UNITED STATES SECURITIES AND EXCHANGE COMMISSION
Washington, D.C. 20549
FORM 8-K
CURRENT REPORT
Pursuant to Section 13 OR 15(d) of the Securities Exchange Act of 1934
Date of report (Date of earliest event reported): February 24, 2025 (February 24, 2025)
ClearOne, Inc.
(Exact name of registrant as specified in its charter)
|
Delaware |
|
001-33660 |
|
87-0398877 |
|
(State or Other Jurisdiction of Incorporation) |
|
(Commission File Number) |
|
(I.R.S. Employer Identification No.) |
|
5225 Wiley Post Way, Suite 500, Salt Lake City, Utah |
|
84116 |
|
(Address of principal executive offices) |
|
(Zip Code) |
+1 (801) 975-7200
(Registrant’s telephone number, including area code)
Not applicable
(Former name or former address, if changed since last report)
Check the appropriate box below if the Form 8-K filing is intended to simultaneously satisfy the filing obligation of the registrant under any of the following provisions:
|
☐ |
Written communications pursuant to Rule 425 under the Securities Act (17 CFR 230.425) |
|
☐ |
Soliciting material pursuant to Rule 14a-12 under the Exchange Act (17 CFR 240.14a-12) |
|
☐ |
Pre-commencement communications pursuant to Rule 14d-2(b) under the Exchange Act (17 CFR 240.14d-2(b)) |
|
☐ |
Pre-commencement communication pursuant to Rule 13e-4© under the Exchange Act (17 CFR 240.13e-4©) |
Indicate by check mark whether the registrant is an emerging growth company as defined in Rule 405 of the Securities Act of 1933 (§230.405 of this chapter) or Rule 12b-2 of the Securities Exchange Act of 1934 (§240.12b-2 of this chapter). Emerging growth company ☐
If an emerging growth company, indicate by check mark if the registrant has elected not to use the extended transition period for complying with any new or revised financial accounting standards provided pursuant to Section 13(a) of the Exchange Act. ☐
Securities Registered Pursuant to Section 12(b) of the Act:
|
Title of each class |
Trading Symbol(s) |
Name of each exchange on which registered |
|
Common Stock, $0.001 |
CLRO |
The NASDAQ Capital Market |
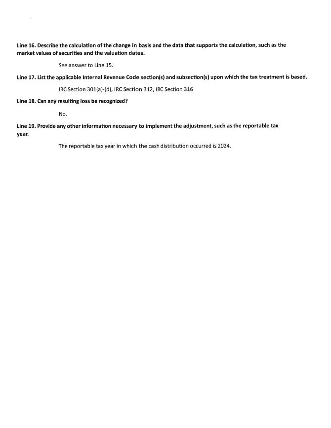
Item 7.01 Regulation FD.
On April 10, 2024, ClearOne, Inc. (the “Company”) paid a special one-time cash dividend of $0.50 per share of the Company’s common stock to shareholders of record on April 2, 2024 (the “Special Distribution”).
At that time of the Special Distribution, the Company did not have current or accumulated earnings and profits as described in Section 312 of the Internal Revenue Code of 1986, as amended. Accordingly, the Special Distribution was characterized as a return of capital, and Forms 1099-DIV issued to stockholders should have reported the Special Distribution in Box 3 of Form 1099-DIV as a non-dividend distribution.
The Company recently became aware that certain stockholders holding shares in street name through brokerage accounts received Forms 1099-DIV that reported the Special Distribution as an ordinary dividend in Box 1 of Form 1099-DIV.
On February 21, 2025, the Company filed Form 8937 with the U.S. Internal Revenue Service to facilitate the issuance of corrected Forms 1099-DIV to stockholders of the Company reporting the Special Distribution as a non-dividend distribution in Box 3 of the Form 1099-DIV.
A copy of the Form 8937 is furnished hereto as Exhibit 99.1 and is available on the investor relations page of the Company’s internet website at www.clearone.com.
Item 9.01 Financial Statements and Exhibits
(d) Exhibits
|
Exhibit Number |
|
Exhibit Title |
| 99.1 | IRS Form 8937 of ClearOne, Inc.. | |
|
104.1 |
|
The cover page from this Current Report on Form 8-K, formatted in Inline XBRL. |
SIGNATURES
Pursuant to the requirements of the Securities Exchange Act of 1934, the registrant has duly caused this report to be signed on its behalf by the undersigned hereunto duly authorized.
|
|
CLEARONE, INC. | |
|
|
|
|
|
Date: February 24, 2025 |
By: |
/s/ Simon Brewer |
|
|
|
Simon Brewer |
|
|
|
Chief Financial Officer |
Exhibit 99.1



