresponding to the exhausted leaching piles at Nueva Victoria mine 135 2025
Among the measures to be implemented are the removal of metal structures, equipment, materials, boards and electrical systems, de-energization of facilities, closure of accesses and installation of signaling. The activities related to the cessation of operations of the Project will be carried out in full compliance with the legal provisions in force on the date of closure of the Project, especially those related to the protection of workers and the environment.
Closing measures
The following are the closure and post-closure measures for the main or remaining facilities, i.e., those that remain on the site after the end of the mine's useful life. The remaining facilities are the leach heaps, tailings ponds and solar evaporation ponds.
In the case of the waste collection, slope stabilization measures will be carried out in the post-closure phase. For the closure of the leaching piles, the removal of structures, equipment, electrical equipment, concrete structures, support structures and pipes, as well as the closure of accesses and installation of closing signals, will be considered. For the closure of the solar evaporation pools, measures were defined for the removal of nitrate-rich salts, removal of parapets, concrete structures, and support structures.
For the rest of the complementary and auxiliary installations, the measures are also aimed at protecting the safety of people and animals, and are basically the dismantling of structures, closure of roads, signaling installation, de-energization of the facilities and perimeter closures, and leveling of the land.
SQM TRS Nueva Victoria
Pag. 226


All measures are of the "Personal Security" type and the means of verification corresponds to photographic reports.
Risk Analysis
SERNAGEOMIN, in consideration of Law 20,551 and Supreme Decree N°41/2012, requests owners to carry out a risk assessment that considers the impacts on the health of people and the environment in the context of the closure of the mining site at the end of its useful life. This risk assessment was carried out considering the Risk Assessment Methodology for Mine Closure currently in force. The results of the assessment indicate that the risks associated with the remaining facilities of the Nueva Victoria Mine and TEA project are Low and Not Significant (see Table 17-6).
SQM TRS Nueva Victoria
Pag. 227


Table 17-6. Risk Assessment of the Main Facilities at the Nueva Victoria and TEA Project Mine
Register Risk Description of Risk Level Nueva Victoria Level Project TEA Significance
Solar Evaporation Ponds
PE1 PE1.P To people due to failure in the slope of the pool, which exceeds the exclusion zone due to an earthquake. LOW LOW Non- significant
PE1.MA To the Environment due to failure in the slope of the pool, which exceeds the exclusion zone because of an earthquake. LOW LOW Non- significant
PE2 PE2.P To persons for DAR infiltration LOW LOW Non- significant
PE2.MA To the environment by DAR infiltration LOW LOW Non- significant
Discard salt deposits
DE1 DE1.P To people due to groundwater contamination from rainfall (infiltration of solutions). LOW LOW Non- significant
DE1.MA To the environment due to groundwater contamination caused by rainfall (infiltration of solutions). LOW LOW Non- significant
DE2 DE2.P To people due to groundwater contamination from floods/floods LOW LOW Non- significant
DE2.MA To the environment due to groundwater contamination caused by floods/floods LOW LOW Non- significant
DE3 DE3.P To people due to particulate emissions into the atmosphere caused by wind. LOW LOW Non- significant
DE3.MA To the environment due to particulate emissions to the atmosphere caused by wind LOW LOW Non- significant
DE4 DE4.P To people due to surface water pollution caused by heavy rainfall LOW LOW Non- significant
DE4.MA To the Environment due to surface water contamination caused by heavy rainfall LOW LOW Non- significant
DE5 DE5.P To people due to surface water contamination caused by floods LOW LOW Non- significant
DE5.MA To the Environment due to surface water contamination caused by floods LOW LOW Non- significant
DE6 DE6.P To people as a result of slope failure due to water erosion LOW LOW Non- significant
DE6.MA To the Environment for slope failure due to water erosion LOW LOW Non- significant
DE7 DE7.P To people due to slope failure as a result of an earthquake LOW LOW Non- significant
DE7.MA To the Environment due to slope failure caused by an earthquake LOW LOW Non- significant
MINE
MR1 MR1.P To people due to failure of the pit slope, which exceeds the exclusion zone due to an earthquake. LOW LOW Non- significant
MR1.MA To the environment due to failure of the pit slope that exceeds the exclusion zone because of an earthquake. LOW LOW Non- significant
MR2 MR2.P To people due to DAR infiltration from the mine LOW LOW Non- significant
MR2.MA To the environment due to DAR infiltration from the mine LOW LOW Non- significant
Source: Annex 10 of the Nueva Victoria and TEA project Mine Closure Plan Update (in process).
SQM TRS Nueva Victoria
Pag. 228


17.5.2Closure Costs
The total amount of the closure of the mining site of the Nueva Victoria and Iris Project, considering closure and post-closure activities, amounts to 284,507 UF (272,272 UF for closure and 12,236 UF for post-closure). The following is a summary of the costs reported to the authority in the Update of the Closure Plan of the “Nueva Victoria e Iris” Mining Site (see Table 17-7 and Table 17-8).
Table 17-7. Nueva Victoria Mine Site Closure Costs
Item Total (UF)
Total direct closing cost 173,333
Indirect Cost 17,333
Contingencies 38,133
VAT (19%) 43,472
Total 272,272
Source: Resolution No. 814/2022, amended by Res. No. 1511/2022 . (Update PdC. Includes ASD)
Table 17-8. Nueva Victoria Mining Site Post-Closure Costs
Item Total (UF)
Direct Cost 7,789
Indirect Cost 779
Contingencies 1,714
VAT (19%) 1,954
Total 12,236
Source: Resolution No. 814/2022, amended by Res. No. 1511/2022 . (Update PdC. Includes ASD
According to the technical report Useful Life presented technical and the constitution of the guarantees was made considering the total cost of the Closure Plan, and a useful life of 21 years, whose estimated operation would be until the year 2040. The following shows the development of the constitution of guarantees.
Table 17-9. General Background of Nueva Victoria
GENERAL BACKGROUND
Discount Rate Used 1.55%
Certified End of Life 2040
Year of Closure of the Mining Site 2050
SQM TRS Nueva Victoria
Pag. 229


Table 17-10. Warranties by Installation of the Nueva Victoria Mine Closure Plan.
TABLE OF WARRANTIES BY INSTALLATION
Installation Total Cost (UF) Year Completion
of Operations
Year Start
of closure
End of
Closure Year
Mine (Caliche) 13,364 2040 2041 2050
Mine Operation Center (COM) 35,899
Evaporation Pools and Neutralization System 11,711
Sea Water Supply 51,824
ND Iodide Plant 7,529
TEA Iodide Plant 10,253
NV Iodide Plant (TEA Project) 5,107
Iodine Plant NV 4,690
Iodide Plant - Iris Iodine 20,939
Iodine Plant NV (TEA Project) 4,697
Campgrounds and Offices 7,985
Industrial Water Supply 47,442
Mitigation Works Salar Llamara 1,290
Hazardous Waste Yard 2,345
Patio de Res. Non - Hazardous Industrial 703
Roads 8,099
Desenergization 43
Signage 969
Removal of Swimming Pools and Pools 10,701
Withdrawal of inputs 26,681
Contribution to the Post Closing Fund (UF) 282,871
SQM TRS Nueva Victoria
Pag. 230


18CAPITAL AND OPERATING COSTS
This section contains forward-looking information related to capital and operating cost estimates for the Project. The material factors that could cause actual results to differ materially from the conclusions, estimates, designs, forecasts or projections in the forward-looking information include any significant differences from one or more of the material factors or assumptions that were set forth in this section including prevailing economic conditions continue such that unit costs are as estimated in constant (or real) dollar terms, projected labor and equipment productivity levels and that contingency is sufficient to account for changes in material factors or assumptions.
The main facilities for producing iodine and nitrate salts at the Nueva Victoria Site are as follows:
⮚Caliche Mining
⮚Heap Leaching
⮚Iodide & Iodine Plants
⮚Solar Evaporation Ponds
⮚Water Resource Provision
⮚Electrical Distribution System
⮚General Facilities
18.1CAPITAL COSTS
The main facilities for the production operations of Iodine and nitrate salts, include caliche extraction, leaching, water resources, Iodide an Iodine production plants, solar evaporation ponds, as well as other minor facilities. Offices and services include, among others, the following: common areas, supply areas, powerhouse, laboratory, and warehouse.
Much of the primary capital expenditure in the Nueva Victoria Project has been completed. At the end of 2024, the capital cost invested in these facilities was reportedly about USD 1,164 million with the relative expenditure by major category as shown in Table 18-1.
Table 18-1. Summary of Capital Expenses for the Nueva Victoria an Iris Operations
Capital Cost
% Total MM USD
Category 100% 1,164,322
Caliche Mining (*) 27% 311,841
Heap Leaching 24% 282,163
Iodide & Iodine Plant 20% 232,795
Solar Evaporation Ponds 15% 179,469
Water Resources Provision 7% 84,239
Electrical Distribution System 3% 30,327
General Facilities
4% 43,488
The net book value as of December 31, 2024, was reportedly about MUSD 474.3 and according to SQM will be depreciated over the next 8 years, excluding mining equipment as it depreciates based on hours of use.
18.1.1Caliche Mining
SQM produces salts rich in iodide, iodine and nitrate in Nueva Victoria and Iris, near Iquique, Chile, mineral caliche extracted from mines near Nueva Victoria.
SQM TRS Nueva Victoria
Pag. 231


Capital investment in the mine is primarily for the equipment including trucks, front loaders, bulldozers, drills, surface miners (Vermeer, Wirtgen), wheeldozers, motor graders. Other investment is in buildings and support facilities and associated equipment.
18.1.2Heap Leaching
The leach piles are made up of platforms (normally 90 x 500 m, with perimeter parapets and with a bottom waterproofed with HDPE membranes), which are loaded with the necessary caliche and are irrigated with different solutions (water, mixture, or intermediate solution of piles).
The Mine Operation Centers (COM) are a set of leaching heaps that have brine accumulation ponds, recirculated “feeble brine” ponds, industrial water ponds and their respective pumping systems.
Primary capital expenditure is in the form of piping, electrical facilities and equipment, pumps, ponds, and support equipment.
18.1.3Iodide and Iodine Plants
The main investment in the Iodide and Iodine Plants is found in tank and decanter equipment, pumps and piping, equipment and electrical facilities, buildings and well. Primary investment in the Prilate Iodine Plant is found in piping and pumps, mechanical equipment (Reactor, Tank, Tower) and buildings.
18.1.4Solar Evaporation Ponds
These ponds in the industrial area of Sur Viejo and receive the “Feeble Brine” fraction (BF) generated in the process of obtaining iodide, which is transported through 3 pipelines of approximately 20 kilometers each. The current area of evaporation ponds is 8.34 km², increasing to a total of 18.51 km² with TEA project.
18.1.5Water Resources
Primary investment is in piping, pumps, buildings, and wells.
18.1.6Electrical Distribution System
Primary investment is in transformers, substations, distribution systems and associated support facilities.
18.1.7General Facilities
Investment in General Facilities include laboratories, fire detection systems, lighting, and warehouses.
18.2FUTURE INVESTMENT
During 2020, progress was made in the development and environmental processing of the Tente en el Aire Project. In November 2021, the Environmental Assessment Commission of the Tarapacá Region agreed to classify favorably the “Tente en el Aire” project, presented by SQM.
With an investment of US$630 million, the initiative aims to incorporate new mining areas to produce iodide, iodine, and salts rich in nitrates at the Nueva Victoria Site, which entails an increase in the total amount of caliche extract, and in the use of water for said processes.
The project corresponds to a modification of the Nueva Victoria Faena consisting of:
a)New mining areas (approx. 43,586 ha), with a caliche extraction rate of 28 million t/y, resulting in a total of 65 Mt/y.
b)Two new iodide production plants (6,000 t/y each), resulting in a total of 23,000 t/y.
c)A new iodine production plant (12,000 t/y), resulting in a total of 23,000 t/y.
SQM TRS Nueva Victoria
Pag. 232


d)New Evaporation Ponds to produce nitrate-rich salts (1,950,000 t/y), resulting in a total of 4,000,000 t/y.
e)A new neutralization system, a seawater adduction (900 L/s maximum) from the Bahía Patillos sector to the mining area.
f)A new electric transmission line from the National Electric System.
Additional capital for the Long Term is estimated to be USD 946 million including sustaining capital for mining and leaching operations for equipment, improving aspects of quality, performance, sustainability and increasing production capacity. The distribution of the operating cost is presented in Table 18-2:
Table 18-2 Estimated Investment
Investment
(MUS$)
2025 2026 2027 2028 2029 2030
2031-2040
Total
Sea Water Pipeline 202 128 329
Nueva Victoria 160 49 48 75 83 48 483 946
Investment details for the implementation of the Nueva Victoria expansion; for a total amount of 630 MMUSD, the project includes:
–Seawater pipeline of 900 l/s: Investment 329 MMUSD, this includes the pipeline, the electric system and the seawater intake.

–Increase of TEA's solar evaporation area: Investment 125 MMUSD

–Increase Portage capacity and Operation Centers: Investment over time for US136 million

–New TEA Iodide plant TEA: Investment 40 MMUSD, already in operation, since november-2024

18.3OPERATING COST
The main costs to produce Iodine and Nitrates involve the following components: common production cost for iodine and nitrates, such as Mining, Leaching and Seawater, production cost of iodine in the plant, and the production cost of nitrate before processing at the Coya Sur site.
The production cost of nitrate at Coya Sur Plant and the processing of extra solar salt are added. To the costs indicated above, have been added the Depreciation and Others.
Estimated aggregate unit operating costs are presented in Table 18-3. These are based on historical unit operating costs for each of the sub-categories listed above.
Over the Long Term, total operating costs are expected to be almost equally apportioned amongst the three primary categories (Common; Iodine Production and Transport; Nitrate Production and Transport).
Table 18-3 Nueva Victoria Operating Cost
Cost Category Estimated Unit Cost
Common (Mining / Leaching/ Seawater) 4.04 US$/Ton caliche
Iodine Production (including transport to ports) 23,95 US$/Ton iodine
Nitrates Production 73.56 US$/Ton nitrate
Nitrates Transport to Coya Sur 27.55 US$/Ton nitrate
SQM TRS Nueva Victoria
Pag. 233


19ECONOMIC ANALYSIS
This section contains forward-looking information related to economic analysis for the Project. The material factors that could cause actual results to differ materially from the conclusions, estimates, designs, forecasts, or projections in the forward-looking information include any significant differences from one or more of the material factors or assumptions that were set forth in this sub-section including estimated capital and operating costs, project schedule and approvals timing, availability of funding, projected commodities markets, and prices.
19.1PRINCIPAL ASSUMPTIONS
Capital and operating costs used in the economic analysis are as described in Section 18. Sales prices used for Iodine and Nitrates are as described in Section 16. A 5.3% discount rate was used for the cashflow and is deemed reasonable to account for cost of capital and project risk. A 28% income tax rate was considerate, and all costs, prices, and values shown in this section are in 2024 US$.
19.2PRODUCTION AND SALES
The estimated production of iodine and nitrates for the period 2025 to 2040 is presented in Table 19-1. The production shown does not consider the impact of the Pampa Blanca Project which is presented in a separate TRS.
19.3PRICES AND REVENUE
An average sales price of 42.0 USD/kg (42,000 USD/ton) was used for sales of Iodine based on the market study presented in Section 16. This price is assessed as FOB port.
As a vertically integrated company, nitrate production from the mining operations is directed to the plant at Coya Sur to produce specialty fertilizer products. An imputed sales price of 323 USD/ton was assumed for nitrates salts for fertilizer based on an average sales price of 820 USD/ton for finished fertilizer products sold at Coya Sur, less 497 USD/ton for production costs at Coya Sur.
These prices and the revenue streams derived from the sale of iodine and nitrates is shown in Table 19-2.




SQM TRS Nueva Victoria
Pag. 234


Table 19-1. Nueva Victoria Long Term of Mine Production

MATERIAL MOVEMENT UNITS 2025 2026 2027 2028 2029 2030 2031-2040 TOTAL
Nueva Victoria Sector Ore Tonnage Mt 48 54 54 54 54 54 540 858
Iodine (I2) in situ ppm 362 362 357 351 343 338 313 327
Average grade Nitrate Salts (NaNO3) % 5.6% 5.6% 5.6% 5.5% 5.5% 5.4% 4.6% 4.9%
TOTAL ORE MINED (CALICHE) Mt 48 54 54 54 54 54 540 858
Iodine (I2) in situ kt 17 20 19 19 19 18 169 280.8
Yield process to produce prilled Iodine % 66.0% 67.0% 74.9% 74.7% 74.3% 73.8% 68.8% 70.0%
Prilled Iodine produced kt 11.5 13.1 14.4 14.2 13.7 13.5 116.2 196.6
Nitrate Salts in situ kt 2,688 3,024 3,008 2,999 2,962 2,921 24,695 42,297
Yield process to produce Nitrates % 40.0% 40.0% 40.0% 40.0% 39.0% 38.0% 32.0% 35.1%
Nitrate production from Leaching kt 1,075 1,210 1,198 1,185 1,157 1,122 7,892 14,839
Ponds Yield to produce Nitrates Salts % 100.0% 100.0% 100.0% 100.0% 100.0% 100.0% 100.0% 100.0%
Nitrate Salts for Fertilizers kt 1,075 1,210 1,198 1,185 1,157 1,122 7,892 14,839

SQM TRS Nueva Victoria
Pag. 235


Table 19-2. Nueva Victoria Iodine and Nitrate Price and Revenues



PRICES UNITS 2025 2026 2027 2028 2029 2030 2031-2040 TOTAL
Iodine US$/t 42,000 42,000 42,000 42,000 42,000 42,000 42,000 42,000
Nitrates delivered to Coya Sur US$/t 323 323 323 323 323 323 323 323
REVENUE UNITS
2025
2026
2027
2028
2029
2030
2031-2040
TOTAL
Iodine US$M 482 550 606 595 577 566 4,881 8,257
Nitrates delivered to Coya Sur US$M 347 391 387 383 374 362 2,548 4,792
Total Revenues US$M 829 940 993 978 951 928 7,429 13,049





SQM TRS Nueva Victoria
Pag. 236


19.4OPERATING COSTS
Operating costs associated with the production of iodine and nitrates at Nueva Victoria are as described earlier in Section 18 and are incurred in the following primary areas:
1.Common
2.Iodine Production
3.Nitrate Production
Additional details on operating costs may be found in Section 18.3. Unit costs for each of these unit operations is shown in Table 19-3.


SQM TRS Nueva Victoria
Pag. 237


Table 19-3. Nueva Victoria Operating Costs.

COSTS UNITS 2025 2026 2027 2028 2029 2030 2031-2040 TOTAL
COMMON
Mining US$M 121 136 136 137 136 136 1,363 2,166
Leaching w/o Water US$M 65 73 73 73 73 73 726 1,154
Water w/o Energy US$M 17 19 14 14 14 9 90 176
Total Mining Costs US$M 202 228 223 223 223 218 2,180 3,496
IODINE PRODUCTION
Solution Cost US$M 166 186 182 183 183 180 1,910 2,989
Iodide Plant US$M 37 43 47 46 45 44 378 639
Iodine Plant US$M 37 43 47 46 45 44 378 639
Total Iodine Production Cost US$M 240 271 275 275 273 267 2,666 4,268
Total Iodine Production Cost US$/kg Iodine 20.9 20.7 19.1 19.4 19.8 19.8 22.9 21.7
NITRATE PRODUCTION
Solution Cost US$M 37 41 41 41 40 38 270 507
Ponds and preparation US$M 33 37 36 36 35 34 239 449
Harvest production US$M 8 9 8 8 8 8 56 105
Others (G&A) US$M 2 2 2 2 2 2 16 31
Transport to Coya Sur US$M 30 33 33 33 32 31 217 409
Total Nitrate Production Cost US$M 109 122 121 120 117 113 798 1,500
Total Nitrate Production Cost US$/t Nitrate 101 101 101 101 101 101 101 101
Closure Accretion US$M 11
TOTAL OPERATING COST US$M 349 394 397 395 390 381 3,475 5,779

SQM TRS Nueva Victoria
Pag. 238


19.5CAPITAL EXPENDITURE
Much of the primary capital expenditure in the Nueva Victoria Project has been completed.
The most significant proposed future capital expenditure is for the seawater pipeline to support the proposed TEA Expansion Project. This investment is expected to need USD 329 million between 2025 - 2026.
Additional capital for the Long Term is estimated to be USD 946 million, including capital associated with the TEA expansion project and sustaining capital for mining and leaching operations. for equipment, improving aspects of quality, performance, sustainability and increasing production capacity.
A closure costs of USD 11 million has been estimated in 2040 in the cashflow.
Additional details on capital expenditures for the Nueva Victoria Project can be found in Section 18.1 and Section 18.2. The estimated capital expenditure for the Long Term (2025 to 2040) is presented in Table 18-2.
19.6CASHFLOW FORECAST
The cashflow for the Nueva Victoria Project is presented in Table 19-4.The following is a summary of key results from the cashflow:
⮚Total Revenue: estimated to be USD 13,049 million including sales of iodine and nitrates.
⮚Total Operating Cost: estimated to be USD 5,779 million.
⮚EBITDA: estimated at USD 7,269 million.
⮚Tax Rate of 28% on pre-tax gross income.
⮚Closure Cost: estimated at USD 11 million.
⮚Capital Expenditure estimated at USD 1,275 million.
⮚Net Change in Working Capital is based on two months of EBITDA.
⮚A discount rate of 5.3% was utilized to determine NPV. The QP deems this to be a reasonable discount rate to apply for this TRS which reasonable accounts for cost of capital and project risk.
⮚After-tax Cashflow: The cashflow is calculated by subtracting all operating costs, taxes, capital costs, interest payments, and closure costs from the total revenue.
⮚Net Present Value: The after tax NPV is estimated to be USD 3,060 million at a discount rate of 5.3%.
The QP considers the accuracy and contingency of cost estimates to be well within a Prefeasibility Study (PFS) standard and sufficient for the economic analysis supporting the Mineral Reserve estimate for Nueva Victoria.


SQM TRS Nueva Victoria
Pag. 239


Table 19-4. Estimated Net Present Value (NPV) for the Period

REVENUE UNITS 2025 2026 2027 2028 2029 2030 2031-2040 TOTAL
Total Revenue US$M 829 940 993 978 951 928 7,429 13,049
COSTS
Total Mining Costs US$M 202 228 223 223 223 218 2,180 3,496
Total Iodine Production Cost US$M 240 271 275 275 273 267 2,666 4,268
Total Nitrate Production Cost US$M 109 122 121 120 117 113 798 1,500
Closure Accretion US$M 11 11
TOTAL OPERATING COST US$M 349 394 397 395 390 381 3,475 5,779
EBITDA US$M 480 547 596 583 561 548 3,955 7,269
Depreciation US$M 48 56 79 79 79 87 846 1,275
Pre-Tax Gross Income US$M 432 490 517 504 482 461 3,109 5,994
Taxes 28% 121 137 145 141 135 129 870 1,678
Operating Income US$M 311 353 372 363 347 332 2,238 4,316
Add back depreciation US$M 48 56 79 79 79 87 846 1,275
Add back closure accretion US$M 0 0 0 0 0 0 11 22
NET INCOME AFTER TAXES US$M 359 409 451 442 426 419 3,095 5,602
Total CAPEX US$M 362 176 48 75 83 48 483 1,275
Closure Costs US$M 11
Working Capital US$M 2 11 8 -2 -4 -2 -50 (36)
Pre-Tax Cashflow US$M 116 360 540 510 481 502 3,522 6,030
After-Tax Cashflow US$M (5) 222 395 369 347 373 2,663 4,363
Pre-Tax NPV US$M 4,298
After-Tax NPV US$M 3,060
Discount Rate US$M 5.3%
SQM TRS Nueva Victoria
Pag. 240


19.7SENSITIVITY ANALYSIS
The sensitivity analysis was carried out by independently varying the commodity prices (Iodine, Nitrate), operating cost, and capital cost. The results of the sensitivity analysis are shown in Figure 19-5 it shows the relative sensitivity of each key metric.
Figure 19-5. Sensitivity Analysis

chart-710d0fd881344703942.jpg
As seen in the above figure, the project NPV is equally sensitive to operating cost and commodity price while being least sensitive to capital costs. This is to be expected for a mature, well-established project with much of its infrastructure already in place and no significantly large projects currently planned during the LOM discussed in this Study. Both iodine and nitrate prices have a similar impact on the NPV with nitrate prices having a slightly larger impact.
SQM TRS Nueva Victoria
Pag. 241


20ADJACENT PROPERTIES
SQM has the right to explore and/or exploit caliche mineral resources in an effective area covering more than 1,539,177 hectares in Northern Chile's Regions I and II. Prospect deposits are located on flat land or "pampas".
⮚Hermosa Oeste
⮚Tente en el Aire Oeste.
⮚Pampa Hermosa
⮚Pampa Engañadora
⮚Hermosa
⮚Fortuna
⮚Cocar
⮚Coruña
⮚Hermosa Sur
⮚Los Ángeles
⮚Tente en el aire à (TEA Sur – TEA Central – TEA Felipe – Cop 5)
⮚Franja Oeste
⮚Iris Vigía
⮚Oeste III
⮚Torcaza
⮚Sur
⮚Oeste
All prospected areas have been explored and exploration program results have indicated that these prospects reflect a mineralized trend hosting nitrate and iodine. For the year 2022, a detailed exploration program of 5,250 ha in the Hermosa Oeste and Tente en el Aire Oeste sector is underway. On the other hand, exploration efforts are focused on possible metallic mineralization found underneath caliche. There is significant potential for metallic mineralization in the area, especially copper and gold. Exploration has generated discoveries that in some cases may lead to exploitation, discovery sales and future royalty generation.
Along SQM-Nueva Victoria's boundary, as shown in Figure 20-1, there are some small-scale mining rights. In total there are two mining lots (shown in green: North-east and south-east), which are close to the property boundary.
SQM TRS Nueva Victoria
Pag. 242


Figure 20-1. Nueva Victoria Adjacent Properties.
image_173.jpg
SQM TRS Nueva Victoria
Pag. 243


21.OTHER RELEVANT DATA AND INFORMATION
The QP is not aware of any other relevant data or information to disclose in this TRS.
SQM TRS Nueva Victoria
Pag. 244


22INTERPRETATION AND CONCLUSIONS
This section contains forward-looking information related to Mineral Resources and the Long Term plan for the Project. The material factors that could cause actual results to differ materially from the conclusions, estimates, designs, forecasts or projections in the forward-looking information include any significant differences from one or more of the material factors or assumptions that were forth in this sub-section including: geological and grade interpretations and controls and assumptions and forecasts associated with establishing the prospects for economic extraction; grade continuity analysis and assumptions; Mineral Resource model Tonnes and grade and mine design parameters; actual plant feed characteristics that are different from the historical operations or from samples tested to date; equipment and operational performance that yield different results from the historical operations and historical and current test work results; mining strategy and production rates; expected mine life and mining unit dimensions; prevailing economic conditions, commodity markets and prices over the Long Term period; regulatory framework is unchanged during the Study period and no unforeseen environmental, social or community events disrupt timely approvals; estimated capital and operating costs; and project schedule and approvals timing with availability of funding.
The Nueva Victoria Mine is a proven producer of both iodine and nitrate fertilizer products. Current exploration drilling has identified Mineral Resources and Mineral Reserves sufficient to continue production until 2040. To accomplish this, certain planned strategic investments must be implemented, including a sea water intake and supply system for the operation.
To reach this conclusion, has reviewed the available data on geology, drilling, mining, and mineral processing, and has concluded that Mineral Resources, costs, and recoveries are reasonable. The largest risks for the operation will lie in changes to market conditions or to the cost of operating inputs.
The work done in this report has demonstrated that the mine, heap leach facility and the iodine and nitrate operations correspond to those of a technically feasible and economically viable project. The most appropriate process route is determined to be the selected unit operations of the existing plants, which are otherwise typical of the industry.
The current needs of the nitrate and iodine process, such as power, water, labor, and supplies, are met as this is a mature operation with many years of production supported by the current project infrastructure. As such, performance information on the valuable nitrate and iodine species consists of a significant amount of historical production data, which is useful for predicting metallurgical recoveries from the process plant. Along with this, metallurgical tests are intended to estimate the response of different caliche ores to leaching.
Freddy Ildefonso QP of Resources and Marco Fazzi QP of Reserves and Resources, concludes that the work done in the preparation of this technical report includes adequate details and information to declare the Mineral Reserves. In relation to the resource treatment processes, the conclusion of the responsible QP, Gino Slanzi, is that appropriate work practices and equipment, design methods and processing equipment selection criteria have been used. In addition, the company has developed new processes that have continuously and systematically optimized its operations.
The QP believes that mining and continued development of the Nueva Victoria project should continue and be integrated into SQM’s corporate plans.
SQM TRS Nueva Victoria
Pag. 245


22.1RESULTS
22.1.1Geology and Mineral Resources
⮚Nueva Victoria is a nitrate-iodine deposit located the intermediate depression, limited to the east by the Coastal Range (representing the Jurassic magmatic arc) and the Precordillera (associated to the magmatic activity originating from the mega Cu-Au deposits in northern Chile), generating a natural barrier for their deposition and concentration.
⮚The Nueva Victoria geology team has a clear understanding of mineralization controls and the geological and deposit related knowledge has been appropriately used to develop and guide the exploration, modeling, and estimation processes.
⮚Sampling methods, sample preparation, analysis and security were acceptable for mineral resource estimation. The collected sample data adequately reflect deposit dimensions, true widths of mineralization, and the style of the deposits. Sampling is representative of the Iodine and Nitrate Grades.
⮚As of December 31, 2024, the Mineral Resources (Measured, Indicated and Inferred exclusive of Mineral Reserves) for iodine and nitrate in Nueva Victoria are 311 Mt with a 249 ppm mean grade of Iodine and 3.87% of nitrate.
⮚SQM holds a large property position with similar geology and geomorphology as the current operations. It is probable that SQM will continue to find additional mineral resources in the Nueva Victoria area.
22.1.2Mining and Mineral Reserves
⮚Nueva Victoria has been in operation since 2002 and is a stable enterprise that should continue producing into the future.
22.1.3Metallurgy and Mineral Processing
According to Gino Slanzi Guerra, the QP in charge of metallurgy and resource treatment:
⮚There is a duly documented verification plan for the cover system to limit infiltration during leaching. The document establishes installation and leak detection procedures in accordance with environmental compliance criteria.
⮚Metallurgical test work performed to date has been adequate to establish appropriate processing routes for the caliche resource. The metallurgical test results show that the recoveries are dependent on the saline matrix content and, on the other hand, the maximization of this is linked to the impregnation cycle which has been studied, establishing irrigation scales according to the classified physical nature. The derived data are suitable for the purpose of estimating recovery from mineral resources.
⮚Based on the annual, short- and long-term production program, the yield is estimated for the different types of material to be exploited according to the mining plan, according to their classification of physical and chemical properties, obtaining a projection of recoveries that is considered quite adequate for the resources.
⮚In addition to the ROM mining methodology, there is a mining method called "Surface Mining", which, according to the tests carried out with the reaming equipment, allows obtaining a smaller size mineral and more homogeneous granulometry, which implies obtaining higher recoveries for iodine and nitrate during leaching.
⮚Reagent forecasting and dosing are based on analytical processes that determine ore grades, valuable element content and impurity content to ensure that the system's treatment requirements are effective. These are translated into consumption rate factors that are maturely studied.
⮚Since access to water can be affected by different natural and anthropogenic factors, the use of seawater is a viable alternative for future or current operations. However, this may increase operating costs, resulting in additional maintenance days.
SQM TRS Nueva Victoria
Pag. 246


⮚During operations, the content of impurities fed to the system and the concentration in the mother liquor is monitored to eventually detect any situation that may impact the treatment methodologies and the characteristics of its products.
22.2RISKS
22.2.1Mining and Mineral Reserves
⮚As mining proceeds into new areas, such as Hermosa Oeste, the production, dilution, and recovery factors may change based on operating factors. These factors and mining costs should be evaluated on a sector-by-sector basis.
22.2.2Metallurgy and Mineral Processing
⮚The risk that the process, as currently defined, will not produce the expected quantity and/or quality required. However, exhaustive characterization tests have been carried out on the treated material and, moreover, at all stages of the process, controls are in place to manage within certain ranges a successful operation.
⮚The risk that the degree of impurities in the natural resources may increase over time more than predicted by the model, which may result in non-compliance with certain product standards. Consequently, it may be necessary to incorporate other process stages, with the development of previous engineering studies, to comply with the standards.
22.2.3Other Risks
⮚The prices of iodine and fertilizers have been stable and increasing and though product price is a risk it is expected to be small.
⮚There is a social and political risk that derives from the current process of constitutional discussion in Chile, which may change the actual regulation of the mining industry This could impact to mining property, taxes, and future royalties.
22.3SIGNIFICANT OPPORTUNITIES
22.3.1Geology and Mineral Resources
⮚There is a big opportunity to improve the resource estimation simplicity and reproducibility using the block model approach not only in the case of smaller drill hole grids of 50 x 50 m and up to 200 x 200m, but also for larger drill hole grids to avoid separating the resource model and databases by drill hole spacing, bringing the estimation and management of the resource model to industry standards.
22.3.2Mining and Mineral Reserves
⮚Improve efficiency of mining by implementing selective mining criteria to improve produced grades. As the deposit is a single mining bench there is an opportunity to establish a smaller selective mining unit and mine irregular polygons to improve head grade delivered to the leach pads.
⮚The advantages of surface mining machines will offer better leaching recoveries and may be optimized with evaluation of cutter head designs and operating parameters. Care should be taken to evaluate the costs on a basis of final product production price.
22.3.3Metallurgy and Mineral Processing
⮚Determine the optimal mining levels by surface mining that maximizes recovery and minimizes costs.
⮚Improve heap slope irrigation conditions to increase iodine and nitrate recovery.
23RECOMMENDATIONS
SQM TRS Nueva Victoria
Pag. 247


23.1GEOLOGY AND MINERAL RESOURCES
⮚Continue with the QAQC program using certified standards to ensure the control of precision, accuracy and contamination in the chemical analysis of SQM Caliche Yodo Laboratory with the objective of having an auditable database according to industry best practices.
⮚Expand the block model approach for resource estimation to larger drill hole grids to avoid separating the resource model and databases by drill hole spacing.

⮚Audit with an external company of the entire resource estimation process, that is, expert review of drilling database, resource estimation, and reserve valuation
23.2MINING AND MINERAL RESERVES
⮚Continue with the Mineral Resources categorization program, maintaining and improving the block valuation methodology with multi-mine analysis for the reporting of mineral reserves in order to maximize SQM's value.
⮚In cooperation with the processing group, an ore blending plan could optimize the cost and recovery balance in the future and should be studied soon to better forecast production and equipment needs for the life of mine.
23.3METALLURGY AND MINERAL PROCESSING
⮚From the point of view of the material fed to the heaps, a recovery study is necessary to establish optimal annual operating levels that maximize recovery and minimize costs. The study will allow defining the percentage of ore to be reamed during the life of the mine to increase recovery sequentially.
⮚Regarding irrigation, alternatives that allow an efficient use of water should be reviewed, considering the irrigation of the lateral areas of the piles to increase the recovery of iodine and nitrates.
⮚A relevant aspect is the incorporation of seawater in the process, a decision that is valued given the current water shortage and that ultimately is a contribution to the project, however, a study should be made of the impact of processing factors such as impurities from this source.
⮚It is advisable to carry out tests to identify the hydrogeological parameters that govern the behavior of the water inside the pile. Review the properties of the mineral bed, which acts as a protector of the binders at the base of the piles, which is currently a fine material called "chusca", which could be replaced by classified particulate material, favoring the infiltration of the solutions.
⮚It is considered important to evaluate the leachable material through heap leaching simulation, which allows the construction of a conceptual model of caliche leaching with a view to secondary processing of the riprap to increase the overall recovery.
⮚It is contributive and relevant to work on the generation of models that represent heap leaching, the decrease in particle size (ROM versus Scarious granulometry) and, therefore, of the whole heap and the simultaneous dissolution of different species at different rates of nitrate iodine extraction.
⮚With respect to generating material use options, detailed geotechnical characterization of the available clays within the mine property boundaries is suggested to assess whether there are sufficient clay materials on site to use as a low permeable soil liner bed under the leach pad.
⮚Environmental issues include leachate or acid water management, air emissions management, tailings dump management, and leachate riprap.
⮚All the above recommendations are considered within the declared CAPEX/OPEX and do not imply additional costs for their execution.
SQM TRS Nueva Victoria
Pag. 248


24REFERENCES
⮚Chong, G., Gajardo, A., Hartley, A., Moreno, T. 2007. Industrial Minerals and rocks. In Moreno, T. & Gibbons, W. (eds) The Geology of Chile 7, 201-214
⮚Ericksen, G.E. 1981. Geology and origin of the Chilean nitrate deposits. U.S. Geological Survey Professional Paper 1188-B.
⮚Fiesta, B. 1966. El origen del salitre de Chile. Sociedad Española de Historia Natural Boletín, Sección Geológica 64(1), 47-56.
⮚Mueller, G. 1960. The theory of formation of north Chilean nitrate deposits through ((capillary concentration)). International Geological Congress, 21st, Copenhagen 1960, Report 1, 76-86.
⮚Pueyo, J.J.; Chong, G.; Vega, M. 1998. Mineralogía y evolución de las salmueras madres en el yacimiento de nitratos Pedro de Valdivia, Antofagasta, Chile. Revista Geológica de Chile, Vol. 25, No. 1, p. 3-15.
⮚Reich, M., Snyder, G.T., Alvarez, F., Pérez, A., Palacios, C., Vargas, G., Cameron, E.M., Muramatsu, Y., Fehn, U. 2013. Using iodine to constrain supergen uid sources in arid regions: Insights from the Chuquicamata oxide blanket. Economic Geology 108, 163-171.
⮚Reich, M.,Bao,H. 2018. Nitrate Deposits of the Atacama Desert: A Marker of Long-Term Hyperaridity. Elements, Vol. 14, 251–256
SQM TRS Nueva Victoria
Pag. 249


25RELIANCE ON INFORMATION PROVIDED BY REGISTRANT
The qualified person has relied on information provided by the registrant in preparing its findings and conclusions regarding the following aspects of modifying factors:
1)Macroeconomic trends, data, and assumptions, and interest rates.
2)Mine and process operating costs.
3)Projected sales quantities and prices.
4)Marketing information and plans within the control of the registrant.
5)Environmental and social licenses
SQM TRS Nueva Victoria
Pag. 250
EX-96.3 9 exhibit963-technicalreport.htm EX-96.3 Document


Exhibit 96.3
image_0.jpg




image_2.jpgTECHNICHAL REPORT SUMMARY OF THE PAMPA BLANCA OPERATION YEAR 2024

                        
    Date: April 23, 2025




tm2311827d1_ex96-4img001.jpg

Summary
This report provides the methodology, procedures and classification used to obtain SQM´s Nitrate and Iodine Mineral Resources and Mineral Reserves, at the Pampa Blanca Site. The Mineral Resources and Reserves that are delivered correspond to the update as of December 31, 2024.
The results obtained are summarized in the following tables:
Mineral Resources 2024
Mining Total Inferred Resource Total Indicated Resource Total Measured Resource
Tonnage (MMTon) Nitrate Grade (%) Iodine Grade (ppm) Tonnage (MMTon) Nitrate Grade (%) Iodine Grade (ppm) Tonnage (MMTon) Nitrate Grade (%) Iodine Grade (ppm)
Pampa Blanca  218 5.4  513  526 6.3  559  48 5.0  394


Mining Property Proven Reserves (1) Average grade Nitrates Average grade Iodine
(million metric tons) (Percentage by weight) (Parts per million)
Pampa Blanca 85 5.4% 392
Mining Property Probable Reserves Average grade Nitrate Average grade Iodine
(million metric tons) (Percentage by weight) (Parts per million)
Pampa Blanca
(1) The tables above show the Proven and Probable Reserves before losses related to the exploitation and treatment of the mineral. Proven and Probable Reserves are affected by mining methods, resulting in differences between the estimated reserves that are available for exploitation in the mine plan and the recoverable material that is ultimately transferred to the leach pads. The global average metallurgical recovery of nitrate and iodine processes contained in the recovered material is variable in each pampa (60% to 80 %). Proven and probable reserves have a caliche thickness ≥ 2.0 m and a slope, which should not exceed 8%.
(2) All the most proven mining reserves are with the block model valued method, for which each pampa will have a cut-off benefit (BC), to maximize the economic value of each block.
TRS Pampa Blanca 2023
Pag. 2

tm2311827d1_ex96-4img001.jpg

TABLE OF CONTENT

TRS Pampa Blanca 2024
Pag. 3

tm2311827d1_ex96-4img001.jpg

TRS Pampa Blanca 2024
Pag. 4

tm2311827d1_ex96-4img001.jpg



TRS Pampa Blanca 2024
Pag. 5

tm2311827d1_ex96-4img001.jpg

TABLES

Table 1-1. Pampa Blanca Mineral Resources as of December 31, 2023.
#
#
#
#
Table 7-4. Recovery Percentages at Pampa Blanca by Sectors
#
#
Table 11-3. Block Model Dimensions
#
#
#
#
#
#
#
#
#
#
#
TRS Pampa Blanca 2024
Pag. 6

tm2311827d1_ex96-4img001.jpg

#
#
#
#
#
#
#
#
#
#
FIGURES
#
#
#
#
#
Figure 6-8. Mineralogy of Pampa Blanca Caliche.
#
Figure 6-9. Maps of the Central Andes of South America (A) Digital Elevation Map with Principal Morphotectonic provinces of the Southern Central Andes labelled
#
#
#
#
#
TRS Pampa Blanca 2024
Pag. 7

tm2311827d1_ex96-4img001.jpg

#
#
#
#
#
Figure 10-6. Successive leach test development procedure
#
Figure 10-7. Iodine Recovery as a Function of total Salts Content.
#
Figure 10-8. Parameter Scales and Irrigation Strategy in the Impregnation Stage.
#
Figure 10-9. Irrigation Strategy Selection
#
Figure 10-10. Nitrate and Iodine Yield Estimation and Industrial Correlation
#
Figure 11-1. Block model location in Pampa Blanca Sector 4 - 5.
#
Figure 11-2. Variogram Models for Iodine in Pampa Blanca Sector 5.
#
Figure 11-3. Plan view of the polygons bordering The Mineral Resources Pampa Blanca Sector 5
#
Figure 11-4. Swath Plots for Iodine – PB5
#
Figure 11-5. Swath Plots for Nitrate – PB5
#
Figure 11-6. Visual Validation of Iodine (Up) and Nitrate (Down) Estimation, Plan View – PB5
#
#
#
#
#
#
Figure 14-5 Expansion of the Evaporation Pools plan at the Florencia de Pampa Blanca Plant.
#
#
#
#
#
#
#
#
Figure 20-1. Pampa Blanca Adjacent Properties
#
Figure 20-2. Other properties adjacent to the Project that is exploited by others
#
TRS Pampa Blanca 2024
Pag. 8

tm2311827d1_ex96-4img001.jpg


1EXECUTIVE SUMMARY
1.1PROPERTY SUMMARY AND OWNERSHIP
Located in Sierra Gorda, province of Antofagasta, the Pampa Blanca Mine has deposits located on flatlands or "pampas" covering an area of 51,201 hectares. Exploration program results have indicated that explored areas reflect a mineralized trend hosting nitrate and iodine. Exploration has generated discoveries that, in some cases, may lead to exploitation, sales of the discovery, and generation of royalties in the future. Within this framework, in 2013 the company recorded a royalty sale of the Antucoya project to Antofagasta Minerals (copper mining).
As part of the limits belonging to SQM-Pampa Blanca, there are other properties adjacent to the project being exploited by others and there are some mining rights, which include: Algorta Norte S.A., Antofagasta Minerals, and Mina Rencoret.
1.2GEOLOGY AND MINERALIZATION
Pampa Blanca is in the physiographic unit of the Central Depression, influenced by modelling processes generated from stratigraphic units located on the eastern slopes of the Cordillera de la Costa and on the western slopes of the intermediate mountain ranges that develop to the east, where units from the Paleozoic to the recent age are found.
The Nitrate - Iodine deposits located at Pampa Blanca are immersed in an alluvial fan sedimentary environment, with the mineralization being associated with clastic sedimentary rocks (conglomerate sequences, conglomerate breccias, brecciated conglomerates and sandstones) and to a lesser extent with volcanic rocks. The main structures affecting the sector correspond to two main systems of NS and NW-SE orientations respectively, these systems generate a tectonically uplifted basin which hosts this deposit. These structures also affect the morphology of the sector, contributing to the formation of deep ravines and controlling the drainage networks.
Mineralization at Pampa Blanca is mantiform, with a wide areal distribution, forming "spots" of several kilometers in extension; the mineralization thicknesses are variable, with mantles of approximately 1.0 to 5.0 meters. The mineralogical association identified corresponds mainly to soluble sulfates of Na - K, less soluble sulfates of Ca, Chlorides, Nitrates and Iodates. Within the mineral species of interest, for Nitrates; Nitratine (NaNO3) - KNO3 (Potassium Nitrate); Hectorfloresite, Lautarite, Bruggenite as iodates.
In 2024, there was no detailed exploration program. Currently, drilling totals 20,952 reverse circulation (RC) drill holes (125,286 meter). All the drill holes were vertical. Drilling is carried out with wide grid in the first reconnaissance stage (1000 x 1000; 800 x 800; 400 x 400); to later reduce this spacing to define the resources in their different categories.
1.3MINERAL RESOURCE STATEMENT

This sub-section contains forward-looking information related to Mineral Resource estimates for the Project. The material factors that could cause actual results to differ materially from the conclusions, estimates, designs, forecast or projections in the forward-looking information include any significant differences form one or more of the material factors or assumptions that were set forth in this sub-section including a geological grade interpretation a controls and assumptions a forecast associated with establishing the prospects for economic extraction.
All available samples were used without compositing and no capping, or other outlier restriction, to develop a geological model in support of estimating Mineral Resources. Hard contacts were used between different geological units. Sectors with a drill hole grid of 50 x 50 m and up to 100 x 100 m were estimated in a three-dimensional block model using the Ordinary Kriging (KO) interpolation method in one pass. Additionally, variograms were constructed and used to support the search for ellipsoid anisotropy and linear trends observed in the data. Iodine and nitrate grade interpolation was performed using the same variogram model calculated for Iodine. In the case of sectors with drill holes grids greater than 100 x 100 m and up to 200 x 200 m were estimated in a three-dimensional block model using the Inverse Distance Weighted (IDW) interpolation method. For areas with drill holes grids of 400 x 400 m were estimated in two dimensional using the Polygon Method.
TRS Pampa Blanca 2024
Pag. 9

tm2311827d1_ex96-4img001.jpg

Mineral Resources were classified using the drill hole grid. Zones with grid of 50 x 50 m up to 100 x 100 m were classified as Measured. For Indicated Mineral Resources, the zone should have a 200 x 200 m drill hole grid. To define inferred Resources a 400 x 400 m drill hole grid was used.
The Mineral Resources involves a new methodology, "block valorization", which considers for the resource, an optimal economic envelope of each pampa for a cut-off benefit (USD/Ton of ore) greater than 0.1 (BC). The parameters included in the calculation of the value of the block are: Iodine price, Nitrate price, Iodine Recovery, Nitrate Recovery, Mine Cost, Iodine Plant Cost and Nitrate Plant Cost". The block valuation methodology is stacked for measured and indicated resources (excluding reserves). The resulting inferred resources are not valued and are reported on an iodine cut-off grade (300 ppm).

The Mineral Resource Estimate, excluding Mineral Reserves, is presented in Table 1-1.

Table 1-1. Pampa Blanca Mineral Resources as of December 31, 2024.

Pampa Blanca Measured Indicated M+1 Inferred
Tonnage (MMTon) Nitrate Grade (%) Iodine Grade (ppm) Tonnage (MMTon) Nitrate Grade (%) Iodine Grade (ppm) Tonnage (MMTon) Nitrate Grade (%) Iodine Grade (ppm) Tonnage (MMTon) Nitrate Grade (%) Iodine Grade (ppm)
48 5.0 394 526 6.3 559 574 6.2 545 218 5.4 513

(a)Mineral Resources are not Mineral Reserves and do not have demonstrated economic viability. There is no certainty that all or any part of the Mineral Resource will be converted into Mineral Reserves upon the application of modifying factors.
(b)The Mineral Resources are based on the application of modifying factors and due to the fact that the caliche deposits are located on the surface, part of the Measured and Indicated Mineral Resources with environmental permits and that are within the envelope of the valorization of the block greater than 3, have been converted into Mineral Reserves. As a consequence of the above, geological resources are provided excluding mining reserves, or which they are included in this Report of Measured Geological Resources, indicated and inferred in this Summary of the Technical Report.

(c)Comparisons of values may not add due to rounding of numbers and the differences caused by use of averaging methods.
(d)The units “Mt”, “ppm” and “%” refer to million tons, parts per million, and weight percent respectively.
(e)The Resource Mineral involves a cut-off benefit (USD/Ton of ore) greater than 0.1 and caliche thickness ≥ 2.0 m.
(f)As the mineral resources estimation process is reviewed and improved each year, mineral resources could change in terms of geometry, tonnage or grades.

Density was assigned to all materials with a default value of 2.1 (ton/m3), this value comes from several analysis made by SQM in Pampa Blanca and other operations.
The QP is not aware of any environmental, permitting, legal, title, taxation, socioeconomic, marketing, political or other relevant factors that could materially affect the Mineral Resource Estimate that are not discussed in this Technical Report.
1.4MINERAL RESERVE STATEMENT
This sub-section contains forward-looking information related to Mineral Reserve estimates for the Project. The material factors that could cause actual results to differ materially from the conclusions, estimates, designs, forecast or projections in the forward-looking information include any significant differences from one or more of the material factors or assumptions that were set forth in this sub-section including Mineral Resource model tons and grade, modifying factors including mining and recovery factors, production rate and schedule, mining equipment productivity, commodity market and prices and projected operating and capital costs.
TRS Pampa Blanca 2024
Pag. 10

tm2311827d1_ex96-4img001.jpg

The Measure Mineral Resources defined by drill hole grid 50 x 50 m and up to 100 x 100 m; and evaluated using 3D blocks and Ordinary Kriging are considered as high level of geological confidence are qualified as Proven Mineral Reserves.(See Table 12.2).
The Indicate Mineral Resources defined by drill holes grids greater than 100 x 100 m up to 200 x 200 m; and evaluated using 3D blocks model and Inverse Distance Weighted (IDW) interpolation method is considered as medium level of geological confidence and qualified as Probable Mineral Reserves.
The Mineral Reserves are based on the block valuation methodology, which considers for the resource, an optimal economic envelope of each pampa for a Cut-off Benefit (USD/Ton of ore) greater than 3. The parameters included in the calculation of the value of the block are: Iodine price, Nitrate price, Iodine Recovery, Nitrate Recovery, Mine Cost, Iodine Plant Cost and Nitrate Plant Cost", another restriction for reserves is a caliche thickness ≥ 2.0 m and a slope, which should not exceed 8%. Economic viability is demonstrated in discounted cash flow after taxes (see Section 19). All Mineral Reserves are defined in sectors with environmental permits (RCA).
Some sectors belong to Pampa Blanca mine started the exploitation prior the year 1997, thus it didn´t need developing an EIA and obtain the administrative authorization (RCA) to operate according to the current environmental legislation in Chile (Ley 19.300 Bases Generales del Medio Ambiente, 01-March-1994). These sectors have an “Authorization Sectorial” (operation permit) that allow to SQM operates and extract the resources estimated using heap leaching structures (Operation Permit with heap Leah) or traditional methods (“bateas”) (Operation Permit without heap Leah) to obtain enriched fresh brine in Iodine and Nitrates.
SQM has some sector of Pampa Blanca mine with different status process of environmental license or operational permit, thus, the estimated resources without RCA can´t be consider as reserves (Table 1-2).

Table 1-2. Environmental Status at Pampa Blanca Mine.
Pampa Blanca Operational Permit With Heap Leaching Without RCA
Measured Resources 48 17
Proven Reserves 85
Indicated Resources 526
Probable Reserves
RCA Environmental Qualification Resolution Administrative document that establishes that the environmental Impact Assessment Process has been Approved, Rejected, or Approved with Conditions
Operational Permit Operation permit ("Autorización Sectorial") that corresponds to mines that began activity prior to 1997. The method of exploitation considered in the permit can't be modified, unless an EIA is carried out to obtain the corresponding permits (RCA)
Without RCA Sectors without RCA; so the Resources Indicated under this category are not considered as Probable Reserves

In these criteria, Proven Reserves Mineral at Pampa Blanca are estimated in to 85 million tons (Mt) with an estimated average nitrate grade of 5.4% and 392 ppm iodine.
All Probable Reserves were recategorized to Proven Reserves, therefore there are no longer Proven reserves for this update.
Mineral Reserves are stated as in-situ ore.

Table 1-3. Mineral Reserve at the Pampa Blanca Mine (Effective 31 December 2024)
TRS Pampa Blanca 2024
Pag. 11

tm2311827d1_ex96-4img001.jpg

Proven Reserves Probable Reserves Total Reserves
Tonnage (Mt) 85 85
Iodine Grade (ppm) 392 392
Nitrate Grade (%) 5.4 5.4
Iodine (kt) 33.5 33.5
Nitrate (kt) 4,613 4,613

Notes:
(1)The Mineral Reserves are based on a Cut-off Benefit (BC) greater than 3 USD/t, a caliche thickness ≥ 2.0 m. and a restriction of sectors with slopes not greater than 8%.
(2)Proven Minerals Reserves are based on Measured Mineral Resources at the criteria described in (a) above.
(3)Probable Mineral Reserves are based on Indicated Mineral Resources based on the criteria described in (a) above, calculations were made using a model estimated by IDW.
(4)Mineral Reserves are stated as in-situ ore (caliche) as the point of reference.
(5)The units “Mt”, “kt”; “ppm” and “%” refer to million tons, kilotons; parts per million, and weight percent respectively.
(6) Mineral Reserves are based on an Iodine price of 42.0 USD/kg. Miner is also based on economic viability as demonstrated in an after-tax discounted cashflow (see Section 19).
(7)Marco Fazzi and Freddy Ildefonso are the QP responsible for the Mineral Resources.
(8)The QP is not aware of any environmental, permitting, legal, title, taxation, socioeconomic, marketing, political or other relevant factors that could materially affect the Mineral Reserve estimate.
(9)Comparison of values may not total due to rounding of numbers and the differences caused by use of averaging methods.

1.5MINE DESIGN, OPTIMIZATION, AND SCHEDULING
At Pampa Blanca the total amount of Caliche extraction reached in 2024 was 5.8 million tons (Mt). Caliche production for the Long Term (MP) form 2025 through 2030 is 5.5 Mt per year and for the period 2031-2040 is 5.2 Mt; with an average iodine grade of 392 ppm and nitrate grade of 5.4%.
The mining procedure at Pampa Blanca involves the following processes:
–Removal of surface layer and overload (between 0.50 to 2.0 m thick).
–Caliche extraction, up to a maximum depth of 6 m, through explosives (drill & blast).
–Caliche loading, using front-end loaders.
–Transport of the mineral to heap leach, using mining trucks (rigid hopper) of high tonnage (100 to 150 Tones).
–Construction of heap leach to accumulate a total of 0.5 to 1 Mt, with heights of 7 to 15 m and a crown area of 40,000 to 65,000 square meters (m²).
–The physical stability analysis performed by SQM indicates that these heaps are stable for long-term stable, and no slope modification is required for closure.
–Continuous irrigation of heap leach is conducted to complete the leach cycle. The cycle of each heap lasts approximately 400 to 500 days and during this time, heap height decreases by 15% to 20%.
The criteria set by SQM to establish the mining plan correspond to the following:
–Caliche thickness ≥ 2.0 m
–Overburden thickness ≤ 3.0 m
TRS Pampa Blanca 2024
Pag. 12

tm2311827d1_ex96-4img001.jpg

–Barren / Mineral Ratio < 1.0
–Unit sales Price for prilled Iodine 42,000 US$/Ton and a unit total cost of 32.1 US$/Tons (mining, leaching and plant processing).
The caliche will be extracted using the traditional methods of drill & blast.
In Pampa Blanca mine, initial concentration process started with a leaching in situ by means of heaps (leaching pad) irrigated by drip/spray to obtain an iodine and nitrate enriched solution that is sent to treatment plants to obtain the final products.
In heap leaching processes, the total water consumptions range from 0.45 to 0.47 m³/ton of “caliches”.
Leaching process yields are set at around 60% for iodine and 40% for nitrate in ROM heap leaching (material extracted with traditional method drill & blast).
Other mining facilities besides heaps are solutions ponds (brine, blending, intermediate solution -SI-) and water and back-up ponds (brine and intermediate solution). From brine pond, the enriched solutions were sent to the iodide plants via HPDE pipes.
Given the production factors set in mining and leaching processes (69.0% for prilled Iodine and 33.3% for Nitrates Salts that are average values), a total production of 23.1 kt of Iodine and 1,535 kt of nitrate salts for fertilizers is expected for this period (2025- 2040) from lixiviation process to treatment plants.
TRS Pampa Blanca 2024
Pag. 13

tm2311827d1_ex96-4img001.jpg

1.6METALLURGY AND MINERAL PROCESSING

1.6.1 Metallurgical Testing Summary
The test work developed is aimed at determining the susceptibility of raw materials to production by means of separation and recovery methods established in the plant, evaluating deleterious elements, to establish mechanisms in the operations and optimize the process to guarantee a recovery that will be intrinsically linked to the mineralogical and chemical characterization, as well as physical and granulometric of the mineral to be treated.
Historically, SQM Nitrates, through its Research and Development area, has conducted tests at plant and/or pilot scale that have allowed improving the knowledge about the recovery process and product quality through chemical oxidation tests, solution cleaning and recently, optimization tests of leaching heap operations, through the prior categorization of the ore to be leached.
SQM's analysis laboratories located in the city of Antofagasta and the Iris Pilot Plant Laboratory (Nueva Victoria) perform physicochemical, mineralogical, and metallurgical tests. The latter allow to know the behavior of the caliche bed against water leaching and thus support future performance. In addition, the knowledge generated contributes to the selection of the best irrigation strategy to maximize profit and the estimation of recovery at industrial scale by means of empirical correlations between the soluble content of caliches and the metallurgical yields of the processes.

1.6.2 Mining and Mineral Processing Summary
The production process begins with mining of “Caliche” ore. The ore is heap-leached to generated iodate & nitrate rich leaching solutions referred to by SQM as “Brines”. The brines are piped to processing plants where the iodate is converted to iodide, which is then processed to obtain pelleted (“Prilled”) iodine.
The operation of the Pampa Blanca mine was suspended in 2010; During the second half of 2022, it reopens, with an initial production of 0.7 Mt charged to leaching piles during 2022. The Iodate Plant is in operation at the end of March 2023.
The material collected in a "final product" field corresponds to salt harvesting from the "Florencia Solar Evaporation Plant" resulting from an extraction process where waste salts (sodium chloride, magnesium, and sodium sulfates) and high sodium nitrate (NaNO3) salts were separated and harvested. The high sulfate salts are used in the impurity abatement system where they allow an increase in nitrate recovery in the evaporation ponds process.
The surface area authorized for mining at Pampa Blanca is 10,187 ha; caliche extraction at Pampa Blanca is 5.5 million tons per year (Mtpy).
1.7CAPITAL AND OPERATING COSTS
This section contains forward-looking information related to capital and operating cost estimates for the Project. The material factors that could cause actual results to differ materially from the conclusions, estimates, designs, forecast or projection in the forward-looking information include any significant differences from one or more of the materials factors or assumptions that were set forth in this section including prevailing economic conditions continue such that projected capital costs, labor and equipment productivity levels and that contingency is sufficient to account for changes in material factors or assumptions.
The annual production estimates were used to determine annual estimates of capital and operating costs. All cost estimates were in 2024 USD. Annual operating costs were based on historical operating costs, material movements and estimated unit costs provided for SQM. These including mining, leaching, iodine and nitrate production. Ore capital costs included working capital and closure costs. Annual total operating cost of 10.1 USD/ Ton caliche to 11.5 USD/Ton of caliche, with an average total operating cost of 10.5 USD/ Ton of caliche over the Long Term (MP).
TRS Pampa Blanca 2024
Pag. 14

tm2311827d1_ex96-4img001.jpg

1.8ECONOMIC ANALYSIS
This section contains forward-looking information related to economic analysis for the Project. The material factors that could cause actual results to differ materially from the conclusions, estimates, designs, forecast or projection in the forward-looking information include any significant differences from one or more of the materials factors or assumptions that were set forth in this sub section including estimated capital and operating costs, project schedule and approvals timing, availability of funding, projected commodities markets and prices.
All costs were assumed in 2024 USD.
For the economic analysis a Discounted Cashflow (DCF) model was developed.
An iodine sales price of 42,000 USD/Ton and a nitrate salt for fertilizer price of 323 USD/Ton was used in the discounted cashflow. The imputed nitrate salts for fertilizer price of 323 USD/Ton were estimated based on average price for finished fertilizer products sold at Coya Sur of 820 USD/Ton, less 497 USD/Ton for production cost at Coya Sur.
QP believes these prices reasonably reflect current market prices and are reasonable to use as sales prices for the economic analysis for this Study.
The discounted cashflow establishes that the Mineral Reserves estimate provided in this report are economically viable. The base case NPV is estimated to be USD 273 Million. The Net Present Value for this study is most sensitive to operating cost and sales prices of both iodine and nitrates.
QP considers the accuracy and contingency of cost estimates to be well within a Prefeasibility Study (PFS) standard and enough for the economic analysis supporting the Mineral Reserve estimated for SQM.
1.9CONCLUSIONS AND RECOMMENDATIONS
Marco Fazzi QP of Mineral Resources and Mineral Reserves concludes that the work done in the review of this TRS includes adequate details and information to declare the Mineral Reserves. In relation to the resource treatment processes, the conclusion of the responsible QP, Gino Slanzi, is that appropriate work practices and equipment, design methods and processing equipment selection criteria have been used. In addition, the company has developed new processes that have continuously and systematically optimized its operations.
Some recommendations are given in the following areas:
–Continue with the improvements for the Qa-Qc program to integrate it to Acquire System manages to align with the best practices of the industry, facilitating with this a more robust quality control.
–It is considered important to evaluate the leachable material through heap leaching simulation, which allows the construction of a conceptual model of caliche leaching with a view to secondary processing of the riprap to increase the overall recovery. It is recommended to continue with the research work of the geometallurgical model to determine the real recovery to the increase of water.
–Environmental issues include leachate or acid water management, air emissions management, tailings dump management, and leachate riprap.
–Audit with an external company of the entire resource estimation process, that is, expert review of drilling database, resource estimation, and reserve valuation
All the above recommendations are considered within the declared CAPEX/OPEX and do not imply additional costs for their execution.








TRS Pampa Blanca 2024
Pag. 15

tm2311827d1_ex96-4img001.jpg

2INTRODUCTION
This Technical Summary Report (TRS) was prepared by SQM's team of professionals and external advisors for Sociedad Química y Minera de Chile (SQM), in accordance with the requirements of Regulation SK, Subpart 1300 of the United States Securities Exchange Commission (SEC), hereinafter referred to as SK 1300.
2.1TERMS OF REFERENCE AND PURPOSE OF THE REPORT
At Pampa Blanca, SQM produces nitrate salts (sodium nitrate and potassium nitrate) and iodine, by heap leaching and evaporation. The effective date of this TRS report is December 31, 2024.
This TRS uses English spelling and Metric units of measure. Grades are presented in weight percent (wt.%). Costs are presented in constant US Dollars as of December 31, 2024.
Except where noted, coordinates in this TRS are presented in metric units using the World Geodesic Reference System (PSAD) 1956 Universal Transverse Mercator (UTM) ZONE 19 South (19S).
The purpose of this TRS is to report Mineral Resources and Mineral Reserves for SQM’s Pampa Blanca operation.
2.2SOURCE OF DATA AND INFORMATION
This TRS is based on information from SQM and public domain data. All information is cited throughout this document and is listed in the final "References" section at the end of this report. Table 2-1 provides the abbreviations (abbv.) and acronyms used in this TRS.
Table 2-1 Abbreviations (abbv.) and acronyms
Acronym/Abbv. Definition
minute
' second
% percent
° degrees
°C degrees Celsius
100T 100 truncated grid
AA Atomic absorption
AAA Andes Analytical Assay
AFA weakly acidic water
AFN Feble Neutral Water
Ajay Ajay Chemicals Inc.
AS Auxiliary Station
ASG Ajay-SQM Group
BF Brine Feble
BFN Neutral Brine Feble
BWn abundant cloudiness
CIM Centro de Investigación Minera y Metalúrgica









TRS Pampa Blanca 2024
Pag. 16

tm2311827d1_ex96-4img001.jpg

Acronym/Abbv. Definition
cm centimeter
CU Water consumption
COM Mining Operations Center
CSP Concentrated solar power
CONAF National Forestry Development Corporation
DDH diamond drill hole
DGA General Directorate of Water
DTH down-the-hole
EB 1 Pumping Station No. 1
EB2 Pumping Station No. 2
EIA environmental impact statement
EW east-west
FC financial cost
FNW feble neutral water
g gram
G gravity
GU geological unit
g/cc grams per centimeter
g/mL grams per milliliter
g/ton grams per ton
g/L grams per liter
GPS global positioning system
h hour
ha hectare
ha/y hectares per year
HDPE High-density Polyethylene
ICH industrial chemicals
ICP inductively coupled plasma
ISO International Organization for Standardization
kg kilogram
kh
horizontal seismic coefficient
kg/m3
kilogram per cubic meter
km kilometer
kv
vertical seismic coefficient
kN/m3
kilonewton per cubic meter
km2
square kilometer
kPa Kilopascal
kt kilotonne
ktpd thousand tons per day
ktpy kilotonne per year
Acronym/Abbv. Definition
TRS Pampa Blanca 2024
Pag. 17

tm2311827d1_ex96-4img001.jpg

kUSD thousand USD
kV kilovolt
kVa kilovolt-amperes
L/h-m2
liters per hour square meter
L/m2 /d
liters per square meter per day
L/s liters per second
LR Leaching rate
LCD/LED liquid crystal displays/light-emitting diode
LCY Caliche and Iodine Laboratories
LdTE medium voltage electrical transmission line
LIMS Laboratory Information Management System
LOM life-of-mine
m meter
M&A mergers and acquisitions
m/km2
meters per square kilometer
m/s meters per second
m2
square meter
m3
cubic meter
m3 /d
cubic meter per day
m3 /h
cubic meter per hour
m3 /ton
cubic meter per ton
masl meters above sea level
mbgl meter below ground level
mbsl meters below sea level
mm millimeter
mm/y millimeters per year
Mpa megapascal
Mt million ton
Mtpy million tons per year
MW megawatt
MWh/y Megawatt hour per year
NNE north-northeast
NNW north-northwest
NPV net present value
NS north south
O3
ozone
ORP oxidation reduction potential
PLS pregnant leach solution
PMA particle mineral analysis
ppbv parts per billion volume
ppm parts per million
Acronym/Abbv. Definition
TRS Pampa Blanca 2024
Pag. 18

tm2311827d1_ex96-4img001.jpg

PVC Polyvinyl chloride
QA Quality assurance
QA/QC Quality Assurance/Quality Control
QC Quality control
QP Qualified Person
RC reverse circulation
RCA environmental qualification resolution
RMR Rock Mass Rating
ROM run-of-mine
RPM revolutions per minute
RQD rock quality index
SG Specific gravity
SEC Securities Exchange Commission of the United States
SSE South-southeast
SEIA Environmental Impact Assessment System
MMA Ministry of Environment
SMA Environmental Superintendency
SNIFA National Environmental Qualification Information System (SMA online System)
PSA Environmental Following Plan (Plan de Seguimiento Ambiental)
SEM Terrain Leveler Surface Excavation Machine
SFF specialty field fertilizer
SI intermediate solution
SING Norte Grande Interconnected System
S-K 1300 Subpart 1300 of the Securities Exchange Commission of the United States
SM Surface Mining
SM (%) salt matrix
SPM sedimentable particulate matter
Sr relief value, or maximum elevation difference in an area of 1 km²
SS soluble salt
SX solvent extraction
t ton
TR Irrigation rate
TAS sewage treatment plant
TEA project Tente en el Aire Project
tpy tons per year
t/m3
tons per cubic meter
tpd tons per day
TRS Technical Report Summary
ug/m3
microgram per cubic meter
USD United States Dollars
USD/kg United States Dollars per kilogram
USD/ton United States Dollars per ton
TRS Pampa Blanca 2024
Pag. 19

tm2311827d1_ex96-4img001.jpg

Acronym/Abbv. Definition
UTM Universal Transverse Mercator
UV ultraviolet
VEC Voluntary Environmental Commitments
WGS World Geodetic System
WSF Water soluble fertilizer
wt.% weight percent
XRD X-Ray diffraction
XRF X-ray fluorescence

2.3DETAILS OF INSPECTION
The most recent site visit dates for each Qualified Person (QP) are listed in Table 2-2:
Table 2-2. Summary of site visits made by QPs to Pampa Blanca in support of TRS Review
Qualified Person (QP) Expertis Date of Visit Details of Visit
Marco Fazzi Geology dec-24 Pampa Blanca Mine and Facilities
Gino Slanzi Metallurgy and Mineral Processing mar-24 Inspection of Iodine Plants, Mine and Leaching Piles
Freddy Ildefonso Geology dec-24 Pampa Blanca Mine and Facilities

During the site visits to the Pampa Blanca Property, the QPs, accompanied by SQM technical staffs:
–Visited the mineral deposit (caliche) areas.
–Inspected drilling operations and reviewed sampling protocols.
–Reviewed core samples and drill holes logs.
–Assessed access to future drilling locations.
–Viewed the process though mining, heap leaching.
–Reviewed and collated data and information with SQM personnel for inclusion in the TRS.
2.4PREVIOUS REPORTS ON PROJECT
Technical Report Summary prepared by WSP Consulting Chile (WSP), March 2022.
Technical Report Summary prepared by SQM S.A, March 2023.
Technical Report Summary prepared by SQM S.A, April 2024.


3DESCRIPTION AND LOCATION
TRS Pampa Blanca 2024
Pag. 20

tm2311827d1_ex96-4img001.jpg

3.1LOCATION
The Project is located in Antofagasta Region, Sierra Gorda commune, approximately 100 km northeast of the city of Antofagasta and 25 km northeast of the town of Baquedano (SQM, 2019). The property is located between the UTM coordinates (WGS 84, zone 19S) 430,000 E - 7,460,000 N and 430,000 E - 7,400,000 N.

Figure 3-1. General Location Map
image_8.jpg
image_9.jpg

TRS Pampa Blanca 2024
Pag. 21

tm2311827d1_ex96-4img001.jpg

3.2MINERAL TITLES, CLAIMS, RIGHTS, LEASES AND OPTIONS
SQM currently has 4 mineral properties located in the north of Chile, in the First Region of Tarapacá (I) and Second Region of Antofagasta (II). These are the Nueva Victoria, María Elena, Pedro de Valdivia and Pampa Blanca properties. All properties cover a combined area of approximately 289,781 ha and has been make prospecting grid resolution of 400 x 400 m or finer.
The Pampa Blanca Property covers an area of approximately 75,802 hectares and comprised of 53 mining properties Table 3-1.
Table 3-1. Total Number of Mining Properties to Pampa Blanca Site.
Mining Properties
LENKA 101 1-20 COLINA 1 1-30 LENKA 65 1-30
LENKA 65 61-90 LENKA 64 II 1-30 MIEDO 52 1-90
CELIA 1-33 LENKA 55 91-120 COLINA 6 1-10
LENKA 75 II 31-60 COPO 1 1-30 LENKA 65 31-60
LENKA 65 91-120 LENKA 64 II 31-60 MIEDO 54 1-40
CARBONATO 13 41-70 LENKA 54 121-150 CARBONATO 12 31-60
LENKA 75 II 61-90 COPO 2 1-30 MIEDO 60 1-60
LENKA 65 121-150 LENKA 64 II 61-90 PAULO I 1-28
CARNONATO 13 71-100 LENKA 54 61-90 CARBONATO 12 61-80
LENKA 75 II 91-120 MIEDO 55 1-60 MIEDO 61 1-40
LENKA 55 1-30 LENKA 64 II 91-120 CHACABUCO 1-9
COLINA 2 1-30 LENKA 54 91-120 CARBONATO 13 1-40
LENKA 75 II 1-30 MIEDO 50 1-17 MIEDO 63 1-90
LENKA 55 31-60 LENKA 56 III 1-50 AURELIA 1-9
COLINA 3 1-30 LENKA 55 121-150 CARBONATO 12 1-30
LENKA 64 II 121-150 MIEDO 51 1-14 PAULO IV 1-12
LENKA 55 61-90 COLINA 5 1-20 ESTACA BOLIVIANA V
COLINA 4 1-30 CONDELL 1-39

3.3MINERAL RIGHTS
SQM owns mineral exploration rights over 1,538,919 ha of land in the I and II Regions of northern Chile and is currently exploiting the mineral resources over less of 1% of this area (as of Dec 2024).

3.4ENVIRONMENTAL IMPACTS AND PERMITTING
The Plant has the following environmental authorizations, whose approval is detailed in the corresponding Environmental Qualification Resolution (RCA) issued by the authority (Environmental Evaluation Service "SEA")
–Environmental Qualification Resolution No. 021/1999 approves the Environmental Impact Assessment (EIA) "Florencia Solar Evaporation Plant".
–Environmental Qualification Resolution No. 278/2010 approves the EIA "Pampa Blanca Mine Zone".
–Environmental Qualification Resolution No. 319/2013 approves EIA "Pampa Blanca Expansion" (this project has not been executed to date; this request is not considered).
TRS Pampa Blanca 2024
Pag. 22

tm2311827d1_ex96-4img001.jpg

Currently, the Environmental Impact Statement (EIS) "Modification of the Pampa Blanca Mining Facility through the Incorporation of a New Waste Salt Storage Area" is under environmental assessment, for which the first round of responses to the observations received by the services was delivered.

Additionally, the environmental assessment of the Pampa Blanca Seawater Pumping System project is being prepared, which includes the mine area and the seawater pumping system for future operation.
On the other hand, the Exempt Resolutions issued by the National Geology and Mining Service (SERNAGEOMIN) associated with the site correspond to:
–Exempt Resolution N°821/2009 authorizing Pampa Blanca Closure Plan.
–Exempt Resolution N°368/2010 authorizing the Temporary Closure of Pampa Blanca.
–Exempt Resolution N°1346/2012 authorizing the extension of the Temporary Closure, Pampa Blanca Closure Plan.
–Exempt Resolution N°1424/2015 that approves the project (Valorization) of the Closure Plan of the Pampa Blanca Mining Plant.
–Exempt Resolution N°2873/2017 that favorably qualifies the guarantee accumulated to 2017 of the valorization projects for the Closure Plan of the Mining Mine "Pampa Blanca".
–Exempt Resolution N°802/2019 that approves the project Temporary Closure Plan for the Pampa Blanca Mine.
–Exempt Resolution N°1304/2020 that approves the Expansion of the Temporary Closure Plan for the Pampa Blanca Mine.

–Exempt Resolution N°0292/2023 that approves of the Closure, Pampa Blanca Closure Plan.

–Exempt Resolution N°0292/2023 Authorization for waste disposal -Storage of waste as a waste dump”
3.5OTHER SIGNIFICANT FACTORS AND RISKS
SQM’s operations are subject to certain risk factors that may affect the business, financial conditions, cash flow, or SQM’s operational results.
The factors or risks are described below:
–The risk of obtaining final environmental approvals from the necessary authorities promptly. Sometimes, obtaining permits can cause significant delays in the execution and implementation of new projects.
– Risks related to be a company based in Chile; potential political risks as well as changes to the Chilean Constitution and legislation that could conceivably affect development plans, production levels, royalties and other costs.
–Risks related to financial markets.
3.6ROYALTIES AND AGREEMENTS
Apart from paying standard mineral royalties to the Government of Chile, in compliance with the Chilean Royalty Law, SQM has no obligations to any third party in respect of payments related to licenses, franchises or royalties for its Pampa Blanca Property.

4ACCESSIBILITY, CLIMATE, LOCAL RESOURCES, INFRASTRUCTURE AND PHYSIOGRAPHY
This section of the TRS provides a summary of the physical setting of the Pampa Blanca Property, access to the property and relevant civil infrastructure.
4.1TOPOGRAPHY

TRS Pampa Blanca 2024
Pag. 23

tm2311827d1_ex96-4img001.jpg

Sierra Gorda is located at an average elevation of 1.100 m.a.s.l, it is geographically located in the Atacama Desert, which extends over a semi-plain between the east of the pre-Andean foothills and the eastern slopes of the coastal mountain range (SQM, 2019).

In addition, considering as relief (Sr) represents the rugosity of the landscape within a unit area, the Sr factor is defined as the maximum difference in elevation in an area of 1 km² (Table 4-1).

Table 4-1. Relative Slope value Rr, its classification and resulting value factor Sr.
Slope Category From To
Slope Value Rr (m/Km2)
Sr factor
Very Low 4.3° 0-75 0
Low 4.3° 9.94° 76-175 1
Moderate 9.94° 16.71° 176-300 2
Medium 16.71° 26.58° 301-500 3
High 26.58° 501-800 4
Very High Slopes > 38.66 >800 5
Figure 4-1 shows that the study area has slopes ranging from 0 to 39°. Although most of the area is almost flat (Figure 4-1), the lower slopes represent a low relief factor, close to 4 and 9 degrees, especially in the property area. The steepest slopes are seen in the western sector, close to the coast, due to the coastal escarpment.
Due to the extreme natural and anthropogenic intervention characteristics of the study area, the area lacks the presence of flora communities or wildlife populations and is not an area with potential for the establishment and development of flora and fauna communities, except in some sectors with the presence of brackish groundwater where it would be possible to observe the species Tessaria absinthioides (Soroma or Brea), but this was not recorded in the project area (SQM, 2019).

TRS Pampa Blanca 2024
Pag. 24

tm2311827d1_ex96-4img001.jpg

Figure 4-1. Slope parameter map Sr and elevation profile trace AA"
image_12.jpg
image_13.jpg
4.2VEGETATION
The Pampa Blanca Property is a desert landscape devoid of vegetation cover.
4.3ACCESSIBILITY AND TRANSPORTATION TO THE PROPERTY
At Pampa Blanca, the Company operates mining operations located 100 kilometers northeast of Antofagasta. There is access by plane from the Andrés Sabella airport, located in Antofagasta, and then the Ruta 5 Norte highway in the town of Sierra Gorda.
TRS Pampa Blanca 2024
Pag. 25

tm2311827d1_ex96-4img001.jpg

4.4CLIMATE AND LENGTH OF OPERATING SEASON
The area is predominantly a normal desert climate, with clear skies almost all year round, low rainfall, minimum atmospheric humidity levels, and significant daily temperature fluctuations. The average rainfall in the area is 1 mm per year and occurs mainly in the winter months. Intense precipitation does not exceed 10 mm, with years without precipitation most frequent. The average annual temperature is around 18°C with a seasonal amplitude of 7° and an average daily amplitude of 20°C in the winter months and 15° in the summer months. Regarding evaporation, the annual average is 8 mm/day with a fluctuation between 4.5 mm/day in the winter months and 12.5 mm/day in the summer months.
Winds in a predominantly westerly direction are present in the area, although with daily variations. Wind speeds average between 20 - 25 km/h, with the highest speeds occurring around 14:00 hours with figures in the order of 30 km/h (eventually generating gusts of up to 50 km/h), and the lowest speeds during the morning, around 8:00 hours between 10 to 15 km/h. No accentuated changes are observed throughout the year' s seasons.
4.5INFRASTRUCTURE AVAILABILITY AND SOURCES
In the Pampa Blanca mining area, the following facilities and infrastructures can be found.
–Caliche mining areas.
– Industrial water supply.
–Heap leaching operation.
–Mine Operation Centers (COM): Ponds for brine accumulation (poor solution, intermediate and rich solution ponds), recirculated feble brine ponds, industrial water ponds, and their respective pumping and impulsion systems.
–Iodide plant: includes furnaces for SO2 generation, absorption towers with their respective tanks, gas scrubbing system, solvent extraction plants (SX) and their respective tanks, and brine wells with their pump systems.
–Evaporation Ponds: includes neutralization plant and solar evaporation ponds.
–Auxiliary facilities: staff offices and facilities, Reverse Osmosis Plant, and TAS plant.
–Ancillary facilities: offices, warehouses, temporary waste storage yard, among others.
Water rights for the supply of surface and groundwater exist near production facilities. The main water sources for nitrate and iodine facilities in Pedro de Valdivia, Pampa Blanca and Coya Sur were the Loa and Salvador rivers that run near the production facilities. Currently the water used in the operation is purchased from Aguas Antofagasta.
There are external suppliers to provide industrial water supply. Water is extracted, pumped and transported through a network of pipes, pumping stations and power lines that allow industrial water where it is required.

5HISTORY
Commercial exploitation of caliche mineral deposits in northern Chile began in 1830's when sodium nitrate was extracted from the mineral for use in explosives and fertilizers production. By the end nineteenth century, nitrate production had become Chile's leading industry, and, with it, Chile became a world leader in nitrates production and supply. This boom brought a surge of direct foreign investment and the development of the Nitrate “Offices” or “Oficinas Salitreras” as they were called.
Synthetic nitrates' commercial development in 1920´s and global economic depression in l930´s caused a serious contraction of the Chilean nitrate business, which did not recover in any significant way until shortly after World War II. Post-war, widely expanded commercial production of synthetic nitrates resulted in a further contraction in Chile's natural nitrate industry, which continued to operate at depressed levels into their 1960´s.
TRS Pampa Blanca 2024
Pag. 26

tm2311827d1_ex96-4img001.jpg

Numerous companies operated in this sector during the first decades of the 20th century, including the Oficina Salitrera Chacabuco, located in the central canton of Antofagasta and built between 1920 and 1924, which ceased operations in 1940. Its owners were Anglo Nitrate Company Ltd. and later Anglo Lautaro Nitrate Company. In 1968 the latter company sold the office to Sociedad Química y Minera de Chile, and in 1971 it was declared a National Monument to preserve the testimony of what was the industrial development of nitrate in Chile.
SQM has worked on waste material from previous operations since 1987, and in 1997 began extracting ore in situ. The ore from Pampa Blanca, at that time, was transported in trucks to the leaching piles to obtain iodine and nitrate. In February 2010, mining operations in Pampa Blanca were stopped, with the subsequent temporary closure of the mine, until its reopening in the second half of 2022.

6GEOLOGICAL SETTING, MINERALIZATION AND DEPOSIT
6.1REGIONAL GEOLOGICAL SETTING
In Chile, the nitrate-iodine deposits are in the intermediate basin, limited to the east by the Coastal Range (representing the Jurassic magmatic arc) and the Precordillera (associated to the magmatic activity originating from the mega Cu-Au deposits in northern Chile), generating a natural barrier for their deposition and concentration.
The salt and nitrate deposits of northern Chile occur in all topographic positions from hilltops and ridges to the centers of broad valleys (Ericksen, 1981). They are hosted in rocks of different ages and present very varied lithologies; however, a distinctive feature is that they are always related in some way to a key unit known as the Saline Clastic Series (CSS - Late Oligocene to Neogene). The CSS comprises mainly siliciclastic and volcanoclastic sandstones and conglomerates produced by erosion and re-sedimentation of pre-existing rocks of the Late Cretaceous-Eocene volcanic arc. This key stratigraphic unit includes rocks deposited under a range of sedimentary environments including fluvial, eolian, lacustrine, and alluvial, but all were developed primarily under arid conditions. The upper parts of CSS include lacustrine and evaporitic rocks composed mainly of sulfates and chlorides. The outcrop of CSS always lies to the west of the ancient Late Cretaceous-Eocene volcanic arc, covering the present-day topography (Chong et al., 2007).

TRS Pampa Blanca 2024
Pag. 27

tm2311827d1_ex96-4img001.jpg

Figure 6-1. Geomorphological scheme of saline deposits in northern Chile.
image_14.jpg

Note: Nitrate deposits are restricted to the eastern edge of the Coastal Range and in the Central Basin (Taken from Gajardo, A & Carrasco, R. (2010). Salares del Norte de Chile: Potential Lithium Source. SERNAGEOMIN, Chile).
Most of the nitrate deposits in Chile are found in the provinces of Tarapacá and Antofagasta, with more northerly occurrences in Tarapacá largely restricted to a narrow band along the eastern side of the Coastal Range; while, to the south they extended extensively not only in the Coastal Range, but also in the Central Valley and the Andean Front (Garret, 1983). Extremely rare minerals are present in this type of deposits, among which we find nitrates, nitrate-sulphates, chlorides, perchlorates, iodates, borates, carbonates and chromates. The mineralization occurs as veins or impregnations filling pores, cavities, desiccation polygons and fractures of unconsolidated sedimentary deposits; or as a massive deposit forming a consolidated to semi-consolidated cement as extensive uniform mantles cementing the regolith, called caliche.
In this region are recognized 5 morpho structural units of N-S direction. (Perez, 2013). (Figure 6-2) In the extreme west is the Coastal Cordillera, with elevations between 1,500 and 2,000 m.a.s.l. where Middle Jurassic to Early Cretaceous intrusive and volcano-sedimentary rocks outcrop and are cut by the Atacama Fault Zone. To the east, the Central Depression with an altitude of 1,000 to 1,200 m.a.s.l, where the nitrate deposits are found, is filled mainly with Neogene alluvial deposits and Meso-Cenozoic volcano sedimentary rocks. Bordering the Central Depression to the east is the Precordillera relief, which rises to 3,000 to 4,000 m.a.s.l., and where metamorphic and intrusive Paleozoic rocks outcrop and Mesozoic marine sedimentary rocks, thanks to the Domeyko Fault System. The Western Cordillera contains the current volcanic zone and reaches heights of over 6,000 m. in the volcanic edifices, marking the western limit of the Andes Mountains. Finally, to the east, we find the Altiplano-Puna plateau zone, where the Precambrian basalt Puna plateau, up Precambrian to Paleozoic basement is extensively covered by Neogene to Quaternary volcanic deposits (Kay and Coira, 2009).

TRS Pampa Blanca 2024
Pag. 28

tm2311827d1_ex96-4img001.jpg


Figure 6-2. a) Current Climatic Zones in the western margin of South America (Hartley and Chong, 2002). b) Morpho structural domains according to Hartley et al.(2005). AFS: Atacama Fault System. DFS: Domeyko Fault System. c) SRTM 90 digital elevation model and nit
image_15.jpgimage_16.jpgimage_17.jpg




TRS Pampa Blanca 2024
Pag. 29

tm2311827d1_ex96-4img001.jpg


Figure 6-3. Simplified Geologic map. Modified from Marinovic et al. (1995), Marinovic and García (1999), Geologic Map of Chile, 2003
image_18.jpgimage_19.jpg
The Atacama Desert forms a large part of the Hyperarid portion of the most important desert in western South America, the Peru-Chile Desert. The hyperaridity is due to the scarcity of precipitation in the area, which does not exceed 10 mm/year (Vargas et al., 2006; Garreaud et al., 2010). Due to the above, in the Atacama Desert there are very low erosion rates (Nishizumi et al., 1998), which has favored the accumulation and preservation of diverse and highly soluble minerals in the soil and in the nitrate crust beneath it.
The nitrate deposits of Atacama are also singular due to the presence of unusual, oxidized components such as iodates, chromates, and perchlorates, hosted by a complex mineral bed ~0,2 to 3,0 m thick composed of nitrates, sulfates and chlorides.


TRS Pampa Blanca 2024
Pag. 30

tm2311827d1_ex96-4img001.jpg

6.2LOCAL GEOLOGY
The Nitrate - Iodine deposits located in the sector called Pampa Blanca are immersed in an alluvial fan sedimentary environment. The mineralization is associated with clastic sedimentary rocks (conglomerate sequences, conglomerate breccias, brecciated conglomerates and sandstones) and in lesser occurrence with volcanic rocks. The mineralization is found in the form of vein lets in volcanic rocks and as cement in sedimentary rock.
The main structure affecting the sector corresponds to two main systems of NS and NW - SE orientations respectively. These systems generate a tectonically uplifted basin which hosts the deposit. Likewise, the structures affect the morphology of the sector contributing to the formation of deep creeks and controlling the drainage networks.
The lithological units are described below (Figure 6-4):
Azabache Formation (TT)
The outcrops of this formation are constituted by a sequence of lavas of intermediate to acid composition; mainly formed by andesites, lithics tuffs and rhyolites.
Salar De Navidad Strata (PZ)
This name has been given to a sequence of meta-sedimentary rocks made up of quartzifer continental sediments, shales, siltstones and slates. This unit is assigned to the Paleozoic and outcrops in reliefs located south of the Mar Muerto Salt Lake.
La Negra Formation (JV)
These units are widely distributed throughout the Central Depression, constituting the ridges and island hills that interrupt the monotony of the saline sedimentary fills.
The stratigraphic sequence corresponds to porphyritic and aphanitic andesitic lavas of continental origin, with intercalations of breccias and coarse-grained sandstones and some tuffaceous levels that separate the stratifications of the andesitic lavas. This formation has been assigned a Middle to Upper Jurassic age.
Rencoret Strata (JS Inf)
Formation composed of a sequence of marine limestones, conglomerates, sandstones and calcareous shales, assigned to the Lower Jurassic age, it is found outcropping in the eastern sector of Pampa Algorta.
Sierra El Cobre Formation (JS Sup)
Formation constituted by a sequence of marine limestones, conglomerates, sandstones and calcareous shales, assigned to the Lower Jurassic age, intercalated with transitional sedimentary episodes. It is found outcropping in the eastern sector of the coastal mountain range, and in the eastern portion of the San Cristobal valley.
Augusta Victoria Formation (KV)
Sequence of andesitic lava flows, volcanic breccias at the base and ignimbrites in the upper part, assigned to a Middle Cretaceous age. It is found irregularly as outcrops in most of the Pampa Blanca and Ampliación sectors.
Caleta Coloso Formation (K Inf)
Continental sedimentary sequence consisting of a finely stratified group of sandstones, arkoses, fine breccias and conglomerates. It is characterized by the lenticulosity of its strata and frequent lenses of sandstones with cross stratification and conglomerates. It is located in the intermediate terraces and basins along the central depression.





TRS Pampa Blanca 2024
Pag. 31

tm2311827d1_ex96-4img001.jpg

El Way Formation (K Sup)
Marine sedimentary sequence consisting of a finely stratified group of calcareous sandstones, fossiliferous limestones, fine breccias and conglomerates. It is characterized by the lenticulosity of its strata and frequent lenses of cross-stratified sandstones and conglomerates. It is located in the intermediate terraces and basins along the central depression focused on the southern end of the area.
Intrusive Rocks
Correspond to dacites, latites, granites and diorites assigned from the Paleozoic to the Tertiary, they outcrop in isolation within the Central Depression, their major occurrence is observed in the reliefs of the Coastal Range and the Intermediate Range to the west and east of the central basin.
Unconsolidated Sedimentary Deposits
The unconsolidated sedimentary units or deposits correspond to important alluvial, alluvial-colluvial, saline and lacustrine deposits, generated by large pluvial events that occurred in the Tertiary and Pleistocene. These sedimentary filling units occupy a large part of the Central Depression area, currently forming the erosion level of the filling depression or basin in a gently undulating topography and where its depressions present saline accumulations.
The constituent materials of these deposits correspond essentially to muds and heterogeneous accumulations of gravels, sands, silts and clays that coexist with the current alluvial deposits of the ephemeral drainages developed in the basin.
Figure 6-4. Geological map at Pampa Blanca. Internal Document SQM
image_20.jpg

TRS Pampa Blanca 2024
Pag. 32

tm2311827d1_ex96-4img001.jpg

image_21.jpg
6.3PROPERTY GEOLOGY
Through the collection of geological information by logging of drill holes and surface mapping, five stratified subunits have been identified within the Quaternary Unit (Qcp) (Units A to E). (Figure 6-3). These units correspond to sediments and sedimentary rocks that host the non-metallic or industrial ores of interest, i.e., iodine and nitrate. Each of the units are described below.

6.3.1 Unit A:
It is located in the upper part of the profile, and corresponds to a sulfated soil or petrogypsic saline - detrital horizon of light brown color, with an average thickness of approximately 40 cm. It consists mainly of sand and silt-sized grains, and to a lesser extent gravel-sized clast, which together define a well-cemented sulfate horizon at depth, while on the surface it is porous and friable as a result of weathering and leaching of the more soluble components, which generates a cover of fine and massive sediments approximately 20 cm thick, known as "chuca" or "chusca". This unit is characterized by exposing vertical cracks, which may or may not be filled.

6.3.2 Unit B:
It is located below unit A and corresponds to a light brown detrital sulfate soil formed by anhydrite nodules immersed in a medium to coarse sand matrix. It reaches variable thicknesses between 0.5 to 1.0 m. It is characterized by the presence of detrital-saline dikes, which are also exposed in the underlying units. This unit loses continuity in the horizontal.
TRS Pampa Blanca 2024
Pag. 33

tm2311827d1_ex96-4img001.jpg

6.3.3 Unit C:
It is under unit B and corresponds to a massive sedimentary deposit of fine to medium sandstones, dark brown in color with intercalations of thicker breccia-type sediments. The thickness of this unit is variable, identifying strata from 0.5 to 2.0 m thick approximately. The sandstones are well consolidated and cemented by salts (sulfates, chlorides and nitrates). The salts, in addition to cementing the deposit, occur as enveloping clasts, filling cavities and as saline aggregates resulting from saline efflorescence.

6.3.4 Unit D:
Located below unit C, it corresponds to a massive sedimentary deposit of dark brown polymictic breccias with matrix supported sedimentary fabric. The thickness varies between 1 to 5 meters approximately, the clasts are angular to sub rounded with sizes ranging from 2 mm to 8 cm, Lithologically consisting of fragments of porphyritic andesites, amygdaloid andesites, intrusive and highly altered lithics, while the matrix consists of medium to coarse sand-sized grains. The breccia is well consolidated and cemented by salts (sulfates, chlorides and nitrates). The salts, besides cementing the deposit, occur as enveloping clasts, filling cavities and as saline aggregates resulting from saline efflorescence.

6.3.5 Unit E:
Similar to unit D, except for the sedimentary fabric and structure, unit E consists of a sedimentary deposit of dark brown polymictic conglomerate breccias with clastic supported sedimentary fabric and diffuse horizontal stratification, the clasts are sub rounded. Their granulometry varies considerably increasing the size of the clasts finding sizes greater than 10 cm and lithologically correspond to fragments of porphyritic andesites, intensely epidotized and chloritized porphyritic andesites, fragments of indeterminate altered intrusive rocks and lithics with abundant iron oxide. The deposit is highly consolidated by salts, which are observed as cement, enveloping clasts, filling cavities and as aggregates or accumulations of salts formed by saline efflorescence.

6.3.6 Unit F:
Corresponds to the igneous basement of the sedimentary sequence; in Pampa Blanca this corresponds mainly to Cretaceous volcanic rocks, andesitic to dioritic lavas, and granitic igneous bodies. The basement is scarcely mineralized; restricted to sectors where it is fractured, mineralization is found as fracture fillings.

TRS Pampa Blanca 2024
Pag. 34

tm2311827d1_ex96-4img001.jpg

Figure 6-5. Stratified Units of The Superficial Unit Qcp in Pampa Blanca
image_22.jpg









TRS Pampa Blanca 2024
Pag. 35

tm2311827d1_ex96-4img001.jpg

6.3.7 Pampa Blanca
The Pampa Blanca sector is part of an extensive sedimentary basin filled by a sequence of sandstones, breccias and conglomerates. The sector is affected by structures that shaped the landscape generating a morphology of raised and depressed blocks.
The sector has 3 main systems identified
•Northeast - North South;
•Northeast
•East-West.
The temporality of the deformation indicates an activity of these systems after the formation of the deposit. The activity of the faults in the sector, as well as the subsequent action of surface runoffs were the main controllers and modelers of the geomorphology of the sector.
The lithology of this sector is constituted by (Figure 6-6)
•Medium Sandstones: Medium-grained rocks of brownish color, cemented by salts, where major clasts of andesites and diorites are observed. The clasts correspond to 10-15% of the rock.
•Matrix Supported Conglomerate Breccia: Matrix supported rocks, polymictic, made up of clasts of andesite and dioritic intrusive; the size of clasts varies between 2 to 4 cm. This unit shows poor sorting, cemented by salts with 25 to 30% of clasts.
•Matrix Supported Brecciated Conglomerate: Matrix supported rocks, polymictic, made up of clasts of andesite, tuffs and dioritic intrusive; the size of clasts varies between 4 to 10 cm. This unit shows a better selection, cemented by salts with 35 to 40% of clasts.
•Clast-Supported Conglomerate: Clast-supported rocks, polymictic, made up of clasts of andesite, tuffs, Fe oxides; silicified; the size of clasts varies between 8 to 30 cm. This unit shows a good selection, cemented by salts with 50 to 60% of clasts.

TRS Pampa Blanca 2024
Pag. 36

tm2311827d1_ex96-4img001.jpg

Figure 6-6. Stratigraphic Column and Stratigraphic Cross Section in Pampa Blanca. typical sequence, formed by a Level of Fine Sandstones, Over a Sequence of Conglomerate Breccias and Conglomerates.
plano_litologaxpblancax2024.jpg
perfil_pb.jpg

The occurrence of mineralization is disseminated in the matrix and in cement. Spatially it corresponds to sub horizontal mineralized mantles reaching average thicknesses of 3.5 meters. Nitrate and iodine grades average 5.0 – 7.0% and 450 - 550 ppm respectively.




TRS Pampa Blanca 2024
Pag. 37

tm2311827d1_ex96-4img001.jpg

6.3.8 Enlargement Pampa Blanca
The geomorphology of the area consists of a large central NNE basin 10 km long by 5 km wide, which is affected by drainage in an approximate north-south direction, with waterfalls to the south.
Lithologies are described in a vertical column from top to bottom:
•Sun-crusted sandstones: usually associated with structures, the mineralization is in the form of cement in the matrix of these rocks. There are lateral gradations to conglomerate sandstones. This unit has a thickness of 0.3 m to 1.5 m.
•Polymictic breccias: formed by subangular clasts surrounded by sandstones in a generally matrix-supported packing. Where the proportion of clasts is less than the proportion of matrix. Mineralization is found in both matrix and cement. This unit is 0.5 m to 3.0 m thick.
•Clast-supported to matrix-supported conglomerates: Lithics are generally sub rounded, the clast/matrix ratio is variable between 50% to 70%. Mineralization is found filling the porosity of the rock, in the form of sub horizontal and subvertical fracture fillings and in the form of a film surrounding clasts. Laterally, gradations to conglomerate breccias are recognized. The base of this unit has not been determined.
•Volcanic and intrusive units: oldest rocks in the area constituting the basement, on which the conglomerates are deposited. These units are locally mineralized in some sectors as filler in fractures and porosities of the rocks.

6.3.9 Blanco Encalada
This area is part of an extensive sedimentary basin filled by a sequence of sandstones, breccias and conglomerates. The sector is affected by structures that shaped the landscape generating a morphology of raised and depressed blocks.
The lithologies present in the area from top to bottom are as follows:
•Medium Sandstones: Medium-grained rocks of brownish color, cemented by salts, where major clasts of andesites and diorites are observed. The clasts correspond to 10-15% of the rock.
•Matrix Supported Conglomerate Breccia: Matrix supported rocks, polymictic, made up of clasts of andesite and dioritic intrusive; the size of clasts varies between 2 to 4 cm. This unit shows poor sorting, cemented by salts with 25 to 30% of clasts.
•Matrix Supported Breccia Conglomerate: Matrix supported rocks, polymictic, composed of clasts of andesite, tuffs and dioritic intrusive; the size of clasts varies between 4 to 10 cm.
•Clast-Supported Conglomerate: Clast-supported rocks, polymictic, made up of clasts of andesite, tuffs, Fe oxides; silicified; the size of clasts varies between 8 to 30 cm.
The occurrence of mineralization is disseminated in the matrix and in cement. Spatially it corresponds to sub horizontal mineralized mantos that reach average thicknesses of 3.0 meters with average Nitrate and Iodine grades of 7.0 – 7.5% and 400 – 450 ppm respectively.

6.4MINERALIZATION
Mineralization is concentrated as saline cement in sandstone, breccia and conglomerate units, where the main ore is iodine and nitrate. As a result of geological activity over time (volcanism, weathering, faulting) the deposits can be found in:
TRS Pampa Blanca 2024
Pag. 38

tm2311827d1_ex96-4img001.jpg

Continuous Mantles: Continuous mineralization throughout the stratigraphic level, sandstones and breccias with mineralization in matrix and cement clasts; presenting variable thicknesses between 2.0 to 4.0 meters. An enrichment in nitrate grades is observed at greater thickness, compared to the iodine ore which is diluted at depth. These mantles are cut by the so-called "sand dykes", fractures filled with fine mineralized material, mainly sandstones of high compaction. These structures are observed along the entire mineralized mantle and at the contact between stratification planes.
Thin Salt Crusts and Superficial Caliche ("caliche in the sun"): Discontinuous mineralization, associated to sectors contiguous to saline and/or evaporite deposits. This occurrence generates sectors of high grade and low thickness (0.5 to 1.2 m), associated to fine sandstones of high competence; we can find concentrations over 1,500 ppm of iodine and 20% of Nitrate.
"Stacked" Caliche: Mineralized caliches immersed in leached sedimentary rocks. This type of occurrence is found in sectors with a high degree of leaching (associated to alluvial fans), which produces a loss of competence of the host rock, generating poor quality mantles with more competent accumulations of mineralized caliches. The thickness of these levels or potatoes is variable, reaching averages of 2.0 m. The grades of these caliches are low, being considered low quality caliches.
The main agents controlling the occurrence of mineralization are the product of geological activity over time:
•Subway and surface runoff (produce vertical and horizontal remobilization of salts, causing zones of mineral concentration within the patches).
•Magmatic activity (through geologic time will continue to contribute hydrothermal solutions that will cause precipitation and remobilization of salts).
•Chemical weathering; mainly by surface waters that through geologic time have produced remobilization of salts, until finding the current deposits.
•Faults/Structures; salt concentrations (Nitratine) have been identified in fracture fillings between sedimentary levels (clastic dikes) and in recent fault scarps. The mineralization associated with structure / faults is massive, high grade and low thickness.
The mineralogical association identified corresponds mainly to soluble sulfates of Na - K, less soluble sulfates of Ca, Chlorides, Nitrates and Iodates.
Within the mineral species of interest, for Nitrates; Nitratine (NaNO3) - KNO3 (Potassium Nitrate); Hectorfloresite, Lautarite, Bruggenite as iodates.
Table 6-7 presents a summary of the mineralogy of the Pampa Blanca Property. The number of samples included in the database on which the table is based are indicated by the “n = “value in the table header. Pampa Blanca Sector IV has by far the greatest number of samples with n=23. The mineral recorded are indicated as percentage. The table uses the following color coding to indicate the percentage content by mass of dry sample of each mineral of interest:
–Red fill indicates that the mineral accounts for 10% or greater of the mass of the dry samples.
–Orange fill indicates that the mineral accounts for between 5% and 10% of the mass of the dry samples.
–Yellow fill indicates that the mineral accounts for between 1% and 5% of the mass of the dry samples.
–In a cell with no color fill indicates that the mineral of interest accounts for less than 1% of the mass of the dry samples.


TRS Pampa Blanca 2024
Pag. 39

tm2311827d1_ex96-4img001.jpg

Table 6-7. Mineralogy of Pampa Blanca Caliche.
Group Mineral Species Formula Sector IV (n=23) Sector V (n=23)
Nitrates Nitratine
NaNO3
4.9% 11.1%
Niter
KNO3
0.6%
Humberstonite
Na7K3Mg2(SO4)6(NO3)2·6H2O
1.0%
Iodates Darapskite
Na3(SO4)(NO3)·H2O
1.3%
Lautarite
Ca(IO3)2
0.5%
Bruggenite
NaCaAl2(SO4)2(OH)6⋅3H2O
0.9% 2.2%
Fuenzalidaite
Na3(SO4)(OH)⋅4H2O
0.5%
Hectorfloresite
Na2K2Fe22+Fe63+Si6O24(OH)6
0.6% 0.7%
Sulfates Bassanite
CaSO₄.1/2H₂O
0.7%
Kieserite
MgSO4⋅H2O
1.4% 3.0%
Polyhalite
K2Ca2Mg(SO4)4⋅2H2O
5.5% 11.2%
Rostite
Na2Ca3(SO4)4⋅24H2O
2.3%
Gypsum
CaSO4⋅2H2O
0.6%
Anhydrite
CaSO4
5.5% 2.6%
Glauberite
Na2Ca(SO4)2
2.6% 3.3%
Loweite
Ca3Al4(OH)12⋅2H2O
3.1% 5.3%
Hexahydrite
MgSO4⋅6H2O
1.0%
Blodite
Na2Mg(SO4)2⋅4H2O
1.2% 1.4%
Chlorides Halite NaCl 1.7% 7.3%
Clays Paligorskite
(Mg,Al)2Si4O10(OH)⋅4H2O
1.5% 3.4%
Illite
K0.65Al2[Si4O10](OH)2⋅nH2O
2.1%
Kaolinite
Al2Si2O5(OH)4
2.3%
Montmorillonite
(Na,Ca)0.3(Al,Mg)2Si4O10(OH)2
0.7%
Lenses Muscovite
KFe23+(AlSi3O10)(OH)2
4.2% 2.1%
Clinochlorite
(Fe,Mg)5Al(Si3AlO10)(OH)8
1.0%
Biotite
K(Mg,Fe 2+)3[AlSi3O10(OH,F)]
0.7%
Silicates Orthoclase
KAlSi3O8
1.8% 4.9%
Quartz
SiO2
4.0% 7.1%
Albite
(Ca-Na)Al2Si2O8
10.2% 15.0%
Sanidine
KAlSi3O8
8.3%
Phlogopite
KMg3(AlSi3O10)(OH)2
0.5%
Pargasite
Ca2Mg4Al(Si7TiO22)(OH)2
3.5% 3.9%
Anorthite
NaAlSi3O8
13.7% 14.1%
Hornblende
Ca2Mg5Si8O22(OH)2
1.5%
Edenite
NaCa2Mg5(AlSi7O22)(OH)2
0.9% 1.2%
Wollastonite
CaSiO3
2.0%
Zeolites Stellerite
Ca4(Al8Si28O72)⋅30H2O
1.9%


TRS Pampa Blanca 2024
Pag. 40

tm2311827d1_ex96-4img001.jpg

6.5DEPOSIT TYPES

6.5.1 Genesis of Caliche Deposits
The Hyperarid core of the Atacama Desert experiences negligible precipitation (<2 mm per year) (Figure 6-7). The estimated ages for the onset of hyperaridity range from the Late Paleogene through the Pleistocene, although the exact timing is still debated. Geochronological, sedimentological, and geomorphological evidence point to a long history of semi-arid climate from ~45 Ma (Middle Eocene) to 15 Ma (Middle Miocene), followed by a stepwise aridification. The geological evolution in the zone shows strong feedback between climate and tectonics that is specific to the way that the rapidly uplifting Central Andean convergent margin (Schildgen and Hoke 2018 this issue) experienced pronounced desiccation between ~20 Ma and 10 Ma (i.e. a decrease in precipitation from >200 mm/y down to <20 mm/y). This led to the development of an exclusively endorheic drainage system an enclosed basin system that receives water but does not have any way for that water to flow out to other bodies of water that is recharged in the High Andes, where increased elevation creates favorable conditions for increased groundwater flow and mineral precipitation towards the Central Valley (Pérez-Fodich et al. 2014).
The sum of these tectonic, climatic, and hydrologic characteristics has shaped, in a singular manner, the supergene metallogenesis of the Atacama Desert. The preservation of these specific supergene deposits is due to the hyperaridity that is the principal factor in this region becoming the world’s greatest producer of commodities such as nitrate, iodine, copper, and lithium (Reich et al, 2018).
Figure 6-7. Maps of the Central Andes of South America (A) Digital Elevation Map with Principal Morphotectonic provinces of the Southern Central Andes labelled. The red rectangle shows the area depicted in Figure 1B. (B) Map of the Nitrate Deposits of the Atacama
image_28.jpg
6.5.2 Local Mineral Deposit
In the Norte Grande region of Chile (18°-27°South Lat.) the presence of salts has a wide distribution in soils, sedimentary sequences, evaporitic basins, underground and surface waters and in dynamic fogs. The majority presence of chlorides, sulfates, carbonates, borates, and other rather unusual salts in Nature such as nitrates, iodates, chromates, dichromats, chlorates and perchlorates are recognized.
7EXPLORATION
TRS Pampa Blanca 2024
Pag. 41

tm2311827d1_ex96-4img001.jpg

Ongoing exploration is conducted by SQM with primary purpose of supporting mine operations and increasing estimated Mineral Resources. The exploration strategy is focused on have preliminary background information on the tonnage and grade of the ore bodies and will be the basis for decision making for the next Recategorization campaigns. Exploration work was completed by mine personnel.
7.1SURFACE SAMPLES
SQM does not collect surface samples for effect of exploration.
7.2TOPOGRAPHIC SURVEY
Detailed topographic mapping was created in the different sectors of Pampa Blanca by aerial photography, using an unmanned aircraft operated by remote control, Wingtra One (Figure 7-1); equipment with 61 Mega pixels resolution, maximum flight altitude 600 m, flight autonomy 55 minutes. The accuracy in the survey is 5 to 2 cm.
The measurement was contracted to STG since 2015.
Figure 7-1. Wingtra One fixed-wing aircraft
image_29.jpg
Prior to 2015, the topography survey was done by data measurement profiles every 25 meters; these profiles were done by walking and collecting information from points as the land surveyor made the profile. With this information, the corresponding interpolations were generated to obtain sector surfaces and contour lines.
7.3DRILLING METHODS AND RESULTS
The Pampa Blanca geologic and drill hole database included 20,952 holes that represented 125,286 m of drilling. Table 7-1 summarizes the drilling by sector. Figure 7-2 shows the drill hole locations. As for the type of drilling used, it corresponds to RC holes, with a maximum depth of 7 meters. All the Pampa Blanca drilling was done with vertical holes.

Table 7-1. Detail of the Number of Drill Holes and Total Meters Drilled by sector in Pampa Blanca Properties

TRS Pampa Blanca 2024
Pag. 42

tm2311827d1_ex96-4img001.jpg

Sector Grid N° of Drill Holes Total meters Thickness (m) Core Recover
Pampa Blanca 3 200 179 1,074 6.0 91
Pampa Blanca 4 50-100-100T-200-400 10,397 61,763 6.0 96
Pampa Blanca 5 50-100-200-400 3,972 23,823 6.0 82
Blanco Encalada 200-400-800 404 2,626 6.5 No Data
Pampa Blanca Expansion 50-200-400 6,000 36,000 6.0 91
20,952 125,286

The standard exploration work procedures as described by SQM are summarized in the following sections. All exploration activities consider the importance of health and safety within all mining activities. The exploration procedures are regularly revised and improved.
The drilling campaigns were carried out according to the resource projection priorities of the Superintendence of Mineral Resources and LP Planning. Subsequently, this prospecting plan was presented to the respective VPs to ratify if they comply with the reserve projections to be planned, if they do not coincide, the prospecting plan is modified.
Drilling at Pampa Blanca were completed with prospecting grids of 400 x 400 m, 200 x 200 m, 100 x 100 m, 100 locked and 50 x 50 m.
The resources measured in Pampa Blanca are reduced to mesh 50; however, the current recategorization to measure resources is being done in M100T.
Figure 7-2. Pampa Blanca Drill hole location map
image_31.jpg
TRS Pampa Blanca 2024
Pag. 43

tm2311827d1_ex96-4img001.jpg

Grid > 400 m
Areas that have been recognized and that present some mineralization potential are initially prospected in wide mesh reverse air holes, generally greater than 400 m with variable depths of 6 to 8 m depending on the depth at which the ore is encountered. In consideration of the type of mesh and the fact that the estimations of tonnage and grades are affected in accuracy, this resource is defined as a Hypotheticals and Speculative Resources, exploration target grid > 400 m.
400 m Grid
Once the Inferred sectors with expectations are identified, 400 x 400 m drill hole grids are carried out. In areas of recognized presence of caliche or areas where 400 x 400 m grid drilling is accompanied by localized closer spaced drilling that confirms the continuity of mineralization, the 400 m grid drilling provides a reasonable level of confidence and therefore define dimensions, thickness, tonnages and grades of the mineralized bodies, used for defining exploration targets and future development. The information obtained is complemented by surface geology and the definition of geological units. In other cases when there is no reasonable level of confidence the 400 x 400 m drill hole grid will be defined as a Potential Resource.
200 m Grid
Subsequently, the potential sectors are redefined, and the 200 x 200 m drill hole grid are carried out, which in this case allows to delimit, with a significant level of confidence, the dimensions, power, tonnage and grades of the mineralized bodies as well as the continuity of the mineralization. At this stage, detailed geology is initiated, the definition of geological units on surface continues to be complemented and sectors are defined to carry out geometallurgical assays. This area is used to estimated Indicated Mineral Resources.
100 m, 100T and 50 m Grid
The 50 x 50 m, 100x 100 m and 100T ~ 100x50 m drill hole grid allows to delimit with a significant level of confidence (amount of information associated to the drilling grid) the dimensions, powers, tonnages and grades of the mineralized bodies as well as the continuity of the mineralization. The definition of geological units and collect information on geometallurgical assays from the pilot plants depending on the prospecting site is then continued. This area is used to estimate Measured Mineral Resources.
























TRS Pampa Blanca 2024
Pag. 44

tm2311827d1_ex96-4img001.jpg

Figure 7-3. Iso Iodine Pampa Blanca

iso_yodoxpb.jpg

The results of the drilling campaigns in the Pampa Blanca can be seen in Figure 7-3, where it is highlighted in red the sectors with iodine greater than 450 ppm, in magenta the iodine between 400 - 450 ppm; in blue the iodine between 350 - 400 ppm; in green the iodine between 300 – 350 ppm and in yellow the iodine less than 300 ppm.






7.3.1 2024 Campaigns.
TRS Pampa Blanca 2024
Pag. 45

tm2311827d1_ex96-4img001.jpg

SQM has an ongoing program of exploration, recategorization and resource evaluation in the areas surrounding the Pampa Blanca mine, which is currently in operation. SQM has performed reconnaissance drilling at 400 m spacing or lower in 18.5% of the area covered by its mining properties over the areas with caliche interest. (Table 7-2)
In 2024, no recategorization projects of Mineral Resources were carried out in Pampa Blanca and its surroundings.

7.3.2 Exploration Drill Sample Recovery
Core recovery has been calculated for all RC holes completed to date. In historical campaigns, the recovery was lower due to the type of drilling rig used.
It should be noted that the recoveries are above 80%, a value that fluctuates in direct relation to the degree of competence of the rock to be drilled. Table 7-2 details the recovery percentages by sector in Pampa Blanca.

Table 7-2. Recovery Percentages at Pampa Blanca by Sectors
Sector Grid N° of Drill Holes Total meters Thickness (m) Core Recover
Pampa Blanca 3 200 179 1,074 6.0 91
Pampa Blanca 4 50-100-100T-200-400 10,397 61,763 6.0 96
Pampa Blanca 5 50-100-200-400 3,972 23,823 6.0 82
Blanco Encalada 200-400-800 404 2,626 6.5 No Data
Pampa Blanca Expansion 50-200-400 6,000 36,000 6.0 91
20,952 125,286


7.3.3 Exploration Drill Hole Logging
For all the samples drill hole logging was carried out by SQM geologist, which was done in the field. Logging procedures used documented protocols. Geology logging recorded information about rock type, mineralogy, alteration and geomechanics.
The logging process included the following steps:
- Measurement of the “destace” and drill hole using a tool graduated in cm.
- Mapping of cutting (RC) and/or drill hole cores (DDH), defining their color, lithology, type and intensity of alteration and/or mineralization.
- Determination of geomechanical units a Leached, smooth, rough and intercalations.
The information is recorded digitally with a Tablet and/or computer, using a predefined format with control system and data validation in Acquire.
The Logging Geologist was responsible for:
- Generate geological data of the highest possible quality and internal consistency, using established procedures and employing System in Acquire.
- Locate and verify information of work to be mapped.
- Execute geomechanical and lithological drill hole mapping procedures.
TRS Pampa Blanca 2024
Pag. 46

tm2311827d1_ex96-4img001.jpg

7.3.4 Exploration Drill Hole Location of Data Points
The process of measuring the coordinates of drill holes collars was performed, in 2 stages. Prior to the drilling of the drill holes, the geology area generates a plan and list with the number of drill holes by Acquire, to be marked and coordinates to the personnel of the external contractor of the STG company. A Land surveyor measured the point in the field and identifies the point with a wooden stake and an identification card with contain barcode with information of number of drill hole recommended, coordinates and elevation.
Holes are surveyed, after drilling, with GNSS equipment, for subsequent processing by specialized software with all the required information. Once the complete campaign is finished, the surveyed data was reviewed, and a list was sent with the drill id information and its coordinates.
Collar coordinates were entered into Microsoft® Excel sheets and later aggregated into a final database in Acquire by personnel from SQM.
At the completion of drilling, the drill casing was removed, and the drill collars were marked with a permanent concrete monument with the drill hole name recorded on a metal tag on the monument.

7.3.5 Qualified Person’s Statement on Exploration Drilling
The Qualified Person believes that the selection of sampling grids of gradually decreasing spacing as Mineral Resources areas are upgrades from Inferred to Measured Mineral Resources and as they are further converted to Proven, and Probable Mineral Reserves where production plans have been applied, is appropriate and consistent with good business practices for caliche mining. The level of detail in data collection is appropriate for the geology and mining method of these deposits.

8SAMPLE PREPARATION, ANALYSIS AND SECURITY
8.1SITE SAMPLE PREPARATION METHODS AND SECURITY

Analytical samples informing Nueva Victoria Mineral Resources were prepared and assayed at the Iris plant and Internal Laboratory located in city of Antofagasta.

All sampling was completed by the external operators. Based on review of the procedures during the site visit and subsequent review of the data, it is the opinion of the QP that the measures taken to ensure sample representativeness were reasonable for estimating Mineral Resources.

8.1.1 RC Drilling

The RC drilling is focused on collecting lithological and grade data of chemical variables from the “Caliche mantle”. RC Drilling was carried out with a 5 ¼ inch diameter by an external company "Perforations RMuñoz" under the supervision of SQM. SQM designed the drilling campaigns and points of interest to obtain new information on caliche mantle grades.

Once the drilling point was designated, the positioning of the drilling rig was surveyed, and the drill rig was set up on the surveyed drill hole location, continue with the drilling (Figure 8-1 A, B y C). At the beginning of each drill hole, the drilling point was cleaned or uncovered, eliminating the soft overburden, or chusca, with a backhoe.

Samples were collected from the cyclone at continuous 50 cm intervals in plastic bags. The samples were weighed and quartered at the platform. A cutting sample was taken and left on the floor as a control sample. The sample bag was tied, and a number card was inserted. (Figure 8-1 D).

Figure 8-1. A) Drilling Point Marking B) Drill Rig Positioning C) RC Drilling D) RC Samples at Platform
TRS Pampa Blanca 2024
Pag. 47

tm2311827d1_ex96-4img001.jpg

imagen8-1.jpg

Samples were transported by truck to the plant for mechanical preparation and chemical analysis. Samples were unloaded from the truck in the correct correlative order and positioned on Pallets supplied by the plant manager (Figure 8-2).

Figure 8-2. A) Transportation Truck. B) Pallets with RC Samples
imagen8-2.jpg


8.1.2 Sample Preparation
Mechanical sample preparation was carried out by Pilot Plant Iris V7 located at Nueva Victoria. Sample preparation includes:
TRS Pampa Blanca 2024
Pag. 48

tm2311827d1_ex96-4img001.jpg

•Division of the sample in a cone splitter into 2 parts, one of which corresponds to discard. The sample obtained should weigh between 1.0 to 1.8 kg.
•Drying of the sample in case of humidity.
•Sample size reduction using cone crushers to produce an approximately 800 gr sample passing a number 8 mesh (-#8).
•Division of the sample in a Riffle cutter of 12 slots of ½" each. The sample is separated in 2, one of them corresponds to rejection and the other sample must weigh at least 500 gr.
•Sample pulverizing.
•Packaging and labeling, generating 2 bags of samples, one will be for the composites in which 200 gr are required (original) and the other will be for the laboratory, in which 100 gr are required (sample) (Figure 8-4)
Insertion points for quality control samples in the sample stream were determined. Standards samples were incorporated every 20 samples, including the first sample. Samples were shipped in boxes containing a maximum of 63 samples (weighing approximately 15 kg) to the Caliche Iodine Internal laboratory.

Figure 8-3. Sample Preparation Flow Diagram


image_27.jpg
TRS Pampa Blanca 2024
Pag. 49

tm2311827d1_ex96-4img001.jpg


Figure 8-4. A) Sample Division B) Cone Crusher C) Riffle Cutter D) Sample Pulverizing E) Packaging

imagen2.jpg

8.2LABORATORIES, ASSAYING AND ANALYTICAL PROCEDURES
Chemical analysis for NO3 and iodine was performed at the Caliche Iodine laboratory, located in Antofagasta, which is ISO 9001:2015 certified in shippable iodine, replicated in caliche and drill holes.
The Caliche Iodine Laboratory has capacity to analyze 500 samples/day for nitrate and iodine analysis. Sample handling, from receipt to analysis, is performed in 3 areas:
•Receiving area.
•Nitrate area.
•Iodine Area.
Nitrate analysis was performed by UV-Visible Molecular Absorption Spectroscopy. The minimum concentration entered the Laboratory Information Management System (LIMS) was 1.0%, the result was expressed in g/L of NaNO3. Iodine analysis was performed by Redox volumetric. The minimum concentration reported to the LIMS system was 0.005 %.
8.3RESULTS, QC PROCEDURES AND QA ACTIONS

8.3.1 Laboratory quality control
To validate the results of the laboratory analysis, the following control measures were carried out (Figure 8-5).
Iodine:
•Prepare a reference standard.
•Use of secondary reference material.
TRS Pampa Blanca 2024
Pag. 50

tm2311827d1_ex96-4img001.jpg

•Measure the reference standard and the reagent blank to ensure the quality of the reagents used.
•Every 5 samples a QC prepared with a Caliche of known concentration
•Of the obtained result should not exceed 2% of the nominal value of the QC, otherwise the variables should be revised, and the analysis of the batch should start from the beginning.
Nitrate:
Analyze at the beginning of the sample set a standard solution.
•Every 5 samples a QC prepared with a Caliche of known concentration, the variation of the obtained result should not exceed 5% of the nominal value of the QC, otherwise the variables should be revised, and the analysis of the batch should start from the beginning.

Figure 8-5. Flow Chart for Approval of Laboratory Chemical Analysis Results
image_50.jpg
8.3.2 Quality Control and Quality Assurance Programs (Qa-Qc)

Qa/Qc programs were typically set in place to ensure the reliability and assurance of the exploration data. They include written field procedures of aspects such as drilling, surveying, sampling, and assaying, data management, and database integrity.

The quality control program aims to ensure the quality of the data from the drilling campaigns so that the grade data entered into the estimation databases have sufficient precision and accuracy to be considered reliable. For this purpose, blind control samples are inserted into batches, which consist of racks of 70 samples. The insertion templates A and B are generated and controlled by the AcQuire software, which distributes the controls as follows, adding 16.7%, including high-grade standards, low-grade standards, blanks (known and certified values), and duplicate samples (Table 8-1).

Table 8-1. Quantity and Type of Control for Insertion.
TRS Pampa Blanca 2024
Pag. 51

tm2311827d1_ex96-4img001.jpg

Sample Template A % Template A Template B % Template B
Samples Primary 60 100% 60 100%
DUPG (Coarse Duplicate) 1 1.7% 1 1.7%
DUPP (Fine Duplicate) 2 3.3% 2 3.3%
STDA (High Grade Standard) 2 3.3% 1 1.7%
STDB (Low Grade Standard) 1 1.7% 2 3.3%
DUP (Duplicate Field) 1 1.7% 1 1.7%
BK (Blank) 3 5% 3 5%

The number of controls entered is directly proportional to the number of samples per box, according to the formula:

STD (A, B, BK & DUP, DUPG, DUPP) = (Template / Number of samples per box) *100

To prepare the boxes with quality controls, trained technical personnel is used for sample handling and the use of the AcQuire software. Their responsibility is to ensure proper sample handling to avoid contamination and correct insertion of all controls, ensuring that the samples are numbered sequentially. Once this is done, the box is sealed for transportation to the SQM laboratory. The AcQuire system uses a barcode system with digital reading, which minimizes human error, as it does not allow the process to continue if the barcode codes are not sequential. Additionally, the box that transports the samples has encoding and a QR code to ensure traceability.

Figure 8-6. Creation of boxes, indicating samples with barcodes.

imagen8-6.jpg

These batches are analyzed in the laboratory in order to quantify the precision, accuracy and contamination of the process as detailed below:

-Precision: It is quantified through the percentage of failures of duplicate pairs. The acceptability limit is no more than 10% of failures that exceed 3 times the practical detection limit.

-Accuracy: With the results of the analysis of standards, the relative bias and the coefficient of variation are calculated and the process control is also analyzed through a control chart. The acceptability ranges are a maximum of 5% bias (positive or negative) with a coefficient of variation of no more than 5% and it is recommended to investigate when the processes go out of control, whether due to gross, analytical, systematic or other errors. A sample is defined as being out of control when it exceeds 3 standard deviations, or if 2 or more consecutive samples exceed 2 standard deviations.

TRS Pampa Blanca 2024
Pag. 52

tm2311827d1_ex96-4img001.jpg

-Contamination: Fine white samples must not exceed 5% with a value exceeding 3 times the practical detection limit of the laboratory. If these deliver results outside the established parameters, the batch (rack) is rejected, and the root cause of the problem is investigated to subsequently reanalyze the racks involved.

The AcQuire and LIMS systems function as our databases to obtain information and perform the tracking of all samples, optimizing the time for results and their reliability regarding traceability.

8.3.2.1 QAQC Program Results

The results of the Qa-Qc program for the Pampa Blanca Sector from 2023 to end 2024. The results of the QAQC program are delivered in detail for each pampa that results were obtained.

Standards
Table 8-2 details a summary table of control results for each pampa.

Table 8-2. Summary Table of Results of Controls (Standard) – Pampa Blanca

Sector STD MV Element Unit Average Samples OCS OCS (%) Bias (%) CV (%)
Pampa Blanca
STD_A_1
499
I2
ppm
499.02
82
1
1.22
-0.27
3.80
Pampa Blanca
STD_A_1
5.93
NaNO3
%
5.78
82
2
2.44
-2.53
2.89
Pampa Blanca
STD_B_1
250
I2
ppm
248.52
81
1
1.23
-0.95
5.66
Pampa Blanca
STD_B_2
2.76
NaNO3
%
2.63
81
3
3.70
-4.94
5.87


Pampa Blanca
The following figures provide the results for accuracy graphs in Pampa Blanca for the iodine (Figure 8.7) and nitrate (Figure 8.8) variables.

Figure 8-7. STD A-1 and B-1 Iodine Accuracy Evaluation (499 ppm and 250 ppm).

figure8-7.jpg



Figure 8-8. STD A-1 and B-1 Nitrate Accuracy Evaluation (5.93 % and 2.76 %).

TRS Pampa Blanca 2024
Pag. 53

tm2311827d1_ex96-4img001.jpg

figure8-8.jpg


Duplicates

Pampa Blanca

Coarse and Fines Duplicates

In the results of duplicates for iodine and nitrate in coarse (Table 8-3) and pulp (Table 8-4) for pampa Hermosa, the following accuracy results were observed.

Table 8-3. Summary Table of Results Duplicates Coarse – Pampa Blanca

Statisticians Nitrate Grade % Difference Statisticians Iodine Grade ppm Difference
Original Check Original - Check Original Check Original - Check
Number
54
54
Number
54
54
Mean
3.49
3.32
0.17
Mean
226.67
216.30
10.4
Stand. Deviation
3.57
2.92
0.65
Stand. Deviation
268.4
218.1
50.2
% Difference
4.83
% Difference
4.58
Minimum
1
1
Minimum
50
50
Percentile 25
1.2
1.3
Percentile 25
80
100
Median
2.35
1.95
Median
150
150
Percentile 75
4.6
4.3
Percentile 75
250
240
Maximum
20.5
14
Maximum
1680
1300
Correlation Index
0.93
Correlation Index
0.95


Table 8-4. Summary Table of Results Duplicates Pulp – Pampa Blanca

TRS Pampa Blanca 2024
Pag. 54

tm2311827d1_ex96-4img001.jpg

Statisticians Nitrate Grade % Difference Statisticians Iodine Grade ppm Difference
Original Check Original - Check Original Check Original - Check
Number
167
167
Number
168
168
Mean
2.68
2.73
-0.05
Mean
203.04
202.02
1.0
Stand. Deviation
2.33
2.39
-0.052
Stand. Deviation
180.9
180.6
0.3
% Difference
-1.97
% Difference
0.50
Minimum
1
1
Minimum
50
50
Percentile 25
1.2
1.2
Percentile 25
90
90
Median
2
1.9
Median
140
140
Percentile 75
3
3.2
Percentile 75
250
240
Maximum
15.1
14.9
Maximum
1,270 1,290
Correlation Index
0.948
Correlation Index
0.990


Blanks

Contamination in quality control is indicated by controls of white samples, below is a summary table of the results of blanks controls in the pampas of Nueva Victoria (Figure 8-5).

Table 8-5. Summary Table of Results Blanks – Nueva Victoria

Sector
I2
NO3
Samples Average Desv Stand OCS %OCS Samples Average Desv Stand OCS %OCS
Pampa Blanca
56
58.0
12.1
0
0.0%
56
1.0
0.1
0
0.0%


The following figures correspond to the 4 pampas that have the highest number of white control samples in Pampa Blanca (Figure 8-9).

Figure 8-9. Figure of Blanks (I2 and Nitrate) – Pampa Blanca

figure8-9.jpg


8.3.3 Sample Security

SQM maintains strict control over sampling, mechanical sample preparation and chemical analysis. In each of the stages, the safety and chain of custody of the samples was safeguarded, using protocols that describe the steps to be followed for this purpose. All these controls are managed and controlled through the Acquire platform, in process of implement by SQM since Q3 2022, according to the follow sections.

TRS Pampa Blanca 2024
Pag. 55

tm2311827d1_ex96-4img001.jpg

This section highlights your current processes and procedures and introduces data management processes recommended for deployment in GIM Suite.

The following workflow architecture demonstrates the data flow and object requirements of GIM Suite.

TRS Pampa Blanca 2024
Pag. 56

tm2311827d1_ex96-4img001.jpg

8.3.3.1    Planning RC Drilling
The drilling are planned by the geology area using modeling software, which generates an Excel file containing a previous identification of the drilling, which will later be modified for the final identification, along with the east and north coordinates and the planned depth are also indicated. This planning drilling is import task into Arena should allow the user to import the planned drill hole data from the file. Coordinates must be entered in PSAD56. The object must enter the status of the drilling as Planned at the time of import, as well as store the identification of the probing planning in a virtual field. Template file for importing planned drillholes.
Task in "Arena" that will show the information of the planned drilling.

image_55.jpg
TRS Pampa Blanca 2024
Pag. 57

tm2311827d1_ex96-4img001.jpg

8.3.3.2     Header
In general, a drilling plan can take up to 30 thousand meters of drilling or more, depending on the objectives that are in the year, between 4 thousand and 5 thousand meters are drilled in the month for each drilling rig, the contractor company executes the drilling and monthly delivers to the geology area the file with the information taken in the field. Some drilling that was ultimately planned may not be executed due to poor facility conditions.

Import Final Drills: Object of import in Acquire 4 that allows the user to import the collar data of the final drilling, also considering the import of the original samples and their respective duplicates of terrain. Due to the geology having the same stretch as the geological mapping, it is indicated to occupy the compound of blastholes for the storage of this data.

Data Capture Collar: Data Capture of Sand based on Blastholes, which will be used in the field for the capture of collar and sample data, where you must indicate the sounding that the duplicate ground sample can take, the section of the first sample will be entered manually by user, once it must consider the highlight section of the drilling. The subsequent sections may be indicated automatically by the application, considering as a protocol that the samples original is usually 50 cm in size. The correlative of the samples will continue to be controlled by the checkbooks occupied in land, the user must manually enter the correlative of the first sample taken in the field, the correlative of the subsequent samples will be entered automatically by the application. In this Data Capture, the user can also change the status of the probe as Canceled, thus identifying the drilling that was not executed in the field.

Import Final Coordinates: With this importer object of the Acquire 4, the user will enter the final coordinates data of the drilling, the importer will validate if the final coordinates contain a difference in meters greater than 10% in relation to the planned coordinates, indicating a message to the user at the time of data entry.

Consult probing collar: Task in "Arena" that will show the information of the necklace of the soundings.

Dashboard Planned vs Executed Meters: Dashboard in Sand that presents a graph and grid with information of the planned meters on the perforated meters, thus providing additional information to control the meters of the drilling campaigns. The data can be filtered by date of execution of the drilling and sector of the mine.

Choose Sample Correlates: Data Entry object in Acquire 4 that will allow the user to enter a range of correlative samples making it possible to choose which samples will be printed the labels. The object must indicate the initial SAMPLE ID to be printed, so that user error is avoided.

Sample Label Report: Report in Acquire 4 that allows the user to print sample labels in the format of the checkbook, the report will be applied on an A4 or Letter size paper, considering that the printing will be made on a cardboard paper. The label will have the barcode with the identification of each sample, thus enabling the user to read the barcode with the tablet camera when entering the identification of the first sample.

8.3.3.3    Geological mapping
In the geological mapping, data on lithology, clast, clays, color, sulfate, salt crust, anhydrite crust, sulfate destace, percentage of clast and observation are captured.

Geological Mapping: Data capture in "Arena" that allows the user to perform the geological mapping of the drilling, this tool must allow the user to perform the mapping in the field so that it is not connected to the mine network. The task will occupy Blastholes as the task type.

Import Geologic Mapping: Importer in "Arena" that allows to enter the geological mapping data carried out in the field.

Geomechanics Mapping: Data capture in "Arena" where the geomechanical data of the drilling will be captured. For the data not related to the samples, this data capture must be of the Drillholes type.

Import Geomechanics Mapping: Importer in "Arena" that allows to enter the geomechanical mapping data carried out in the field.

TRS Pampa Blanca 2024
Pag. 58

tm2311827d1_ex96-4img001.jpg

Consult Geology of Drilling: Task in "Arena" that will show the information of the geology of the drilling.

Consult Geomechanics of Drilling: Task in "Arena" that will show the information of the geomechanics of the drilling.

8.3.3.4    Dispatch of samples for mechanical preparation
Create dispatch order for Physical Sample Preparation: In this object the user can generate the order of dispatch of samples for physical preparation. Create a correlative and identifier for the office number. Example for identification. F2022-0001 where, F = Physical dispatch prefix, 2022 = Year of Shipment, 0001 = Correlative controller per year.

Print dispatch order for Physical Sample Preparation: Object that will allow to execute the printing of the report of shipment order to physical preparation.

Physical Office Reception: Script object in Acquire that allows the user to indicate the samples received in the pilot plant, the object must be filtered by physical dispatch number where it will make available the samples associated with this dispatch, thus enabling the user to select the samples and indicate in the system that these samples were received. The object must indicate and automatically create the pulp samples indicating the position where each one was generated.

Consult Drilling Dispatch to Preparation: Task in Sand that will show the information of the dispatch of the samples of the drilling that were sent to mechanical preparation.

Consult Pulp Samples: Task in Arena that will have the information of the pulp samples in a grid of data associated with the number of the physical dispatch received by the pilot plant.
In the drilling stage, before drilling begins, the drill rod was marked to indicate the distance for sampling. The drilling machine was equipped with a cyclone to slow down the particle velocity, under it, a bag is placed to collect the samples.

The collected sample from the cyclone is carefully stored in a plastic bag, then it was identified with a sequential card with a barcode and tied. The Supervisor oversaw requesting a revision to a determined sample of the drilling (coarse sample), originating another sample and of noting the weights obtained in the balance for each cut sample. This data collection is done through the Acquire platform.
The samples were loaded daily onto the truck that will transport them to the sample plant, the following steps are followed:
•SQM Supervisor delivers a dispatch guide with the drill holes and the total number of samples to be collected and also mentions to the person in charge of the sample plant, the number of samples and the number of samples without recovery, if any. This dispatch guide is generated for Acquire platform.
•Samples are loaded sequentially according to the drilling and unloaded in the same way.
•Upon arrival at the plant, the corresponding permit must be requested from the area manager, who will provide an unloading guideline, which contemplates how the samples should be positioned on the pallets.
•The pallets with samples are moved to the sample preparation area from their storage place to the place where the Cone Splitter is located.
During all stages of sample preparation, special care was taken to maintain the identification of the samples and to clean the equipment after use. The samples already packed and labeled were collected following the instructions for filling boxes of “caliche” samples, respecting the correlative order of the samples, the order in which they must be deposited in the box and the quantity of samples according to the capacity of the box.
TRS Pampa Blanca 2024
Pag. 59

tm2311827d1_ex96-4img001.jpg

The trays were labeled indicating the corresponding information and date (Figure 8-11) are then transferred to the storage place at Testigoteca (core Warehouse) Iris and Testigoteca TEA located at Nueva Victoria (Figure 8-12), either transitory or final, after being sent to the laboratory.

Figure 8-11. A) Samples Storage B) Drill Hole and Samples Labeling
figure8-11.jpg
Figure 8-12. Iris – TEA Warehouse at Nueva Victoria
image_75.jpg

Assay samples were collected by appropriately qualified staff at the laboratories. The analysis results of the samples were reported by the specialty analyst to the LIMS software system, integrated to platform Acquire.
Automatically LIMS triggering an e-mail to the users and only to those who are authorized to send the information.
8.4OPINION OF ADEQUACY
In the QP's opinion, sample preparation, sample safety, and analytical procedures used by SQM in Pampa Blanca, follow industry standards with no relevant issues that suggest insufficiency. SQM has detailed procedures that allow for the viable execution of the necessary activities, both in the field and in the laboratory, for an adequate assurance of the results.








TRS Pampa Blanca 2024
Pag. 60

tm2311827d1_ex96-4img001.jpg

9DATA VERIFICATION
9.1PROCEDURES
Verification by the QP focuses on drilling, sample collection, handling and quality control procedures, geological mapping of drill cores and cuttings, and analytical and quality assurance laboratory procedures. Based on the review of SQM's procedures and standards, the protocols are considered adequate to guarantee the quality of the data obtained from the drilling campaigns and laboratory analysis.
9.2DATA MANAGEMENT
Using the drilling, the recognition of the deposit is carried out in depth and to this is used prospecting grids 400 x 400 m, 200 x 200 m, 100 x 100 m, 100T and 50 x 50 m. Depend on the size of drillhole grid, the Resources are estimated by different interpolations methods (for details see 1.3 Mineral Resources Statement).
The samples obtained from these reverse air drilling campaigns are sent to the internal laboratory of SQM who have quality control standards regarding its mechanical and chemical treatment. QA-QC analyzes are performed on control samples in all prospecting grid (400 x 400 m, 200 x 200 m, 100 x 100; 100T and 50 x 50m). This QA-QC consists of the analysis of NaNO3 and Iodine concentrations in duplicate vs. original (or primary) samples.
9.3TECHNICAL PROCEDURES
The QP reviewed data collection procedures, associated to drilling, sample handling and laboratory analysis. The set of procedures seek to establish a technical and security standard that allows field and lab data to be optimally obtained, while guaranteeing worker’s safety.
9.4QUALITY CONTROL PROCEDURES
The competent person indicates that in SQM Quality Control ensures the monitoring of samples accurately from the preparation of the sample and the consequent chemical analysis through a protocol that includes regular analysis of duplicates and insertion of samples for quality control.
9.5PRECISION EVALUATION
Regarding the Accuracy Assessment, the Competent Person indicates that the iodine and nitrate grades of the duplicate samples in the 400 x 400, 200 x 200, and 100 x 100 meshes have good correlation with the grades of the original samples; However, it is recommended to always maintain permanent control. In this process, to prevent and detect in time any anomaly that could happen.



TRS Pampa Blanca 2024
Pag. 61

tm2311827d1_ex96-4img001.jpg

9.6ACCURACY EVALUATION
A QA-QC analysis of the campaign is carried out in the Pampa Blanca Sectors for standard/pattern samples, which were carried out and analyzed by the laboratory, the results obtained show that the variation of the analyzes with respect to the standards used by SQM show acceptable margins, with a maximum of ± 0.53% of NaNO3 and 60 ppm of Iodine.
9.7LABORATORY CERTIFICATION
The Nitrate-Iodine Laboratory is ISO 9001:2015 certified by the international certification organism TÜV Rheinland, from the 16 of March 2020, to the 15 of March 2023 (TÜV Rheinland(a), 2019) (TÜV Rheinland(b), 2019). There’s no previous certification available.
9.8QUALIFIED PERSON’S OPINION OF DATA ADEQUACY
The Competent Person indicates that the methodologies used by SQM to estimate geological resources and reserves in Pampa Blanca are adequate.
The 400 x 400 m drilling grid may imply continuity, average grade of mineralization with a moderate confidence level since there is no certainty that all or part of these resources will become mineral reserves after the application of the modifying factors.
The 200 x 200 m drilling grid generate geological information of greater detail being possible to define geological units, continuity, grades and power. Therefore, at this stage of exploration, sectors for geometallurgical tests can be defined. These resources are qualified as Indicated Resources.
To the extent that the exploration grid is sequentially reduced with drilling 100 x 100 m, 100T and 50 x 50 m, the geological information is more robust, solid which allows a characterization of the mineral deposit with a significant level of confidence. These resources are qualified as Measured Resources.
TRS Pampa Blanca 2024
Pag. 62

tm2311827d1_ex96-4img001.jpg

10MINERAL PROCESSING AND METALLURGICAL TESTING
The operations of the Pampa Blanca Site were suspended in 2010 so it was under temporary closure in accordance with Exempt Resolution No. 1346/2012 and request for extension in accordance with Resolution No. 1304-20 approves Extension of the Temporary Closure Plan of Pampa Blanca.
Since the second half of 2022 the operation of extraction of caliche and loading of piles was resumed; from March 2023 to start with the operation of iodide production and brine feeding to Solar Evaporation Plant to produce nitrate salts.
During 2024, Pampa Blanca processes operated continuously, Mine, Leaching process, Iodide plant and Solar Evaporation ponds.
10.1HISTORICAL DEVELOPMENT OF METALLURGICAL TESTS
In 2009, SQM created a working group that will be responsible for developing tests to continuously improve the estimation of yield and the recovery of valuable elements, such as iodine and nitrate, from heaps and evaporation ponds. At the beginning of February 2010, the first metallurgical test work program was presented at the facilities of the Pilot Plant located in the Iris sector. Its main objective is to provide, through pilot-scale tests, all the necessary data to guide, simulate, strengthen and generate sufficient knowledge to understand the phenomenology behind production processes.
The initial work program was framed around the following topics:
•Reviewing constructive aspects of heaps.
•Study thermodynamic, kinetic, and hydraulic phenomena of the heap leaching.
•Designing a configuration in terms of performance and production level.
Work program activities are divided into specializations and the objectives of each activity and methodology followed are summarized in the following table.

TRS Pampa Blanca 2024
Pag. 63

tm2311827d1_ex96-4img001.jpg

Table 10-1. Methodologies to address the most important aspects of heaps leaching of Caliche.
Activity 
Objective 
Methodology 
Heap physical aspects Pile geometry and height Optimum dimensions and the effect of height on performance Mathematical methods and column leaching tests at different heights.
Granulometry Impact of size and determination of maximum optimum Leaching tests at three levels of granulometry.
Loading Impact of loading shape and optimization of the operation. Column percolability with different size segregation in loading.
Wetting requirements Determination of impact on yield due to wetting effect. Column tests, dry and wet ore
Caliche characterization Characterization by mining sector Chemical analysis, XRD and treatability tests.
Hydraulics Impregnation rate, irrigation, and irrigation system configuration Establish optimums Mathematical methods and industrial level tests.
Kinetics Species solubilities Establish concentrations of interferents in iodine and nitrate leaching. Successive leaching tests
Effect of irrigation configuration Effect of type of lixiviant Column tests
Sequestering phases Impact of clays on leaching Stirred reactor tests
System configuration Pile reworking study Evaluate impact on yield Column tests
Solar evaporation ponds AFN/brine mixture study Reduction of salt harvesting times. Stirred and tray reactor tests
Routine Sample processing Preparation and segregation of test samples ---
Treatability tests Data on the behavior of caliche available in heaps according to the exploited sector. Column tests
Quality control of irrigation elements and flowmeters Review of irrigation assurance control on a homogeneous basis
This first metallurgical test work plan results in the establishment of appropriate heap dimensions, maximum ROM size and heap irrigation configuration. In addition to giving way to studies of caliche solubilities and their behavior towards leaching. Diagram of chemical, physical, mineralogical, and metallurgical characterization tests applied to all company resources.
SQM, through its Research and Development area, has carried out the following tests at plant and/or pilot scale that have allowed improving the recovery process and product quality:
–Iodide solution cleaning tests.
–Iodide oxidation tests with Hydrogen and/or Chlorine in the Iodine Plant.
The cleaning test made it possible to establish two stages prior to the oxidation of solution filtration with an adjuvant and with activated carbon. In addition, it is defined that to intensify the cleaning work of this stage, it is necessary to add traces of sulfur dioxide to the iodide solution. Meanwhile, the iodide oxidation tests allowed incorporating the use of hydrogen peroxide and/or chlorine in adequate proportions to dispense with the iodine concentration stage by flotation, obtaining a pulp with a high content of iodine crystals.
TRS Pampa Blanca 2024
Pag. 64

tm2311827d1_ex96-4img001.jpg

Currently, the metallurgical tests performed are related to the physicochemical properties of the material and the behavior during leaching. The procedures associated with these tests are described below.
10.2METALLURGICAL TESTING
The main objective of the tests developed is to be assessing different minerals' response to leaching. In the pilot plant-laboratory, test data collection for the characterization and recovery database of composites are generated. Tests detailed below have the following specific objectives:
–Determine whether analyzed material is sufficiently amenable to concentration production by established separation and recovery methods in plant.
–Optimize this process to guarantee a recovery that will be linked intrinsically to mineralogical and chemical characterization, as well as physical and granulometric characterization of mineral to be treated.
–Determine deleterious elements, to establish mechanisms for operations to keep them below certain limits that guarantee a certain product quality.
SQM's analytical and pilot test laboratories perform the following chemical, mineralogical and metallurgical tests:
–Microscopy and chemical composition
–Physical properties: Tail Test, Borra test, Laboratory granulometry, Embedding tests, Permeability.
–Leaching test

10.2.1 Sample Preparation
Samples for metallurgical testing are obtained through specific sampling campaigns, the methodologies used correspond to different campaigns to obtain drilling samples, for analysis through a drilling campaign with 100T-200T mesh and diamond drilling.
With the classified material from the test wells, composite samples are prepared to determine the grades of iodine and nitrate, and to determine the physicochemical properties of the material to predict its behavior during leaching.
The samples are segregated according to a mechanical preparation guide, which aims to provide effective guidance for the minimum mass required and characteristic sizes for each test, to optimize the use of available material.
This allows successful metallurgical tests, ensuring the validity of the results and reproducibility. The method of sampling and development of metallurgical tests on samples, for the projection of future mineral resources, consists of a summary of the steps described in Figure 10-1.
Figure 10-1. General stages of the Methodology of Sampling and Development of Metallurgical Tests in Pampa Blanca.
image_76.jpg
TRS Pampa Blanca 2024
Pag. 65

tm2311827d1_ex96-4img001.jpg

As for the development of metallurgical tests, characterization, leaching and physical properties, these are developed by teams of specialized professionals with extensive experience in the mining-geometallurgical field. The metallurgical testing work program contemplates that the samples are sent to internal laboratories to carry out the analysis and testing work according to the following detail:
•The analysis laboratories located in Antofagasta provide chemical and mineralogical analysis.
•Pilot Plant Laboratory, located in Iris- Nueva Victoria, to perform physical response and leaching tests.
Details of the names, locations and responsibilities of each laboratory involved in the development of metallurgical testing are presented in Section 10.2 Analytical and testing laboratories. Reports documenting drilling programs provide detailed descriptions of sampling and sample preparation methodologies, analytical procedures that meet current industry standards. Quality control is implemented at all stages to ensure and verify that the process of harvesting occurs at each stage successfully and is representative. To establish the representativeness of the samples, below is a map of a diamond drilling campaign in Pampa Blanca, Sector 4, to estimate the physical and chemical properties of the caliche of the resource to be exploited (Figure 10-2).

TRS Pampa Blanca 2024
Pag. 66

tm2311827d1_ex96-4img001.jpg

Figure 10-2 Map of the Diamond Drilling Campaign for Composite Samples Faena Pampa Blanca Sector 4 for Metallurgical Testing.
image_77.jpg


TRS Pampa Blanca 2024
Pag. 67

tm2311827d1_ex96-4img001.jpg

10.2.2 Caliche Mineralogical and Chemical Characterization
As part of the work, mineralogical tests are performed on composite samples. To develop its mineralogical characteristics and alterations, a study of the elemental composition is carried out by X-Ray Diffraction (XRD). A particle mineral analysis ("PMA") to determine mineral content of the sample is carried out.
Caliche mineralogical characterization runs for the following components: Nitrate, Chloride Iodate, Sulphate and Silicate.
On the other hand, caliche chemical characterization in iodine (ppm), nitrate (%) and Na2SO4 (%), Ca (%), K (%), Mg (%), KClO4 (%), NaCl (%), Na (%), Na (%), H3BO3 (%), and SO4 were obtained from chemical analyses obtained from an internal laboratory of the company.
The methods of analysis are shown in Table 10-2.
The protocols used for each of the methods are properly documented with respect to materials, equipment, procedures and control measures. Details of the procedure used to calculate iodine and nitrate grades are provided in Section 10.2.3.
Table 10-2. Chemical Analysis Methodologies for Different Species
Parameter Unit Method
Iodine grade (ppm) Volumetric redox
Nitrate grade (%) UV-Vis
Na2SO4
(%) Gravimetric/ICP
Ca (%) Potentiometric/Direct Aspiration-AA
or ICP Finish
Mg (%) Potentiometric/Direct Aspiration-AA
or ICP Finish
K (%) Direct Aspiration-AA
or ICP Finish
SO4
(%) Gravimetric/ICP
KClO4
(%) Potentiometric
NaCl (%) Volumetric
Na (%) Direct Aspiration-AA/ICP
or ICP Finish
H3BO3
(%) Volumetric
or ICP Finish
In-house analytical laboratories operated by company personnel are responsible for the chemical and mineralogical analysis of samples. These laboratories are in the city of Antofagasta and correspond to the following facilities:
–Caliche-Iodine Laboratory
–Research and Development Laboratory
–Quality Control Laboratory
–SEM and XRD Laboratory
Results reported by the company are conclusive on the following points:
–The most soluble part of the saline matrix is composed of sulphates, nitrates and chlorides.
–There are differences in the ion compositions present in salt matrix (SM).
TRS Pampa Blanca 2024
Pag. 68

tm2311827d1_ex96-4img001.jpg

–Anhydrite, Polyhalita, glauberite and less soluble minerals, have calcium sulphate associations.
–From a chemical-salt point of view, this deposit is favorable in terms of the extraction process, as it contains an average of 49% of soluble salts, high contents of calcium (>2.5), good concentrations of chlorides and sulphates (about 11% and 13% respectively).
–Being a mostly semi-soft deposit, allows to develop Surface Mining, in almost all the deposit, this geomechanical condition together with a low clastic content and low abrasiveness (proven by calicatas) would allow to estimate a low mining cost when applying this technology.

10.2.3 Caliche Nitrate and Iodine Grade Determination
Composite samples are analyzed using iodine and nitrate grades. The analyzes are carried out by the Caliche and Iodine laboratory located in the city of Antofagasta. Facilities for iodine and nitrate analysis have qualified under ISO-9001:2015 in which TÜV Rheinland provides quality management system certification. The latest recertification process was approved in November 2020 and is valid until March 15, 2023.

10.2.3.1 Iodine determination
The methodology to determine iodine in caliche is the redox volumetry, it is based on titration of an exactly known concentration solution, called standard solution, which is gradually added to another solution of unknown concentration, until chemical reaction between both solutions is complete (equivalence point).
Quality control controls consist of equipment condition checks, sample reagent blanks, titrator concentration checks, repeat analysis for a standard with sample configured to confirm its value.


10.2.3.2 Nitrate determination
Nitrate grade in caliches is determined by UV-Visible Molecular Absorption Spectroscopy. This technique allows to quantify parameters in solution, based on their absorption at a certain wavelength of the UV Visible spectrum (between 100 and 800 nm).
This determination uses a Molecular Absorption Spectrophotometer POE-011-01 or POE-17-01, in which a glass test tube containing a filtered solution obtained by leaching with filtered distilled water is used. Result obtained is expressed in % nitrate.
Quality assurance criteria and result validity are as follows:
–Prior equipment verification.
–Perform comparative nitrate analysis once a shift, by contrasting readings of the same samples with other UV-VIS equipment and checking readings in Kjeldahl method distillation equipment, for nitrogen determination.
–Standard and QC sample input every 10 samples.
Although the certification is specific to iodine and nitrate grade determination, this laboratory is specialized in chemical and mineralogical analysis of mineral resources, with long-standing experience in this field. According to the authors, quality control and analytical procedures used at the Antofagasta Caliches and Iodine laboratory are of high quality.
Figure 10-4. UDK 169 with AutoKjel Auto Sampler - Kjeldahl Automatic Nitrogen Protein Analyzer

TRS Pampa Blanca 2024
Pag. 69

tm2311827d1_ex96-4img001.jpg

image_79.jpg

10.2.4 Caliche Physical Properties
To measure, identify and describe a mineral, physical tests of mineral properties are developed to predict how it will react under certain treatment conditions. The tests performed are summarized in Table 10-3. During the site visit it was possible to verify the development of the embedding, sedimentation and compaction tests in the Iris Pilot Plant Laboratory, shown in Figure 10-5.
Table 10-3. Determination of Physical Properties of Caliche Minerals.
Test Parameter Procedure Objective Impact
Tails test Sedimentation and Compaction Sedimentation test, measuring the clearance and riprap cake every hour for a period of about 12 hours. Obtain the rate of sedimentation and compaction of fines. Evidence of crown instability and mud generation. Irrigation rate
Borra test % of fine material The retained material is measured between the - #35 #+100 and -#100 after a flocculation and decantation process. flocculation and decantation of ore To obtain the amount of ore flocculation and decantation process % of fine that could delay irrigation.
Irrigation rate.
Canalizations.
Size distribution % of microfine Standard test of granulometry, the percentage under 200 mesh is given. Obtain % microfine % Water retention and yield losses
Permeability K (cm/h) Using constant load permeameter and Darcy's law To measure the degree of permeability of ore Decrease in extraction kinetics of extraction
Embedded alpha Wettability measurement procedure of rock To measure the degree of wettability of the ore Variability in impregnation times

TRS Pampa Blanca 2024
Pag. 70

tm2311827d1_ex96-4img001.jpg

Figure 10-5. Embedding, Compaction and Sedimentation Tests carried out in the Iris Pilot Plant Laboratory.
image_80.jpg
Table 10-4 provides a summary of the results of the physical tests comparing the conditions of caliche in sector 4 Pampa Blanca.

Table 10-4. Comparative Results of Physical tests for caliches of Sector 4 Pampa Blanca.
Sector 4 Sedimentation Compaction % Fines #200 (%) Alpha
Caliche PB 0.03 5.7 17.6 6.2 2.4
Overburden PB 0.013 5.5 39.5 16.7 2.5
According to them, it is possible to highlight the following points:
–The caliche of Pampa Blanca (PB) presents better behavior than the overburden in all the parameters of the test.
–Overburden should be avoided.
–The caliche of PB sector 4 is a caliche of medium quality / high treatability, good leaching behavior in Piles.
As the physical properties measured are directly related to the irrigation strategy, the conclusion of the PB caliche should be treated considering a standard impregnation stage of mixed drip and sprinkler irrigation.
Physical characterization modification and improvement.

During 2024, a modification to the physical tests was implemented, in order to automate those currently being performed. For this, the procedure was to carry them out in parallel to those already being performed, in order to continue in 2025 with only the automated tests.

Automated Soil Particle Size Analysis:

It calculates the particle size distribution by Stokes’ law, with a range spanning from 63 μm to 2 μm, instead of just a few measurements at discrete time points. It allows for unattended, automated operation. This results in an overall error rate of 0.5%—lower conventional particle size analysis method.

TRS Pampa Blanca 2024
Pag. 71

tm2311827d1_ex96-4img001.jpg

Results analysis:
This type of information allows estimating the amount of fine material (-10#) that can cause percolation problems in the leaching heap, being all particle sizes smaller than 50 micrometers, or so called silt (limo) and clay (arcilla), that affect percolation.

Figure 10-6. Silt content in Pampa Blanca
image.jpg

Figure 10-7. Silt variogram in Pampa Blanca
image1.jpg

At Pampa Blanca the variability is greater, the nugget is smaller in relative terms and the effect of distance is more appreciable.


10.2.5 Agitated Leaching Tests
Leaching tests are performed at the company's internal laboratory facilities located at the Iris Pilot Plant. The following is a brief description of the agitated and successive leaching test procedure.
Leaching in stirred reactors.
Leaching experiments are conducted at atmospheric pressure and temperature in a glass reactor without baffles. A propeller agitator at 400 RPM was used to agitate leach suspension. In short, all the experiments were executed with:
–Ambient conditions.
–Caliche sample particle size 100% mesh -65# mesh.
TRS Pampa Blanca 2024
Pag. 72

tm2311827d1_ex96-4img001.jpg

–Caliche mass 500 g.
–L/S ratio 2:1.
–Leaching time 2 h.
–Three contact leaching including use of drainage solution.
To start up the leaching experiment, a reactor was initially filled with distilled water and then the solution is gently agitated. After a few minutes, PH and ORP values were set, then caliche concentrate is added to the solution and increased agitation to the final rate.
Once finished, we filtered the product and analyzed this brine solution by checking the extraction of analytes and minerals by contact with the leaching agent, consumption per unit and iodine extraction response.
Successive leaching is complementary to stirred vessel leaching, these are also performed in a stirred vessel with the same parameters explained above, however, it contemplates leaching three caliche samples successively with the resulting drainage solution of each stage. The objective of this test is to enrich this solution of an element of interest such as iodine and nitrates to evaluate heap performance as this solution percolates through the heap. The representative scheme of successive leaching in stirred vessel reactors is shown in:

Figure 10-8. Successive leach test development procedure

image_82.jpg
The extraction of each analyte and minerals per contact is analyzed. These results reported by the company are conclusive on the following points:
–Higher quantity of soluble salts, lower is the extraction.
–Higher proportion of calcium in Salt Matrix results in higher extraction.
–Physical and chemical quality for Leaching is determined by a Soluble Salts content of less than 50%.

TRS Pampa Blanca 2024
Pag. 73

tm2311827d1_ex96-4img001.jpg

Table 10-5. Successive leaching test results, caliches Pampa Blanca Sector 4
Sample Iodine (%) Nitrate (%)
PB1 66% 95%
PB2 67% 90%
PB3 68% 99%
PB4 68% 96%
PB5 61% 87%
PB6 53% 93%
PB7 64% 94%
PB8 60% 89%
PB9 61% 86%
PB10 61% 96%
Average 63% 92%





TRS Pampa Blanca 2024
Pag. 74

tm2311827d1_ex96-4img001.jpg

10.2.6 Metallurgical Recovery Estimation
Caliche characterization results are contrasted with metallurgical results to formulate relationships between elemental concentrations and recovery rates of the elements of interest or valuable elements and reagent consumption.
The relationships between reported analyses and recoveries achieved are as follows:

1.It is possible to establish an impact regarding recovery based on the type of salt matrix and the effect of salts in the leaching solution. With higher amounts of soluble salts, extraction is lower while higher calcium in SM results in higher extraction.

2.Caliches with better recovery performance tend to decant faster (speed) and compact better.

3.The higher presence of fines hinders bed percolation, compromising the ability to leach and ultrafine that could delay irrigation or cause areas to avoid being irrigated.

4.The higher hydraulic conductivity or permeability coefficient, better the leachability behavior of the bed.
For metallurgical recovery estimation, the formulated model contains the following elements:

1.Chemical-mineralogical composition.

2.Yield.

3.Physical characteristics: sedimentation velocity, compaction, percentage of fines and ultrafine, uniformity coefficient, and wetting.
The metallurgical analysis is focused on determining the relationships associated with these variables, since the relationships can be applied to the blocks to determine deposit results. From a chemical and yield point of view, a relationship is established between unit consumption (UC, amount of water) or total irrigation salts (salt concentration, g/L) and iodine extraction. The best subset of the regressions was used to determine the optimal linear relationships between these predictors and metallurgical results. Thus, iodine and nitrate recovery equations are represented by the following formulas and Figure 10-9:
image_61.jpg
image_62.jpg
image_63.jpg

image_64.jpg
TRS Pampa Blanca 2024
Pag. 75

tm2311827d1_ex96-4img001.jpg

Figure 10-9. Iodine Recovery as a Function of total Salts Content.
image_65.jpg
The graph of Figure 10-9 compares iodine yield results for samples from two SQM resources, TEA and Pampa Orcoma (abbreviated as ORC), as a function of total salts. The mineral samples (MS) are differentiated by their percentage soluble salt content, so that sample MS-45 (TEA), for example, corresponds to a mineral sample from the TEA sector characterized by 45% soluble salts. Following this logic, MS-45 (ORC), corresponds to a mineral sample from Pampa Orcoma, which has a soluble salt content of 45%. As can be seen, an output matrix content of 65% implies a lower recovery compared to an ore content of 45%.
In conclusion, the metallurgical tests, as previously stated, have allowed establishing baseline relationships between caliche characteristics and recovery. In the case of iodine, a relationship is established between unit consumption and soluble salt content, while for nitrate, a relationship is established depending on the grades of nitrate, unit consumption and the salt matrix. Relationships that allow estimating the yield at industrial scale.

10.2.7 Irrigation Strategy Selection
In terms of physical properties, the metallurgical analysis allows to determine caliche classification as unstable, very unstable, stable, and very stable, which gives rise to an irrigation strategy in the impregnation stage. As a result, a parameter impact ranking is established in caliche classification, in the order indicated below (from higher to lower impact):
1.Compaction degree (C).
2.Sedimentation velocity (S).
3.Fines and ultrafine percentage (%f; percent passing #200) with wetting degree (α).
4.Uniformity degree (Cu).
The weighting establishes a value to be placed on a scale of selection depending on the type of impregnation for the highest yield (see Figure 10-10):
1.Scale 1.1 to 1.9; pulse ramp 70 days of irrigation with intermediate solution.

TRS Pampa Blanca 2024
Pag. 76

tm2311827d1_ex96-4img001.jpg

2.Scale 1.9 to 2.6; pulse ramp 60 days of irrigation with intermediate solution.

3.Scale 2.6 to 3.3; pulse ramp 50 days of irrigation with water.

4.Scale 3.3 to 3.9; pulse ramp 40 days of irrigation with water.
Figure 10-10. Parameter Scales and Irrigation Strategy in the Impregnation Stage.
image_67.jpg
10.2.8 Industrial Scale Yield Estimation
All the knowledge generated from the metallurgical tests carried out, is translated into the execution of a procedure for the estimation of the industrial scale performance of the pile. Heap yield estimation and irrigation strategy selection procedure is as follows:
1.A review of the actual heap Salt Matrix was compared to results obtained from diamond drill hole samples from the different mining polygons. The correlation factor between the two is obtained, which allows determining, from the tests applied to diamond drill hole samples, how the heap performs in a more precise way.

2.With the salt matrix value, a yield per exploitation polygon is estimated and then, through a percentage contribution of each polygon's material to heap construction, a heap yield is estimated.

3.Based on percentage physical quality results for each polygon, i.e., C m/min, compaction, % fine material, Alpha, #-200, an irrigation strategy is selected for each heap.
For example, for Pile 583, the physical test showed that the pile tends to generate mud in the crown and was unstable. A 60-day wetting was recommended to avoid generating turbidity. The recommendation was to irrigate at design rate.
The real composition for Pile 583, determined by the diamond drilling campaign by polygon is shown in the Table 10-6 in which some differences can be observed.

TRS Pampa Blanca 2024
Pag. 77

tm2311827d1_ex96-4img001.jpg

Table 10-6 Comparison of the Composition Determined for the 583 Heap Leaching Pile in Operation at Nueva Victoria.
Type Real vs. Diamond Salts Matrix
Iodine grade
(ppm)
Nitrate grade
(%)
Na2SO4 Ca Mg K KClO4 NaCl Na H3BO3 Saline Soluble
Sample 400 4.0 17.9 2.0 1.3 0.5 0.1 10.1 4.3 0.3 57.8
Real 424 4.2 16.4 1.9 1.2 0.6 1.4 10.5 4.6 0.3 58.3
Through the established methodology, composition and physical properties, the resulting 583 pile yield estimate is 54.5%. The estimation scheme is as shown in Figure 10-11.
Figure 10-11. Irrigation Strategy Selection
Participation of Polygon
chart-c6f5e4be9268449bae1.jpg
chart-ff33da6c2e304a1eb5c.jpg

The annual industrial throughput values with the values predicted by the model are shown in the Figure 10-12 in which a good degree of correlation is observed.
The annual industrial throughput values with the values predicted by the model are shown in the following figures and in which a good degree of correlation is observed.

Figure 10-12. Nitrate and Iodine Yield Estimation and Industrial Correlation

TRS Pampa Blanca 2024
Pag. 78

tm2311827d1_ex96-4img001.jpg

image2.jpg
The new correlation to project nitrate and iodine yield is made with data from 10 years of industrial operation. This correlation relates the availability of water (CU) to the amount of soluble salts (Caliche*SS*MS) to be dissolved present in the caliche and is directly related to the species of interest (Iodine and Nitrate).

Nueva Victoria has operated in ranges of CU 0.40 m3/t and 0.6 (m3/t). The higher the CU, the lower the CRS (Recirculating charge Salt), therefore the better the performance.

Caliches with high soluble salts (SS), the CRS increases, the increase in CU is more significant.
Caliche with low SS, less steep slope, the CU is not as significant
ST Purge to Ponds: Total salts present in Afa to evaporating solar ponds.
Unit Consumption: Corresponds to fresh water to leachate by mass of treated caliche.

MS: total salt contained in caliche

SS: soluble salts
TRS Pampa Blanca 2024
Pag. 79

tm2311827d1_ex96-4img001.jpg

10.3QUALIFIED PERSON´S OPINION
Gino Slanzi Guerra, QP responsible for metallurgy and resource treatment, points out the following aspects:
Physical and Chemical Characterization
Mineralogical and chemical characterization results, as well as physical and granulometric characterization of the mineral to be treated, which are obtained from the tests performed, allow to continuously evaluate different processing routes, both in initial conceptual stages of the project and during established processes, in order to ensure that such process is valid and up to date, and/or also to review optimal alternatives to recover valuable elements based on the nature of the resource. Additionally, analytical methodologies determine deleterious elements, in order to establish mechanisms in operations so that these can be kept below the limits to ensure a certain product quality.
Chemical-Metallurgical Tests
Metallurgical test work performed in laboratories and pilot plants are adequate to establish proper processing routes for caliche resources.
Testing program has evidenced adequate scalability of separation and recovery methods established in plant to produce iodine and nitrate salts. In this way, it has been possible to generate a model that can determine, before initiating the operation, to plan the initial irrigation stage to improve iodine and nitrate recovery in leaching.
Samples used to generate metallurgical data are sufficiently representative to support estimates of planning performance and are suitable in terms of estimating recovery from the mineral resources.
Innovation and Development
The company has a research and development team that has demonstrated important advances regarding development of new processes and products in order to maximize returns from exploited resources.
Research is developed by three different units covering topics such as chemical process design, phase chemistry, chemical analysis methodologies and physical properties of finished products. Properly covering raw material characterization, operations traceability and finished product.

11MINERAL RESOURCE ESTIMATE
11.1KEY ASSUMPTIONS, PARAMETERS AND METHODS
This sub-section contains forward-looking information related to a density grade for the Project. The material factors that could cause actual results to differ materially from the conclusions, estimates, designs, forecast or projections in the forward-looking information include any significant differences from one or more of the material factors or assumptions that were set forth in this sub-section including actual in-situ characteristics that are different from the samples collected and tested to date, equipment and operational performance that yield different results from current test work results.
The resource estimation process is different depending on the drill hole spacing grid available in each sector:
–Measured Mineral Resources: Sectors with a Block Model, with a drill hole spacing grid of 50 x 50 m, 100 x 100 m and 100T were estimated with a full 3D block model using Ordinary Kriging (OK), which contains variables, such as Iodine, Nitrate, soluble salts, geology, geotechnics, topography, etc. For Pampa Blanca all sectors defined Measured Resources have an available Block Model.
–Indicated Mineral Resources: Sectors with a Block Model, with a drill hole spacing grid of 200 x 200 m were estimated with a block model using Inverse of Distance Weighted (IDW) which contains variables, such as Iodine, Nitrate, elements, geology, geotechnics, topography, etc. For Pampa Blanca all sectors defined Indicate Resources have an available Block Model.
–Inferred Mineral Resources: Sectors with a drill hole spacing grid greater than 200 x 200 m up to 400 x 400m were estimated in 2D using the Polygon Method. This Inferred Resources do not have block model. The output are polygons which are then transformed to tonnage by multiplying by the area, thickness and density.
TRS Pampa Blanca 2024
Pag. 80

tm2311827d1_ex96-4img001.jpg


11.1.1 Sample Database
The 2024 Pampa Blanca Model included the estimate of Iodine and Nitrate, and in the case of smaller grids Measured Mineral Resources includes soluble Salts, elements, lithology and hardness parameters.
Table 11-1 and Table 11-2 summarizes the basis statistics of Iodine and Nitrate for Pampa Blanca Sector 4 and Sector 5, sectors that are all reserves.

Table 11-1. Basic sample statistics for Iodine in Pampa Blanca Sector 4 and 5
Sector Variable Number of Samples Minimum Maximum Mean Std. Dev. Variance
Pampa Blanca S4 Iodine 92,419 50 2,595 388.9 341.2 116,421
Pampa Blanca S5 Iodine 33,024 50 2,000 446.2 406.9 165,648

Table 11-2. Basic sample statistics for Nitrate in Pampa Blanca Sector 4 and 5
Sector Variable Number of Samples Minimum Maximum Mean Std. Dev. Variance
Pampa Blanca S4 Nitrate 92,419 1 22 5.57 4.08 16.61
Pampa Blanca S5 Nitrate 33,024 1 20 5.73 3.94 16


11.1.2 Geological Domains and Modeling
For the estimation of each block within a geological unit (UG) only the composite grades, elements and hardness parameters found in that domain are used (Hard contact between UG). The main UG are described as:
–Overburden, Cover (UG 1).
–Mineralized mantle, Caliche (UG 2).
–Underlying (UG 3).



Figure 11-1. Pampa Blanca Sector IV Geological Model

TRS Pampa Blanca 2024
Pag. 81

tm2311827d1_ex96-4img001.jpg

mod_geoxpbxiv.jpg


11.1.3 Assay Compositing
Considering that all the sample have the same length (0.5 m) and the block height is also 0.5 m, SQM did not composite the sample database and used directly in the estimation process.

11.1.4 Evaluation of Outlier Grades, Cut-offs, and Grade Capping
Definition and control of outliers is a common industry practice that is necessary and useful to prevent potential overestimation of volumes and grades. SQM has not established detection limits (upper limit) in the determined grades of Iodine and Nitrates in the analyzed samples. The distribution of grades for both Iodine and Nitrates within the deposit were such that not samples were judged to be extreme, so no sample restrictions were used in the estimation process.

11.1.5 Specific Gravity (SG)
At the Pampa Blanca Site, 193 density measurements were carried out with the Archimedes principle in the different sectors. This method is applicable to any type of samples, whether irregular samples (control) or cylindrical samples (test tube). The associated standards and recommendations correspond to those specified by ASTM. In this case, the following ASTM D-4531 and ASTM D-4543 will be used. The test consists of weighing a previously dried sample, submerging a rock sample or a test tube in melted paraffin and weighing its weight in air and submerged in water. This process will determine the unit weight of the sample, in relation to the properties of the water (density) and the weight differences that the sample presents in 3 environments: dry, dried with paraffin and immersed with paraffin.
TRS Pampa Blanca 2024
Pag. 82

tm2311827d1_ex96-4img001.jpg

A geophysical study was also carried out using the Well Profiling technique at the Pampa Blanca. This study has provided a detailed view of key physical properties in the characterization of subsurface lithology through the use of Caliper, Natural Gamma and Density probes. In this process, measurements were made in 15 wells, covering a maximum depth of 6 meters, providing valuable data for the evaluation of the strata of interest. The data obtained from the drilling carried out, with sampling at intervals of one centimeter, were processed independently for each well. Finally, a comparison is made between the densities obtained through profiling and those calculated in the laboratory, provided by the client for analysis. This comparison allows the precision of in situ measurements to be evaluated against laboratory results, offering a comprehensive perspective on the consistency and reliability of the data collected.
Table 11-3 shows the sector, the laboratory, the samples and drilling analyzed and the specific gravity. These results justified the historical value used by SQM (2.1 gr/cc).

Table 11-3 Specific Gravity Samples in Pampa Blanca
Mining Laboratory N° Sample Specific Gravity gr/cc
Pampa Blanca Internal 68 2.2
External 125 2.2
Gamma - Gamma 15 2.0
Average 2.13

















TRS Pampa Blanca 2024
Pag. 83

tm2311827d1_ex96-4img001.jpg

Figure 11-2. Pampa Blanca density study sample distribution plan.
plano_densidadxpblancax202.jpg




TRS Pampa Blanca 2024
Pag. 84

tm2311827d1_ex96-4img001.jpg

11.1.6 Block Model Mineral Resource Evaluation
As mentioned before, sectors with a drill hole spacing grid greater than 50 x 50 m up to 100 x 100 m were estimated with a full 3D block model using Ordinary Kriging and the sector with a drill hole grid greater than 100 x 100 m and up to 200 x 200 m were estimated using Inverse Distance Weighted also using block model, for interpolation of Iodine, Nitrate, soluble salts, geology, geotechnics, topography, etc. For Pampa Blanca all sectors defined Measured and Indicated Resources have an available Block Model.

11.1.6.1 Block Model Parameters and Domaining
Table 11-4 shows the definition for the block model built in Datamine Studio 3. The block size is 25 x 25 x 0.5 m in all sectors.
Table 11-4. Block Model Dimensions
Sector Parameters East North Elevation
Pampa blanca S4 Origin (m) 432,175 7,440,525 1,366
Range (m) 7,650 8,600 143
Final (m) 439,825 7,449,125 1,509
Block Size 25 25 0.5
N° of Blocks 306 344 286
Pampa blanca S5 Origin (m) 428,175 7,441,125 1,365
Range (m) 3,950 2,400 56
Final (m) 432,125 7,443,525 1,421
Block Size 25 25 0.5
N° of Blocks 158 96 112

TRS Pampa Blanca 2024
Pag. 85

tm2311827d1_ex96-4img001.jpg

Figure 11-3. Block model location in Pampa Blanca Sector 4 - 5.

iso_yodoxpb.jpg













TRS Pampa Blanca 2024
Pag. 86

tm2311827d1_ex96-4img001.jpg

Variography
Experimental variogram where constructed using all the drill hole samples independent of the UG. The variogram is modeled and adjusted, obtaining parameters such as structure range and sill, nugget effect and the main direction of mineralization. Experimental variograms were calculated and modeled for Iodine and used in the estimation of both Iodine and Nitrate.
Table 11-5 describes the variogram models for Iodine used in each zone for the estimation of Iodine and Nitrate.
Table 11-5. Variogram Models for Iodine in Pampa Blanca Sectors 4 and 5
Sector Variable Rotation Nugget Effect Range 1 Sill 1
Z Y X Z Y X
PB Iodine 0 0 0 34,077 0.50 163 123 44,124
Nitrate 0 0 0 5.59 0.50 154 163 7
The nugget effect is 18.9% of the total sill, this suggests different behavior of Iodine between each zone. The total ranges are around 100 m to a maximum of 150 m. These variogram ranges are in line with the SQM´s definition of Measured Mineral Resources, namely estimates blocks using a drill hole grid greater then 50 x 50 m up to 100 x 100 m. (Block model evaluation).
The QP performed and independent analysis to confirm the variogram models used by SQM, in general, obtains similar nugget effect, total sill and variogram ranges to those used by SQM.

Figure 11-4. Variogram Models for Iodine in Pampa Blanca Sectors 4 and 5.
image_88.jpg



Interpolation and Extrapolation Parameters
TRS Pampa Blanca 2024
Pag. 87

tm2311827d1_ex96-4img001.jpg

The estimation of Iodine and Nitrate grades for Pampa Blanca has been conducted using Ordinary Kriging (KO) in one pass for each UG. SQM used cross-validation to determine the estimation parameters such as search radius, minimum and maximum number of samples used, etc. In the cross-validation approach, the validation is performed on the data by removing each observation and using the remaining to predict the value of remove sample. In the case of stationary processes, it would allow to diagnose whether the variogram model and other search parameter adequately describes the spatial dependence of the data.
The Block model is intercepted with the geological model to flag the geological units used in the estimation process.
The OK plan included the following criteria and restrictions:
–No capping used in the estimation process.
–Hard contacts have been implemented between all UG.
–No octant restrictions have been used for any UG.
–No samples per drill hole restrictions have been implemented for any UG.
Table 11-6 summarizes the orientation, radio of searches implemented and the scheme of samples selection for each UG and sector. Search ellipsoid radio were chosen based on the variogram ranges.

11-6. Sample Selection for Sectors 4 and 5.
Sector Variable Rotation Range 1 Samples
Z Y X Z Y X Minimum Maximum
PB Iodine 0 0 0 0.50 163.00 123.00 3.0 20.0
Nitrate 0 0 0 0.50 154.00 163.00 3.0 20.0
After the estimation is done, a vertical reblocking was performed transforming the 3D block model in a 2D grid of points (coordinates X and Y) with the mean grades of all estimated variables. When the 2D grid points are available, operational and mine planning parameters are applied to determine tonnage/grade curves according to iodine grades required. Finally, GIS software (Arcview and Mapinfo) is used to draw the polygons, limiting the estimated Mineral Resources with economic potential.
An example of this methodology is shown in for Pampa Blanca Sector V. The black line defines polygons above the cutoff grade and that comply with several operational conditions (at least 50 x 50 m, not isolated polygons, no infrastructure nearby, etc.).

TRS Pampa Blanca 2024
Pag. 88

tm2311827d1_ex96-4img001.jpg

Figure 11-5. Plan view of the polygons bordering The Mineral Resources Pampa Blanca Sector 5
image_89.jpg
Block Model Validation
A validation of the block model was carried out to assess the performance of the OK and the conformity of input values. The block model validation considers:
–Statistical comparison between estimated blocks and samples grades of drill holes.
–Global and local comparison between estimated blocks and samples through each direction (East, North and elevation) performing the following test: Anisotropy analysis, Search Neighborhood, Similarity analysis, Seasonality Analysis, Multivariate comparison, cumulative Distribution Function, Trend analysis Near Neighbor (NN).
–Visual validation to check if the lock model matches the sample data.










TRS Pampa Blanca 2024
Pag. 89

tm2311827d1_ex96-4img001.jpg

11.1.6.2 Global Statistics
The QP carried out a statistical validation between sample grades and estimated blocks. Global statistics of mean grades for the samples can be influenced by several factors, such as sample density, grouping and, to a greater extent, the presence of high grades.
Consequently, global statistics of samples grades were calculated using the Nearest-Neighbor (NN) method with search ranges like the one used in the estimation. A summary of this comparison is shown in Table 11-7 and Table 11-8 for Iodine and Nitrate respectively, where the negative values indicate a negative difference between block mean grades in relation to composite mean grades, and vice-versa. In general, differences under 5% are satisfactory, and differences above 10% require attention. The result of the estimate shows that relative differences are found within acceptable limits.
Table 11-7. Global Statistics Comparison for Iodine
Sector # Data - Block Minimum Maximum Mean Std. Dev
Pampa Blanca S4 613,483 18 2,000 322 182
Pampa Blanca S5 116,189 50 1,317 446 183

Table 11-8. Global Statistics comparison for Nitrate
Sector # Data- Block Minimum Maximum Mean Std. Dev
Pampa Blanca S4 613,483 0.3 20.0 4.8 2.3
Pampa Blanca S5 116,189 1.0 17.0 5.7 1.7

11.1.6.3 Swath Plots
To evaluate how robust block grades are in relation to data, the following tests were performed to validate the robustness of the generated model (Anisotropy analysis, Search Neighborhood, Similarity analysis, Seasonality Analysis, Multivariate comparison, cumulative Distribution Function, Trend analysis Near Neighbor NN). Figure 11-6, provides a summary of plots for each variable. In general, results indicate that estimates reasonably follow trends found in the deposit’s grades at a local and global scale without observing an excessive degree of smoothing.

TRS Pampa Blanca 2024
Pag. 90

tm2311827d1_ex96-4img001.jpg

Figure 11-6. Swath Plots for Iodine – PB5
image_92.jpg





TRS Pampa Blanca 2024
Pag. 91

tm2311827d1_ex96-4img001.jpg

Figure 11-7. Swath Plots for Nitrate – PB5
image_93.jpg







TRS Pampa Blanca 2024
Pag. 92

tm2311827d1_ex96-4img001.jpg

Visual Validation
To visually validate the iodine and Nitrate estimation, the QP completed a review of a set of cross-sectional and plan views. The validation shows a suitable representation of samples in blocks. Locally, the blocks match the estimation composites both in cross-section and plant views. In general, there is an adequate match between composite data and block model data for Iodine and Nitrate grades. High grade areas are suitably represented, and high-grade samples exhibit suitable control, which validates the treatment of outliers used.
Figure 11-8 present a series of horizontal plant views with the estimated model and the samples for Nitrate and Iodine in PB5.

Figure 11-8. Visual Validation of Iodine (Up) and Nitrate (Down) Estimation, Plan View – PB5

image3.jpg

TRS Pampa Blanca 2024
Pag. 93

tm2311827d1_ex96-4img001.jpg

image4.jpg

Reconciliation
During the period between June 1999 and December 2002, SQM compared the block model estimation with the material 18 heap leach piles in Pampa Blanca.
Comparing the grade determined by SQM in the block model versus Cesmec mass balance head grade of the pile, 16 Piles were considered acceptable for Nitrate (error less than 15%) and 15 piles good for Iodine (error less than 20%), validating in this way the geological model and the estimation through geostatistics techniques.
Table 11-8 shows this comparison for the 18 selected piles in Pampa Blanca.

Table 11-8. Comparison Between Block Model Grade and the Grade Measured from Different Piles, Pampa Blanca

TRS Pampa Blanca 2024
Pag. 94

tm2311827d1_ex96-4img001.jpg

Pile Nitrate (%) Iodine (ppm)
Block Model Pile Error Block Model Pile Error
24 8.1 7.3 11.0 464 436 6.4
25 7.9 7.6 3.9 488 443 10.2
26 7.1 6.6 7.6 477 439 8.7
27 7.9 7.4 6.8 538 439 22.6
28 7.6 7.3 4.1 467 403 15.9
29 8.3 7.0 18.6 529 508 4.1
31 7.9 7.7 2.6 368 346 6.4
33 7.3 6.9 5.8 466 417 11.8
41 7.1 5.4 31.5 570 425 34.1
44 7.3 7.3 0.0 487 434 12.2
45 6.7 6.7 0.0 393 371 5.9
46 7.4 7.2 2.8 443 394 12.4
47 7.2 6.8 5.9 418 401 4.2
48 7.3 7.7 -5.2 411 456 -0.9
49 7.1 7.0 1.4 412 414 -0.5
50 7.4 6.6 12.1 415 392 5.9
51 6.9 6.0 15.0 395 357 10.6
52 7.1 6.9 2.9 440 352 25
Average 7.4 7.0 6.5 455 413 10.2


11.1.7 Polygon Mineral Resources Evaluation
This subsection contains forward-looking information related to the establishment of the economic extraction prospects of Mineral Resources for the Project. Material factors that could cause actual results to differ materially from the conclusions, estimates, designs, forecasts or projections in the forward-looking information include any material difference from one or more of the material factors or assumptions set forth in this subsection, including cut-off profit assumptions, cost forecasts and product price forecasts.
For the sectors with a drill hole spacing grid greater than 200 x 200 m up to 400 x 400 m the resource evaluation was performed using at the polygon Method. Table 11-9 shows the economic and operational parameters used to define economic intervals in each drill hole in Pampa Blanca.

Table 11-9. Economic and Operational Parameters Used to Define Intervals for each Drillhole in Pampa Blanca
Parameter Value
Mantle Thickness ≥ 2.0 m
Cover Thickness ≤ 3.0 m
Waste/Mineral Ratio 1

TRS Pampa Blanca 2024
Pag. 95

tm2311827d1_ex96-4img001.jpg

11.2.MINERAL RESOURCE ESTIMATE
This sub-section contains forward-looking information related to Mineral Resources estimates for the Project. The material factors that could cause actual results to differ materially from the conclusions, estimates, designs, forecast or projections in the forward-looking information include any significant differences from one or more of the material factors or assumptions that were set forth in this sub-section including geological a grade interpretations and controls and assumptions and forecast associated with establishing the prospect for economic extraction.
Table 11-10 summarizes The Mineral Resources estimate, inclusive of reserves, for nitrate and iodine in Pampa Blanca.
Table 11-10. Mineral Resource Estimate, Exclusive of Mineral Reserves, as December 31, 2024
Mining Total Inferred Resource Total Indicated Reosurce Total Measured Resource
Tonnage (MMTon) Nitrate Grade (%) Iodine Grade (ppm) Tonnage (MMTon) Nitrate Grade (%) Iodine Grade (ppm) Tonnage (MMTon) Nitrate Grade (%) Iodine Grade (ppm)
Pampa Blanca 218 5.4 513 526 6.3 559 48 5.0 394
Notes:
(1)Mineral Resources are not Mineral Reserves and do not have demonstrated economic viability. There is no certainty that all or any part of the Mineral Resource will be converted into Mineral Reserves upon the application of modifying factors.
(2)The Mineral Resources are based on the application of modifying factors and due to the fact that the caliche deposits are located on the surface, part of the Measured and Indicated Mineral Resources with environmental permits and that are within the envelope of the valorization of the block greater than 3, have been converted into Mineral Reserves. As a consequence of the above, geological resources are provided excluding mining reserves, or which they are included in this Report of Measured Geological Resources, indicated and inferred in this Summary of the Technical Report.

(3)Comparisons of values may not add due to rounding of numbers and the differences caused by use of averaging methods.
(4)The units “Mt”, “ppm” and “%” refer to million tons, parts per million, and weight percent respectively.
(5)The Resource Mineral involves a cut-off benefit (USD/Ton of ore) greater than 0.1 and caliche thickness ≥ 2.0 m.
(6)As the mineral resources estimation process is reviewed and improved each year, mineral resources could change in terms of geometry, tonnage or grades.
(7)Marco Fazzi and Freddy Ildefonso are the QP responsible for the Mineral Resources.

11.3.MINERAL RESOURCE CLASSIFICATION
This sub-section contains forward-looking information related to Mineral Resources classification for the Project. The material factors that could cause actual results to differ materially from the conclusions, estimates, designs, forecast or projections in the forward-looking information include any significant differences from one or more of the material factors or assumptions that were set forth in this sub-section including geological and grade continuity analysis and assumptions.
The Mineral Resources classification defined by SQM is based on drill hole spacing grid:
–Measured Resources were defined using the prospecting grids greater than 50 x 50 m up to 100 x 100 m, which allows to delimit with a significant level of confidence the dimensions, mantle thickness and grades of the mineralized bodies as well as the continuity of the mineralization. Variability and uncertain studies carried out by SQM show a relative estimation error less than 5 % .
–Indicated Resources were defined using drill holes grid greater than 100 x 100 m up to 200 x 200 m, which allows to delimit with a reasonable level of confidence the dimensions, mantle thickness, tonnage, and grades of the mineralized bodies. Variability and uncertain studies carried out by SQM show a relative estimation error less than 8%.
TRS Pampa Blanca 2024
Pag. 96

tm2311827d1_ex96-4img001.jpg

–Inferred Mineral Resources were defined using drill holes grid greater than the 200 x 200 m and up to 400 x 400 m. When prospecting is carried out in districts or areas of recognized presence of caliche, or when the drill hole grids is accompanied by some prospecting in a smaller grid, confirming the continuity of mineralization, it is possible to anticipate that such resources have a sustainable base to give them a reasonable level of confidence, and therefore, to define dimensions, mantle thickness, tonnages, and grades of the mineralized bodies. The information obtained is complemented by the surface geology the definition of UGs.
11.4MINERAL RESOURCE UNCERTAINTY DISCUSSION
Mineral Resource estimates may be materially affected by the quality of data, natural geological variability of mineralization and / or metallurgical recovery and the accuracy of the economic assumptions supporting reasonable prospects for economic extraction including metal prices, and mining and processing costs.
Inferred Mineral Resources are too speculative geologically to have economic considerations applied to them to enable them to be categorized as Mineral Reserves.
Mineral Resources may also be affected by the estimation methodology and parameters and assumptions used in the grade estimation process including top-cutting (capping) of data or search and estimation strategies although it is the QP’s opinion that there is a low likelihood of this having a material impact on the Mineral Resource estimate.
11.5QUALIFIED PERSON’S OPINION ON FACTORS THAT ARE LIKELY TO INFLUENCE THE PROSPECT OF ECONOMIC EXTRACTION
With the Reopening of Pampa Blanca added to the operational expertise and information available, it is the opinion of the QP that the relevant technical and economic factors necessary to support the economic extraction of the Mineral Resource have been adequately accounted for in the Mine.
The QP is not aware of any environmental, permitting, legal, title, taxation, socioeconomic, marketing, political or other relevant factors that could materially affect the Mineral Resource Estimate that are not discussed in this Technical Report.

12MINERAL RESERVE ESTIMATE
12.1.ESTIMATION METHODS, PARAMETERS AND METHODS
This sub-section contains forward-looking information related to the key assumptions, parameters and methods for the Mineral Reserve estimates for the Project. The materials factors that could cause actual results to differ materially from the conclusion, estimates, designs, forecast or projection in the forward-looking include any significant differences from one or more of the material factors or assumptions that were set forth in this sub-section including Mineral Resource model tons and grade and mine design parameters.
Mineral Reserves estimates are based on sample grades obtained from drill holes executed with reverse air drilling rigs in 200x200 m, 100x100 m, 100 T m (100 x 50 m) and 50x50 m grid spacing.
Measured Resources are evaluated from 3D block model by numerical interpolation techniques (Ordinary Kriging), where nitrate, iodine, and soluble salt content information available from data obtained in drill hole grids with a spacing equal to or less than 100 x100 m.
The Indicated Resources are evaluated from 3D block model by Inverse Distance Weighted (IDW) interpolation technique and defined by drill hole spacing of 200x200 m.
Mineral Reserves considers SQM’s criteria for the mining plan which correspond to the following:
–Caliche Thickness ≥ 2.0 m
–Overload thickness ≤ 3.0 m
–Waste / Mineral Ratio ≤ 1.0

TRS Pampa Blanca 2024
Pag. 97

tm2311827d1_ex96-4img001.jpg


–Cut-off benefit ≥ 3 USD/t
–The average production cost corresponds to 32.1 USD/kg and the sales price for Iodine derivatives is 99 USD/kg. For nitrate concentrate brine1, the average production unit cost is 99 USD/ton (mining, leaching, neutralization, and pond treatment) and the unit internal price is 323 USD/ton for nitrates salts for fertilizer
The mining sectors consider in the mining plans (Figure 12-1) are delimited in base of the environmental licenses obtained by SQM and a series of additional factors (layout of main accesses, heap and ponds locations, distance to treatment plants, etc.). Mining is executed in blocks of 25x25 m and the volumes of caliche to be extracted are established considering an average density value applied to 2.1 t/m³ for the deposit.
Using these criteria SQM estimated volumes (caliche) to be considered as Proven Reserves based on the 3D block models built, to define Measured Mineral Resources, and applying the criteria defined above to determine the mining plan.
The Indicated Resources estimated by Inverse Distance Weighted method using the Nitrate and Iodine grades and other relevant data obtained from medium density drill hole prospecting grids (200 x 200 m) are stated as Probable Reserves using the same criteria for mineral reserves describes above, caliche and overload thickness, waste/mineral rates ans cut-off benefit ( ≥ 3 USD/t).

Figure 12-1. Map of Reserves Sectors in Pampa Blanca
image_99.jpg
1
TRS Pampa Blanca 2024
Pag. 98

tm2311827d1_ex96-4img001.jpg

12.2CUT-OFF GRADE

SQM has historically used an iodine cut-off grade of 300 ppm, for this year it considers an Cut-off Benefit (BC), to maximize the economic value of each block.

This method generates an optimal economic envelope for each pampa for a Cut-off benefit (USD/Ton of mineral) greater than 0.1. In each pampa, the following must be considered:

• The accumulated benefit per ton of mineral in the column must be greater than or equal to the cut-off benefit.

• The last block in the column where the previous condition is met must have a value per ton greater than or equal to the cutoff benefit; otherwise, a vertical search is performed upwards.

12.3CLASSIFICATION AND CRITERIA
This sub-section contains forward-looking information related to the Mineral Reserve classification for the Project. The material factors that could cause actual results to differ materially from the conclusions, estimate, designs, forecast or projections in the forward-looking information include any significant differences from one or more of the material factors or assumptions that were set forth in this sub-section including Mineral Resources model tones, grade, and classification.
The geological features of the mineral deposits (sub-horizontal, superficial and limited thickness) allow to consider all the Mineral Reserves, because, regardless, the method of mining extraction used by SQM (drill & blast, Surface mining), the entire volume/mass of Proven and Probable Reserves can be extracted.
Any mining block (25x25m) that can´t be extracted due to temporary infrastructure limitations (pond, pipes, roads, etc.), are still counted as Mineral Reserves since they may be mined once the temporary limitations are removed.
Proved Reserves have been determined based on Measured Resources, are classified as describe in Section 11.3 with modifying factors, as described in Section 12.1.
Probable Reserves has been determined from Indicated Resources, which are classified as described in Section 11.3. Additional criteria as described in Section 12.1 and Section 12.2.
12.4MINERAL RESERVES

This sub-section contains forward-looking information related to the Mineral Reserve estimates for the Project. The material factors that could cause actual results to differ materially from the conclusions, estimate, designs, forecast or projections in the forward-looking information include any significant differences from one or more of the material factors or assumptions that were set forth in this sub-section including Mineral Resources model tone and grade, modifying factors including mining and recovery factors, production rate and schedule, mining equipment productivity, commodity market and prices and projected operating and capital costs.
Pampa Blanca mine is divided into three sectors: Pampa Blanca, Ampliación Pampa Blanca, and Blanco Encalada.
The Pampa Blanca sector is further subdivided into exploitation sub-sectors (see Figure 12-1).
The Pampa Blanca Sector (located at the Center of Sector) contains the following sub-sectors:
– Pampa Blanca Sectors 3 – 4 and 5.
SQM extracts “caliches” from these sectors within areas having environmental license currently approved by the Chilean authorities.
SQM exploits caliche at a rate of up to 5,000 Ktpy for Pampa Blanca plant site (Exempt Resolution N°0515/2012).
TRS Pampa Blanca 2024
Pag. 99

tm2311827d1_ex96-4img001.jpg

SQM's Mining Plan for 2025-2040 (Pampa Blanca-SQM Industrial Plan) sets a total extraction of 85.3 Mt of caliche with production ranging between 1.3 Ktpy and 1.8 Ktpy. Iodine average grade is 392 ppm and Nitrate average grade is 5.4% for the life-of-mine (LOM).
The criteria for estimating Mineral Reserves are as described below:
1.Measured Mineral Resources defined by 3D Model block and ordinary Kriging using data from high resolution drill hole spacing campaigns (100 x 100 m, 100T m or 50 x 50 m) are used to establish Proven Mineral Reserves.
2.Indicated Mineral Resources defined by 3D Model Block an Inverse Distance Weighted using data from medium resolution drill hole spacing campaigns (200 x 200 m) are used to establish Probable Mineral Reserves.
3.All the prospected sectors at Nueva Victoria have an environmental license to operate, considering the mining method used by SQM (drill-and-blast and SM) and the treatment by heap leach structures to obtain enriched brines of iodine and nitrates.
The modifying factors are considered herein. All permits are current and although there are no formal agreements, the operations have longstanding relationships with the communities, some of which are company towns. Mining, processing, downstream costs, mining loss, dilution, and recoveries are accounted for in the operational cut-off grade. As the project has been in operation since 1997, the risks associated with operating costs and recoveries are considered minimal.

Based on the described rules for resources to reserves conversion and qualification, the Proven Mineral Reserves and Probable Mineral Reserves of Pampa Blanca has been estimated as shown in Table 12-2 summarizes the estimated Mineral Reserves in the different sectors investigated by SQM in the Pampa Blanca mine.

Table 12-2. Mineral Reserves at the Pampa Blanca Mine (Effective 31 December 2024)

Proven Reserves Probable Reserves Total Reserves
Tonnage (Mt) 85 85
Iodine Grade (ppm) 392 392
Nitrate Grade (%) 5.4 5.4
Iodine (kt) 33.5 33.5
Nitrate (kt) 4,613 4,613

Notes:
a) The Mineral Reserves are based on a Cut-off Benefit (BC) greater than 3 USD/t, a caliche thickness ≥ 2.0 m. and a restriction of sectors with slopes not greater than 8%.
b) Proven Mineral Reserves are based on Measured Mineral Resources at the criteria described in (a) above.
c) Mineral Reserves are declared as in-situ ore (caliche).
d) The units “Mt”, “kt”, “ppm” and % refer to million tons, kilotons, parts per million, and weight percent respectively.
e) Mineral Reserves are based on a nitrates salts for fertilizer price of 323 USD/ton and an Iodine price of 42.0 USD/Kg. Mineral Reserves are also based on economic viability as demonstrated in an after-tax discounted cashflow (see Section 19).
f) Marco Fazzi is the QP responsible for the Mineral Reserves.
g) The QP is not aware of any environmental, permitting, legal, title, taxation, socioeconomic, marketing, political or other relevant factors that could materially affect the Mineral Reserve estimate that are not discussed in this TRS.
h) Comparisons of values may not total due to rounding of numbers and the differences caused by use of averaging methods.
TRS Pampa Blanca 2024
Pag. 100

tm2311827d1_ex96-4img001.jpg


The final estimates of Mineral Reserves by sector are summarized in the Table 12-3. The procedure used to check the estimates as follows:
1.Verified tonnage and average grades (iodine and nitrate) as Mineral Reserves by sectors with the measured and indicated resources previously analyzed.
1.Checked that the sectors with estimated Mineral Reserves by SQM are in areas with environmental licenses approved by the Chilean authorities while also considering application of modifying factors.
1.Confirmed that each sector with Mineral Reserves is considered in the Long Term mine plan (2025-2040) and the total volume of mineral ore (caliche) is economically mineable.
1.Considered the judgment of the Qualified Person in respect of the technical and economic factors likely to influence the prospect of economic extraction.

Table 12-3. Reserves at the Pampa Blanca Mine by Sector (Effective 31 December 2024)

Sector Proved Probable Total Reserves
Tonnage (Mt) Nitrate (%) Iodine (ppm) Tonnage (Mt) Nitrate (%) Iodine (ppm) Tonnage (Mt) Nitrate (%) Iodine (ppm)
Pampa Blanca-5 (Cp) 14 5.5 533 14 5.5 533
Pampa Blanca-4 71 5.4 364 71 5.4 364
Ampliacion PB Sin RCA -
Total 85 5.4 392 85 5.4 392

12.5QUALIFIED PERSON’S OPINION
The estimate of mineral reserves is based on Measured and Indicated Mineral Resources. This information has been provided in reference to Pampa Blanca. The Competent Person has audited the mineral resource estimate and modifying factors to convert the measured and indicated resources into proven and probable reserves.
The Competent Person has also reconciled mineral reserves with production and indicates that such reserves are appropriate for use in mine planning.

13. MINING METHODS
SQM provided with production forecasts for the period from 2025 to 2040 (Mining Plan MP). This Mining Plan was checked that the planned exploitation sectors had environmental licenses approved by the Chilean authorities (Prior to Environmental Law); the total tonnage and average Iodine and Nitrate grades were consistent with estimated Mineral Reserves; the total volume of mineral ore (caliche) is economically mineable and the production of prilled Iodine and Brine Nitrate Concentrate (Brine Nitrate) set by SQM is attainable, considering the dilution and mass losses for mining and recovery factors for leaching and processing.
TRS Pampa Blanca 2024
Pag. 101


Mining at the Pampa Blanca mine comprises soil and overload removal, mineral extraction from the surface, loading and transport of the mineral (caliche) to make heap leach pads to obtain iodine and nitrate-enriched solutions (brine leach solution).
Mineralization can be described as stratified, sub-horizontal, superficial (≤ 7.5 m), and limited thickness (3.0 m average). The extraction process of the mineral is constrained by the tabular and superficial bedding disposition of the geological formations that contain the mineral resource (caliches). This mining process has been approved by local mining authorities in Chile (SERNAGEOMIN). Generally, extraction consists of a few meters’ thick excavation (one continuous bench of up to 6.0 m in height (overburden + caliche)) where the mineral is extracted using traditional methods - drilling and blasting. Extracted ore is loaded by front loaders and/or shovels and transported by rigid hopper mining trucks to heap leach structures.
The concentration process starts with leaching in situ by means of heap leach pads irrigated by drip/spray to obtain an iodine and nitrate enriched solution that is sent to treatment plants to obtain the final products. The mining and extraction process is summarized in Table 13-1.
Table 13-1. Summary of Pampa Blanca-SQM caliche mine characteristics
Mining Sistem Opencast with a single and continuous bench with a height of up to 6 m
Drilling Atlas Copco Model F9 and D7
Blast Mining (Explosive) ANFO, detonating cord, 150 gr APD booster and non-electric detonators. Power factor 0,365 kg/tonne
Loading and Transportation
Front loaders (12 to 14 m3), 100 to 150 t trucks (60 m3 to 94 m3 capacity)
Top Soil Stripping (overburden removal)
0.15 m3 of soils and overburden/tonne of caliche
Caliche Production 15.000 tonnes per day (tpd)
Dilution Factor ± 10 ppm Iodine (<2.5%)
Recovery Factor 51.7% of Iodine and 38% of Nitrate (2023-2029 period)
Heap Leaching Water Consumption
0.32 to 0.44 m3/tonne leached caliche (2023-2029 period)
Sterile(a)/Ore Mass Ratio
1 t: 2.36t

(a)This material is used by SQM to build the base of the heap pads. The final volume of waste material is negligible.
13.1.GEOTECHNICAL AND HYDROLOGICAL MODELS, AND OTHER PARAMETERS RELEVANT TO MINE DESIGNS AND PLANS
This sub-section contains forward-looking information related to mine design for the Project. The material factors that could cause actual results to differ materially from the conclusions, estimates, designs, forecasts, or projections in the forward-looking information include any significant differences from one or more of the material factors or assumptions that were set forth in this sub-section.
Mining at Pampa Blanca is relatively simple, as it is only necessary to remove a surface layer of sterile material (soil + overburden) up to 2.0 m thick (sandstone, breccia, and anhydrite crusts), which is removed. Subsequently the ore (caliche) is extracted, which has a thickness of 1.50 to 6.0 m (average of 3.0 m). Caliche's geotechnical characteristics (Polymictic Sedimentary Breccia) allow a vertical mining bench face, allowing increased efficiency in the exploitation of the mining resources.
The mining conditions do not require physical stability analysis of the mining working face; therefore, no specific geotechnical field investigations and designs are required. One single final bench of about 4.70 m average height (1.0 m of soil + overburden and 3.2 m of caliche) is typical of the operations (Figure 13-1).

Figure 13-1. Stratigraphic column and schematic profile in Pampa Blanca mine.
TRS Pampa Blanca 2024
Pag. 102


image_1061.jpg

Due to its practically non-existent surface runoff and surface infiltration (area with very low rainfall) and its shallow mining depth, the water table is not reached during excavation. Therefore, no surface water management and/or mine drainage plans are required to control groundwater and avoid problems arising from the existence of pore pressures.
Therefore, this mining operation does not require detailed geotechnical, hydrological and hydrogeological models for its operation and/or mining designs and mining plans.
The hardness is established during geological surveys and exploration and relates to the following qualitative technical criteria as judged by the geologist in the field from boreholes:
•Caliche drilled borehole section that exhibits collapse and/or roughness in diameter is rated as Soft (Hardness 1) or Semi-Soft (Hardness 2).
•Borehole section drilled in caliche that exhibits a consistent and smooth borehole diameter is rated as Hard (Hardness 3).
•This parameter is included in the block model and is used in decision-making on mining and heap leach shaping.
Extracted mineral is stockpiled in heaps located in same general area of exploitation. Heap leach pads are constructed in previously mined-out areas. The pads are irrigated to leach the target components (iodine and nitrates) by aqueous dissolution (pregnant brine solution).
SQM has analyzed heap leach stability2 to verify the physical long-term stability of these mining structures under adverse conditions (maximum credible earthquake). Geomechanical conditions analyzed for heap leaching facilities that are already closed have been considered, which have the following characteristics:
•Wet density of 20.4 kilonewtons per cubic meter (kN/m³).
•Internal friction angle of 32º.
•Cohesion of 2.8 kPa.
A graded compacted material is used to support the liner on which the piles rest. The specification is based on experience and is generally defined by a wet density of 18.5 kN/m³, an angle of friction (𝜙) of 38° and no cohesion. Between the soil base and heap material there is an HDPE sheet that waterproofs the heap leach pad foundation. The interface between geomembrane HDPE and the drainage layer material is modelled as a 10 cm thick layer of material and a friction angle 𝜙 = 25° is adopted, which represents generated friction between the soil and the geomembrane.
2 TECHNICAL REPORT ‘’ANÁLISIS DE ESTABILIDAD DE TALUDES PILAS 300 Y 350’’. Document SQM N° 14220M-6745-800-IN-001. PROCURE Servicios de Ingeniería (21146-800-IN-001), mayo 2021.
TRS Pampa Blanca 2024
Pag. 103


Maximum acceleration value for the maximum credible earthquake is set at 0.86 G (G = 9.8 m/s2) and for the design earthquake it is set at 0.35 G.
The horizontal seismic coefficient (Kh) was set through expressions commonly used in Chile and the vertical seismic coefficient (Kv) was set according to NCh 2369 Of. 2003, as 2/3 of the horizontal coefficient. Therefore, in the stability analysis of heaps, a Kh value of 0.21 and Kv of 0.14 was used for the maximum credible earthquake; and a Kh of 0.11 and Kv of 0.07 were used for the design earthquake.
The stability analysis was executed using the static dowel equilibrium methodology (Morgenstern-Price Limit Equilibrium method) and GeoStudio’s Slope software, with results that comply with the minimum Factor of Safety criteria.
Based on the analysis developed in this document, it is possible to draw the following conclusions (Table 13-2 and Figure 13-2):
•The slopes of the heaps analyzed in their current condition are stable against sliding.
•None of the heaps will require slope profiling treatment after closure.

Table 13-2. Summary results of slope stability analysis of closed heap leaching.
Slope
Static case (FS adm = 1.4)
Pseudo-static design earthquake (FS adm = 1.2)
Pseudo-static maximum credible earthquake (FS adm = 1.0)
300 1.93 1.42 1.09
350 1.91 1.42 1.10
TRS Pampa Blanca 2024
Pag. 104


Figure 13-2. Geotechnical analysis results: Heap n#300, Hypothesis maximum credible earthquake

image_108.jpg

13.2PRODUCTION RATES, EXPECTED MINE LIFE, MINING UNIT DIMENSIONS, AND MINING DILUTION AND RECOVERY FACTORS
The MP considers a total caliche extraction of 42 Mt, with a production growing from 5.0 Mtpy to 12 Mtpy, as shown in Table 13-3. For the MP total caliche to be extracted is projected to have iodine grades ranging between 450 to 470 ppm and nitrate grades between 5.7% and 7.0%.
With an average Iodine grade of 392ppm (0.0392%), gross iodine prill production is estimated to be at 4.2 tpd (1,540 tpy of iodine). Likewise, for a Nitrate average grade of 5.4%, average Nitrate salts for fertilizer production is estimated to be at 362 tpd (95.9 ktpy of nitrate salts for fertilizer).
The mining area extends over an area of 40 km x 50 km. The mining sequence is defined based on the productive thickness data established for caliche from geological investigations, approved mining licenses exist, distances to treatment plants and ensuring that mineral is not lost under areas where infrastructure is planned to be installed (heap bases, pipelines, roads, channels, trunk lines, etc.). Areas with future planned infrastructure are targeted for mining prior to establishing these elements or mined after the infrastructure is demobilized.
Mineral Reserves considers SQM's criteria for the mining plan which includes the following:
•Caliche Thickness ≥ 2.0 m.
•Slope ≤ 8.0%.
•Waste / Mineral Ratio ≤ 1.0.
•Cut-off Benefit ≥ 3.0 USD/t
In addition to the above-mentioned operational parameters, the following geological parameters are also considered for determining the mining areas:
•Lithologies.
•Hardness parameters.
•Total salts (caliche salt matrix) which impact caliche leaching.
•Total salts elements (majority ions) which impact caliche leaching.
TRS Pampa Blanca 2024
Pag. 105


GPS control over the mining area floor is executed during mining to minimize dilution of the target iodine and nitrate grades.
Table 13-3. Mining Plan planned for 2025-2040.
MATERIAL MOVEMENT UNITS 2025 2026 2027 2028 2029 2030 2031-2040 TOTAL
Pampa Blanca Sector Ore Tonnage Mt 5.5 5.5 5.5 5.5 5.5 5.5 52.3 85.3
Iodine (I2) in situ ppm 450 437 422 416 409 399 374 392
Average grade Nitrate Salts (NaNO3) % 7.0% 7.0% 7.0% 6.0% 6.0% 6.0% 5.0% 5.4%
TOTAL ORE MINED (CALICHE) Mt 5.5 5.5 5.5 5.5 5.5 5.5 52.3 85.3
Iodine (I2) in situ kt 2.5 2.4 2.3 2.3 2.2 2.2 19.5 33.5
Yield process to produce prilled Iodine % 72.0% 72.0% 72.0% 71.0% 70.0% 70.0% 67.0% 69.0%
Prilled Iodine produced kt 1.8 1.7 1.7 1.6 1.6 1.5 13.2 23.1
Nitrate Salts in situ kt 391 374 358 347 330 319 2,495 4,613
Yield process to produce Nitrates Salts % 35.0% 35.0% 34.0% 34.0% 33.0% 33.0% 33.0% 33.3%
Nitrate Salts for Fertilizers kt 137 129 122 117 110 106 814 1,535

Grade dilution from mining is estimated to be less than 2.5% (± 10 ppm iodine) and less than 2.3% for nitrate (± 0.12% nitrate). During the caliche mining process, as the mineralized thicknesses are low (≤ 5.0 m), there is a double effect on the mineralized mantle floor resulting from the blasting process: with the inclusion of underlying material as well as over-excavation. These tend to compensate, with dilution or loss of grade is minor or negligible (± 10 ppm for Iodine).
The excavation depth is controlled by GPS on the loading equipment. SQM considers a planned mining recovery of 95%, (average value for MP 2025-2040).
The processes of extraction, loading and transport of the mineral (caliche) include:
1.Surface layer and overburden removal (between 0.5 to 2.5 m thick) that is deposited in nearby mined out or barren sectors. This material is used to build the base of the heap leaching structures.
1.Caliche extraction, to a maximum depth of 6 meters, using explosives (drill & blast).
Blasting is performed to achieve a high degree of fluffing, good fragmentation, good floor control, mineral sizes suitable for the type of loading equipment and not requiring further handling (20% of fragments below 5.0-6.0 cm, 80% of fragments feed to heap leach below 37.0 cm and maximum diameter of 100 cm).
The SM is not applicable in Pampa Blanca due to the excess of clasts and megaclasts that affect the consumption of cutting tips of the equipment.
The 2025 Mining Plan targets an annual production of 5.5 Mt of fresh caliche (7.0% NaNO3, 450 ppm Iodine and 50.9% soluble salts) of which 5.5 Mt will be extracted by traditional mining and 0 Mt by surface mining.
1.Caliche loading, using front-end loaders and/or shovels.
1.Transport of the mineral to heap leach pads, using mining trucks (rigid hopper, 100 t to 150 t).
Heap leach pads (Figure 13-3) are built to accumulate a total of 0.5 a 1.0 Mt, with heights between 7 to 15 m and crown area of 40,000 a 65,000 m2.
TRS Pampa Blanca 2024
Pag. 106


Figure 13-3. Pad construction and morphology in Pampa Blanca mine (caliches).
image_109.jpg
image_110.jpg
Physical stability analysis performed by SQM reports that these heaps are stable in the long term (closed heaps) and no slope modification is required for closure.
Pampa Blanca mine operates with "Run of Mine" (ROM) material, which is material directly from the mine, coming from a traditional extraction process (drilling and blasting), loading and transport, where it is possible to find particles ranging in size from a few millimeters to 1 meter in diameter.
There are several stages in the heap construction process:
–Site preparation (soil removal by tractor) and construction of the heap base and perimeter parapets to facilitate collection of the enriched solutions.
–The base of the heaps has an area of 60,000 to 84,000 m² and a maximum cross slope of 2.5% (to facilitate the drainage of solutions enriched in iodine and nitrate salts).
–Heap base construction material (0.40 m thick) comes from the sterile material and is roller-compacted to 95% of Normal Proctor (moisture and/or density is not tested on site).
–An HDPE waterproof geomembrane is laid on top of this base layer.
–To protect the geomembrane, a 0.5 m thick layer of barren material is placed on top (to avoid damage to the membrane by ROM / SM fragments stored in the heap).
–Heap loading by high-tonnage trucks (100 to 150 tons). The leach pads are built in two lifts each 3.25 m high, on average. The average high of a heap pad is 6.5 m.
–Impregnation, which consists of an initial wetting of the heap with industrial water, in alternating cycles of irrigation and rest, for a period of 60 days. During this stage the pile begins its initial solution drainage (Brine).
Continuous irrigation until leaching cycle is completed, taking into account the following stages:
•Irrigation SI: stage where drained solutions are irrigated by the oldest half of heaps in the system. It lasts up to 280 days.
•Mixing: irrigation stage consisting of a mixture of recirculated BF and water. Drainage from these heaps is considered as SI and are used to irrigate other heaps. This stage lasts about 20 days.
•Washing: last stage of a heap's life, with a final irrigation of water, for approximately 60 days.
In total, there is a cycle of approximately 400 to 500 days for each heap, during which time the heap drops in height by 15-20%.
The irrigation system used is a mixed system, that is, drippers and sprinklers are used. In the case of drippers, an alternative is to cover heaps with a plastic sheet or blanket to reduce evaporation losses and improve the efficiency of the irrigation system.
TRS Pampa Blanca 2024
Pag. 107


–Leaching solutions are collected by gravity via channels, which will lead the liquids to a sump where they will be recirculated by means of a portable pump and pipes to the Brine reception and accumulation ponds.
–Once the heaps are out of operation, tailings can either be used for base construction of other heaps or remain on site (exhausted heaps).
In the Long term (MP) for 2025-2040 period, the unit water consumptions range from 0.45 to 0.47 m³/ton of caliche leached with an average of 0.46 m³/ton.
Leaching process yields are set at 69.0% for prill iodine and 33.3% for nitrate in ROM heap leaching (drill and blast material), for the Long Term from 2025 to 2040 period.
Heap leaching process performance constraints include the amount of water available, slope shaping3 (slopes cannot be irrigated), re-impregnation and resource/reserve modelling errors, this last factor being the one that most influences annual target production deviations from the one finally achieved. Such deviations are typically as high as -5% for iodine and -7% for nitrate.
From Brine Pond, the enriched solutions are sent to the iodide plants via HPDE pipes.
13.3REQUIREMENTS FOR STRIPPING, UNDERGROUND DEVELOPMENT, AND BACKFILLING
Initial ground preparation work requires an excavation of a surface layer of soil-type material (50 cm average thickness) and overload or waste material above the mineral (caliche) that reaches average thicknesses of between 50 cm to 100 cm.
This is done by bulldozer-type tracked tractors and wheeldozer-type wheeled tractors. This waste material is deposited in nearby sectors already mined or without mineral.
SQM has 4 bulldozer-type tractors of 50 to 70 tons and 2 wheeldozers-type tractors of 25 to 35 tons for these tasks.
Caliche mining is executed through use of explosives to a maximum depth of 6 m (3.0 m average and 1.5 m minimum mineable thickness), with an annual caliche production rate at Nueva Victoria of 5.0 Mtpy.
Caliche extraction by drilling and blasting is executed by means of rectangular blasting patterns, which are drilled considering an average caliche thickness of 3.0 m.
Table 13-4. Blasting pattern in Pampa Blanca mine
Diameter (inches)
Burden (m)
Spacing (m)
Subgrade (m)
3.5 2.8 to 3.2 2.2 to 2.8 0.5 to 0.8
4.0 2.8 to 3.4 2.8 to 3.4 0.7 to 1.2
4.5 3.4 to 3.8 3.4 to 3.8 1.0 to 1.5
Usually, drilling grid used in Pampa Blanca is 2.8mx3.0m and 3.00x3.2m, for a drilling diameter of 4". Atlas Copco rigs are used in drilling - F9 and D7 equipment (Percussion drilling with DTH hammer).
The explosive used is ANFO, which is composed of 94% ammonium nitrate and 6% petroleum, which has a density of 0.82-0.84 g/cc, with a detonation velocity between 3,800 to 4,100 m/s. The charge is 24.3 kg per drill hole.
A backfill (stemming) of 0.80 m is provided with sterile material. For detonation, 150 gr APD boosters and non-electric detonators are used as detonators, which start with a detonating cord. The over-excavation (subgrade) is variable from 0.50 to 1.50 m. Blasting will be executed considering a rock density of 2.1 t/m³ of intact rock, with an explosives load factor of 365 gr/t (load factor of 0.767 kg/m³ of blasted caliche), for an extraction of 15,000 tpd of caliche.

TRS Pampa Blanca 2024
Pag. 108


Figure 13-4. Picture of a typical blast in Pampa Blanca mine (caliches)
image_112.jpg
The unit cost of mine production at Nueva Victoria based on traditional mining is set at 3.34 USD/ton.
13.4REQUIRED MINING EQUIPMENT FLEET AND PERSONNEL
This sub-section contains forward-looking information related to equipment selection for the Project. The material factors that could cause actual results to differ materially from the conclusions, estimates, designs, forecasts or projections in the forward-looking information include any significant differences from one or more of the material factors or assumptions that were set forth in this sub-section including labor and equipment availability and productivity.
SQM has sufficient equipment at the Pampa Blanca mine to produce enough caliche as required, to mine and build heap leach pads, and to obtain enriched liquors that are sent to treatment plants to obtain Iodine and Nitrate end-products.
The equipment available to achieve Pampa Blanca current production Mining Plan (2025-2040) of caliche is summarized in Table 13-5. The current equipment capacity has been evaluated by the QP and will meet the future production requirements.










TRS Pampa Blanca 2024
Pag. 109




Table 13-5 Equipment fleet and Pampa Blanca mine
Equipment Quantity Type or size Replacement (h)
Front loader 3 12,5 y 15 m3 30
Shovels 1 13 a 15 m3 30
150 a 200 ton
Trucks 7 100 - 150 ton-c 30
Bulldozer 4 50 a 70 ton 25
Wheeldozer 2 35 ton 25
Drill 4 Top hammer de 3,5” a 4,5” (diameter) 20
Grader 2 16 - 24 feets 20
Roller 1 10-15 ton 20
Excavator 2 Bucket capacity 1 -1,5 m3 20
The staff at Pampa Blanca mining operation consists of 148 professionals dedicated to mining and heap leach operation.
Also, a total of 37 professionals are employed for heap leaching and ponds maintenance.
The Pampa Blanca mine operation includes some general service facilities for site personnel: offices, bathrooms, truck maintenance and washing shed, change rooms, canteens (fixed or mobile), warehouses, drinking water plant (reverse osmosis) and/or drinking water storage tank, sewage treatment plant and transformers.

13.5PRODUCTION AND FINAL MINE OUTLINE

SQM works with an initial topography of the land where, by continuous topography and control of the mining operations, the soil and overload are removed (total thickness of 1.50 m on average at Pampa Blanca) and caliche is extracted (average thickness of 3.0 m).

Given that the excavations are small (4.70 m on average) in relation to the surface area involved (655 Ha/year), it is not possible to correctly visualize a topographic map showing the final situation of the mine.

Figure 13-4 depicts the final mine outline for the 2025 to 2040 period (Long Term Plan).

Figure 13-5. Pampa Blanca Mining Plan 2025-2040
TRS Pampa Blanca 2024
Pag. 110


plan_pblancax2024xi2xesc3.jpg
TRS Pampa Blanca 2024
Pag. 111


Caliche production data for the 2025-2040 LoM involves a total production of 85.3 Mt, with average grades of 392 ppm of Iodine and 5.4% of Nitrates.
The total of water consumption expected is 40.1 Mm³(Mining Plan 2025-2040).

Based on production factors set in mining and leaching processes, a total production of 23.1 kt of Iodine prill and 1,535 kt of Nitrate salts is expected for this period (2025-2040), which means to produce fresh brine solution (6,700 m³/d) with average contents of 4.0 tpd of Iodine (0.60 g/L) and 362 tpd of Nitrate salts (141 g/l) that would be sent to the processing plants. Note that dilution factors considered herein are in addition to the indicated resource to probable reserve factors described above.
Table 13-6. Mine and PAD leaching production for Pampa Blanca Mine – period 2025-2040
LoM 2025-2040 Caliches %/Ratios Iodine Nitrates
Production (Mt) 85.3
Average grades (Iodine ppm / Nitrate %) 392 5.4%
Mineral in situ (kt) RESERVES 33.5 4,613
Traditional mining (kt) 85.3 100%
Mining yield (%) 95%
Grade Dilution Factor (%) 2.25% 2.50%
Grade dilution (ppm/%) ±8.82 ±0.14%
Mining process efficiency (%) 92% 92%
Mineral charged in heap leach (kt) 33.5 4,613
Heap Leach ROM recovery from traditional mining (%) 74% 55%
Heap ROM production from traditional mining heaps (kt) 24.79 2537.15
TOTAL Heap Leach production (kt) 24.79 2537.15
Heap Leaching recovery coefficient (%) 74% 55%
Recovery Average Coefficient for Finished Product (%) 69.0% 33.3%
Total Industrial Plant Processing Pampa Blanca (kt) 23.1 1,535

14. PROCESSING AND RECOVERY METHODS

Pampa Blanca is one of SQM's production center located in Sierra Gorda, province of Antofagasta, approximately 100 km northeast of the city of Antofagasta and 25 km northeast of Baquedano. The property was an operations recess stage by Exempt Resolution N°1346/2012 which authorizes the extension of the Pampa Blanca Temporary Closure. The site contemplated caliche extraction processes (mine), heap leaching, and processing plants to obtain iodine as the main product and nitrate (nitrate-rich salts) as a byproduct.

In October 2022, Pampa Blanca was reopened with caliche extraction, pile construction, construction of iodide and alkalinization plant, and reconditioning of evaporation solar ponds. The operation of the iodide plant and pump brines to evaporation ponds started in March 2023, operating continuously the rest of the year.
Pampa Blanca operations currently have the following facilities

TRS Pampa Blanca 2024
Pag. 112


1.Caliche mine and mine leaching operation centers.
2. Electric power generating plant
2. Industrial water Supply
3. Iodine Plant
4. Neutralization Plant
5. Evaporation Ponds
6. Auxiliary Facilities

Show a general plan of the location of the Iodide and Solar Evaporation Plant plants is shown.
Figure 14-1. Location of Pampa Blanca's production plant and facilities.
image_114.jpg
TRS Pampa Blanca 2024
Pag. 113


14.1.PROCESS DESCRIPTION

The SQM operation in Pampa Blanca is focused on the production of iodide and sodium nitrate salts. First stage of the process is the extraction of caliche from different mining reserves, this extraction involves several activities: Preparation of heap base, Overload Removal, Drilling, Blasting Loading, Loading and Transport of Caliche and Sterile to heap leaching. Pampa Blanca Mine is authorized to operate at a rate of 7,000,000 tons / year.

Once heaps have been charged, the caliche wetting stage begins. Heaps are irrigated with different solutions (water and recirculated process solution) from operations centers during approximately a year. When Heaps start to drain, iodine rich brine is pumped to Iodide plant.

The brine sent to the plant is treated to produce iodide rich solution. This product is sent to iodine plant located at Pedro de Valdivia or Nueva Victoria. Subsequently, the poor iodine brine that comes out from Iodide plant, one part is alkalized and pumped to Evaporation solar pond and the second part in returned to leaching process to irrigate heaps.

The last stage of the Pampa Blanca Process, Evaporation Solar Ponds, produces high nitrate salts. This product is harvested, storaged and sent to SQM Coya Sur facility for further refinement prior to sale.

The flowchart shows the overall process to produce iodine and salts with high nitrate content, see Figure 14-2.

Figure 14-2. General diagram of the block process for the treatment of caliche ore at the Pampa Blanca processing plant.

image_115.jpg
Mining waste from operations consists of heap leaching landfills, overload, and waste salts. The mining process involves the extraction, loading and transportation of caliche according to the following stages:

–Elimination of chusca (surface layer approximately 50 cm thick) and overload (intermediate layer of 50 cm to 2 m thick) using harvester tractors, which deposit them in nearby sectors already extracted or lacking minerals.
–Extraction of caliche with explosives and/or mining equipment at a maximum rate of 7,000,000 tons/year.
–Caliche loading, using front loaders, and transfer of ore to leaching piles, using high tonnage trucks (50, 65 or 100 tons).

14.1.1 Heap Leaching:
TRS Pampa Blanca 2024
Pag. 114


Heaps are constructed on non-mineralized ground, so as not to cover valuable caliche resource. The land is prepared prior to construction of the heap leaching pads. The soil is left with a slope profile of 1 to 4%, to promote gravity flow of the drained solution. The base is covered with an impermeable geomembrane (PVC, or HDPE) to prevent seepage of leaching solutions into the ground, allowing the solutions to be collected at the toe of the heap. A protective 40-50 cm thick layer of fine material (non-mineralized chusca (weathered material) or spent leached caliche) is spread over geomembrane to protect it against being damaged by the transit of mine vehicles or punctured by sharp stones.
The caliche to be leached is then emplaced over the protective layer. The heap is constructed with a rectangular base and heights between 6 to 15 m and a crown area of 65,000 m². Once the stacking of caliche is complete, heap is irrigated to dissolve the soluble mineral salts present in the caliche.
The heap leaching operation applies alternating cycles of irrigation and resting. The irrigation system used incorporates both sprinklers and drip irrigation. The heap leaching process typically takes around 350 days from start to finish (in general, the operating range is of approximately 300- 500 days for each heap). Over the leaching cycle, the removal of soluble mineral salts results in a 15% to 20% drop in height of each leach heap.
Figure 14-3 presents a schematic of the heap leaching process. The piles are organized in such a way as to reuse the solutions they deliver production piles (the newest ones), which produce iodine rich solution to be sent to the iodide plant, and older heap whose drainage feeds the production heap. At the end of its irrigation cycle, an (old) heap leaves the system as inert debris, and a new heap enters at the other end, thus forming a continuous process.

Figure 14-3. Schematic process flow of caliche leaching

image_116.jpg
The stages in the heap leaching process (Figure 14-3) are as follows:
1.Heap Impregnation Stage : corresponds to the initial irrigation of the leach pile with industrial water. During this stage the heap begins generating salt-bearing leach solution at its base, termed brine. Stage 1 lasts about 50-70 days.
2.Irrigation Stage: During 190-280 days the heap is irrigating with Pregnant leaching solution (PLS) or iodine rich Brine. After that, the heap is irrigated with a mixture of recirculated AFA and referred to by SQM as BF and industrial water during aprox. 60-80 days.
3.Final Stage: final water irrigation of the heap with industrial water to maximize total extraction of soluble salts. This stage lasts about 20-30 days.
TRS Pampa Blanca 2024
Pag. 115


The PLS obtained during heap leaching process is referred to as brine by the operation. The leaching solutions (brines) which drain from the heaps leaching are piped, according to their chemical quality to poor solution, intermediate solution, and rich brine solution storage ponds (accumulation ponds) at the COM. From here they are piped to Iodide plant.

14.1.2 Iodide Plant

SQM's leaching facilities located in mining areas are used to obtain brine, which is transported through pipelines to the iodide plant's existing facilities. The iodide plant process generates a concentrated solution of iodide, which is sent to SQM's iodine plants, followed by a residual stream of brine feble (BF), a solution of low iodine concentration. The brine Feble generated is reused in two processes: a) part was recirculated to the Operation Center (COP) located in the mining areas for the leaching process in piles, and b) the remaining fraction is sent to the solar evaporation pools after alkalization with lime or sodium carbonate.

The main equipment or infrastructure for iodide production is as follows:
–SO2 generation system.
–Absorption towers with their respective tanks.
–Solvent extraction plants (SX) and their tanks.
–Brine storage ponds with their respective pumps.

For the storage of inputs, there were:
–Sulphur reserves.
–Paraffin tank
–Sulfuric acid tank
–Sodium Hydroxide Tank
–Fuel tanks
Figure 14-4. Iodide Plant Process Diagram
image5.jpg

14.1.3 Florencia evaporation solar Ponds

Evaporation solar ponds is a functional unit involving Brine preconcentration, control pond, production, harvest and transport High grade Nitrate salts (see Figure 14-5). The fundamental purpose of the ponds is to evaporate part of the feed water, separate the residual salts (sodium chloride, magnesium, and sodium sulfates) and harvest the salts with a high degree of sodium nitrate (NaNO3).

When the precipitate of the high-nitrate salt is ready, the salt is harvested, storaged and sent to SQM Coya Sur facility for further refinement prior to sale.

TRS Pampa Blanca 2024
Pag. 116


The following facilities were in the area:

–Alkalization: unit responsible for alkalizing BF with a lime suspension (sodium carbonate can also be used). For neutralization, a slurry preparation system can be used. Neutralization takes place in mixing tanks that discharge into ponds that have the function of decanting insoluble gypsum and lime. The neutralized and clarified solution is finally fed into the solar evaporation circuit.

–Solar evaporation ponds: The processing unit is divided into pre-concentration ponds, control pond and production ponds. The preconcentration ponds are where waste salts precipitate that are harvested and placed in the residual salt reserves, with an impermeable base that allows the recovery of the impregnation solution. Nitrate salts precipitated in production pools are harvested and stored in product stockpiles.

Figure 14-5 Expansion of the Evaporation Pools plan at the Florencia Pampa Blanca Plant.

image_117.jpg
14.2.PRODUCTION SPECIFICATIONS AND EFFICIENCIES

TRS Pampa Blanca 2024
Pag. 117


14.2.1 Process Criteria

Table 14-1 contains a summary of the main criteria for the Pampa Blanca processing circuit.

Table 14-1 Summary of process criteria. Mine site caliche heap leaching and productive iodine process.
Criteria
Mining Capacity and Grades
Caliche Mine Exploitation 4 to 7 Mtpy
Exploitation of Future Proven Areas 12 Mtpy
Average Grades
5.4 % Nitrate ; 392 ppm Iodine
Availability / Use of Availability
Mining Exploitation Factor 80 - 90 %
Plant Availability Factors 96.7%
Caliche Iodine PO Factor
3.7 Mt Caliche per Ton of Prilled Iodine
Caliche Nitrate PO Factor
56 Tonnes Caliche / Nitrate Salts
Caliche Iodine Iris Factor
Heap Leaching
Impregnation Stage 300 to 500 Days for Each Heap
Intermediate Solution
Mixed Irrigation Stage
Washing Stage with Industrial Water
Criteria
Heap Leaching
Water + AFA Mixed Irrigation 40% Dilution of AFA
Heap Drainage 250 to 450 days
Iodate Brine Turbidity <150 NTU
Yield and Plant Capacity
Iodate / Iodide Yield 92 - 95%
Iodide / Iodine Yield 98%
Production Capacity at Pampa Blanca
1.5 Ktpy Iodide at Pampa Blanca
Iodine Prill Product Purity 99,8%
High - Nitrate Salts Production Capacity
140 ktpy


14.2.2 Solar Pond Specifications
TRS Pampa Blanca 2024
Pag. 118


The specific criteria for the operation of evaporation ponds are summarize in Table 14-2:
Table 14-2 Description of Inflows and Outflows of the Solar Evaporation System
System Input Flows Unit Value
AFA Feed Flow
m3 / h
85
Sodium Nitrate (NaNO3)
g/l 155
Potassium (K) 11.0
Potassium Perchlorate (KClO4)
1.2
Magnesium (Mg) 17
Boron w/boric acid (H3BO3)
6.8
System outflows Unit Value
Discard Salts Ton/año 60,000
Sodium sulfate % 75
Sodium Chloride % 25
High Nitrate Salt Production Ton/año 180,000
Sodium Nitrate (NaNO3)
75,000
Sodium Nitrate (NaNO3)
% 41.9
Potassium Nitrate (KNO3)
3.0
Potassium Perchlorate (KClO4)
0.22
Magnesium (Mg) 0.8
Boron w/boric acid (H3BO3)
0.8


14.2.3 Production Balance and Yields
Pampa Blanca reopened its operations in the second half of 2022 with a cargo equivalent to 4.5 million tons per year, with an iodine equivalent production of 1,130 tons/year. Iodine production began in March 2023. During 2024, the Pampa Blanca processes operated continuously, from the mine, leaching, iodide plant and evaporation ponds.

TRS Pampa Blanca 2024
Pag. 119


Table 14-3 presents a summary of 2024 iodine and nitrate production at Pampa Blanca
Table 14-3 Summary of 2024 Iodine and Nitrate at Pampa Blanca
Iodine Balance PB Unit Total Year 2024
Caliche Processed Mt 5.3
Caliche Nitrate Grade % 5.8%
Caliche Iodine Grade ppm 455
Iodine Heap Yield % 57%
Brine sent to plant
Mm3
2,218
Concentration gpl 0.62
Iodide Produce ton 1,263
Iodine Plant Yield % 98.3%
Iodine Produced ton 1,263
Iodide Plant Yield % 95%
Iodide Global Yield % 53%
Nitrate Balance PB Unit Total Year 2023
AFA Sent to Evaporation Ponds
km3
672
Nitrate in AFA Sent to Evaporation Ponds
Ton NaNO3
101
Nitrate Concentration in AFA Sent to Evaporation Ponds g/l (ppt) 151
NaNO3 Grade
% NA
Yield of NaNO3 from Evaporation Ponds
39.56%

14.2.4Production Estimation=>Plan Industrial P. Crovetto
In terms of future, Pampa Blanca Mining (see Section 13.2, see Table 13-3) and industrial plan, an economic analysis of which is discussed later in Chapter 19 (see Table 19-1) considers caliche extraction at a current rate of 5.5 Mtpy and estimates an increase in iodine and nitrate production to the year 2040.
Table 14-4 shows that to achieve the committed production it is required to increase water consumption to 0.47 m3/ton for the years 2025-2040 and the heap leach yield for iodine must be increased to 74%.

The indicated yield values for each year have been calculated using empirical yield ratios as a function of soluble salt content, nitrate grade and unit consumption.

Table 14-4 Pampa Blanca Process Plant Production Summary.

TRS Pampa Blanca 2024
Pag. 120


Parameter 2025 2026 2027 2028 2029 2030 2031-2040 Total
Mass of Caliche ore Processed (Mt) 5.5 5.5 5.5 5.5 5.5 5.5 52.3 85.3
Water Consumption (m3 / Ton Caliche)
0.45 0.47 0.47 0.47 0.47 0.47 0.47 0.47
Ore Grade (ppm, I2)
450 437 422 416 409 399 374 392
Ore Grade (Nitrate, %) 7.0% 7.0% 7.0% 6.0% 6.0% 6.0% 5.0% 5.4%
Soluble Salts, % 50.9% 51.3% 47.6% 45.0% 46.5% 44.5% 46.0% 46.6%
Yield process to produce prilled Iodine, % 72.0% 72.0% 72.0% 71.0% 70.0% 70.0% 67.0% 69.0%
Yield process to produce Nitrates, % 35.0% 35.0% 34.0% 34.0% 33.0% 33.0% 33.0% 33.3%
Prilled Iodine produced (kt) 1.8 1.7 1.7 1.6 1.6 1.5 13.2 23.1
Nitrate Salts for Fertilizers (kt) 137 129 122 117 110 106 814 1,535

14.3.PROCESS REQUIREMENTS
This sub-section contains forward-looking information related to the projected requirements for energy, water, process materials and personnel for the Project. The material factors that could cause actual results to differ materially from the conclusions, estimates, designs, forecasts, or projections in the forward-looking information include any significant differences from one or more of the material factors, or assumptions, that were set forth in this sub-section including actual plant requirements that yield different results from the historical operations.
Figure 14-6 shows Pampa Blanca's production process balance. It is important to note that input quantities will depend on caliche chemical properties, as well as iodide plant operation but will not exceed those indicated in the diagram.
TRS Pampa Blanca 2024
Pag. 121


Figure 14-6. Projected Water and Reagent Consumption at Pampa Blanca

image6.jpg


The balance scenario shown corresponds to the situation of treatment of 7 Mtpy of caliche with 2 ktpy of iodine production.
The following sections detail energy, water, staff, and process input consumption.


14.3.1.Energy and Fuel Requirements
14.3.1.1.Power and Energy

The electrical energy required for Pampa Blanca operations comes from self-generation of energy. Having an installed capacity of 3MW.

In 2024 Pampa Blanca power generation was 7,537.6 MWh. 1,884 m3 of diesel was used for power generation.

14.3.1.2 Fuels
The operation required 2,836 m3/y diesel was supplied by duly authorized fuel trucks for construction operation

14.3.2.Water Supply and Consumption
TRS Pampa Blanca 2024
Pag. 122


Water supplies are required for basic consumption, drinking water consumption (treated and available in drums, dispensed by an external supplier) and for industrial quality work. As reported, the entire sector is supplied by an industrial water supply center located in PB.
For industrial water supply, groundwater will be extracted at an average max rate of 85 L/s, from our own wells and water purchases from third parties.

Water Consumption
Table 14-5 summarizes the rate from industrial water supply by SQM and ADASA, for the year 2024.
Table 14-5 Rates Industrial Water Supply
Year Pozo Carolina (L/s) Pozo Puelma (L/s) ADASA (L/s) Total (L/s)
2024 6.26 1.47 69 76.73
Potable water will be required to cover all workers' consumption and sanitary needs. Potable water supply considers a use rate of 100 L/person/d, of which 2 L/person/d corresponds to drinking water at the work fronts and cafeterias. Commercial bottled water will be provided to staff. Sanitary water will be supplied from storage tanks located in the camp and office sectors, which will be equipped with a chlorination system. A total of 200 workers per month are required, considering the Pampa Blanca operations together, so the total amount of potable water will be 20 m3/day (0.23 L/s).
Table 14-6 provides a breakdown of the estimated annual water requirement by potable and industrial water for year 2024. The heap leaching process corresponds to the greatest water demand.
Table 14-6 Pampa Blanca Industrial and Potable Water Consumption
Process Annual Volume (M³/Year) Equivalent Rate (L/s)
Industrial Water
Heap Leach 2,185,493 69.3
Mine 93,577.5 3.0
Iodide Plant 34,414 1.1
Neutralization Plant
Solar Evaporation Ponds 11,503 0.4
Total Industrial Water 2,324,987.500 73.7
Drinking Water 69 0,23

14.3.3.Staffing Requirements
An estimated 154 workers are required during Pampa Blanca operations, Table 14-11 summarizes current workforce requirements.

TRS Pampa Blanca 2024
Pag. 123


Table 14-11 Personnel Required by Operational Activity

Operational Activity Pampa Blanca
Caliche Mining 99
Maintenance (mine-plant-SEP) 28
Iodide Production 14
Evaporation System-Operations 13
Total 154

Process Plant Consumables
Raw materials such as sulfur, chlorine, paraffin, sodium hydroxide, or sulfuric acid, are added to the plants to produce a concentrated iodide solution which is then used in iodine production. These materials are transported by trucks from different parts of the country. A-412, which connects with Route 5, is the main route for vehicular flows required for input supply and raw material shipment.
Reagent Consumption Summary
Table 14-12 summarizes the main annual materials required for Pampa Blanca's operations to the nominal production rate of 2 kt iodine prill. It is worth noting that some of the inputs can be replaced by an alternative compound; for example, sulfur can be replaced by liquid sulfur dioxide, kerosene can be replaced by sodium hydroxide and finally, lime can be replaced by sodium carbonate.
It is important to note that there are ranges of consumption factors that have been studied through historical operational data of plant treatment. The ranges are established according to the different qualities of brine obtained from the treated resource. These factors allow projecting the requirements of reagents and process inputs, both for annual, short- and long-term planning.

Table 14-12 Process Reagents and Consumption Rates per Year, PB
Reagent and Consumables Function or Process Area Units Pampa Blanca 2,000 ton Prill
Ammonium Nitrate Necessary for Blasting Tpy 2,600
Sulfuric Acid Iodide Plant Tpy 4,070
Sulfur Iodide And Iodine Plants Tpy 2,205
Liquid Sulfur Dioxide Used as an Alternative to Solid Sulfur Tpy 3,965
Kerosene At The Iodide Plant as a Solvent Tpy 1,620
Sodium Hydroxide At the Iodine Plants and at the Iodide Plant as Replacement of Kerosene Tpy 3,005
Chlorine Supply Chlorine to the Iodine Plants as an Oxidizer Tpy 205
Filter Aid Alpha Cellulose Powder used to Iodide and Iodine Plants Tpy 9
Lime (95 % Cao) Neutralization Plant for Lime Replacement Tpy 825
Sodium Carbonate Neutralization Plant for Lime Replacement Tpy 150
TRS Pampa Blanca 2024
Pag. 124


Reagent handling and storage
To operate, inputs used are stored in stockpiles and tanks, facilities available in the area known as the input reception and storage area. To store the inputs used in the Pampa Blanca plant, the following infrastructure are used:
1.Sulfur storage facilities.

2.Kerosene tank

3.Sulfuric acid tank

4.Diesel oil tanks.

5.Caustic soda tank.
Each reagent storage system assembly is segregated based on compatibility and is located within curbed containment areas to prevent spill spreading and incompatible reagents from mixing. Drainage sumps and pump sumps are provided for spill control.
14.4.QUALIFIED PERSON´S OPINION

According to Gino Slanzi Guerra, QP responsible for metallurgy and resource treatment:

–Metallurgical test data on the resources planned to be processed in the projected production plan to 2022 indicate that recovery methods are adequate. The laboratory, bench and pilot plant scale test programmed conducted over the last few years has determined that feedstock is reasonably suitable for production and has demonstrated that it is technically possible using plant established separation and recovery methods to produce iodine and nitrate salts. Based on this analysis, the most appropriate process route, based on test results and further economic analysis of the material, are the unit operations selected which are otherwise typical for the industry.

–In addition, historical process performance data demonstrates reliability of recovery estimation models based on mineralogical content. Reagent forecasting and dosing will be based on analytical processes that determine mineral grades, valuable element content and impurity content to ensure that system treatment requirements are effective. Although there are known deleterious elements and processing factors that can affect operations and products, the company has incorporated proprietary methodologies for their proper control and elimination. These are supported by the high level of expertise of its professionals, which has been verified at the different sites visited.

–The mineralogical, chemical, physical and granulometric characterization results of the mineral to be treated, obtained from trials obtained, allow continuous evaluation of processing routes, either at the initial conceptual stages of the project or during the process already established, in order to ensure that the process is valid and in force, and/or to review optimal alternatives to recover valuable elements based on resource nature. Additionally, analysis methodologies determine deleterious elements, in order to establish mechanisms in operations so that these can be kept below the limits to ensure a certain product quality.
TRS Pampa Blanca 2024
Pag. 125


15 PROJECT INFRASTRUCTURE

This section contains forward-looking information related to locations and designs of facilities comprising infrastructure for the Project. The material factors that could cause actual results to differ materially from the conclusions, estimates, designs, forecasts, or projections in the forward-looking information include any significant differences from one or more of the material factors or assumptions that were set forth in this sub-section including Project development plan and schedule, available routes and facilities sites with the characteristics described, facilities design criteria, access, and approvals timing.

Pampa Blanca's infrastructure analysis considers the existing facilities and the requirements associated with future projects. This section describes both the existing facilities and planned expansion projects.

The Pampa Blanca mine is located at Sierra Gorda, province of Antofagasta, Antofagasta Region, approximately 100 km northeast of the city of Antofagasta. It is accessed by Highway 5 North. These works as a whole involve a surface area of approximately 104.4 km2. The geographical reference location is 7,438,578 N, 434,651 E, with an average elevation of 1.353 m.a.s.l.

Figure 15-1 shows Pampa Blanca's geographic location. It also shows, for reference purposes, other sites belonging to SQM (Nueva Victoria, Coya Sur, Salar de Atacama, and Salar del Carmen), and facilities used to distribute its products (Port of Tocopilla, Port of Antofagasta, and Port of Iquique).

In February 2010, mining operations in Pampa Blanca were halted, with the subsequent temporary closure of the site.

In 2021, SQM makes the decision to reactivate the operations of the Pampa Blanca project, to develop a productive strategy to face the future growing demand for iodine and nitrate, and to be able to cover the expected growth.

Strengthen the supply of iodine, reactivating the operations of the Iodide Plant of the Pampa Blanca Project in the II Region (Antofagasta) to produce 1,000 tons of iodine and 70,000 tons of nitrates per year.

Since November of 2023 the Pampa Blanca mine had been running as expected.

The Pampa Blanca expansion project aims to incorporate new mine areas for iodide, iodine, and nitrate-rich salts production at Pampa Blanca mine, which will increase the total amount of caliche to be extracted and the use of the sea water for these processes. This project consists in modifying Pampa Blanca mine, which consists of:

–New mine areas (115 Km2 ), with a caliche extraction rate of 12 Mtpy
–One new Iodide production plants to increase on 3,000 tpy the production
–One new iodine production plant (7,000 tpy) for a total of 7,000 tpy
–New evaporation ponds to produce nitrate-rich salts (470,000 tpy)
–New operational irrigation centers and distribution pipe solutions which should cover the new mine area
–New truck workshops and supporting infrastructure such as roads, casinos, offices, control rooms, etc.
–A new neutralization system
–A Construction of a seawater adduction pipeline from Mejillones Bay to the mining area, to meet the water needs during the operation phase, with a maximum flow of up to 1,950 L/s
–Connection of the industrial areas of the Project to the Norte Grande Interconnected System (SING), to provide sufficient energy for their electrical requirements

TRS Pampa Blanca 2024
Pag. 126


Figure 15-1. General Location Project Pampa Blanca
image_118.jpg
Figure 15-2. General Location of Pampa Blanca Expansion Project

TRS Pampa Blanca 2024
Pag. 127


image7.jpg

TRS Pampa Blanca 2024
Pag. 128


15.1.ACCESS TO PRODUCTION, STORAGE AND PORT LOADING AREAS

General access to the Project, suitable for all types of vehicles, is near the 1,463 kilometer point of Route 5 that connects with a private road of SQM.

SQM's products and raw materials are transported by trucks, which are operated by third parties under long-term, dedicated contracts.

15.2.PRODUCTION AREAS AND INFRASTRUCTURE

The main facilities of the Pampa Blanca production area are as follows:

–Caliche extraction mine.
–Mine Maintenance workshop.
–Industrial water supply.
–Leaching
–Iodide plants.
–Evaporation ponds.
–Offices.
–Domestic waste disposal site.
–Hazardous Waste Yard.
–Non-hazardous industrial waste

TRS Pampa Blanca 2024
Pag. 129


Figure 15-3. Status of the Plant Pampa Blanca
image8.jpg


The Pampa Blanca mining areas and process facilities are described in more detail below.


15.2.1 Mine
Caliche ore is blasted and dug at Pampa Blanca. The minimum thickness of caliche ore that SQM will mine is 1.5 m. The ore deposits are mined on a 25 x 25 m grid pattern.

The surface area authorized for mining at Pampa Blanca is 52.4 km2.

The following sectors are in the mine:
–Exploitation and earthmoving sectors.
–Roads
–Powder magazine and silos for ammonium nitrate storage.
–Maintenance workshop
–General services staff facilities
TRS Pampa Blanca 2024
Pag. 130



Figure 15-4. Truck Workshop.
image_123.jpg
Figure 15-5. Temporary Industrial waste storage yard.
image_124.jpg

15.2.2 Leaching
The Leaching facility inside the mine area comprises the following areas:
–Heap Leaching
–Mine Operation Centers (COM)
–Auxiliary facilities

TRS Pampa Blanca 2024
Pag. 131


Heap leaching
They correspond to caliche accumulation cakes in the shape of a pyramidal trunk, with a rectangular base, and a leachate collection system.
They correspond to caliche accumulation platform (normally area of 40,000 - 65,000 m2.) in the shape of a pyramidal trunk, with a rectangular base, with bottom waterproofed with HDPE membranes. They are loaded with required caliche (between 0.5 a 1.0 Mt, with heights between 7 to 15 m) and are irrigated with different solutions (Industrial Water, Industrial water + BF mix or Intermediate Solution) with a leachate collection system.
Mine Operation Centers (COM)
The COMs include the facilities associated with a set of leach heaps. The COMs have brine accumulation ponds (poor solution, intermediate and rich solution ponds), recirculated feble brine ponds, industrial water ponds, and their respective pumping and impulsion systems. COM locations are defined according to mine planning.
Auxiliary facilities
General service staff facilities.

Figure 15-6. Operation Center.
image_126.jpg

15.2.3 Iodide Plant
The Iodide Plant facility has the following areas:
–Iodide Plant
–Auxiliary facilities

Iodide Plant
The principal equipment or infrastructure for iodide production includes the following:
–Storage ponds to hold the brine received from the heap leaching operation
TRS Pampa Blanca 2024
Pag. 132


–Furnaces for SO2 generation
–Absorption towers with their respective tanks
–Gas scrubbing system
–Stripping System
–Solvent extraction plants (SX) and their tanks
–Brine feble wells with their respective pumps

Auxiliary facilities
The following facilities are available for the storage of consumables used in the iodide plant:
–Sulfur stockpile ponds
–Kerosene tanks
–Sulfuric acid tanks
–Diesel stroga tanks
–Water pond
–Ponds with intermediate process solutions

The following facilities are in the plant sector:
–Fire Network System: water storage tank with its respective pump and piping system distributed throughout the plant installation.
–Generator room.
–Compressor room.
–Electrical rooms.
–Control room.
–Maintenance workshop and yard for materials and spare parts.

Ancillary facilities
Correspond to:
–Offices
–Warehouses
–Exchange office
–Polyclinic
–Casino
–Temporary waste storage yard
TRS Pampa Blanca 2024
Pag. 133


Figure 15-7. Iodide Plant
image_120.jpg
Figure 15-8. Iodide Plant
image_121.jpg

15.2.4 Evaporation Ponds
A solar evaporation plant is a functional unit that involves solution conditioning (neutralization of brine feble generated by the Iodide Plant), ponds, transfers, and salt harvesting and conveying systems. The principal purpose of the ponds is to evaporate all the feed water, separate the waste salts (sodium chloride, magnesium, and sodium sulfates), and harvest the salts with high sodium nitrate (NaNO3) grade.
The harvested waste salts are stored in a salt disposal field. The nitrate-rich production salts are stored in the final product storage area.
The following facilities are in the area:
–Neutralization Plant.
–Solar evaporation ponds.
TRS Pampa Blanca 2024
Pag. 134


–Auxiliary installations.
Neutralization Plant
The BF is neutralized with a lime slurry (sodium carbonate can also be used). For neutralization, there are slurry preparation plants. Neutralization takes place in mixing tanks that discharge into ponds that have the function of decanting the gypsum and lime insoluble. The neutralized and clarified solution is then fed to the solar evaporation circuit.
Figure 15-9. Neutralization Plant.

image9.jpg

Solar Evaporation Ponds
This is divided into pre-concentration ponds, production ponds, and purge ponds and cover an approximate area of 630,000 m2. In the pre-concentration ponds, discard salts precipitate, which is harvested and placed in the discard salts stockpiles, which have a waterproofed base that allows the recovery of the stripping or impregnation solution. Nitrate-rich salts precipitate in the production ponds and are harvested and stockpiled in product ponds, which are then shipped by truck to Coya Sur in the Antofagasta Region or other SQM plants or third parties.

Auxiliary facilities
In the area, there are offices, bathrooms, dressing rooms, and a casino for the staff working in the area and TAS plant.









Figure 15-10. Solar Evaporation Pools.
TRS Pampa Blanca 2024
Pag. 135


image_127.jpg
Figure 15-11. Solar Evaporation Pools.
image10.jpg



TRS Pampa Blanca 2024
Pag. 136


15.3.COMMUNICATIONS

The facilities have telephone, internet, and television services via satellite link or by fiber optics supplied by an external provider.

Communication for operations staff is via communication radios with the same frequency.

Communication to the control system, CCTV, internal telephony, energy, and data monitoring is via its own fiber optics, which connects process plants and control rooms.

15.4.WATER SUPPLY

Industrial water is supplied by groundwater extraction ponds and third-party suppliers. A network of pipelines, pumping stations, and power lines are used to extract, pump, transport, and distribute industrial water to the different points where it is required.

15.5.WATER TREATMENT

The project has 3 water treatment plants that process workers' wastewater

Table 15-1. Approved Water treatment unit by Sector

Plant Area Capacity [persons] Capacity [Liters/day] Approved resolution
Iodide Plant 50 11,250 l/d RES. Ex. N° 2302298535
Neutralization Plant 25 5,625 l/d RES. Ex. N° 2302298523
Truck Workshop 100 15,000 l/d RES. Ex. N° 2302298541
15.6.POWER SUPPLY

Pampa Blanca has its own power supply system, that is not connected to the National Electric System. The supply systems consist on 4 diesel generators of 1 MVA each one with an electrical Substation of 3 MVA 0.380/23 kV that distributes energy through a 23 kV MT line to the different areas.

TRS Pampa Blanca 2024
Pag. 137


Figure 15-11. Force House
image_122.jpg
TRS Pampa Blanca 2024
Pag. 138


16 MARKET STUDIES
This section contains forward-looking information related to commodity demand and prices for the Project. The material factors that could cause actual results to differ materially from the conclusions, estimates, designs, forecasts, or projections in the forward-looking information include any significant differences from one or more of the material factors or assumptions that were set forth in this section including prevailing economic conditions, commodity demand and prices are as forecasted over the Long-Term period.
16.1 IODINE AND ITS DERIVATIVES
16.1.1The Company
Iodine and iodine derivatives are used in a wide range of medical, agricultural, and industrial applications as well as in human and animal nutrition products. They are mainly used in the X-Ray contrast media, polarizing film and pharmaceuticals.
Industrial chemicals have a wide range of applications in certain chemical processes such as the manufacturing of glass, explosives and ceramics. Industrial nitrates are also being used in concentrated solar power plants as a means for energy storage.

Iodine and its Derivatives: We believe that we are the world’s leading producer of iodine and iodine derivatives, which are used in a wide range of medical, pharmaceutical, agricultural and industrial applications, including X-Ray contrast media, polarizing films for LCD and LED, antiseptics, biocides and disinfectants, in the synthesis of pharmaceuticals, electronics, pigments and dye components.

Industrial Chemicals: We produce and sell three industrial chemicals: sodium nitrate, potassium nitrate and potassium chloride. Sodium nitrate is used primarily in the production of glass, explosives, and metal treatment, metal recycling and the production of insulation materials, among other uses. Potassium nitrate is used in the manufacturing of specialty glass, and it is also an important raw material for the production of frits for the ceramics, enamel industries, metal treatment and pyrotechnics. Solar salts, a combination of potassium nitrate and sodium nitrate, are used as a thermal storage medium in concentrated solar power plants. Potassium chloride is a basic chemical used to produce potassium hydroxide, and it is also used as an additive in oil drilling as well as in food processing, among other uses.

Table 16-1. Percentage Breakdown of SQM's Revenues for 2024, 2023 and 2022
Revenue breakdown 2024 2023 2022
Specialty Plant Nutrition 21% 12% 11%
Lithium and derivatives 49% 69% 76%
Iodine and derivatives 21% 12% 7%
Potassium 6% 4% 4%
Industrial chemicals 2% 2% 2%
Other products and services 1% —% —%
Total 100% 100% 100%

16.1.2Business Strategy
Iodine and its Derivatives

TRS Pampa Blanca 2024
Pag. 139


Our strategy in our iodine business is to (i) encourage demand growth and promote new uses for iodine; (ii) provide a product of consistent quality according to the requirements of the customers; (iii) build a local and trustful relationship with our customers through warehouses placed in every major region; (iv) to achieve and maintain sufficient market share to optimize our cost and the use of the available production capacity; (v) participate in the iodine recycling projects through the Ajay-SQM Group (“ASG”), a joint venture with the US company Ajay Chemicals Inc. (“Ajay”) and reduce the production costs through improved processes and increased productivity to compete more effectively.

Industrial Chemicals

Our strategy in our industrial chemical business is to: (i) maintain our leadership position in the industrial nitrates market; (ii) encourage demand growth in different applications as well as exploring new potential applications; (iii) position ourselves as a long-term, reliable supplier for the e industry, maintaining close relationships with R&D programs and industrial initiatives; (iv) reduce our production costs through improved processes and higher productivity in order to compete more effectively and (v) supply a product with consistent quality according to the requirements of our customers.

16.1.3 Main Business Lines

16.1.3.1Iodine and its Derivatives

We believe that we are the world’s largest producer of iodine. In 2024, our revenues from iodine and iodine derivatives amounted to US$968.3 million, representing 21.4% of our total revenues in that year and an increase from US$892.2 million in 2023. This increase was mainly attributable to higher sales volumes than in 2023. Average iodine prices were approximately 2.3% lower in 2024 than in 2023. Our sales volumes increased approximately 11.1% in 2024. We estimate that our sales accounted for approximately 37% of global iodine sales by volume in 2024.
The following table shows our total sales volumes and revenues from iodine and iodine derivatives for 2024, 2023 and 2022:
Table 16-2. Iodine and derivatives volumes and revenues, 2022 - 2024
Sales volumes
(Thousands of metric tons)
2024 2023 2022
Iodine and derivatives 14.5 13.1 12.7
Total revenues
(In US$ millions)
968.3 892.2 754.3

16.1.3.1.1 Market

Iodine and iodine derivatives are used in a wide range of medical, agricultural and industrial applications as well as in human and animal nutrition products. Iodine and iodine derivatives are used as raw materials or catalysts in the formulation of products such as X-ray contrast media, biocides, antiseptics and disinfectants, pharmaceutical intermediates, polarizing films for LCD and LED screens, chemicals, organic compounds and pigments. Iodine is also added in the form of potassium iodate or potassium iodide to edible salt to prevent iodine deficiency disorders.

X-ray contrast media is the leading application of iodine, accounting for approximately 37% of demand. Iodine’s high atomic number and density make it ideally suited for this application, as its presence in the body can help to increase contrast between tissues, organs, and blood vessels with similar X-ray densities. Other applications include pharmaceuticals, which we believe account for 13% of demand; LCD and LED screens, 13%; iodophors and povidone-iodine, 6%; animal nutrition, 7%; fluoride derivatives, 6%; biocides, 5%; nylon, 3%; human nutrition, 3% and other applications, 7%.

TRS Pampa Blanca 2024
Pag. 140


In 2024, our estimates indicate that the market experienced an upturn of approximately 7% compared to the previous year. This expansion can primarily be attributed to a series of key factors impacting various industries. First, the broader global economic recovery has led to a better-than-expected GDP this year, with industrial production boosting company investments, especially in India and China. Additionally, demand for contrast media has accelerated due to significant expansions and strong performance among major players in this industry, where government expenditures in healthcare and new technologies have played a key role. Finally, while high prices have slowed demand in certain sectors, such as iodophors and biocides, the decline in these applications was smaller than the growth seen in other industries, leading to a strong iodine demand.

Conversely, the demand for X-ray contrast media emerged as a primary driver of growth in the iodine market. This increase is largely due to heightened healthcare expenditures, increased prevalence of chronic diseases necessitating diagnostic imaging, rising volume of CT procedures, advancements in imaging technology and demographic shift towards an aging population. The growing use of diagnostic imaging, particularly in China, Europe and the US, has significantly bolstered the demand for iodine-based contrast agents, counterbalancing some of the declines seen in other sectors.

16.1.3.1.2 Products

We produce iodine in our Nueva Victoria plant, near Iquique, Chile, Pedro de Valdivia plant and in our newest addition, Pampa Blanca mining site, both located close to María Elena, Chile. We have a total production capacity of approximately xx metric tons per year of iodine.

Through Ajay SQM Group (“ASG”), we produce organic and inorganic iodine derivatives. ASG was established in the mid-1990s and has production plants in the United States, Chile and France. ASG is one of the world’s leading inorganic and organic iodine derivatives producer.

Consistent with our iodine business strategy, we are constantly working on the development of new applications for our iodine-based products, pursuing a continuing expansion of our businesses and maintaining our market leadership.

We manufacture our iodine and iodine derivatives in accordance with international quality standards and have qualified our iodine facilities and production processes under the ISO 9001:2015 program, providing third party certification of the quality management system and international quality control standards that we have implemented.


TRS Pampa Blanca 2024
Pag. 141


16.1.3.1.3 Marketing and Customers
In 2024, we sold our iodine products in approximately 33 countries to 131 customers, and most of our sales were exports. Two customers individually accounted for at least 10% of sales in this segment, representing approximately 33% of iodine sales. The 10 largest customers together accounted for approximately 77% of sales during this period. On the other hand, no supplier had an individual concentration of at least 10% of the cost of sales of this line of business.
The following table shows the geographical breakdown of our revenues:
Table 16-3. Geographical Breakdown of the Revenues: Iodine and its derivatives
Revenues Breakdown 2024 2023 2022
North America 16% 14% 19%
Europe 38% 41% 38%
Chile 0% 0% 0%
Central and South America (excluding Chile) 2% 2% 2%
Asia and Others 43% 42% 41%

We sell iodine through our own worldwide network of representative offices and through our sales, support and distribution affiliates. We maintain inventories of iodine at our facilities throughout the world to facilitate prompt delivery to customers. Iodine sales are made pursuant to spot purchase orders or within the framework of supply agreements. Supply agreements generally specify annual minimum and maximum purchase commitments, and prices are adjusted periodically, according to prevailing market prices.


16.1.3.1.4 Competition

The world’s main iodine producers are based in Chile, Japan and the United States. Iodine is also produced in Russia, Turkmenistan, Azerbaijan, Indonesia and China.

Iodine is produced in Chile from a unique mineral known as caliche ore, whereas in Japan, the United States, Russia, Turkmenistan, Azerbaijan, and Indonesia, producers extract iodine from underground brines that are mainly obtained together with the extraction of natural gas and petroleum. The recycled iodine waste production comes mainly from China and Japan.

Five Chilean companies accounted for approximately 60% of total global sales of iodine in 2024, including SQM, with approximately 37%, and four other producers accounting for the remaining 23%. The other Chilean producers are S.C.M. Cosayach (Cosayach), controlled by the Chilean holding company Inverraz S.A.; ACF Minera S.A., owned by the Chilean Urruticoechea family; Algorta Norte S.A., a joint venture between ACF Minera S.A. and Toyota Tsusho; and Atacama Minerals, which is owned by Chinese company Tewoo.

We estimate that eight Japanese iodine producers accounted for approximately 23% of global iodine sales in 2024, including recycled iodine.

We estimate that iodine producers in the United States accounted for nearly 5% of world iodine sales in 2024.

Iodine recycling is a growing trend worldwide. Several producers have recycling facilities where they recover iodine and iodine derivatives from iodine waste streams.

We estimate 16% of the iodine supply comes from iodine recycling. Through ASG or alone, we are also actively participating in the iodine recycling business using iodinated side-streams from a variety of chemical processes in Europe and the United States.

TRS Pampa Blanca 2024
Pag. 142


The prices of iodine and iodine derivative products are determined by market conditions. World iodine prices vary depending upon, among other things, the relationship between supply and demand at any given time. Iodine supply varies primarily as a result of the production levels of the iodine producers (including us) and their respective business strategies. In 2024, our annual average iodine sales prices slightly decreased compared to 2023, reaching approximately US$67 per kilogram in 2024, from the average sales prices of approximately US$68 per kilogram observed in 2023.

Demand for iodine varies depending upon overall levels of economic activity and the level of demand in the medical, pharmaceutical, industrial and other sectors that are the main users of iodine and iodine-derivative products. Certain substitutes for iodine are available for certain applications, such as antiseptics and disinfectants, which could represent a cost-effective alternative to iodine depending on prevailing prices.

The main factors of competition in the sales of iodine and iodine derivative products are reliability, price, quality, customer service and the price and availability of substitutes. We believe we have competitive advantages compared to other producers due to the size and quality of our mining reserves and the available production capacity. We believe our iodine is competitive with that produced by other manufacturers in certain advanced industrial processes. We also believe we benefit competitively from the long-term relationships we have established with our largest customers.


16.1.3.2 Industrial Chemicals
In 2024, our revenues from industrial chemicals were US$78.2 million, representing approximately 1.7% of our total revenues for that year and a 55.4% decrease from US$175.2 million in 2023, as a result of higher sales volumes in this business line, which offset lower sales prices. Sales volumes in 2024 decreased 70.9% compared to sales volumes reported last year, while average prices in the business line increased 53.1% during 2024 compared to average prices reported during 2023.
The following table shows our sales volumes of industrial chemicals and total revenues for 2024, 2023 and 2022:
Table 16-4. Industrial chemicals volumes and revenues, 2022 - 2024
Sales volumes
(Thousands of metric tons)
2024 2023 2022
Industrial Chemicals 52.6 180.4 147.0
Total revenues
(In US$ millions)
78.2 175.2 165.2

16.1.3.2.1 Market

Industrial sodium and potassium nitrates are used in a wide range of industrial applications, including the production of glass, ceramics and explosives, metal recycling, insulation materials, metal treatments, thermal solar and various chemical processes.

We are also experiencing a growing interest in using solar salts in thermal storage solutions related to CSP technology. Due to their proven performance, solar salts are being tested in industrial heat processes and heat waste solutions. These new applications may open new opportunities for solar salts uses in the near future, such as retrofitting coal plants.

16.1.3.2.2 Products

We produce and sell three industrial chemicals: sodium nitrate, potassium nitrate and potassium chloride. Sodium nitrate is used primarily in the production of glass, explosives, metal treatment, metal recycling and the production of insulation materials, adhesives, among other uses. Potassium nitrate is used in the manufacturing of specialty glass, and it is also an important raw material for the production of frits for the ceramics, enamel industries, metal treatment and pyrotechnics. Solar salts, a combination of potassium nitrate and sodium nitrate, are used as a thermal storage medium in concentrated solar power plants. Potassium chloride is a basic chemical used to produce potassium hydroxide, and it is also used as an additive in oil drilling and in food processing, among other uses.
TRS Pampa Blanca 2024
Pag. 143



In addition to producing sodium and potassium nitrate for agricultural applications, we produce different grades of these products, including prilled grades, for industrial applications. The grades differ mainly in their chemical purity. We have operational flexibility in producing industrial grade nitrates, because they are produced from the same process as their equivalent agricultural grades, needing only an additional step of purification. We may, with certain constraints, shift production from one grade to the other in response to market conditions. This flexibility allows us to maximize yields and to reduce commercial risk. In addition to producing industrial nitrates, we produce, market and sell industrial-grade potassium chloride.

16.1.3.2.3 Marketing and Customers
In 2024, we sold our industrial nitrate products in 53 countries, to approximately 274 customers. No single customer accounted for at least 10% of this segment's sales, and the 10 largest customers together accounted for approximately 27% of this segment's revenues. On the other hand, no supplier has an individual concentration of less than 10% of the cost of sales of this line of business.. We make lease payments to Corfo which are associated with the sale of different products produced in the Salar de Atacama, including lithium carbonate, lithium hydroxide and potassium chloride. See Note 22.2 to our consolidated financial statements for the disclosure of lease payments made to Corfo for all periods presented.
The following table shows the geographical breakdown of our revenues:
Table 16-5. Geographical Breakdown of the Revenues: Industrial chemicals
Revenues Breakdown 2024 2023 2022
North America 56% 27% 36%
Europe 24% 12% 17%
Chile 1% 1% 1%
Central and South America (excluding Chile) 10% 6% 7%
Asia and Others 9% 54% 39%

Our industrial chemical products are marketed mainly through our own network of offices, logistic platforms, representatives and distributors. We maintain updated inventories of our stocks of sodium nitrate and potassium nitrate, classified according to graduation, to facilitate prompt dispatch from our warehouses. We provide support to our customers and continuously work with them to improve our service and quality, together with developing new products and applications for our products.


16.1.3.2.4 Competition

We believe that we are one of the world’s largest producers of industrial sodium nitrate and potassium nitrate. In 2024, our estimated market share by volume for industrial potassium nitrate was 32% and for industrial sodium nitrate was 29% (excluding domestic demand in China and India).

Our competitors in sodium nitrate are mainly based in Europe and Asia, producing sodium nitrate as a by-product of other production processes. In sodium nitrate, BASF AG, a German corporation, and several producers in Eastern Europe and China are competitive since they produce industrial sodium nitrate as a by-product. Our industrial sodium nitrate grades also compete indirectly with substitute chemicals, including sodium carbonate, sodium sulfate, calcium nitrate and ammonium nitrate, which may be used in certain applications in place of sodium nitrate and are available from a large number of producers worldwide.

Our main competitors in the industrial potassium nitrate business are Haifa Chemicals, Kemapco and some Chinese producers, which we estimate had a market share of 18%, 9% and 15%, respectively, in 2024.
Producers of industrial sodium nitrate and industrial potassium nitrate compete in the marketplace based on attributes such as product quality, delivery reliability, price, and customer service. Our operation offers both products at high quality and with low cost.
TRS Pampa Blanca 2024
Pag. 144



In the industrial potassium chloride market, we are a relatively small producer, mainly focused on supplying regional needs.

16.2 SPECIALTY PLANT NUTRITION

16.2.1 The Company

Specialty plant nutrients are premium fertilizers that enhance crop yields and quality. Our key product is potassium nitrate, mainly used in fertigation for high-value crops. We also produce and sell potassium chloride globally as a commodity fertilizer. Additionally, we trade other complementary fertilizers worldwide to diversify our offerings.

Specialty Plant Nutrition: We offer three main types of specialty plant nutrients for fertigation, direct soil, and foliar applications: potassium nitrate, sodium nitrate, and specialty blends. We also sell other specialty fertilizers, including third-party products. These products, available in solid or liquid forms, are mainly used on high-value crops like fruit, flowers, and some vegetables. They are widely utilized in modern agricultural techniques such as hydroponics, greenhouses, and fertigation (where fertilizer is dissolved in water before irrigation).

Specialty plant nutrients offer advantages over commodity fertilizers, such as quick absorption, excellent water solubility, and low chloride content. Potassium nitrate, a key product, comes in crystalline and prill forms for various applications. Crystalline potassium nitrate suits fertigation and foliar use, while prills are ideal for direct soil application.

We market our products under the following brands: Ultrasol® (fertigation), Qrop® (soil application), Speedfol® (foliar application), and Allganic® (organic agriculture).

Sophisticated customers now seek integrated solutions rather than single products. Our offerings include customized blends and agronomic services, enhancing plant nutrition for better yields and quality. Derived from natural nitrate compounds or potassium brines, our products feature beneficial trace elements, offering advantages over synthetic fertilizers. Consequently, specialty nutrients command a premium price compared to standard fertilizers.

Potassium: Potassium chloride is produced from brines extracted from the Salar de Atacama. This commodity fertilizer is used to nourish various crops, including corn, rice, sugarcane, soybeans, and wheat.

Other Products and Services: We sell a variety of fertilizers and blends, including those we don't produce. We are the largest producer of potassium nitrate and distributor of potassium nitrate, sulfate, and chloride.

16.2.2 Business Strategy

Specialty Plant Nutrition

Our strategy for the specialty plant nutrition business includes:

•Leveraging our products' advantages over commodity fertilizers.
•Expanding our sales of high-margin potassium and natural nitrate-based nutrients.
•Investing in complementary businesses to enhance our product portfolio, increase production, reduce costs, and add marketing value.
•Developing new nutrient blends in strategically located mixing plants.
•Focusing on markets where soluble and foliar applications establish leadership.
•Enhancing global distribution and marketing through strategic alliances.
•Reducing production costs with improved processes and higher labor productivity.
•Supplying consistently quality products tailored to customer requirements.

Potassium
TRS Pampa Blanca 2024
Pag. 145



Our potassium business strategy includes:

•Flexibility to offer crystallized or granular products as needed.
•Targeting markets with logistical advantages and synergies with our specialty plant nutrition business.
•Providing consistent quality to meet customer requirements.

16.2.3 Main Business Lines

16.2.3.1 Specialty Plant Nutrition
In 2024, specialty plant nutrients revenues decreased to US$941.9 million, representing 20.8% of our total revenues for that year and a 3.1% increase from US$913.9 million in specialty plant nutrients revenues in 2023. Prices decreased approximately 11.9% in 2024.

It is estimated that we are the largest producer of potassium nitrate globally. Our sales accounted for approximately 41% of global potassium nitrate sales for all agricultural uses by volume in 2024.

Table 16-6. Specialty Plant Nutrition volumes and revenues, 2022 - 2024
Sales volumes
(Thousands of metric tons)
2024 2023 2022
Sodium nitrate 12.5 16.7 14.4
Potassium nitrate and sodium potassium nitrate 534.0 443.5 477.4
Specialty blends 276.7 243.4 218.0
Other specialty plant nutrients 159.7 136.5 138.1
Total revenues
(In US$ millions)
941.9 913.9 1,172.3


16.2.3.1.1 Market

Specialty plant nutrients serve various agricultural purposes, including fertigation for high-value crops like vegetables and fruits. These fertilizers must be highly soluble and free of impurities for modern irrigation methods such as drip and micro-sprinkler systems. Potassium nitrate stands out among these nutrients due to its chlorine-free composition, high solubility, proper pH, and lack of impurities, allowing it to command a premium price over alternatives like potassium chloride and sulfate.

Modern irrigation systems are widely used in protected crops and high-value fruit plantations like greenhouses, tunnels (for berries), and shade houses (for tomatoes). Specialty nutrients are also applied for foliar and granular soil applications in niches such as potato and tobacco production.

Specialty plant nutrients have distinct characteristics that can increase productivity and improve quality when applied to specific crops and soils. These products offer certain benefits over commodity fertilizers derived from other sources of nitrogen and potassium, such as urea and potassium chloride.

Since 1990, the international market for specialty plant nutrients has expanded at a quicker pace than the market for commodity fertilizers. Contributing factors include: (i) the adoption of new agricultural technologies like fertigation, hydroponics, and greenhouses; (ii) rising land costs and water scarcity, which have prompted farmers to enhance yields and reduce water consumption; and (iii) growing demand for higher-quality crops.

TRS Pampa Blanca 2024
Pag. 146


However, during 2022 and 2023, the market for agricultural soluble potassium nitrate saw a reduction in consumption by approximately 12% and 8%, respectively, due to significant price increases, adverse climate conditions, and high inflation rates. These estimates exclude locally produced and sold potassium nitrate in China and only account for net imports and exports.

Despite two consecutive years of decline, 2024 was a good year for the Specialty Plant Nutrition market. We estimate that the market, excluding production and consumption within China, grew by around 17%, reaching levels slightly below what we had seen during 2020.

16.2.3.1.2 Products

We produce three main types of specialty plant nutrients that provide nutritional solutions for fertigation, direct soil applications and foliar fertilizers: potassium nitrate (KNO3), sodium nitrate (NaNO3) and specialty blends. We also sell other specialty fertilizers, including products produced by third parties. All of these products are used in solid or liquid form primarily on high-value crops such as fruits, flowers and some vegetables. These fertilizers are widely used in crops using modern agricultural techniques such as hydroponics, greenhouses and crops with foliar application and fertigation (in the latter case, the fertilizer is dissolved in water prior to irrigation).

Specialty plant nutrients have certain advantages over commercial fertilizers, such as fast and effective absorption (without requiring nitrification), superior water solubility, and low chloride content. One of the most important products in this business line is potassium nitrate, which is marketed in crystalline or prilled form, allowing for different application methods. Crystalline potassium nitrate products are ideal for fertigation and foliar applications, and potassium nitrate beads are suitable for direct soil applications.

Special blends are produced using our own special plant nutrients and other components in blending plants operated by us or our affiliates and related companies around the world.

The advantages of our special "Ultrasol" vegetable blends include the following:
•Fully water soluble for efficient use in hydroponics, fertigation, foliar applications, and advanced agricultural techniques, reducing water usage.
•Chloride-free to prevent toxicity in chlorine-sensitive crops.
•Provides nitrogen in nitric form for faster nutrient absorption compared to urea- or ammonium-based fertilizers.
We have developed brands for their commercialization according to the different applications and uses of our products. Our main brands are: Ultrasol® (fertigation), Qrop® (soil application), Speedfol® (foliar application) and Allganic® (organic agriculture).

During 2024, we continued to grow sales of differentiated fertilizers such as Ultrasoline® for improved root growth and optimal nitrogen metabolism, ProP® for more efficient phosphorus absorption, and Prohydric® for more efficient fertilization and water use.

Potassium nitrate and specialty blends represent high-margin products derived from sodium nitrate feedstock. Specialty blends are created using our proprietary plant nutrients along with other components at blending facilities operated by our company and affiliates globally.

Specialty nutrients can be classified as either specialty field fertilizers or water-soluble fertilizers based on their application methods.

Specialty field fertilizers are applied directly to the soil either manually or mechanically. Their high solubility, chloride-free nature, and non-acidic reactions make them ideal for crops like tobacco, potatoes, coffee, cotton, and certain fruits and vegetables.

Water-soluble fertilizers are delivered through modern irrigation systems and must be highly soluble, rich in nutrients, free of impurities, and have a low salinity index. Potassium nitrate is a key nutrient here due to its balance of nitric nitrogen and chloride-free potassium, essential for plant nutrition in these systems.
TRS Pampa Blanca 2024
Pag. 147



Potassium nitrate is crucial in foliar feeding to prevent and correct nutritional deficiencies and avoid stress. It aids in balancing fruit production and plant growth, especially in crops with physiological disorders.

16.2.3.1.3 Marketing and Customers
In 2024, we sold our specialty plant nutrients in approximately 100 countries and to more than 1,500 customers. No single customer individually accounted for at least 10% of sales in this segment during 2024. The 10 largest customers collectively accounted for approximately 25% of sales during that period. No supplier accounted for more than 10% of this business line's cost of sales.
The table below shows the geographical breakdown of our revenues:
Table 16-7. Geographical Breakdown of the Sales: Specialty plant nutrition
Revenues Breakdown 2024 2023 2022
Chile 12% 12% 11%
Central and South America (excluding Chile) 12% 8% 11%
Europe 17% 14% 17%
North America 39% 45% 42%
Asia and Others 21% 21% 20%

We distribute our specialty plant nutrition products globally through our network of commercial offices and distributors. In 2024, we saw continued growth in sales of differentiated fertilizers such as Ultrasoline® for enhanced root growth and optimal nitrogen metabolism, ProP® for improved phosphorus absorption, and Prohydric® which supports more efficient fertilization and water use.

We maintain inventory of our specialty plant nutrients at our commercial offices in key markets to facilitate prompt deliveries to customers. Sales are conducted through spot purchase orders or short-term contracts.

As part of our marketing strategy, we offer technical and agronomical assistance to clients. Our knowledge is based on extensive research and studies conducted by our agronomical teams in collaboration with producers worldwide. This expertise supports the development of specific formulas and hydroponic and fertigation nutritional plans, enabling us to provide informed advice.

By working closely with our customers, we identify the needs for new products and potential high-value markets. Our specialty plant nutrients are used on various crops, especially value-added ones, where they help customers increase yields and quality to achieve premium pricing.

Our customers are located in diverse regions, and as a result, we do not expect any seasonal or cyclical factors to significantly impact the sales of our specialty plant nutrients.

16.2.3.1.4 Competition

The primary factors influencing competition in the sale of specialty nutrients include product quality, logistics, agronomic service expertise, and pricing.

We consider ourselves the world's largest producer of potassium nitrate for agricultural purposes. Our potassium nitrate faces indirect competition from both specialty and commodity substitutes, which some customers may opt for depending on the soil type and crops involved.

TRS Pampa Blanca 2024
Pag. 148


In 2024, our sales represented approximately 41% of the global agricultural potassium nitrate market by volume. In the 100% soluble potassium nitrate segment, our main competitor is Haifa Chemicals Ltd. ("Haifa") of Israel. We estimate that Haifa's sales accounted for around 22% of global agricultural potassium nitrate sales in 2024 (excluding sales by Chinese producers within the domestic Chinese market).

Kemapco, a Jordanian producer owned by Arab Potash, operates a production facility near the Port of Aqaba, Jordan. We estimate that Kemapco's sales comprised roughly 13% of global agricultural potassium nitrate sales in 2024.

ACF, another Chilean producer primarily focused on iodine production, has produced potassium nitrate from caliche ore since 2005. Additionally, several potassium nitrate manufacturers operate in China, with most of their production consumed domestically within China.

16.2.3.2 Potassium
In 2024, our potassium chloride and potassium sulfate revenues amounted to US$270.8 million, representing 6.0% of our total revenues and a 3.0% decrease compared to 2023, due to lower prices, partially offset by higher sales volumes during the year. The average price for 2024 was approximately 24.2% lower than the average prices in 2023. Our sales volumes in 2024 were approximately 28.0% higher than sales volumes reported during 2023.
The following table shows our sales volumes of and revenues from potassium chloride and potassium sulfate for 2024, 2023 and 2022:
Table 16-8. Potassium volumes and revenues, 2022 - 2024
Sales volumes
(Thousands of metric tons)
2024 2023 2022
Potassium chloride and potassium sulfate 695.0 543.1 480.5
Total revenues
(In US$ millions)
270.8 279.1 437.2

16.2.3.2.1 Market

During the last decade, demand for potassium chloride and fertilizers in general has increased due to several factors, such as a growing world population, higher demand for protein-based diets, and less arable land. These factors contribute to fertilizer demand growth as efforts to maximize crop yields and continue to use resources more efficiently. It is estimated that demand in 2024 reached approximately 72 million metric tons, an increase from approximately 68 million tons during 2023, primarily due to lower prices and increased availability of potassium supply from Belarus and Russia.

Studies by the International Fertilizer Association indicate that cereals account for approximately 39% of global potassium demand, including maize (17%), rice (12%), and wheat (8%). Oil crops represent 25% of global consumption, with soybeans at 13% and oil palm at 9%. Other uses make up about 36%.

16.2.3.2.2 Products

We produce potassium chloride by extracting brines from the Salar de Atacama, which are rich in potassium and other salts. Potassium chloride is the most used and cost-effective potassium-based fertilizer for various crops. We offer potassium chloride in two grades: standard and compacted.

Potassium is one of the three essential macronutrients required for plant development. It is suitable for fertilizing crops that can tolerate relatively high levels of chloride and those grown under conditions with sufficient rainfall or irrigation to prevent chloride accumulation in the rooting systems.

The benefits of using potassium include:
•Increased yield and quality
TRS Pampa Blanca 2024
Pag. 149


•Enhanced protein production
•Improved photosynthesis
•Intensified transport and storage of assimilates
•Better water efficiency

Potassium chloride is also utilized as a raw material to produce potassium nitrate and other specialty nutrient granulated blends (NPK). Since 2009, our effective end product capacity has increased to over 2 million metric tons per year, providing us with greater flexibility and market coverage.


16.2.3.2.3 Marketing and Customers
In 2024, we sold potassium chloride and potassium sulfate to approximately 729 customers in 39 countries. No single customer individually accounted for at least 10% of this segment's sales in 2024. We estimate that the 10 largest customers together accounted for approximately 35% of sales during this period . No single supplier has a concentration of at least 10% of the cost of sales of this line of business. We make lease payments to Corfo which are associated with the sale of different products produced in the Salar de Atacama, including lithium carbonate, lithium hydroxide and potassium chloride. See Note 22.2 to our consolidated financial statements for the disclosure of lease payments made to Corfo for all periods presented.
The following table shows the geographical breakdown of our revenues:
Table 16-9. Geographical Breakdown of the Sales: Potassium
Revenues Breakdown 2024 2023 2022
North America 23% 24% 16%
Europe 15% 11% 6%
Chile 13% 11% 15%
Central and South America (excluding Chile) 33% 34% 41%
Asia and Others 16% 20% 22%

16.2.3.2.4 Competition

In 2024, it was estimated that we accounted for approximately 0.9% of the global sales of potassium chloride. Our main competitors are Nutrien, Uralkali, Belaruskali, and Mosaic. In 2024, Nutrien was estimated to account for approximately 15% of global sales, Uralkali for approximately 16%, Mosaic for approximately 8%, and Belaruskali for approximately 15%.
16.2.3.3 Other Products

SQM generates revenue from the sale of third-party fertilizers (both specialty and commodity). These fertilizers are traded globally in substantial volumes and are used either as raw materials for specialty mixes or to enhance our product portfolio. We have established capabilities in commercial management, supply, flexibility, and inventory management, enabling us to respond to the evolving fertilizer market and secure profits from these transactions.

Table 16-7. Geographical Breakdown of the Sales: Other products
Revenues Breakdown 2024 2023
North America 74% 87%
Europe 16% 4%
Chile 2% 5%
Central and South America (excluding Chile) 5% 3%
Asia and Others 3% 1%
TRS Pampa Blanca 2024
Pag. 150


17 ENVIRONMENTAL STUDIES, PERMITTING AND SOCIAL OR COMMUNITY IMPACT
The following section details the regulatory environment of the Site. It presents the applicable laws and regulations and lists the permits that will be needed to begin the mining operations. The environmental impact assessment process requires that data collection on many components and consultations to inform relevant stakeholders on site. The main results of this inventory and consultation process are also documented in this section. The design criteria for the water and mining waste infrastructure are also described. Finally, the general outline of the mine’s rehabilitation plan is presented to the extent of the information available now.

TRS Pampa Blanca 2024
Pag. 151


17.1ENVIRONMENTAL STUDIES
The Law 19.300/1994 General Bases of the Environment (Law 19.300 or Environmental Law), its modification by Law 20.417/2010 and Supreme Decree N°40/2012 Environmental Impact Assessment Service regulations (D.S. N°40/2012 or RSEIA)) determines how projects that generate some type of environmental impact must be developed, operated, and closed. Regarding mining projects, the art. 3.i of the Environmental Law defines that mining project must be submitted to the Environmental Impact Assessment System (SEIA) before being developed.   
–Florence Solar Evaporation Plant, submitted through EIA and approved by RCA 021/1999
–New Pampa Blanca Salt Disposal Field, submitted through a DIA, and approved by RCA N° 232/2009 
–Pampa Blanca Mine Area, submitted through an EIA and approved by RCA N° 278/2010 
–Pampa Blanca Expansion, submitted through an EIA and approved by RCA N° 319/2013 
Only the first of these projects was executed, this was because in 2011 the Pampa Blanca operation began a temporary closure, which was extended until 2022.

Currently, the Environmental Impact Statement (EIS) "Modification of the Pampa Blanca Mining Facility through the Incorporation of a New Waste Salt Storage Area" is under environmental assessment, for which the first round of responses to the observations received by the services was delivered.

Additionally, the environmental assessment of the Pampa Blanca Seawater Pumping System project is being prepared, which includes the mine area and the seawater pumping system for future operation.

17.1.1 Baseline studies
Below is the information obtained for the environmental baseline of the EIS "Modification of the Pampa Blanca Mining Facility through the Incorporation of a New Salt Storage Area", and for the Environmental Impact Study under preparation:
Climate and Meteorology 
The location area is characterized by some climatic indices relevant to the component, with accumulated annual rainfall of 3 mm, average annual temperatures of approximately 7°C and an average wind speed of 3.1 m/s.
Air Quality 
Regarding the location of the Project in Sierra Gorda, it is indicated that there are no Atmospheric Decontamination Plans (PDA) or Atmospheric Prevention and Decontamination Plans (PPDA) in force.
The characterization of air quality was carried out with 4 monitoring stations. In order to have a representative characterization, the use of the most recent air quality information is privileged, limited to a maximum of 5 years prior to the year before the Project's entry. With this, the main results were the following:

•There is no exceedance of the standard for respirable fine particulate matter (PM2.5) during the period under study, however, the Sierra Gorda station (Spence) presents for the daily standard of the pollutant values of the 98th percentile of the 24-hour concentration above the latency threshold.

•For respirable particulate matter (PM10), for the daily standard, associated with the 98th percentile of the daily concentrations of the pollutant, all the Sierra Gorda (SCM), Sierra Gorda (Spence) and Sierra Gorda (Centinela) stations present values above the saturation value of the standard, while the Sierra Gorda (SQM) station presents values above the latency threshold. Regarding the annual standard of the pollutant, all the stations present values above the saturation value of the standard.

•Regarding the primary quality standards of the gaseous pollutants carbon monoxide (CO), nitrogen dioxide (NO2) and sulfur dioxide (SO2), it is indicated that the statistics obtained represent a maximum of 40.5% of their respective standards, this situation being observed in the hourly standard of NO2 at the Sierra Gorda (SQM) station. 

TRS Pampa Blanca 2024
Pag. 152


Hydrology 
The statistical analysis of precipitation leads to the conclusion that the study area has practically no precipitation, with an average annual value of no more than 3 mm. Because of this, possible infiltration into groundwater is dismissed.  
Based on the hydrographic and hydrologic background, it can be concluded that in the project site area, that is, in the mine areas, in the Pampa Blanca industrial facilities, there are no significant permanent surface runoffs that could be affected. Average evaporation in the study area is 10.1 mm/day, with peaks between October and March. The monthly distribution of evaporation is consistent with the behavior of existing stations in the northern part of the country.  
Actual evaporation in the area is restricted by the lack of available water to be evaporated. As a result, a large part of the rainfall in the area is consumed by evaporation processes. 
Hydrogeology 
Linear Works (Linear Sector A, B and C)  
Based on the geological and hydrogeological background, it can be concluded that in the area where the linear works are located, there are at least seven sectors where the hydrogeological characteristics, inferred from the surface information, would favor the presence of groundwater. However, there are no records of recognized aquifers in this sector except for the southwest sector of the industrial areas and the power line near these facilities, where the Sierra Gorda aquifer is located. 
The Sierra Gorda aquifer, in this sector, has superficial layers of very low permeability. These layers would be approximately 30 m thick and would be made up of fine clastic material such as silts and clays. In this sector the depth of the water table varies between 8 and 39 m.
Areal Works (Mine and Industrial Sector) 
Based on the geological and hydrogeological background presented, it can be concluded that there are no aquifers of interest in the area where the areal works are located, apart from the industrial zone located to the south. It was determined that in the site area the rock, which has a very low permeability, practically outcrops on the surface and that in the areas where there is fill, it has small thicknesses (3 m). This implies that there is no potential to host an aquifer.  
The industrial sector located in the southern part of the study area is partially located within the limits of the Sierra Gorda aquifer. However, the Sierra Gorda aquifer, in front of this industrial area, has superficial layers of very low permeability. These layers correspond to Hydrogeological Units 4 and 5, which are approximately 30 m thick. In this sector, the depth of the water table varies between 8 and 39. 
 
Soils 
Regarding the main findings of the soil resources present in the area of influence, highly saline and fragile soils are observed, which correspond to soils where the establishment of vegetation is not viable, therefore they are very susceptible to erosion, either by the action of water or wind agents, implying that they are also erodible soils, which present limited pedogenic development in depth, which shows a low capacity to sustain biodiversity in the soils present in the Project area.

Regarding the Biodiversity Sustaining Capacity (BSC) in the Area of Influence, it presents Very Low BSC. This is due to the conditions of the origin of the parent material, the aridic humidity regime characteristic of the region and the high saline and sodium concentration of the soil. Currently, there are restrictive conditions in the capacity to sustain biodiversity, which is consistent with the absence of vegetation cover seen throughout the area.

Flora and vegetation 
-Vegetation
The Area of Influence (AI) defined for the Project covers a total area of 12,248.22 ha and 99.99% of the AI corresponds to areas without vegetation and industrial zones. This is clearly consistent with an Absolute Desert condition. On the other hand, areas of scarce vegetation were detected that cover an area of 0.60 ha (0.005%) where the only recorded species corresponds to Nolana clivicola.

According to the above and under the sampling effort of 1,448 sampling points, within the AI there are no formations regulated by Chilean legislation.

TRS Pampa Blanca 2024
Pag. 153


- Flora
Within the AI, the presence of only one taxa identified as Nolana clivicola was detected, an endemic shrub, distributed only in the northern zone of Chile, in the Antofagasta and Atacama Regions. This taxa is not registered under any conservation category and represents 0.02% of the national vascular flora. It is worth mentioning that the record was of isolated individuals in only two sampling points.

Terrestrial fauna 
In the EIA study area, three [3] environments for wildlife were identified. Among these, the environment with the largest surface area corresponded to the interior desert, covering 90.47% of the total study area, while the coastal desert environments of Tocopilla and the coastal border comprised 8.18% and 1.35%, respectively.
During the seven campaigns for characterizing Wild Animals, a sampling effort of 4,197 points was obtained. In these, 37 species of terrestrial fauna were identified, of which 35 correspond to native species and two [2] are of exotic origin. Of the 35 native species, 3 are endemic, a total of 3 reptiles, 28 birds and 4 native mammals were recorded.

The environment that presented the greatest richness corresponded to the coastal border, with a total of 24 species, and with a predominance of the bird class (23 species recorded). In the interior desert environment, 13 species were recorded, with the coastal desert environment of Tocopilla being where the lowest richness was observed, with 9 species detected.
Of the total number of native species, 15 species classified in the Regulations for the Classification of Wild Species of Chile were recorded, and 20 species presented some singularity.

Regarding the classified species, six [6] are in the category of Least Concern (LC), one [1] species in the Data Deficient (DD) category, six [6] Near Threatened (NT), one [1] Vulnerable (VU) and one [1] in the Endangered (EN) category. Among the singular species, the bird class stands out, which constitutes 53.57% of species considered as singular fauna.

Regarding abundance and density, the reptile with the greatest abundance was the Atacama runner (M. atacamensis), presenting its highest average density in the coastal environment. Similarly, in this same environment, a great abundance of the garuma gull (L. modestus) was observed through the censuses carried out.

In the coastal desert environment of Tocopilla, the lesser sleepyhead (M. maculirostris) had the highest average density, while, for the mammal class, the olive-bellied mouse (A. olivaceo) recorded the highest density.

In the case of macromammals, the culpeo fox (L. culpaeus) was identified by camera trap in the coastal desert environments of Tocopilla and the interior desert, while indirect records (footprints, feces and bone remains) of fox were obtained in both environments.

No species of the order Chiroptera were recorded, nor were there specimens or suitable conditions for the presence of amphibians. Regarding daytime air traffic, 23 species were recorded in the surveyed sector, of which 12 presented some singularity. The most frequent species was the red-headed vulture (C. aura), and the rest of the species were concentrated exclusively in the coastal environment.

Two particularly sensitive species were identified using the avifauna sensitivity index (ISA): the garuma gull (L. modestus) and the little tern (S. lorata). It should be noted that all the species recorded (with the exception of the red-headed vulture) are characterized by mainly traveling to the sea in search of food. There were no records of birds with the nocturnal air transit methodology.

Regarding the prospecting of nesting birds, three [3] species were identified: the garuma gull (L. modestus), the little tern (O. gracilis) and the little tern (S. lorata), in addition to a record of a tern carcass not identified at the species level.

By actively searching for nests, the presence of active nests of the Little Tern (S. lorata) was found near the coastal edge of Mejillones, coinciding with records of colonies in the literature. In addition, inactive nesting sites for the Garuma Gull (L. modestus) were identified towards the interior of the desert. Through different methodologies (transects and camera traps) their activity was ruled out during two reproductive periods.

TRS Pampa Blanca 2024
Pag. 154


Finally, with respect to the sea swallows, no suitable surfaces for nesting of these species (salt crusts and/or cavities) were found near the study area of the Project, only three [3] Procellariiformes carcasses were recorded in the Project area, which would be associated with falls in sectors with facilities and associated lighting. Diversity indices and species accumulation curves indicate a medium diversity in the coastal edge environment and a low diversity in the coastal desert of Tocopilla, together with the interior desert environment, which can be explained by the low availability of water and food in desert environments. Species accumulation curves indicate a high sampling coverage for all environments.
 
Human Environment 
The area of influence of the human component is determined by the administrative boundaries of the towns of El Oasis and Baquedano, where the human groups closest to the Project live.
In the Sierra Gorda commune, mining is the main economic driver, since 71.06% of its inhabitants work in this sector. This industry is responsible for significant demographic fluctuations due to the floating population and migration linked to employment opportunities. In relation to the Area of Influence, the El Oasis hamlet acts as a temporary stop for vehicles, especially public transport and freight, that travel along Route 5. This circulation has led to the development of a small community established next to a service station, serving as a rest point.

With respect to the village of Baquedano, the main activities revolve around mining support services, following a trend similar to that of the communal context. In El Oasis, the service station-related trade prevails, although there are no strong ties to the territory or deep-rooted cultural practices due to the itinerant nature of the population and its function as an access route for the mining industry in the region. Similarly, the village of Baquedano is characterized by retail businesses, as well as lodging and restaurant services. Additionally, the local council is an important provider of employment, both in professional and technical and trade positions.

It has been identified that in the village of El Oasis, apart from having a service station, there are no education, health or security facilities nearby, the closest being located about 26 km to the southwest in Baquedano or about 45 km to the northeast in Sierra Gorda. Regarding the access roads in El Oasis, routes 5 and 25 stand out, which join near the service station and facilitate the connection with the town. Additionally, in Baquedano, Route 5 North connects with Salvador Allende Avenue, the main road in the area. These roads, paved and suitable for heavy traffic, link the area of influence and other local towns with the cities of Antofagasta to the west and Calama to the east.

Regarding the possible effects of climate change, the risks of drought in mining operations and the increase in population morbidity are not linked to the Project activities. The threats mentioned in the ARClim platform related to the increase in temperatures and precipitation are not expected to generate significant impacts on the installation of the Project in the area during its three years of operation.

Thus, it is concluded that the Area of Influence and in particular the communities of the human groups that inhabit the hamlet of El Oasis and the village of Baquedano, would not experience significant changes in their life systems and customs due to Climate Change or the actions carried out by the Project.

Cultural Heritage 
Terrestrial archaeology 
The results of the archaeological survey for the archaeological baseline of the project yielded a total of 1,109 archaeological findings during the survey, plus 9 findings identified in the review of bibliographical background, so that in total the area presents 1,118 findings. Among the findings, those of carving events, concentrations and isolated lithics findings predominate considerably, while among the historical findings there are cart tracks and dispersion of historical garbage associated with nearby saltpeter offices.

According to the above, it is concluded that the area of influence of the project had occupations in pre-Hispanic times oriented towards obtaining raw materials for the elaboration of lithics tools, while in historical times it was a transit area from the saltpeter offices to the production sectors.

TRS Pampa Blanca 2024
Pag. 155


It should be noted that during the survey, a significant number of lithics events associated with thermal fractures were observed. It is important to mention that not everything observed is truly artificial, since there are places where there are good raw materials, but they are naturally fractured. The most indicative of this is when pseudo-flakes are found gathered in a very limited space, most of them of a primary nature, with ample capacity for reassembly, without missing pieces that could have been useful to the presumed carver and without the presence of flakes with any retouching. Less of any hammer. In short, there is no reduction chain in the place, everything is very limited and nothing is missing.

For the large number of lithics sites, it is worth highlighting that these extensive desert pampas, typical of the Intermediate Depression of the Atacama Desert, have been conceptualized by regional archaeology as a marginal or internodal space, whose vestiges of human activities refer mainly to the access of coastal populations to its lithics quarries and minerals (Blanco et al 2010, Blanco 2015, Gallardo and Ballester 2010), or to the caravan transits that connected the populations of the highlands with the coastal populations since the Middle Formative (Berenguer 2004, Berenguer and Pimentel 2006, Blanco et al 2010, Blanco 2012).
Paleontology 
In the Project's area of influence, it was possible to corroborate the presence of paleontological objects (fossils) in the geological unit called Marine Deposits (low succession). In addition to these findings, in a ravine near the Pampa Blanca sector, limestone rocks were identified, transported from the Rencoret Strata unit, a unit that has numerous paleontological antecedents. These transported limestones were found redeposited and currently contained in the Modern Alluvial and Colluvial Deposits unit.
Based on the geological and paleontological antecedents, added to the observations and findings made in the field, a Medium to High paleontological potential and a Fossiliferous paleontological category for the Marine Deposits were determined. In turn, for the alluvial and colluvial deposits, a medium to low paleontological potential and a Susceptible category were determined, with the exception of the aforementioned ravine, where blocks from the Rencoret Strata occur. For this exclusive sector, a medium to high paleontological potential was determined, and a corresponding Fossiliferous category, following the current CMN criteria (2016). In the case of regoliths, in addition to the units called La Negra Formation, Quebrada Mala Formation, Cerro Cortina Strata, Algorta Strata, Oligocene-Lower Lower Miocene alluvial deposits, Baquedano Gravels, Lower Miocene-Lower Upper Miocene alluvial deposits, Ancient alluvial and colluvial deposits, Modern alluvial and colluvial deposits, and Holocene alluvial and lagoonal deposits, a Low to Medium potential and a Susceptible paleontological category were determined for all of them.

Finally, the intrusive units Oficina Ercilla Batholith, Mejillones Gabro, Cerro Fortuna Dioritoides, Naguayán Plutonic Complex, Los Dones Plutonic Complex, Hypabyssal Intrusives; Sierra Miranda-Cerro Camaleón Rhyolites volcanic unit; and anthropic unit Anthropic deposits, were assigned a Low to Null paleontological potential and a Sterile paleontological category, due to their genesis.

TRS Pampa Blanca 2024
Pag. 156


17.1.2 Environmental Impact Study
Regarding the Pampa Blanca Expansion, the EIA submitted by the company and approved by RCA N°319/2013 analyzed the project activities and their potential environmental impacts. The following table shows the environmental components that could be directly or indirectly affected during the different phases of the project accordingly with the information submitted in the environmental assessment process.
Table 17-1. Environmental impacts of the Pampa Blanca project and committed measures
Phase in which it occurs  Environmental component  Impact 
Construction Physical environment Health risk to the population from particulate matter emissions
Risk to the health of the population due to noise emissions
Risk of changes in groundwater quality due to eventual spills in industrial area N° 2
Biotic environment Possible alteration in abundance of Sterna lorata (Little Tern) due to loss of habitat quality
Possible alteration in the abundance of the Larus modestus (Gaviota garuma) population due to loss of habitat quality.
Possible alteration in the abundance of the population of Haematopus palliatus (Pilpilén) due to loss of habitat quality.
Possible alteration in the abundance of the Microlophus quadrivitattus (Four-banded Runner) population, due to loss of habitat quality.
Marine environment Possible alteration of the physical-chemical quality of the seawater column due to the construction of the seawater intake system.
Alteration of the abundance of biological resources and species as a result of seawater adduction.
Historical, archaeological, and cultural aspects Heritage impact due to areal works
Cultural heritage impact due to linear works
Paleontology Alteration of paleontological heritage due to construction of linear works in linear sector A
Landscape Alteration of the landscape value due to the construction and habilitation of industrial areas
Alteration of the landscape value due to construction of aqueduct and electric transmission line in the linear sector A
Alteration of landscape value due to construction of power transmission line in linear sector B
Alteration of landscape value due to construction of power transmission line in linear sector C
TRS Pampa Blanca 2024
Pag. 157


Operation Physical environment Health risk to the population from particulate matter emissions
Risk to the health of the population due to noise emissions
Landscape Alteration of landscape value due to caliche extraction and stockpile operation
Hydrology Risk of changes in groundwater quality due to infiltration of solutions in industrial area N°2
Biotic environment Alteration in the abundance and distribution of bird fauna populations due to flight path barriers.
Marine environment Decrease in planktonic communities due to the operation of the seawater adduction system.
Historical, archaeological, and cultural aspects Alteration of the patrimony by exploitation of mining areas
For those significant environmental impacts defined in the RCA, management measures were designed to mitigate, repair, and compensate the relevant affected elements. See Table 17-2.

17.2OPERATING AND POST CLOSURE REQUIREMENTS AND PLANS

17.2.2 Waste Disposal Requirements and Plans 
Two types of waste are generated during mining operations. Mineral and non-mineral wastes.
1. Mineral waste 
It should be noted that the Site has been in the reopening phase since December 23, 2021. Since then, repair, maintenance, replacement and/or renovation activities have been carried out on the facilities and equipment that were temporarily paralyzed. suit them for your operation. Additionally, and as indicated by SERNAGEOMIN in RE 802/2019 that approves the Temporary Closure Plan of the site, it establishes in its first resolution, literal b.7 "Facilities that temporarily paralyze their operations", that the possibility remains active to extract salts rich in nitrate collected at the site, for processing at other sites. In the same way, the removal of discard salts is carried out, collecting them in sectors enabled for that.
Mining residues come from material from nitrate salt-rich evaporation pool ponds and leaching piles (caliche). Mineral waste management is as indicated in the closure plan section.
2. Non-mineral waste.  

Two types of industrial waste are generated:

–Mining waste corresponding to discarded salts from evaporation ponds which are deposited in area authorized by Sernageomin
–non-hazardous industrial waste such as liner, pipes, scrap metal, among others, and hazardous waste such as oil and batteries which are deposited in an authorized location.
17.2.1 Monitoring and Management Plan Established in the Environmental Authorization
The last project presented through an Environmental Impact Assessment system called “Pampa Blanca Expansion", approved through RCA 319/2013, was submitted through an Environmental Impact Assessment (EIA) given the generation of significant impacts in the habitat and population of the specie Microlophus quadritattus (four banded runner) and for the intervention of 13,893 heritage elements. 
The following table shows the measures committed to address the significant and not significant impacts of the project.
TRS Pampa Blanca 2024
Pag. 158


Table 17-2. Mitigation, Remediation and Compensation Plan 
Measure type 
Phase
Environmental component
Measures
Mitigation Construction Biotic environment Installation of appropriate signage to identify the presence of Microlophus quadrivattus. 
Implementation of a rescue and relocation plan for Microlophus quadrivattus, to avoid affecting the population present in the area.
Construction, operation Historical, archaeological, and cultural aspects Establishment of two exclusion areas representative of the historical and pre-Hispanic occupations observed during the project baseline. 
Perimeter topographic and photographic survey and context description of the elements incorporated in the exclusion areas. 
Field definition of the exclusion areas. The polygons will be established by topographers advised by the archeology team, to install a protective perimeter fence. The fenced area will have a buffer of at least 50 meters for the area located in the mining zone and 25 meters for the area located in the industrial zone. 
Signs will be posted in the polygons defined for the two exclusion areas. 
Biannual monitoring of the conservation status of the sites registered in the exclusion areas.
Compensation - Historical, archaeological, and cultural aspects Exhibition of elements of the history of saltpeter and Pampan identity reflected in daily life. 
Implementation of conservation measures while the recovered materials are being processed for their destination, as well as during transport. 
Elaboration of a public cadaster (documentary information system) where the archaeological information is exhibited, along with photos and/or illustrations of the saltpeter cycle. It could be exhibited from the SQM portal, or through the development of another web portal. 
Compilation and exhibition of the narrative associated with the saltpeter cycle (stories and novels), to rescue the oral tradition and its use as documentary material. 
A virtual tool will be developed, based on the use of Geographic Information Systems (GIS) that will make it possible to disseminate in a clear and simple way how the space was used by the pre-Hispanic populations. As in the case of the saltpeter cycle, it could be exhibited from the SQM portal, or through the development of another web portal. The platform will include information on the legal protection status of archaeological heritage in general, and the appropriate measures and behavior when making archaeological finds.
Other measures Construction Air quality Stabilization of the main access road to the industrial zone (Sectors 1 and 2), including access from Route 5. The owner must keep available, at the request of the authority, the maintenance records of the roads to which bischofite stabilization will be applied, indicating at least the date, section, and signature of the person in charge.  
Wetting of unpaved secondary roads, with 75% abatement of emissions. Monthly efficiency measurements will be taken.  
Moistening of areas where earthworks are carried out. 
Preparation and compaction of soil and unpaved areas where vehicles and machinery circulate. 
Transport of material with covered loads. 
Restriction of vehicle speeds. 
Requiring all contractors to carry out the required inspections and maintenance of all machinery and equipment, especially those elements intended to control noise emissions (mufflers). 
Restriction on the use of horns. 
Use of machinery and tools in a good state of maintenance, according to the manufacturer's specifications.
TRS Pampa Blanca 2024
Pag. 159


Biotic environment Identification of possible nesting sites of Sterna lorata (Little Tern), Haematopus palliatus (Pilpilén) and Larus modestus ( Garuma Gull). If nesting sites are identified, signs will be installed to identify their presence to avoid affecting them, and any activity will be prohibited during the nesting season. 
There will be combs on the signage, specially designed to prevent birds from nesting, to avoid the nesting of predatory birds of prey that prey on the species. 
The activities of the construction phase that will be developed in the sectors of greatest risk (Ex Oficina Ercilla and Sierra Valenzuela sectors), will be carried out outside the reproductive period (September-February) of Larus Modestus. 
Development of a micro-routing, with an accredited professional, to carry out an inspection and survey of the work areas for the linear works of Section A, to release sectors that do not present evidence of nesting of Garuma Gull. 
If the presence of Larus modestus pairs, eggs, chicks and/or fledglings is detected, access and any activity related to the construction of the project in these areas will be prohibited while there is activity of this species. 
Monitoring will be carried out in the sectors at greatest risk (Ex Oficina Ercilla and Sierra Valenzuela) and will consist of three field campaigns that will be carried out during the months of greatest reproductive activity (November, December, and January) and a report will be generated for each campaign that will be submitted to the authorities, detailing the activities carried out, the results obtained, and the pertinent recommendations. Based on these reports, the need to maintain, reduce, modify, or take new corrective or mitigation actions can be evaluated. This monitoring will be carried out for a period of three reproductive periods of the species. 
The areas of intervention and machinery traffic will be delimited to restrict movements to sectors that do not compromise the habitat of the Lesser Tern, Lesser Black-backed Tern, and Lesser Black-backed Gull. 
The circulation of pedestrians, vehicles or machinery will be prohibited in the nesting areas of the Little Tern and Pilpilén located in the sectors adjacent to the limits of the construction of the project. 
Inductive talks will be given to contractors on the environmental value of the Little Tern, Garuma Gull, and Pilpilén, and the precautions to be taken during construction work. 
The implementation of the proposed measures will be coordinated with the “Fundación para la Sustentabilidad del Gaviotín Chico”. 
Installation of flight diverters in areas of the TL. 
Installation of "SuperbirdXPellerPro" bird and fauna repelling devices in facilities that could form bodies of water. 
Perimeter closure of the industrial sector where the seawater ponds will be located to prevent the entry of fauna. 
Application of wildlife treatment procedures in the event of a wildlife sighting and/or presence. 
The concessionaire agrees to participate in public-private partnerships that allow for the conservation and protection of the Larus modestus species.
Human environment Hiring local and communal labor will be favored, with special emphasis on the communes of Sierra Gorda and Mejillones. 
Talks and training will be given to the people who will work on the project to encourage and promote responsible behavior in the community living near the project. 
For the acquisition of supplies and materials, and given equal conditions, preference will be given to local companies, followed by regional companies, and finally national and foreign companies. 
Food services and personnel transportation will be contracted preferably from local and community suppliers.
Paleontology Paleontological monitoring during the installation of the aqueduct, to minimize impacts on sectors with heritage value and/or recover fossil pieces that may eventually appear during work involving intervention of the stratum. 
If fossils are recovered, they will be sent to an institution that will ensure their conservation and enhancement.
Landscape The appropriate location of the works, and the minimization of the levels of disturbance and repetition of basic elements will be favored.
TRS Pampa Blanca 2024
Pag. 160


Operation Physical environment Stabilization of the main access road to the industrial zone (Sectors 1 and 2), including access from Route 5. The owner must keep available, at the request of the authority, the maintenance records of the roads to which bischofite stabilization will be applied, indicating at least the date, section, and signature of the person in charge. 
Wetting of unpaved secondary roads, with 75% abatement of emissions. Annual efficiency measurements will be taken. 
Commitment to caliche extraction rate in sector 4 of 18.65 million tons/year. 
Moistening of areas where earthworks are carried out. 
Preparation and compaction of soil and unpaved areas where vehicles and machinery circulate. 
Transport of material with covered loads. 
Registration of vehicle speeds. 
Requiring all contractors to carry out the required inspections and maintenance of all machinery and equipment, especially those elements intended to control noise emissions (silencers). 
Restriction on the use of horns 
Use of machinery and tools in a good state of maintenance, according to the manufacturer's specifications. 
The licensee will keep the current calibration certificates of the machines used for melting HDPE membranes available for the state environmental agencies. 
A leach pad construction report will be submitted to the Regional Directorate of the DGA, including photographs of each stage and certification of the binder joints. In addition, the start date of this activity will be informed in advance. 
Any changes in the location of the solar evaporation ponds will be reported to the relevant agencies. 
The General Water Directorate will be informed in advance about the supply of water from third parties (source, catchment point, sectorial and environmental authorizations that may apply). 
Background information will be submitted to the Municipal Works Department of Mejillones Commune on the handling of excess material generated from excavations carried out in the Commune. 
A final construction report of the evaporation ponds, seawater ponds, industrial water ponds and neutralization ponds will be sent to the Regional Directorate of the DGA, which must include photographs of each stage and the appropriate certifications. 
Companies supplying aggregates and borrow materials must have all the environmental authorizations. This information must be submitted to the Superintendency of the Environment prior to the purchase of these inputs.
Biotic environment Installation on the guard cable of spiral and firefly type flight diverters, whose material allows them to glow for up to 10 hours during the night. 
In the case of Sterna lorata, the deterrents will be placed between vertices 1 to 19, in the area between the coast and route 1. 
In the case of Larus modestus, the deterrents will be placed in the nearby nesting areas or routes, between vertices 94 to 147. 
In the highest risk sectors (Ex Oficina Ercilla and Sierra Valenzuela sectors), anti-equalization and anti-electrocution elements will be placed on the power lines, as well as the use of supports with anti-nesting systems or vertical hanging insulators. 
A wildlife management procedure will be implemented. It should be noted that the owner is expected to assume the costs of rescue and rehabilitation. 
A final monitoring report will be submitted at the end of the maritime works emplacement activities during the construction phase. The monitoring will be carried out with three stations adjacent to the works and one control station, and the parameters total suspended solids, dissolved oxygen, and turbidity in the marine environment will be measured. This report will be submitted to the Maritime Governor's Office and the Superintendency of the Environment.
Human environment Hiring local and communal labor will be favored, with special emphasis on the communes of Sierra Gorda and Mejillones. 
Talks and training will be given to the people who will work on the project to encourage and promote responsible behavior in the community living near the project. 
For the acquisition of supplies and materials, and all other things being equal, preference will be given to local companies, followed by regional companies, and finally national and foreign companies. 
Food services and personnel transportation will be contracted preferably from local and community suppliers.
Source: own elaboration 
Additionally, the project committed some monitoring activities to follow up the different components during the construction and operation of the project.
TRS Pampa Blanca 2024
Pag. 161


Table 17-3. Environmental Monitoring Plan 
Phase Environmental Component Measure Details
Construction Archaeology Exclusion area N°2 monitoring Monitoring will be done through a visual inspection of the perimeter closures, signage, and control sectors. The frequency of monitoring will be every six months, prior to the construction phase and until abandonment. 
In addition, during the construction phase and on the sites that will be intervened, reports will be sent to the National Monuments Council through the authorizations for the intervention or release of work areas.
Biotic environment Microlophus quadrivitattus monitoring Monitoring of individuals and areas used for the relocation of this species will be carried out. Monitoring will be carried out 15 days after capture, and then every 3 months in the first year and every 6 months thereafter, until 2 years of monitoring are completed.
Operation Archaeology Exclusion areas N°1 and N°2 monitoring Monitoring will be done through a visual inspection of the perimeter closures, signage, and control sectors. The frequency of monitoring will be every six months, prior to the exploitation and intervention phase of mine sectors 3 and 4, until abandonment.
Other construction measures Biotic environment Identification and georeferencing of Sterna lorata nesting sites Recording will be carried out in a 500-meter strip along the axis of the route of the linear works located in the potential nesting area of the species on the Mejillones coast. The activity will be carried out bimonthly during the reproductive phase (July to February).
Identification and georeferencing of Larus modestus nesting sites Recording will be carried out in a 500-meter strip along the route of the linear works located in the potential nesting area of the species, in the section that crosses the coastal mountain range and part of the inland desert of the Antofagasta Region. The activity will be carried out every two months during the reproductive phase (November to February).
Identification and georeferencing of Haematopus palliatus nesting sites Recording will be carried out in a 500-meter strip along the route of the linear works located in the potential nesting area of the species, along the coastal border around the Mejillones cliffs. The activity will be carried out every two months during the reproductive phase (October to February).
Larus modestus monitoring in Ex Oficina Ercilla and Sierra Valenzuela sectors. Monitoring will be carried out in the sectors at greatest risk (Ex Oficina Ercilla and Sierra Valenzuela) and will consist of three field campaigns, which will be carried out in the middle of the months of greatest reproductive activity (November, December and January), and a report will be generated for each campaign, which will be submitted to the authorities and will detail the activities carried out, the results obtained and the pertinent recommendations. 
The monitoring will be carried out for a period of three reproductive periods of the species.
Physical Environment Air quality monitoring Measurements of air quality levels (MP10) will be made in the town of Baquedano by means of a discrete type Monitoring Station with a Hi Vol monitor. The monitor will be in operation prior to the construction and operation phase of the mine areas, to improve the knowledge of the baseline situation, and then continue with a 5-year period, which covers the construction and 3 years of operation.
Assessment of the contribution to air quality An evaluation of the air quality contribution of this Project will be carried out annually, considering the variation in the generation of emissions, according to the update of the Mining Plan.
Marine environment Dissolved oxygen monitoring Dissolved oxygen monitoring will be conducted during the excavation phase for the marine works.
Marine water quality monitoring The following variables will be monitored: suspended material and turbidity. In case the values of total suspended solids exceed 400 mg/L, maritime works will be suspended until it returns to its previous conditions.
Paleontology Paleontological resource monitoring Paleontological monitoring will be carried out by a professional paleontologist, geologist, or biologist with experience in paleontology, and a report will be submitted to the National Monuments Council. The monitoring will be carried out once during the construction phase.
TRS Pampa Blanca 2024
Pag. 162


Other construction measures Biotic environment Identification and georeferencing of Sterna lorata nesting sites Recording will be carried out in a 500-meter strip along the axis of the route of the linear works located in the potential nesting area of the species on the Mejillones coast. The activity will be carried out bimonthly during the reproductive phase (July to February).
Identification and georeferencing of Larus modestus nesting sites Recording will be carried out in a 500-meter strip along the route of the linear works located in the potential nesting area of the species, in the section that crosses the coastal mountain range and part of the inland desert of the Antofagasta Region. The activity will be carried out every two months during the reproductive phase (November to February).
Identification and georeferencing of Haematopus palliatus nesting sites Recording will be carried out in a 500-meter strip along the route of the linear works located in the potential nesting area of the species, along the coastal border around the Mejillones cliffs. The activity will be carried out every two months during the reproductive phase (October to February).
Larus modestus monitoring in Ex Oficina Ercilla and Sierra Valenzuela sectors. Monitoring will be carried out in the sectors at greatest risk (Ex Oficina Ercilla and Sierra Valenzuela) and will consist of three field campaigns, which will be carried out in the middle of the months of greatest reproductive activity (November, December and January), and a report will be generated for each campaign, which will be submitted to the authorities and will detail the activities carried out, the results obtained and the pertinent recommendations. 
The monitoring will be carried out for a period of three reproductive periods of the species.
Physical Environment Air quality monitoring Measurements of air quality levels (MP10) will be made in the town of Baquedano by means of a discrete type Monitoring Station with a Hi Vol monitor. The monitor will be in operation prior to the construction and operation phase of the mine areas, to improve the knowledge of the baseline situation, and then continue with a 5-year period, which covers the construction and 3 years of operation.
Assessment of the contribution to air quality An evaluation of the air quality contribution of this Project will be carried out annually, considering the variation in the generation of emissions, according to the update of the Mining Plan.
Marine environment Dissolved oxygen monitoring Dissolved oxygen monitoring will be conducted during the excavation phase for the marine works.
Marine water quality monitoring The following variables will be monitored: suspended material and turbidity. In case the values of total suspended solids exceed 400 mg/L, maritime works will be suspended until it returns to its previous conditions.
Paleontology Paleontological resource monitoring Paleontological monitoring will be carried out by a professional paleontologist, geologist, or biologist with experience in paleontology, and a report will be submitted to the National Monuments Council. The monitoring will be carried out once during the construction phase.
Source: own elaboration 

Requirements and plans for water management during operations and after closure. 

17.3ENVIRONMENTAL AND SECTORIAL PERMITS STATUS
The Pampa Blanca mine, as indicated in Section 1.1 to the Environmental Impact Assessment System (SEIA) a total of 4 times.
–Florence Solar Evaporation Plant, (EIA, 1999)
–New Pampa Blanca Salt Disposal Field (DIA, 2009) 
–Pampa Blanca Mine Zone (EIA, 2010) 
–Pampa Blanca Expansion (EIA, 2013) 
Currently, the Environmental Impact Statement (EIS) "Modification of the Pampa Blanca Mining Facility through the Incorporation of a New Waste Salt Storage Area" is under environmental assessment, for which the first round of responses to the observations received by the services was delivered. Additionally, the environmental assessment of the Pampa Blanca Seawater Pumping System project is being prepared, which includes the mine area and the seawater pumping system for future operation.
All these studies were approved by the corresponding environmental authority, however, only the EIA Florencia Solar Evaporation Plant was executed.  
TRS Pampa Blanca 2024
Pag. 163


According to current legislation, the General Environmental Law and Supreme Decree 132 of 2002, which approves the Mining Safety Regulations, there are a series of permits required to operate a mining project. These are the sectorial permits, which can be filed with SERNAGEOMIN, or another service with competence of sectoral environmental permits.
In the following table are mentioned the sectorial permits defined in the RCA 021/1999, as is the only project that have been executed.
Table 17-4 Sectorial Permits defined the RCA "Florencia Solar Evaporation Plant".

Table 17-4. Sectorial Environmental Permits.
Project RCA Permits N° Permit Name
Solar evaporation plant Florence 021/1999 88 Permission to establish a reserve of mining waste and tailings dumps.

These permits are found in the old regulations of the environmental impact assessment system, repealed by decree 40 of 2013. In addition, Pampa Blanca has an Exploitation Method and benefit authorized by Sernageomin through:
•Resolution Ex 1499/2000. Modification of the Exploitation of Calichera Quarries.
On the other hand, the Exempt Resolutions issued by the National Geology and Mining Service (SERNAGEOMIN) associated with the site correspond to:
•Exempt Resolution N°821/2009 authorizing Pampa Blanca Closure Plan.
•Exempt Resolution N°368/2010 authorizing the Temporary Closure of Pampa Blanca.
•Exempt Resolution N°1346/2012 authorizing the extension of the Temporary Closure, Pampa Blanca Closure Plan.
•Exempt Resolution N°1424/2015 that approves the project (Valorization) of the Closure Plan of the Pampa Blanca Mining Plant.
•Exempt Resolution N°2873/2017 that favorably qualifies the guarantee accumulated to 2017 of the valorization projects for the Closure Plan of the Mine "Pampa Blanca".
•Exempt Resolution N°802/2019 that approves the project Temporary Closure Plan for the Pampa Blanca Mine.
•Exempt Resolution N°1304/2020 that approves the Expansion of the Temporary Closure Plan for the Pampa Blanca Mine.

•Exempt Resolution N°0292/2023 that approves of the Closure, Pampa Blanca Closure Plan.

•Exempt Resolution N°0224/2024 Authorization for waste disposal -Storage of waste as a waste dump”
17.4SOCIAL AND COMMUNITY

17.4.1 Plans, Negotiations or Agreements with Individuals or Local Groups 
The company has established agreements with indigenous and non-indigenous organizations on different aspects that derive both from previous commitments and from programs associated with corporate policies on community relations, for example:
–Antofagasta Educa Program through the Entrepenuer Foundation, in the schools of Estación Baquedano G-130 and Complejo Educativo Caracoles.

–Working with Chacabuco Corporation on issues of heritage significance

TRS Pampa Blanca 2024
Pag. 164


17.4.2 Local hiring commitments 
Communication has been established with the OMIL of the Sierra Gorda Municipality, where job vacancies are sent via email on a weekly basis.
17.4.3 Social Risk Matrix 
The social risk matrix classifies the various impacts that SQM's activities could have on its operations, reputation, regulatory compliance and commitment to sustainability. In this way, the impacts are classified by probability of occurrence, from improbable to almost certain, and their consequences, from negligible to very high.
Based on the results of this classification, an analysis can be made to distinguish between the locations analyzed, the associated risk level (low, medium, significant or extreme), priority (low, medium or high) and the operation to which it is associated.

This allows a clear focus on the sectors and areas that could be affected and, based on the results provided by the risk matrix, to monitor and establish programs to identify threats and opportunities for improvement.

Although it is not possible to provide detailed information on the matrix due to the company's confidential analysis, it can be noted that no risks classified as extreme have been identified.
17.5MINE CLOSURE

17.5.1 Closure, Remediation, and Reclamation Plans  
In accordance with the provisions of Law No. 20,551, Res. Ex. No. 0040/2020 and Res. Ex. No. 1092/2020, the Update of the Pampa Blanca Slaughter Closure Plan, approved by Res. Ex. 292/2023.
During the abandonment stage of the Project, the measures established in the Update of the Closure Plan "Faena Minera Pampa Blanca" approved by the National Geology and Mining Service (SNGM), through Resolution N° 292/2023, will be complied with.
Among the measures to be implemented are the removal of metal structures, equipment, materials, panels and electrical systems, de-energization of facilities, closure of accesses and installation of signage. The activities related to the cessation of operation of the site will be carried out in full compliance with the legal provisions in force at the date of closure of the site especially those related to the protection of workers and the environment.  
•Closing measures 
The current Partial Temporary Closure Plan (approved by Resolution N° 1.304/2020) corresponds to an extension of the temporary closure plan of the Pampa Blanca Mining Site approved by Res Exe. N° 0802/2019, considering January 09, 2018, as the starting date of the temporary closure. The definitive total closure of the operation is estimated for the year 2044, according to Res Exe. N° 1.424/2015. The activities associated with this partial temporary closure are the removal of remaining explosives, closure of the explosive’s storage area, road closures, and installation of signage. During the shutdown period there will be monthly visual inspections and an inspection after relevant natural events, such as earthquakes, heavy rains or other.
The last report of closure mine plan includes all closure measures and actions included in the documents of the Environmental Qualification Resolution (RCA) and sectorial resolutions, including the closure plans approved by Resolution No. 1424/2015. The closure measures and actions are presented below. See Table 17-5.

Table 17-5. Closure measures and actions of the Closure Plan for the Pampa Blanca Mine for the remaining installations. 

Installation Closure measure Description Fountain
TRS Pampa Blanca 2024
Pag. 165


Mine (Caliche) Overload deposition and
Leaching heap materials as sector backfill
already exploited.
Overhead deposited on sites
Previously used in mine operation
Resolution No. 0292/2023 RCA 278/2010
Explosives removal
Remnants and closure of powder magazine.
The trigger storage enclosure shall be closed,
detonating cord and
Resolution No. 0292/2023 RCA 278/2010
Road closures Closing parapet with overload at the main entrances. The parapet will have a volume of 5.25 m3 triangular section Resolution No. 0292/2023 RCA 278/2010
Signage Installation of Signage indicating the prohibition of income Resolution No. 0292/2023 RCA 278/2010
Leaching Slope stabilization of leaching piles Once the Closure Plan has begun, your risk will be evaluated and analyzed, taking measures to ensure the stability Resolution No. 0292/2023 RCA 278/2010
In COM I protect and / or remove structures, ponds, panels, equipment, and electrical systems. It will be dismantled (in if necessary) Resolution No. 0292/2023 RCA 278/2010
Drying pools in COM They will remain full until they dry by evaporation. Resolution No. 0292/2023 RCA 278/2010
Removal of pipes and pumps Elimination of hydraulic and electrical irrigation systems and solution management Resolution No. 0292/2023 RCA 278/2010
Removal and de-energization of power lines Connections to electrical substations will be removed Resolution No. 0292/2023 RCA 278/2010
Road closures Closing parapet with overload at the main entrances the parapet will have a volume of 5.25 m3 Triangular section Resolution No. 0292/2023 RCA 278/2010
Signage Installation of Signage indicating the prohibition of income Resolution No. 0292/2023 RCA 278/2010
Industrial water supply Removal of structures, panels, system
electrical and equipment.
Removal of structures Resolution No. 0292/2023
Removal of pipes and pumps Removal of structures Resolution No. 0292/2023
Removal and de-energization of power lines Connections to the Electrical substations Resolution No. 0292/2023
Road closures Closing parapet with overload on Main Entrances
The parapet will have a volume of 5.25 m3
Triangular section
Resolution No. 0292/2023
Signage Installation of Signage indicating the prohibition of income Resolution No. 0292/2023
Iodide plant Safeguarding and/or removal of structures, ponds, panels, equipment, substations, and electrical systems It will be dismantled
Structures
Resolution No. 0292/2023
De-energization of installations The Connections to the Substations Electrical Resolution No. 0292/2023
Safeguarding and dismantling of buildings It will be dismantled Structures Resolution No. 0292/2023
Road closures Closing parapet with overload on Main Entrances
The parapet will have a Volume of 5.25 m3 Triangular section
Resolution No. 0292/2023
Signage Installing Señaléticas indicating the Prohibition of income Resolution No. 0292/2023
TRS Pampa Blanca 2024
Pag. 166


Evaporation pools Removal of metal structures, pipes,
pumps, electrical systems, and equipment
Removal of structures
(if necessary)
Resolution No. 0292/2023
De-energization of installations The Connections to the Substations Electrical Resolution No. 0292/2023
Road closures Closing parapet with Main Entrances
The parapet will have a Volume of 5.25 m3 Triangular section
Resolution No. 0292/2023
Signage Installation of Signage indicating the prohibition of income Resolution No. 0292/2023
Support facilities System retirement electrical and Structures Connections to the
Electrical substations
Resolution No. 0292/2023
De-energization of installations The Connections to substations Electrical Resolution No. 0292/2023
Hazardous Waste Removal and Final Disposal Waste Removal Dangerous from Patio authorized to Final Provision Resolution No. 0292/2023
Non-Hazardous Waste Removal Waste Removal Non-Hazardous from Patio authorized to Final Provision Resolution No. 0292/2023
Source: Res Exe. N°0292/2023

There are no post-closure commitments associated with sectoral resolutions or environmental qualification resolutions (RCA).

1.Risk analysis  
SERNAGEOMIN, in consideration of Law 20,551 and Supreme Decree No. 41/2012, requests owners to carry out a risk assessment that considers the impacts on the health of people and the environment in the context of the closure of the mining site at the end of its useful life. This risk assessment was carried out considering the Risk Assessment Methodology for Mine Closure currently in force. The results of the evaluation indicate that the risks associated with the remaining facilities of the Pampa Blanca Slaughter are indicated below:
TRS Pampa Blanca 2024
Pag. 167


Table 17-6. Risk assessment of the main facilities of the Pampa Blanca Site
Registration
Risks
Level
Significance


MR1
MR1. P
To people for failure in the slope of the pit, which exceeds the exclusion zone due to an earthquake
Low
Not significant
MR1.MA
To the environment due to fault in the slope of the pit, which exceeds the exclusion zone due to an earthquake
Low
Not significant


MR2
MR2. P
To people for infiltration of DAR from the mine
Low
Not significant
MR2.MA
To the environment by infiltration of DAR from the mine
Low
Not significant
Leaching piles


DE1
DE1. P
People from groundwater pollution due to rain
LOW
Non-Significant
DE1.MA
To the Environment due to groundwater pollution due to rain
LOW
Non-Significant


DE2
DE2. P
People for groundwater contamination due to flooding
LOW
Non-Significant
DE2.MA
To the Environment due to groundwater pollution due to a flood
LOW
Non-Significant


DE3
DE3. P
People due to emissions of particles into the atmosphere due to wind
LOW
Non-Significant
DE3.MA
To the Environment due to emissions of particles into the atmosphere due to wind
LOW
Non-Significant


DE4
DE4. P
People for surface water pollution due to heavy rain
LOW
Non-Significant
DE4.MA
To the Environment due to contamination of surface water due to heavy rain
LOW
Non-Significant

TRS Pampa Blanca 2024
Pag. 168


Registration
Risks
Level
Significance


DE5
DE5. P
People due to flooding of surface water
LOW
Non-Significant
DE5.MA
To the Environment due to flooding of surface water
LOW
Non-Significant


DE6
DE6. P
People due to water erosion due to heavy rain or delayed snowmelt
LOW
Non-Significant
DE6.MA
To the Environment due to water erosion due to rain or heavy delayed snowmelt
LOW
Non-Significant

DE7
DE7. P
People by landslide because of an earthquake.
LOW
Non-Significant
DE7.MA
To the Environment by landslide due to an earthquake.
LOW
Non-Significant
Solar evaporation pools


DE3

DE3. P
People for particulate matter suspended by wind

Low

Not significant

DE3.MA
To the Environment for particulate matter suspended due to wind

Low

Not significant


DE6

DE6. P
People due to slope failure due to water erosion

Low

Not significant

DE6.MA
To the Environment due to slope failure due to water erosion

Low

Not significant

DE7

DE7. P

People due to slope failure due to an earthquake

Low

Not significant
    
Registration
Risks
Level
Significance

DE7.MA
To the Environment due to slope failure due to an earthquake

Low

Not significant
Discard salts


DE3

DE3. P
People for particulate matter suspended by wind

Low

Not significant

DE3.MA
To the Environment for particulate matter suspended due to wind

Low

Not significant


DE6

DE6. P
People due to slope failure due to water erosion

Low

Not significant

DE6.MA
To the Environment due to slope failure due to water erosion

Low

Not significant


DE7

DE7. P

People due to slope failure due to an earthquake

Low

Not significant

DE7.MA
To the Environment due to slope failure due to an earthquake

Low

Not significant
TRS Pampa Blanca 2024
Pag. 169


17.5.2 Closing costs
The total amount of the closure of the Pampa Blanca mine site, considering closure detail in the valorization of de closure plan approved by Res Exe. N°0292/2023, sum 42.841 UF:
Table 17-7. Pampa Blanca Mine site closure Costs
Item  
Total (UF) 
Total direct closing cost  21,555
Indirect cost and engineering  2,155
Contingencies (20% CD + CI)  5,928
Subtotal  29,638
IVA (19%)   5,361
Closing Plan Amount (UF)   35,269
Source: Valorization of de closure plan approved by Res Exe. N°0292/2023, 

Table 17-8. Post-closure costs of Pampa Blanca
Article Total (UF)
Cost them directly 4,628
Indirect costs and administration 463
Contingencies 1,273
VAT (19%) 1,209
Contribution to the amount of Post Closing (UF) 7,572

The result of the calculation of the useful life for the Pampa Blanca mine according to the Res Exe. N°0292/2023 is 30 years. The constitution of the guarantees will be carried out as follows.
The end of operations will be 2035, and the closure period will be from 2036 to 2040. 




TRS Pampa Blanca 2024
Pag. 170


Table 17-9. Constitution of the Guarantees of Pampa Blanca Mine Closure Plan.
Year Guarantee UF
7 16.626
8 18.646
9 20.722
10 22.855
11 25.046
12 27.297
13 29.608
14 31.982
15 34.419
16 34.924
17 35.438
18 35.959
19 36.487
20 36.572
21 36.659
22 38.120
23 38.681
24 39.249
25 39.826
26 40.412
27 41.006
28 41.608
29 42.220
30 42.841
31 42.841
32 42.841
33 42.841
34 42.841
35 42.841
Source: Valorization of de closure plan approved by Res Exe. N°0292/2023.


TRS Pampa Blanca 2024
Pag. 171


18 CAPITAL AND OPERATING COSTS
This section contains forward-looking information related to capital and operating cost estimates for the Project. The material factors that could cause actual results to differ materially from the conclusions, estimates, designs, forecasts or projections in the forward-looking information include any significant differences from one or more of the material factors or assumptions that were set forth in this section including prevailing economic conditions continue such that unit costs are as estimated in constant (or real) dollar terms, projected labor and equipment productivity levels and that contingency is sufficient to account for changes in material factors or assumptions.
The main facilities for producing iodine and nitrate salts at the Pampa Blanca Site are as follows:
–Caliche Mining
–Heap Leaching
–Iodide & Iodine Plants
–Solar Evaporation Ponds
–Water Resource Provision
–Electrical Distribution System
–General Facilities
18.1.CAPITAL COSTS
The main facilities are already developed, it is necessary to generate the reopening of this facilities. These facilities are for the production operations of Iodine and nitrate salts, include caliche extraction, leaching, water resources, Iodide production plant, solar evaporation ponds, as well as other minor facilities. Offices and services include, among others, the following: common areas, supply areas, powerhouse, laboratory and warehouse.
The capital cost that will be invested in 2024 is about USD 42 million with the relative expenditure by major category as shown in Table 18-1.

Table 18-1. Summary of Capital Expenses for the Pampa Blanca Operations 2024
Capital Cost
% Total MM USD
Category 100% 42
Caliche Mining (*) 22% 9.5
Heap Leaching 21% 9.0
Iodide & Iodine Plant 36% 15.3
Solar Evaporation Ponds 15% 6.2
Water Resources Provision 1% 0.4
Seawater
5% 2.0


18.1.1 Caliche Mining
SQM produces salts rich in iodide in Pampa Blanca and iodine at Nueva Victoria, near Iquique, Chile, mineral caliche extracted from mines at Pampa Blanca.
Capital investment in the mine is primarily for buildings and support facilities and associated equipment. The equipment including trucks, front loaders, bulldozers, drills, wheeldozers and motor graders has a finished useful life.

TRS Pampa Blanca 2024
Pag. 172


18.1.2 Heap Leaching
The leach piles are made up of platforms (normally 90 x 500 m, with perimeter parapets and with a bottom waterproofed with HDPE membranes), which are loaded with the necessary caliche and are irrigated with different solutions (water, mixture or intermediate solution of piles).
The Mine Operation Centers (COM) are a set of leaching heaps that have brine accumulation ponds, recirculated “feeble brine” ponds, industrial water ponds and their respective pumping systems.
Primary capital expenditure is in the form of piping, electrical facilities and equipment, pumps, ponds, and support equipment.
18.1.3 Iodide and Iodine Plants
The main investment in the Iodide Plants is found in tank and decanter equipment, pumps and piping, equipment and electrical facilities, buildings and well.

18.1.4 Solar Evaporation Ponds
These ponds in the industrial area of Sur Viejo and receive the “Feeble Brine” fraction (BF) generated in the process of obtaining iodide, which is transported approximately 20 kilometers each.

18.1.5 Water Resources
Primary investment is in piping, pumps, buildings and wells.
18.2.FUTURE INVESTMENT
With an investment of US$68 million, the initiative aims to reopen the existing mining areas to produce iodide, iodine and salts rich in nitrates at the Pampa Blanca Site.
The project corresponds to a modification of the Pampa Blanca Faena consisting of:
1)There are no new mining areas.
2)New iodide production plant (1,500 t/y each).
3)There are no new Evaporation ponds.
Additional capital for the Long Term is estimated to be USD 68 million. The operating cost is presented in Table 18-2:
    Table 18-2 Estimated Investment
Investment (MUS$)
2025
2026
2027
2028
2029
2030
2031-2040
TOTAL
Pampa Blanca 8 3 4 5 5 5 38 68

18.3.OPERATING COST
The main costs to produce Iodine and Nitrates involve the following components: common production cost for iodine and nitrates, such as Mining, Leaching and Seawater, production cost of iodine in the plant, and the production cost of nitrate before processing at the Coya Sur site.
The production cost of nitrate at Coya Sur Plant and the processing of extra solar salt are added. To the costs indicated above, have been added the Depreciation and Others.
Estimated aggregate unit operating costs are presented in Table 18-3. These are based on historical unit operating costs for each of the sub-categories listed above.
TRS Pampa Blanca 2024
Pag. 173


Over the Long Term, total operating costs are expected to be almost equally apportioned amongst the three primary categories (Common; Iodine Production and Transport; Nitrate Production and Transport).
Table 18-3 Pampa Blanca Operating Cost
Cost Category Estimated Unit Cost
Common (Mining / Leaching/ Water)
6.44 US$/Ton caliche
Iodine Production (including transport to ports)
32,100 US$/Ton iodine
Nitrates Production
85 US$/Ton nitrate
Nitrates Transport to Coya Sur
14 US$/Ton nitrate

19 ECONOMIC ANALYSIS
This section contains forward-looking information related to economic analysis for the Project. The material factors that could cause actual results to differ materially from the conclusions, estimates, designs, forecasts or projections in the forward-looking information include any significant differences from one or more of the material factors or assumptions that were set forth in this sub-section including estimated capital and operating costs, project schedule and approvals timing, availability of funding, projected commodities markets and prices.
19.1PRINCIPAL ASSUMPTIONS
Capital and operating costs used in the economic analysis are as described in Section 18. Sales prices used for Iodine and Nitrates are as described in Section 16. A 5.3% discount rate was used for the cashflow and is deemed reasonable to account for cost of capital and project risk. A 28% income tax rate was considerate and all costs, prices, and values shown in this section are in 2024 US$.
19.2PRODUCTION AND SALES
The estimated production of iodine and nitrates for the period 2025 to 2040 is presented in Table 19-1.
19.3PRICES AND REVENUE
An average sales price of 42.0 USD/kg (42,000 USD/tonne) was used for sales of Iodine based on the market study presented in in Section 16. This price is assessed as FOB port.
As a vertically integrated company, nitrate production from the mining operations are directed to the plant at Coya Sur for the production of specialty fertilizer products. An imputed sales price of 323 USD/Ton was assumed for nitrates salts for fertilizer based on an average sales price of 820 USD/ton for finished fertilizer products sold at Coya Sur, less 497 USD/ton for production costs at Coya Sur.
These prices and the revenue streams derived from the sale of iodine and nitrates is shown in Table 19-2.
TRS Pampa Blanca 2024
Pag. 174



Table 19-1. Pampa Blanca Long Term of Mine Production
MATERIAL MOVEMENT UNITS 2025 2026 2027 2028 2029 2030 2031-2040 TOTAL
Pampa Blanca Sector Ore Tonnage Mt 5.5 5.5 5.5 5.5 5.5 5.5 52.3 85.3
Iodine (I2) in situ ppm 450 437 422 416 409 399 374 392
Average grade Nitrate Salts (NaNO3) % 7.0% 7.0% 7.0% 6.0% 6.0% 6.0% 5.0% 5.4%
TOTAL ORE MINED (CALICHE) Mt 5.5 5.5 5.5 5.5 5.5 5.5 52.3 85.3
Iodine (I2) in situ kt 2.5 2.4 2.3 2.3 2.2 2.2 19.5 33.5
Yield process to produce prilled Iodine % 72.0% 72.0% 72.0% 71.0% 70.0% 70.0% 67.0% 69.0%
Prilled Iodine produced kt 1.8 1.7 1.7 1.6 1.6 1.5 13.2 23.1
Nitrate Salts in situ kt 391 374 358 347 330 319 2,495 4,613
Yield process to produce Nitrates Salts % 35.0% 35.0% 34.0% 34.0% 33.0% 33.0% 33.0% 33.3%
Nitrate Salts for Fertilizers kt 137 129 122 117 110 106 814 1,535



Table 19-2. Pampa Blanca Iodine and Nitrate Price and Revenues
TRS Pampa Blanca 2024
Pag. 175


PRICES UNITS 2025 2026 2027 2028 2029 2030 2031-2040 TOTAL
Iodine US$/t 42,000 42,000 42,000 42,000 42,000 42,000 42,000 42,000
Nitrates delivered to Coya Sur US$/t 323 323 323 323 323 323 323 323
REVENUE UNITS 2025 2026 2027 2028 2029 2030 2031-2040 TOTAL
Iodine US$M 75 73 70 68 67 65 553 970
Nitrates delivered to Coya Sur US$M 44 42 39 38 36 34 263 496
Total Revenues US$M 119 115 109 106 102 99 816 1,466


TRS Pampa Blanca 2024
Pag. 176


19.4OPERATING COSTS
Operating costs associated with the production of iodine and nitrates at Pampa Blanca are as described earlier in Section 18 and are incurred in the following primary areas:
1. Common
2. Iodine Production
3. Nitrate Production
Additional details on operating costs may be found in Section 18.3. Unit costs for each of these unit operations is shown in Table 19-3.
TRS Pampa Blanca 2024
Pag. 177



Table 19-3. Pampa Blanca Operating Costs.
COSTS UNITS 2025 2026 2027 2028 2029 2030 2031-2040 TOTAL
COMMON
Mining US$M 18 18 18 18 18 18 175 285
Leaching w/o Water US$M 6 6 6 6 6 6 61 98
Water w/o Energy US$M 11 11 11 11 11 11 102 166
Total Mining Costs US$M 35 35 35 35 35 35 337 550
IODINE PRODUCTION
Solution Cost US$M 33 33 33 33 33 33 322 521
Iodide Plant US$M 11 11 10 10 10 9 91 142
Iodine Plant US$M 6 6 6 6 5 5 45 79
Total Iodine Production Cost US$M 50 50 49 49 48 48 447 741
Total Iodine Production Cost US$/kg Iodine 27.9 28.6 29.5 30 30.6 31.3 34 32.1
NITRATE PRODUCTION
Solution Cost US$M 3 2 2 2 2 2 15 29
Ponds and preparation US$M 6 6 6 6 5 5 38 72
Harvest production US$M 2 2 2 2 2 2 15 28
Others (G&A) US$M 1 2
Transport to Coya Sur US$M 2 2 2 2 2 1 11 21
Total Nitrate Production Cost US$M 13 13 12 12 11 10 80 151
Total Nitrate Production Cost US$/t Nitrate 99 99 99 99 99 99 99 99
Closure Accretion US$M 0
TOTAL OPERATING COST US$M 63 62 61 60 59 59 528 893

TRS Pampa Blanca 2024
Pag. 178


19.5CAPITAL EXPENDITURE
Much of the primary capital expenditure in the Pampa Blanca Project has been completed.
The most significant proposed future capital expenditure is for the seawater pipeline to support the proposed TEA Expansion Project. This investment is expected to need USD 68 million for 2025-2040.
Additional details on capital expenditures for the Pampa Blanca Project can be found in Section 18.1 and Section 18.2. The estimated capital expenditure for the Long Term (2025 to 2040) is presented in Table 18-2.
19.6CASHFLOW FORECAST
The cashflow for the Pampa Blanca Project is presented in Table 19-4. The following is a summary of key results from the cashflow:
–Total Revenue: estimated to be USD 1,466 million including sales of iodine and nitrates
–Total Operating Cost: estimated to be USD 893 million.
– EBITDA: estimated at USD 573 million
–Tax Rate of 28% on pre-tax gross income
–Capital Expenditure estimated at USD 68 million
– Net Change in Working Capital is based on two months of EBITDA.
–A discount rate of 5.3% was utilized to determine NPV. The QP deems this to be a reasonable discount rate to apply for this TRS which reasonable accounts for cost of capital and project risk.
–After-tax Cashflow: The cashflow is calculated by subtracting all operating costs, taxes, capital costs, interest payments, and closure costs from the total revenue.
–Net Present Value: The after tax NPV is estimated to be USD 273 million at a discount rate of 5.3%.
The QP considers the accuracy and contingency of cost estimates to be well within a Prefeasibility Study (PFS) standard and sufficient for the economic analysis supporting the Mineral Reserve estimate for Pampa Blanca.
TRS Pampa Blanca 2024
Pag. 179


Table 19-4. Estimated Net Present Value (NPV) for the Period

REVENUE UNITS 2025 2026 2027 2028 2029 2030 2031-2040 TOTAL
Total Revenue US$M 119 115 109 106 102 99 816 1,466
COSTS
Total Mining Costs US$M 35 35 35 35 35 35 337 550
Total Iodine Production Cost US$M 50 50 49 49 48 48 447 741
Total Nitrate Production Cost US$M 13 13 12 12 11 10 80 151
Closure Accretion US$M
TOTAL OPERATING COST US$M 63 62 61 60 59 59 528 893
EBITDA US$M 56 52 48 46 43 40 288 573
Depreciation US$M 2 2 3 4 5 4 48 68
Pre-Tax Gross Income US$M 54 50 45 42 38 36 240 506
Taxes 28% 15 14 13 12 11 10 67 142
Operating Income US$M 39 36 33 30 27 26 173 364
Add back depreciation US$M 2 2 3 4 5 4 48 68
NET INCOME AFTER TAXES US$M 41 38 36 34 32 30 221 432
Total CAPEX US$M 8 3 4 5 5 5 38 68
Closure Costs US$M 2 2
Working Capital US$M 0 -1 -1 0 -1 0 -4 (7)
Pre-Tax Cashflow US$M 48 50 45 41 38 36 253 511
After-Tax Cashflow US$M 33 36 32 29 28 26 185 369
Pre-Tax NPV US$M 379
After-Tax NPV US$M 273
Discount Rate US$M 5.3%

TRS Pampa Blanca 2024
Pag. 180


19.7SENSITIVITY ANALYSIS
The sensitivity analysis was carried out by independently varying the commodity prices (Iodine, Nitrate), operating cost, and capital cost. The results of the sensitivity analysis are shown in Figure 19-1 shows the relative sensitivity of each key metric.
Figure 19-1. Sensitivity Analysis
chart-bcbb7d27c3734b3f8d8.jpg
As seen in the above figure, the project NPV is equally sensitive to operating cost and commodity price while being least sensitive to capital costs. This is to be expected for a mature, well-established project with much of its infrastructure already in place and no significantly large projects currently planned during the LOM discussed in this Study. Both iodine and nitrate prices have a similar impact on the NPV with nitrate prices having a slightly larger impact.

20 ADJACENT PROPERTIES
The company's deposits are laid on flat land or "pampas" at the Pampa Blanca mine site and facilities cover a mine area of 51,201 hectares.
Pampa Blanca mine site has an approximate area of 104.41 km2 (10,441 Ha).
Prospect deposits (see Figure 20-1, Figure 20-2.) corresponding to the Pampa Blanca mine properties are as follows:
•Celia
•Condell
•Paulo
•Miedo
•Lenka
•Carbonato
•Colina
TRS Pampa Blanca 2024
Pag. 181


•Chacabuco
•Copo
•Condell
•Aurelia
•Paulo IV
•Estaca Boliviana
•Celia
Of all the areas prospected in the Sierra Gorda sector, the following have been explored:
•Pampa Blanca
•Blanco Encalada
•Baquedano
•Qb. San Cristobal
•Eugenia (Exolympia)
•Ampliación Carbonato
Exploration program results show that these prospects reflect a mineralized trend hosting nitrate and iodine. On the other hand, exploration efforts are focused on possible metallic mineralization beneath the caliche. The area has significant potential for metallic mineralization, especially copper and gold. Exploration has generated discoveries that, in some cases, may lead to exploitation, sales of the discovery, and generation of royalties in the future. Within this framework, in 2013, we recorded a royalty sale of the Antucoya project to Antofagasta Minerals (copper mining).
Within the boundary belonging to SQM-Pampa Blanca, as presented in Figure 20-2., it is stated that there are other properties adjacent to the Project that is exploited by others, and there are some mining rights. In total there are three mining lots, which include:
1. Algorta Norte S.A. is a joint venture between ACF Minera S.A. and Toyota Tsusho:
•Surface
2. Antofagasta Minerals;
•Surface
•Rencoret Mine
•Surface

TRS Pampa Blanca 2024
Pag. 182


Figure 20-1. Pampa Blanca Adjacent Properties
image_133.jpg


TRS Pampa Blanca 2024
Pag. 183


Figure 20-2. Other properties adjacent to the Project that is exploited by others
image_134.jpg

TRS Pampa Blanca 2024
Pag. 184


21 OTHER RELEVANT DATA AND INFORMATION
The QP is not aware of any other relevant data or information to disclose in this TRS.

22 INTERPRETATION AND CONCLUSIONS
The work done in this report has demonstrated that the mine, heap leach facility and the iodine and nitrate operations correspond to those of a technically feasible and economically viable project. The most appropriate process route is determined to be the selected unit operations of the existing plants, which are otherwise typical of the industry.
The current needs of the nitrate and iodine process, such as power, water, labor, and supplies, are met as this is a mature operation with many years of production supported by the current project infrastructure. As such, performance information on the valuable nitrate and iodine species consists of a significant amount of historical production data, which is useful for predicting metallurgical recoveries from the process plant. Along with this, metallurgical tests are intended to estimate the response of different caliche ores to leaching.
Mrs. Marco Fazzi QP of Reserves, concludes that the work done in the preparation of this technical report includes adequate details and information to declare the Mineral Reserves. In relation to the resource treatment processes, the conclusion of the responsible QP, Gino Slanzi, is that appropriate work practices and equipment, design methods and processing equipment selection criteria have been used. In addition, the company has developed new processes that have continuously and systematically optimized its operations.
22.1RESULTS
Geology and Mineral Resources
1.The Pampa Blanca geology team has a clear understanding of mineralization controls and the geological and deposit related knowledge has been appropriately used to develop and guide the exploration, modeling and estimation processes.
2.Sampling methods, sample preparation, analysis and security were acceptable for mineral resource estimation. The collected sample data adequately reflect deposit dimensions, true widths of mineralization, and the style of the deposits. Sampling is representative of the Iodine and Nitrate Grades.

3.The average mineral resource concentrations are above the cut- off benefit of 3.0 USD/t, reflecting that the potential extraction is economically viable.

Metallurgy and Mineral Processing
According to Gino Slanzi Guerra, the QP in charge of metallurgy and resource treatment:
1.There is a duly documented verification plan for the cover system to limit infiltration during leaching. The document establishes installation and leak detection procedures in accordance with environmental compliance criteria.
2.Metallurgical test work performed to date has been adequate to establish appropriate processing routes for the caliche resource. The metallurgical test results show that the recoveries are dependent on the saline matrix content and, on the other hand, the maximization of this is linked to the impregnation cycle which has been studied, establishing irrigation scales according to the classified physical nature. The derived data are suitable for the purpose of estimating recovery from mineral resources.

3.Based on the annual, short- and long-term production program, the yield is estimated for the different types of material to be exploited according to the mining plan, according to their classification of physical and chemical properties, obtaining a projection of recoveries that is considered quite adequate for the resources.
–Reagent forecasting and dosing are based on analytical processes that determine ore grades, valuable element content and impurity content to ensure that the system's treatment requirements are effective. These are translated into consumption rate factors that are maturely studied.
TRS Pampa Blanca 2024
Pag. 185


–Since access to water can be affected by different natural and anthropogenic factors, the use of seawater is a viable alternative for future or current operations. However, this may increase operating costs, resulting in additional maintenance days.
–During operations, the content of impurities fed to the system and also the concentration in the mother liquor is monitored in order to eventually detect any situation that may impact the treatment methodologies and the characteristics of its products.
22.2RISKS
Geology and Mineral Resources
•As mining proceeds into new areas, such as Pampa Blanca Sector 5, the production, dilution, and recovery factors may change based on geological, geometallurgial and operational factors. These factors and mining costs should be evaluated on a sector-by-sector basis.
Metallurgy and Mineral Processing
•The risk that the process, as currently defined, will not produce the expected quantity and/or quality required. However, exhaustive characterization tests have been carried out on the treated material and, moreover, at all stages of the process, controls are in place to manage within certain ranges a successful operation.
•The risks of a meteorological event or changes in local climatic conditions, which may result in lower production due to lower availability of the treated resource in the process plants.
•The risk that the degree of impurities in the natural resources may increase over time more than predicted by the model, which may result in non-compliance with certain product standards. Consequently, it may be necessary to incorporate other process stages, with the development of previous engineering studies, to comply with the standards.
22.3SIGNIFICANT OPPORTUNITIES
Geology and Mineral Resources
There is a big opportunity to improve the resource estimation simplicity and reproducibility using the block model approach not only in the case of smaller drill hole grids of 50 x 50 m and up to 200 x 200m, but also for larger drill hole grids to avoid separating the resource model and databases by drill hole spacing, bringing the estimation and management of the resource model to industry standards.
Metallurgy and Mineral Processing
1.Improve heap slope irrigation conditions to increase iodine and nitrate recovery.
2.Use of clayey materials (low permeability) available in discards as soil cover for infiltration management.


23 RECOMMENDATIONS
23.1GEOLOGY AND MINERAL RESOURCES

–Continue with the QAQC program using certified standards to ensure the control of precision, accuracy and contamination in the chemical analysis of SQM Caliche Yodo Laboratory with the objective of having an auditable database according to industry best practices.
–Expand the block model approach for resource estimation to larger drillhole grids to avoid separating the resource model and databases by drillhole spacing.
–Audit with an external company of the entire resource estimation process, that is, expert review of drilling database, resource estimation, and reserve valuation
TRS Pampa Blanca 2024
Pag. 186


23.2METALLURGY AND MINERAL PROCESSING

–Regarding irrigation, alternatives that allow an efficient use of water should be reviewed, considering the irrigation of the lateral areas of the heaps to increase the recovery of iodine and nitrates.
–A relevant aspect is the incorporation of seawater in the process, a decision that is valued given the current water shortage and that ultimately is a contribution to the project, however, a study should be made of the impact of processing factors such as impurities from this source.
–It is advisable to carry out tests to identify the hydrogeological parameters that govern the behavior of the water inside the heap. Review the properties of the mineral bed, which acts as a protector of the binders at the base of the heaps, which is currently a fine material called "chusca", which could be replaced by classified particulate material, favoring the percolability of the solutions and saving water.
–It is considered important to evaluate the leachable material through heap leaching simulation, which allows the construction of a conceptual model of caliche leaching with a view to secondary processing of the riprap to increase the overall recovery.
–It is contributive and relevant to work on the generation of models that represent heap leaching, the decrease in particle size (ROM versus Scarious granulometry) and, therefore, of the whole heap and the simultaneous dissolution of different species at different rates of nitrate iodine extraction.
–With respect to generating material use options, detailed geotechnical characterization of the available clays within the mine property boundaries is suggested to assess whether there are sufficient clay materials on site to use as a low permeable soil liner bed under the leach pad.
–Environmental issues include leachate or acid water management, air emissions management, tailings dump management, and leachate riprap.
All the above recommendations are considered within the declared CAPEX/OPEX and do not imply additional costs for their execution.
TRS Pampa Blanca 2024
Pag. 187


24 REFERENCES
•Chong, G., Gajardo, A., Hartley, A., Moreno, T. 2007. Industrial Minerals and rocks. In Moreno, T. & Gibbons, W. (eds) The Geology of Chile 7, 201-214
•Ericksen, G.E. 1981. Geology and origin of the Chilean nitrate deposits. U.S. Geological Survey Professional Paper 1188-B.
•Fiesta, B. 1966. El origen del salitre de Chile. Sociedad Española de Historia Natural Boletín, Sección Geológica 64(1), 47-56.
•Mueller, G. 1960. The theory of formation of north Chilean nitrate deposits through ((capillary concentration)). International Geological Congress, 21st, Copenhagen 1960, Report 1, 76-86.
•Pueyo, J.J.; Chong, G.; Vega, M. 1998. Mineralogía y evolución de las salmueras madres en el yacimiento de nitratos Pedro de Valdivia, Antofagasta, Chile. Revista Geológica de Chile, Vol. 25, No. 1, p. 3-15.
•Reich, M., Snyder, G.T., Alvarez, F., Pérez, A., Palacios, C., Vargas, G., Cameron, E.M., Muramatsu, Y., Fehn, U. 2013. Using iodine to constrain supergen uid sources in arid regions: Insights from the Chuquicamata oxide blanket. Economic Geology 108, 163-171.
•Reich, M., Bao,H. 2018. Nitrate Deposits of the Atacama Desert: A Marker of Long-Term Hyperaridity. Elements, Vol. 14, 251–256

25 RELIANCE ON INFORMATION PROVIDED BY REGISTRANT
The qualified person has relied on information provided by the registrant in preparing its findings and conclusions regarding the following aspects of modifying factors:
1.Macroeconomic trends, data, and assumptions, and interest rates.
2.Projected sales quantities and prices.
3.Marketing information and plans within the control of the registrant.
Environmental matter outside the expertise of the qualified person.

TRS Pampa Blanca 2024
Pag. 188