UNITED STATES
SECURITIES AND EXCHANGE COMMISSION
Washington, D.C. 20549
FORM 6-K
REPORT OF FOREIGN PRIVATE ISSUER PURSUANT TO RULE 13a-16 OR 15d-16
UNDER THE SECURITIES EXCHANGE ACT OF 1934
For the month of December 2024
Commission File Number: 001-31528
IAMGOLD Corporation
(Translation of registrant's name into English)
150 King Street West, Suite 2200
Toronto, Ontario, Canada M5H 1J9
Tel: (416) 360-4710
(Address of principal executive offices)
Indicate by check mark whether the registrant files or will file annual reports under cover Form 20-F or Form 40-F.
☐ Form 20-F ☒ Form 40-F
SUBMITTED HEREWITH
Exhibits
| Exhibit | Description | |
| 99.1 | NI 43-101 Technical Report and Mineral Resource Estimate for the Monster Lake Project, Quebec |
SIGNATURES
Pursuant to the requirements of the Securities Exchange Act of 1934, the registrant has duly caused this report to be signed on its behalf by the undersigned, thereunto duly authorized.
| IAMGOLD CORPORATION | ||
| (Registrant) | ||
| Date: December 6, 2024 | By: | /s/ Tim Bradburn |
| Tim Bradburn | ||
| Title: | Senior Vice President, General Counsel and Corporate Secretary | |
![]() |
Val-d'Or Head Office 560, 3e Avenue Val-d'Or (Québec) J9P 1S4 |
|
| Quebec City Office 725, boulevard Lebourgneuf Suite #310-12 Quebec City (Quebec) G2J 0C4 |
Montreal Office 859, boulevard Jean-Paul-Vincent Suite 201 Longueuil (Quebec) J4G 1R3 |
Telephone: 819-874-0447 Toll-free: 866-749-8140 Email: info@innovexplo.com Website: www.innovexplo.com |
NI 43-101 Technical Report and Mineral Resource Estimate
for the Monster Lake Project, Quebec
Prepared for
IAMGOLD Corporation
150 King Street West, Suite 2200
Toronto ON M5H 1J9
Project Location
Latitude 49º 34' North and Longitude 74º 42' West
Province of Québec, Canada
Prepared by:
Martin Perron, P.Eng.
Simon Boudreau, P.Eng.
Audrey Lapointe, P.Geo.
InnovExplo Inc.
Val-d'Or (Québec)
Effective Date: July 16, 2024
Signature Date: December 6, 2024

SIGNATURE PAGE - INNOVEXPLO
NI 43-101 Technical Report and Mineral Resource Estimate
for the Monster Lake Project, Quebec
Prepared for

IAMGOLD Corporation
150 King Street West, Suite 2200
Toronto ON M5H 1J9
Project Location
Latitude 49º 34' North and Longitude 74º 42' West
Province of Québec, Canada
Effective Date: July 16, 2024
| (Original signed and sealed) | Signed at Quebec City on December 6, 2024 | |
| Martin Perron, P.Eng. InnovExplo Inc. Val-d'Or (Québec) |
||
| (Original signed and sealed) | Signed at Val-d'Or on December 6, 2024 | |
| Audrey Lapointe, P. Geo. InnovExplo Inc. Val-d'Or (Québec) |
||
| (Original signed and sealed) | Signed at Trois-Rivières on December 6, 2024 | |
| Simon Boudreau, P.Eng. InnovExplo Inc. Val-d'Or (Québec) |

CERTIFICATE OF AUTHOR - AUDREY LAPOINTE, Geo.
I, Audrey Lapointe, P. Geo. (OGQ No. 975 and PGO No. 3972) do hereby certify that:
1. I am employed by InnovExplo Inc., 560 3e Avenue, Val-d'Or, Québec, Canada, J9P 1S4.
2. This certificate applies to the report entitled "NI 43-101 Technical Report and Mineral Resource Estimate for the Monster Lake Project, Quebec (the "Technical Report") with an effective date of July 16, 2024 and a signature date of December 6, 2024. The Technical Report was prepared for Iamgold Corp (the "issuer").
3. I graduated with a Bachelor's degree in Geology from LAVAL University (Quebec, Quebec) in 1996.
4. I am a member of the Ordre des Géologues du Québec (OGQ 975) and the Association of Professional Geoscientists of Ontario (PGO No. 3972).
5. Since my graduation from university, I have over 19 years of experience as a geologist in mining production (Mouska Mine, Lac Herbin mine and Éléonore mine). Before that period, I was also involved in the mining industry as a geological technician for seven (7) years (Doyon Mine and Louvicourt Mine).
6. I have read the definition of a qualified person ("QP") set out in Regulation 43-101/National Instrument 43-101 ("NI 43-101") and certify that by reason of my education, affiliation with a professional association (as defined in NI 43-101) and past relevant work experience, I fulfill the requirements to be a QP for the purposes of NI 43-101.
7. I visited the property one time, on March 20-21, 2024
8. I am responsible for the overall supervision of the Technical Report and I am the author and responsible for section 12 as well as co-author of and share responsibility for sections 1, 2,4,6, 11, 25, 26 and 28.
9. I am independent of the issuer applying all the tests in section 1.5 of NI 43-101.
10. I have not had prior involvement with the property that is the subject of the Technical Report.
11. I have read NI 43-101 and the items of the Technical Report for which I am responsible have been prepared in compliance with that instrument.
12. As of the effective date of the Technical Report, to the best of my knowledge, information and belief, the sections of the Technical Report for which I am responsible contain all scientific and technical information that is required to be disclosed to make the Technical Report not misleading.
Signed this 6th day of December in 2024,Val d'Or, Québec, Canada.
(Original signed and sealed)
Audrey Lapointe, P. Geo.( OGQ No. 975) (PGO No.3972)
InnovExplo Inc.
audrey.lapointe@innovexplo.com

CERTIFICATE OF AUTHOR - MARTIN PERRON
I, Martin Perron, P.Eng. (OIQ No.109 185, PEO No.100629167) do hereby certify that:
1. I am employed by InnovExplo Inc. at 725, Boulevard Lebourgneuf, Suite 310-17, Quebec City, Quebec, Canada, G2J 0C4.
2. This certificate applies to the report entitled "NI 43-101 Technical Report and Mineral Resource Estimate for the Monster Lake Project, Quebec (the "Technical Report") with an effective date of July 16, 2024 and a signature date of December 6, 2024. The Technical Report was prepared for Iamgold Corp (the "issuer").
3. I graduated with a Bachelor's degree in Geological Engineering from Université du Québec A Chicoutimi (UQAC, Ville de Saguenay, Quebec) in 1992.
4. I am a member of the Ordre des Ingénieurs du Québec (OIQ No. 109185) and a member of the Professional Engineers Ontario (PEO No.100629167).
5. I have practiced my profession in mining geology, mineral exploration, consultation and resource estimation, mainly in gold, base metals and potash, and accessory in graphite and rare earth elements for a total of thirty (30) years since graduating from university. During my career, I have held multiple positions, starting as Mine Geologist, Geological Mining Coordinator, Senior Geological Engineer, Geology Superintendent, Engineering Superintendent, Technical Services Superintendent, Director of Resources Estimation and Director of Geology, as well as being Qualified Person since 2010. My expertise was acquired while working with Placer Dome, Cambior, Breakwater Resources, Genivar, Alexis Minerals, Richmont Mines, Agrium, Roche Ltee, Goldcorp, Newmont , IAMGOLD and InnovExplo. I have been the Director of Geology for InnovExplo Inc. since October 2021.
6. I have read the definition of a qualified person ("QP") set out in Regulation 43-101/National Instrument 43-101 ("NI 43-101") and certify that by reason of my education, affiliation with a professional association (as defined in NI 43-101) and past relevant work experience, I fulfill the requirements to be a QP for the purposes of NI 43-101.
7. I have not visited the Property for the purpose of the Technical Report.
8. I am co-author of and share responsibility for all sections.
9. I am independent of the Issuer applying all the tests in section 1.5 of NI 43-101.
10. I have not had prior involvement with the Property that is the subject of the Technical Report.
11. I have read NI 43-101 and the items of the Technical Report for which I am responsible have been prepared in compliance with that instrument.
12. As of the effective date of the Technical Report, to the best of my knowledge, information and belief, the sections of the Technical Report for which I am responsible contain all scientific and technical information that is required to be disclosed to make the Technical Report not misleading.
Signed this 6th day of December in Quebec City, Quebec, Canada.
(Original signed and sealed)
Martin Perron, P.Eng. (OIQ 109185)
InnovExplo Inc.
martin.perron@innovexplo.com

CERTIFICATE OF AUTHOR - SIMON BOUDREAU
I, Simon Boudreau, P.Eng. (OIQ No. 132338, PEO No.100647394, NAPEG No.L5047), do hereby certify that:
1. I am employed as Senior Mine Engineer by InnovExplo Inc., located at 560 3e Avenue, Val-d'Or, Quebec, Canada, J9P 1S4.
2. This certificate applies to the report entitled "NI 43-101 Technical Report and Mineral Resource Estimate for the Monster Lake Project, Quebec"(the "Technical Report") with an effective date of July 16, 2024 and a signature date of December 6, 2024. The Technical Report was prepared for Iamgold Corp (the "issuer").
3. I graduated with a bachelor's degree in mining engineering from Université Laval (Quebec City, Quebec) in 2003.
4. I am a member in good standing of the Ordre des Ingénieurs du Québec (No. 132338), a member of the Professional Engineers Ontario (PEO No.100647394) and the Northwest Territories and Nunavut Association of Professional Engineers and Professional Geoscientists (NAPEG licence No. L5047).
5. My relevant experience includes a total of nineteen (19) years since my graduation from university. I have been involved in mine engineering and production at the Troilus mine for four (4) years, at HRG Taparko mine for four (4) years, and at Dumas Contracting for three (3) years. I have also worked as an independent consultant for the mining industry for five (5) years and with InnovExplo for three (3) years. As a consultant, I have been involved in many base metal and gold mining projects.
6. I have read the definition of a qualified person ("QP") set out in Regulation 43-101/National Instrument 43-101 ("NI 43-101") and certify that by reason of my education, affiliation with a professional association (as defined in NI 43-101) and past relevant work experience, I fulfill the requirements to be a QP for the purposes of NI 43-101.
7. I have not visited the property for the purpose of the Technical Report.
8. I am the co-author of items 1 to 2 and 14, for which I share responsibility.
9. I am independent of the issuer applying all the tests in section 1.5 of NI 43-101.
10. I have had prior involvement with the property that is the subject of the Technical Report. I was a QP for the NI 43-101 technical report entitled "NI 43 101 Technical Report and up-date of the Mineral Resource Estimate for the Monique Area, Novador Project, Quebec" (March 2, 2023).
11. I have read NI 43-101, and the items of the Technical Report for which I am responsible have been prepared in compliance with that instrument.
12. As of the effective date of the Technical Report, to the best of my knowledge, information and belief, the sections of the Technical Report for which I am responsible contain all scientific and technical information that is required to be disclosed to make the Technical Report not misleading.
Signed this 6th day of December in Trois-Rivières, Quebec, Canada.
(Original signed and sealed)
Simon Boudreau, P.Eng.
InnovExplo Inc.
simon.boudreau@innovexplo.com

TABLE OF CONTENTS
| 1. SUMMARY | 1 |
| 1.1 Introduction and Terms of Reference | 1 |
| 1.2 Location | 1 |
| 1.3 Claim Status of the Monster Lake Project | 1 |
| 1.4 Regional Geology | 2 |
| 1.5 Local Geology | 3 |
| 1.6 Mineralization | 5 |
| 1.7 Mineral Resources Estimate | 6 |
| 1.8 Interpretation and conclusions | 7 |
| 2. INTRODUCTION | 10 |
| 2.1 Overview and Terms of Reference | 10 |
| 2.2 Issuers | 10 |
| 2.3 Report Responsibility, Qualified Persons | 10 |
| 2.4 Site Visit | 11 |
| 2.5 Effective Date | 11 |
| 2.6 Principal Sources of Information | 11 |
| 2.7 Currency, Units of Measure, and Acronyms | 12 |
| 3. RELIANCE ON OTHER EXPERTS | 15 |
| 4. PROPERTY DESCRIPTION AND LOCATION | 16 |
| 4.1 Location | 16 |
| 4.2 Claim Status of the Monster Lake Project | 16 |
| 4.2.1 Monster Lake Property | 18 |
| 4.2.2 Winchester Property | 20 |
| 4.2.3 Lac à l'Eau Jaune Property | 20 |
| 4.2.4 Monster Lake North Property | 20 |
| 4.3 Quinto Resources Inc. Agreement with TomaGold | 20 |
| 4.4 IAMGOLD Agreement with TomaGold | 21 |
| 4.5 Permits and Environmental Liabilities | 23 |
| 4.6 Other Significant Factor and Risks (Surface Rights) | 24 |
| 5. ACCESSIBILITY, CLIMATE, LOCAL RESOURCES, INFRASTRUCTURE AND PHYSIOGRAPHY | 25 |
| 5.1 Accessibility | 25 |
| 5.2 Climate | 25 |
| 5.3 Local Resources and Infrastructure | 25 |
| 5.4 Physiography | 26 |
| 6. HISTORY | 28 |
| 6.1 Period: 1936 to 1957 | 28 |
| 6.2 Period: 1974 to 1982 | 28 |
| 6.3 Period: 1983 to 1990 | 30 |
| 6.4 Period: 1991 to 2000 | 32 |
| 6.5 Period: 2001 to 2010 | 34 |
| 6.6 Period: 2011 to November 2013 (TomaGold Corporation) | 35 |
| 7. GEOLOGICAL SETTING AND MINERALIZATION | 44 |
| 7.1 Archean Superior Province | 44 |
| 7.2 Abitibi Terrane (Abitibi Subprovince) | 46 |
| 7.3 Regional Geological Setting | 49 |
| 7.4 Local Geological Setting | 54 |
| 7.5 Mineralization | 58 |
| 7.5.1 Eratix Showing | 58 |

| 7.5.2 Nouvelle Zone Showing | 61 |
| 7.5.3 Annie Showing / Annie Shear Zone | 61 |
| 7.5.4 Quatre-Chemins Showing | 62 |
| 7.5.5 Bertha Showing | 62 |
| 7.5.6 Trois-Chemins Showing | 62 |
| 7.5.7 Main Shear Zone (including 325-Megane Zone) | 63 |
| 7.5.8 Upper Shear Zone (Upper 325-Megane Zone) | 65 |
| 7.5.9 Lower Shear Zone (Lower 325-Megane Zone) | 66 |
| 7.5.10 Zone 52 | 67 |
| 7.5.11 Cominco and Gabrielle Showing | 67 |
| 8. DEPOSIT TYPES | 69 |
| 9. EXPLORATION | 72 |
| 9.1 2013 Work Program | 72 |
| 9.1.1 3D Modelling and Geological Database | 72 |
| 9.1.2 Review of Historical Ground Geophysical Survey | 72 |
| 9.2 2014 Work Program | 76 |
| 9.2.1 Magnetic Survey | 76 |
| 9.2.2 Lithogeochemistry Program | 77 |
| 9.2.3 Petrographic Study | 78 |
| 9.2.4 Till Survey | 80 |
| 9.2.5 Geological Mapping and Sampling | 82 |
| 9.2.6 Trenching Program | 83 |
| 9.3 2015 Work Program | 84 |
| 9.3.1 Mapping, Prospecting, Sampling and Trenching | 84 |
| 9.4 2016 Work Program | 86 |
| 9.4.1 Mapping, Prospecting, Sampling and Trenching | 87 |
| 9.5 2017 Work Program | 87 |
| 9.5.1 Mapping, Prospecting, Sampling and Trenching | 87 |
| 9.6 2018 Summer Field Program | 88 |
| 9.7 2019 Summer Field Program | 88 |
| 9.8 2020 Till Survey | 89 |
| 9.9 2021 Field Program | 90 |
| 9.10 2022 and 2023 Data Compilation | 95 |
| 10. DRILLING | 96 |
| 10.1 Drilling Methodology | 96 |
| 10.2 Downhole Core Orientation Survey | 97 |
| 10.3 Core Recovery and RQD Survey | 97 |
| 10.4 2014 to 2021 Drilling Programs | 97 |
| 10.4.1 2014 Drilling Program | 98 |
| 10.4.2 2015 Drilling Program | 102 |
| 10.4.3 2016 Drilling Program | 105 |
| 10.4.4 2017 Drilling Program | 108 |
| 10.4.5 2018 Drilling Program | 111 |
| 10.4.6 2019 Drilling Program | 113 |
| 10.4.7 2020 Drilling Program | 115 |
| 10.4.8 2021 Drilling Program | 117 |
| 11. SAMPLE PREPARATION, ANALYSES AND SECURITY | 122 |
| 11.1 Laboratory Accreditation and Certification | 122 |
| 11.2 Sampling Method and Approach | 123 |
| 11.2.1 Sample Preparation (AGAT) | 124 |
| 11.2.2 Sample Preparation (ALS) | 125 |
| 11.3 Analytical Procedures (AGAT) | 125 |

| 11.3.1 Fire Assay | 125 |
| 11.3.2 Atomic Absorption Finish | 125 |
| 11.3.3 Gravity Finish | 126 |
| 11.4 Analytical Procedures (ALS) | 126 |
| 11.5 QA/QC Results | 127 |
| 11.5.1 Blank | 127 |
| 11.5.2 Certified Reference Materials (Standards) | 128 |
| 11.5.3 Duplicates | 130 |
| 11.6 Re-assays vs Original Assay | 136 |
| 11.7 Umpire Laboratory (ALS VS AGAT) | 137 |
| 11.8 Conclusions | 139 |
| 12. DATA VERIFICATION | 140 |
| 12.1 Historical Work | 141 |
| 12.2 IAMGOLD Database | 141 |
| 12.2.1 Coordinate System | 141 |
| 12.2.2 Drill Hole Locations | 141 |
| 12.2.3 Down-Hole Survey | 141 |
| 12.2.4 Assays | 142 |
| 12.3 IAMGOLD Logging, Sampling and Assaying Procedures | 142 |
| 12.4 Independent Resampling | 143 |
| 12.5 Density | 146 |
| 12.6 Conclusions | 147 |
| 13. MINERAL PROCESSING AND METALLURGICAL TESTING | 148 |
| 14. MINERAL RESOURCE ESTIMATES | 149 |
| 14.1 Methodology | 149 |
| 14.2 Drill Hole Database | 149 |
| 14.3 Mineralization Model (Definition and Interpretation of Estimation Domains) | 150 |
| 14.4 Other 3D Surfaces (Topography, Bedrock and Voids Model) | 152 |
| 14.5 High-grade Capping | 152 |
| 14.6 Compositing | 156 |
| 14.7 Density | 156 |
| 14.8 Block Model | 157 |
| 14.9 Variography and Search Ellipsoids | 157 |
| 14.10 Grade Interpolation | 161 |
| 14.11 Block Model Validation | 163 |
| 14.12 Economic Parameters and Cut-Off Grade | 168 |
| 14.13 Mineral Resource Classification | 168 |
| 14.14 Mineral Resource Estimate | 169 |
| 14.15 Sensitivity to Cut-Off Grade | 172 |
| 15. MINERAL RESERVE ESTIMATES | 173 |
| 16. MINING METHODS | 173 |
| 17. RECOVERY METHODS | 173 |
| 18. PROJECT INFRASTRUCTURE | 173 |
| 19. MARKET STUDIES AND CONTRACTS | 173 |
| 20. ENVIRONMENTAL STUDIES, PERMITTING, AND SOCIAL OR COMMUNITY IMPACT | 173 |
| 21. CAPITAL AND OPERATING COSTS | 173 |
| 22. ECONOMIC ANALYSIS | 173 |
| 23. ADJACENT PROPERTIES | 174 |

| 24. OTHER RELEVANT DATA AND INFORMATION | 176 |
| 25. INTERPRETATION AND CONCLUSIONS | 177 |
| 26. RECOMMENDATIONS | 179 |
| 26.1 Costs Estimate for Recommended Work | 179 |
| 27. REFERENCES | 181 |
| APPENDIX I - List of Mining titles | 195 |
| APPENDIX II - SIGNIFICANT DDH RESULTS OF THE 2014 TO 2021 DRILLING PROGRAMS ON THE MONSTER LAKE PROJECT | 203 |

LIST OF FIGURES
| Figure 4.1 - Location of the Monster Lake Project in the province of Quebec | 17 |
| Figure 4.2 - Claim map for the Monster Lake Project | 18 |
| Figure 4.3 - Royalty map for the Monster Lake Project | 23 |
| Figure 5.1 - An all-season gravel logging road on the Monster Lake Project | 26 |
| Figure 5.2 - Access and waterways of the Monster Lake Project and surrounding region | 27 |
| Figure 6.1 - Location of historical work carried out on the Monster Lake Project before 1982. Collars of historical drill holes are shown by red circles (Turcotte, 2015) | 29 |
| Figure 6.2 - Location of historical work carried out on the Monster Lake Project before 1990. Collars of historical diamond drill holes are shown by red circles (Turcotte, 2015) | 31 |
| Figure 6.3 - Location of SOQUEM's former Fancamp property (pre-2000). Collars of historical drill holes are shown by red circles (Turcotte, 2015) | 33 |
| Figure 7.1 - Mosaic map of the Superior Province showing major tectonic elements, from Percival (2007) | 45 |
| Figure 7.2 - Stratigraphic map of the Abitibi Greenstone Belt. The geology of the southern Abitibi Greenstone Belt is based on Ayer et al. (2005) and the Québec portion on Goutier and Melançon (2007). Figure modified from Thurston et al. (2008) | 48 |
| Figure 7.3 - New geological interpretation of the eastern part of the Caopatina-Desmaraisville segment. Adapted and modified from Faure (2012) | 51 |
| Figure 7.4 - Migrated Chibougamau R1 profile (seismic reflection profile with moderate coherency filter applied) (Modified from Mathieu et al., 2020b) | 52 |
| Figure 7.5 - Relative chronology of the main tectonic and metallogenic events leading to the concentration of gold in Monster Lake deposit in relation with regional deformation | 53 |
| Figure 7.6 - Stratigraphic column of the Monster Lake Anticline, host of the 325-Megane deposit | 54 |
| Figure 7.7 - Illustrations of the main lithologies hosted in the MSZ and examples of structural relations in outcrops | 56 |
| Figure 7.8 - Geology of the Monster Lake Project with major gold occurrences | 57 |
| Figure 7.9 - Close-ups of the Monster Lake property, key gold showings, zones and structures | 58 |
| Figure 7.10 - Detailed geology of the Eratix showing. IAMGOLD 2019 interpretation modified from Turcotte (2015), modified from Vachon (1985) and Champagne (1989) (Monster Lake fault identified as Annie SZ) | 60 |
| Figure 7.11 - 325-Megane Zone from hole ML-17-194 | 64 |
| Figure 7.12 - Close-ups of the 325-Megane Zone in hole ML-17-194 : A) Sheared basalt with sericite-ankerite ±fuchsite alteration assemblage (top row), semi-massive sulphides and stringers with pyrrhotite, pyrite and traces of chalcopyrite in a black quartz vein (middle and bottom rows); B) Visible gold in a black quartz vein; C) Coarse grains of semi-massive pyrite. | 64 |

| Figure 7.13 - 2019 3D model developed by IAMGOLD to illustrate the structural relations of the gold occurences and deposits induced by the Monster Lake fault crosscutting several favorable folded horizons (MSZ, LSZ, Big Mama fault node, Annie SZ cluster, Zone 52, etc.) | 65 |
| Figure 7.14 - Upper Shear Zone in hole ML-14-112. Photo adapted from IAMGOLD Report (2014a) | 66 |
| Figure 7.15 - Lower Shear Zone in drill hole ML-17-184 | 67 |
| Figure 7.16 - Presentation of the Trois Chemins, Gabrielle 1 and 2, and Zone 52 showings and structural relations implied in gold remobilization and concentration. | 68 |
| Figure 8.1 - Inferred crustal levels of gold deposition showing the different types of gold deposits and the inferred deposit clan (note the logarithmic depth scale). From Dubé and Gosselin (2007), modified from Poulsen et al. (2000) | 69 |
| Figure 8.2 - Schematic diagram illustrating the setting of greenstone-hosted quartz-carbonate vein deposits (from Poulsen et al., 2000) | 71 |
| Figure 9.1 - Early-stage 3D modelling of interpreted folds and the Monster Lake NE shear zone. From IAMGOLD Report (2014a) | 75 |
| Figure 9.2 - Map of the 2014 IAMGOLD magnetic survey (reduction to pole), processed by IAMGOLD | 77 |
| Figure 9.3 - Reflected-light photomicrograph of sample 7. Free gold grains (AU) in albite (AB) and as inclusions in pyrite (PY). Photo from 2014 IOS report | 79 |
| Figure 9.4 - Results of the 2014-2015 till survey programs on the Monster Lake Project | 81 |
| Figure 9.5 - Location of the exploration work conducted by IAMGOLD on the Monster Lake North Block in 2019 | 89 |
| Figure 9.6 - Results of the 2020 till survey programs on the Monster Lake Project | 91 |
| Figure 9.7 - Location of the exploration work conducted by IAMGOLD on the Monster Lake Block between 2014 and 2024 | 92 |
| Figure 9.8 - Location of the exploration work conducted by IAMGOLD on the Lac à l'Eau Jaune Block between 2014 and 2024 | 93 |
| Figure 9.9 - Location of the exploration work conducted by IAMGOLD on the Winchester Block between 2014 to 2024 | 94 |
| Figure 10.1 - Holes drilled by IAMGOLD on the Monster Lake Property since 2014 | 99 |
| Figure 10.2 - Holes drilled by IAMGOLD on the Monster Lake Property in 2014 | 101 |
| Figure 10.3 - Holes drilled by IAMGOLD on the Monster Lake Property in 2015 | 105 |
| Figure 10.4 - Holes drilled by IAMGOLD on the Monster Lake Property in 2016 | 108 |
| Figure 10.5 - Holes drilled by IAMGOLD on the Monster Lake Property in 2017 | 111 |
| Figure 10.6 - Holes drilled by IAMGOLD on the Monster Lake Property in 2018 | 113 |
| Figure 10.7 - Holes drilled by IAMGOLD on the Monster Lake Property in 2019 | 115 |
| Figure 10.8 - Holes drilled by IAMGOLD on the Monster Lake Property in 2020 | 117 |
| Figure 10.9 - Holes drilled by IAMGOLD on the Monster Lake Property in 2021 | 119 |

| Figure 10.10 - Typical cross section showing the Main Shear Zone and the Lower Shear Zone | 120 |
| Figure 10.11 - Longitudinal section of the 325-Megane Zone and Lower Shear Zone. IAMGOLD 2020 interpretation | 121 |
| Figure 11.1 - Results for blanks used by IAMGOLD during the 2014 to 2021 drilling programs on the Monster Lake Project | 128 |
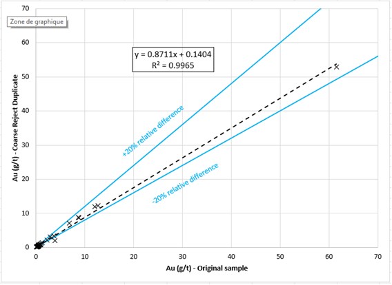
| Figure 11.2 - Linear graph comparing original samples to coarse duplicates grading ≥ 0.1 g/t Au (n=56) for drilling programs between 2014 and 2021 | 131 |
| Figure 11.3 - Close-up view of Figure 11.2 comparing original samples to coarse duplicates grading ≥ 0.1 g/t Au (n=56) for drilling programs between 2014 and 2021. Only samples grading less than 10 g/t Au are shown | 132 |
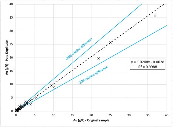
| Figure 11.4 - Linear graph comparing original samples to pulp duplicates grading ≥ 0.1 g/t Au (n=94) for drilling programs between 2014 and 2021 | 133 |
| Figure 11.5 - Close-up view of Figure 11.4 comparing original samples to pulp duplicates grading ≥ 0.1 g/t Au (n=94) for drilling programs between 2014 and 2021. Only samples grading less than 5 g/t Au are shown | 134 |
| Figure 11.6 - Precision versus cumulative frequency for pulp duplicates (blue) and coarse duplicates (green) grading ≥0.1 g/t Au | 135 |
| Figure 11.7 - Precision versus average gold grade for pulp duplicates (blue) and coarse duplicates (green) grading ≥0.1 g/t Au | 136 |
| Figure 11.8 - Linear graph comparing original samples and re-assays with grades of 0.1 to 50 g/t Au (n=56) for drilling programs between 2014 and 2018 | 137 |
| Figure 11.9 - Linear graph comparing umpire laboratory. (ALS vs AGAT) | 138 |
| Figure 11.10 - Linear graph comparing Primary Lab vs Umpire Lab | 138 |
| Figure 12.1 - A) Photograph showing the GPSMAP 60CSx used to verify the location of a drill collar during the site visit. B) Photograph showing one of the metal identification labels used for drill hole collars on the Project | 141 |
| Figure 12.2 - A, B) Photographs of the interior of the core logging facility; C) Photograph of the roofed core racks at the core storage facility | 143 |
| Figure 12.3 - A) Standards used during the drilling programs; C) Commercial crushed white marble used as blank material during the drilling programs | 143 |
| Figure 12.4 - Photograph of core resampled by InnovExplo: (A) method for sample identification; (B) remaining quarter-core witness samples. Hole ML-21-258. | 144 |
| Figure 12.5 - A) Linear graph comparing originals to field duplicates (12 samples) from the resampling program; B) Close-up showing samples under 10 g/t Au | 145 |
| Figure 12.6 - Photograph of the Density station by InnovExplo: (A) Balance calibration; (B) Designated station for taking sample density | 146 |
| Figure 14.1 - Inclined View of the Mineralization Model Looking Northwest: Dilution Blocks Model and Mineralized Zones A) Block Model estimation with Ordinary Kriging (view ISO) B) Mineralized zones and Shears zones | 151 |

| Figure 14.2 - Capping Analysis (Plots) for the Assays in for Zone 325-Megane HG | 155 |
| Figure 14.3 - Section Views of the Ellipsoid Radii for Zone 1 (Code 101) | 158 |
| Figure 14.4 - Example of the variography study for Zone 1 | 159 |
| Figure 14.5 - Presents an example of the search ellipse (full ranges) according to the composite data points of the same high-grade zone Figure 14.4 shows an example of the variography study for Zone 101. | 160 |
| Figure 14.6 - Swath Plot Comparison for Zone Megane (Code 101) of Block Estimates along East-West Axis/Section | 164 |
| Figure 14.7 - Swath Plot Comparison for Zone Megane (Code 101) of Block Estimates along North-South Axis/Section | 165 |
| Figure 14.8 - Plot Comparison for Zone Megane (Code 101) of Block Estimates along Vertical Axis/Section | 166 |
| Figure 14.9 -Section type of Megane zone. BM_ML_june_17_2024 Vs DDH composite. | 167 |
| Figure 14.10 - Classified Mineral Resources Within the Constraining Volumes for the Monster Lake Gold Project (Looking North) (4 = Indicated, 5 = Inferred, 6 = Exploration Potential) | 171 |
| Figure 14.11 - Classified Mineral Resources Within the Constraining Volumes for the Monster Lake Gold Project (Looking West) (4 = Indicated, 5 = Inferred, 6 = Exploration Potential) | 171 |
| Figure 23.1 - Map of Monster Lake Project and adjacent properties | 175 |

LIST OF TABLES
| Table 2.1 - List of Acronyms | 12 |
| Table 2.2 - List of units | 13 |
| Table 2.3 - Conversion Factors for Measurements | 14 |
| Table 6.1 - Best results from Stellar's 2010 drilling program (Turcotte, 2015) | 35 |
| Table 6.2 - Best results from Stellar's 2011 drilling program (Turcotte, 2015) | 35 |
| Table 6.3 - Best results from TomaGold's 2012 drilling program (Turcotte, 2015) | 36 |
| Table 6.4 - Best results from TomaGold's 2013 drilling program (Turcotte, 2015) | 37 |
| Table 6.5 - Historical work on the Monster Lake Project (modified from Turcotte, 2015) | 38 |
| Table 9.1 - Iamgold work on the Monster Lake Project (modified from Turcotte, 2015) | 73 |
| Table 9.2 - Description of core samples used for the petrographic study (Turcotte, 2015) | 78 |
| Table 9.3 - Significant results (>0.5 g/t) of the 2015 sampling programs on the Trois-Chemins showing. (IAMGOLD Report, 2016c) | 85 |
| Table 10.1 - Summary of 2014 to 2021 drilling programs | 98 |
| Table 10.2 - Significant results of the 2014 drilling programs | 100 |
| Table 10.3 - Significant results of the 2015 drilling programs | 103 |
| Table 10.4 - Significant results of the 2016 drilling programs | 107 |
| Table 10.5 - Significant results of the 2017 drilling programs | 110 |
| Table 10.6 - Significant results of the 2018 drilling programs | 112 |
| Table 10.7 - Significant results of the 2019 drilling program | 114 |
| Table 10.8 - Significant results of the 2020 drilling program | 116 |
| Table 10.9 - Significant results of the 2021 drilling program | 118 |
| Table 11.1 - Results for standards used by IAMGOLD for the 2014 to 2017 drilling programs on the Monster Lake Project | 129 |
| Table 11.2 - Results for standards used by IAMGOLD for the 2018 to 2021 drilling programs on the Monster Lake Project | 130 |
| Table 12.1 - Represents the 5% of holes, drilled during the period from 2018 to 2021. | 140 |
| Table 12.2 - Gold results from the core resampling program, Monster Lake Project | 144 |
| Table 12.3 - Density results from the validation program, Monster Lake Project | 146 |
| Table 14.1 - Uncapped and Capped Gold Assay Statistics | 154 |
| Table 14.2 - Summary Statistics for the Composites | 156 |
| Table 14.3 - Summary statistics for the specific gravity measurements | 157 |
| Table 14.4 - Block Model Properties | 157 |
| Table 14.5 - Estimation Parameters | 162 |
| Table 14.6 - Comparison of the Mean Grades for Blocks and Composites | 163 |

| Table 14.7 - Input Parameters Used to Calculate the Underground Cut-off Grade (Using the Long-hole Mining Method) for the Monster Lake Gold Project | 168 |
| Table 14.8 - 2024 Mineral Resource Estimate of the Monster Lake Gold Project (Effective date of July 16, 2024) | 170 |
| Table 14.9 - Sensitivity of the 2023 MRE to Different Gold Prices (Effective Date of July 16, 2024) | 172 |
| Table 25.1 - Risks for the Monster Lake Project | 178 |
| Table 25.2 - Opportunities for the Monster Lake Project | 178 |
| Table 26.1 - Estimated Costs for the Recommended Work Program | 180 |

1. SUMMARY
1.1 Introduction and Terms of Reference
InnovExplo Inc. ("InnovExplo") was commissioned by IAMGOLD Corporation to prepare a mineral resource estimate (the "2024 MRE") on the Monster Lake Project (the "Project") and a supporting Technical Report in accordance with Canadian Securities Administrators' National Instrument 43-101 Respecting Standards of Disclosure for Mineral Projects ("NI 43 101") and its related Form 43-101F1. The mandate was assigned by Marie-France Bugnon, IAMGOLD's Vice President Exploration.
The 2024 Technical Report follows the 2014 CIM Definition Standards on Mineral Resources and Mineral Reserves ("CIM Definition Standards") and the 2019 CIM Estimation of Mineral Resources & Mineral Reserves Best Practice Guidelines ("CIM Guidelines").
IAMGOLD is an intermediate gold producer and developer based in Canada with operating mines in North America and West Africa. The Company has commenced production at the large-scale, long life Côté Gold Mine in partnership with Sumitomo Metal Mining Co. Ltd., which is expected to be among the largest gold mines in Canada. In addition, the Company has an established portfolio of early stage and advanced exploration projects within high potential mining districts. The corporate headquarters of IAMGOLD is located in Toronto at 150 King Street West, Suite 2200, Toronto, Ontario, M5H 1J9. IAMGOLD is a Toronto-based public company trading on the Toronto Stock Exchange (TSX) under the symbol IMG since March 19, 1996 and on the New York Stock Exchange (NYSE) under the symbol IAG since December 20, 2005
1.2 Location
The Monster Lake Project is located in the province of Québec, Canada (Figure 4.1), approximately 45 km southwest of Chibougamau and 25 km southeast of the town of Chapais. It is located on map sheets 32G/07 and 32G/10 in the townships of Fancamp, Rale and Hazeur. The approximate centre of the project is at Latitude 49º33'N and Longitude 74º42'W (UTM coordinates 520530mE and 5489765mN, NAD 83, Zone 18).
1.3 Claim Status of the Monster Lake Project
The Monster Lake Project comprises the Winchester, Monster Lake, Lac à l'Eau Jaune and Monster Lake North properties, forming a contiguous block of 147 active claims registered under electronic map designation ("designation cells" or "map-designated claims") covering an aggregate area of 6,643.38 ha.
According to GESTIM, the Monster Lake Project claims are registered 100% to IAMGOLD Corporation Inc
The mining claims are subject to terms under several agreements as described in the following sections.
A large part of the general geological information was taken from Turcotte, 2015. IAMGOLD has done systematic geological mapping over the last three years and has revised the geological interpretation with the accumulated information from drilling to get a more detailed local geological model.

1.4 Regional Geology
The Monster Lake Project is located within the Abitibi terrane. The Abitibi terrane hosts some of the richest mineral deposits of the Superior Province, including the giant Kidd Creek massive sulphide deposit (Hannington et al., 1999) and the large gold camps of Ontario and Québec (Robert and Poulsen, 1997; Poulsen et al., 2000).
Within the Abitibi terrane, the Project is located in the Matagami-Chibougamau mineral belt, which extends eastward from the Detour Lake area in Ontario through the Québec towns of Joutel, Matagami, Chapais and finally Chibougamau. The belt is characterized by Zn-Cu massive sulphide deposits (Faure et al., 1990), Cu-Au vein deposits, and local but important lode gold deposits (Lacroix et al., 1990). Of minor importance are metasedimentary iron deposits, layered intrusion Ti-V deposits, copper porphyry deposits, and intrusion-hosted nickel deposits (Card and Poulsen, 1998). Previously, the Abitibi Greenstone Belt was subdivided into northern and southern parts based on stratigraphic and structural criteria (e.g., Dimroth et al., 1982; Ludden et al., 1986; Chown et al., 1992). Previous publications used an allochthonous model of greenstone belt development that portrayed the belt as a collage of unrelated fragments. Thurston et al. (2008) presented the first geochronologically constrained stratigraphic and/or lithotectonic map covering the entire breadth of the Abitibi Greenstone Belt from the Kapuskasing Structural Zone eastward to the Grenville Province. According to Thurston et al. (2008), Superior Province greenstone belts consist of mainly volcanic units unconformably overlain by largely sedimentary Timiskaming-style assemblages, and field and geochronological data indicate that the Abitibi Greenstone Belt developed autochthonously.The Abitibi Greenstone Belt is composed of east-trending synclines of largely volcanic rocks and intervening domes cored by synvolcanic and/or syntectonic plutonic rocks (gabbro-diorite, tonalite, and granite) alternating with east-trending bands of turbiditic wackes (MERQ-OGS, 1984; Ayer et al., 2002a; Daigneault et al., 2004; Goutier and Melançon, 2007). Most of the volcanic and sedimentary strata dip vertically and are generally separated by abrupt, east-trending faults with variable dip. Some of these faults, such as the Porcupine-Destor Fault, display evidence for overprinting deformation events including early thrusting, later strike-slip and extension events (Goutier, 1997; Benn and Peschler, 2005; Bateman et al., 2008). Two ages of unconformable successor basins occur: early, widely distributed Porcupine-style basins of fine-grained clastic rocks, followed by Timiskaming-style basins of coarser clastic and minor volcanic rocks which are largely proximal to major strike-slip faults, such as the Porcupine-Destor, Larder-Cadillac and similar faults in the northern Abitibi Greenstone Belt (Ayer et al., 2002a; Goutier and Melançon, 2007). In addition, the Abitibi Greenstone Belt is cut by numerous late-tectonic plutons from syenite and gabbro to granite with lesser dykes of lamprophyre and carbonatite. The metamorphic grade in the greenstone belt displays greenschist to sub-greenschist facies (Joly, 1978; Powell et al., 1993; Dimroth et al., 1983; Benn et al., 1994) except around plutons where amphibolite grade prevails (Joly, 1978).The following more detailed description of the new subdivision of the Abitibi Greenstone Belt is mostly modified and summarized from Thurston et al. (2008) and references therein.The Abitibi Greenstone Belt is now subdivided into seven discrete volcanic stratigraphic episodes on the basis of groupings of numerous U-Pb zircon ages. New U-Pb zircon ages and recent mapping by the Ontario Geological Survey and Géologie Québec clearly show similarity in timing of volcanic episodes and ages of plutonic activity between the northern and southern Abitibi Greenstone Belt. These seven volcanic episodes are listed from oldest to youngest:

• Pre-2750 Ma volcanic episode 1
• Pacaud Assemblage (2750-2735 Ma)
• Deloro Assemblage (2734-2724 Ma)
• Stoughton-Roquemaure Assemblage (2723-2720 Ma);
• Kidd-Munro Assemblage (2719-2711 Ma);
• Tisdale Assemblage (2710-2704 Ma);
• Blake River Assemblage (2704-2695 Ma).
Two types of successor basins are present in the Abitibi Greenstone Belt: early turbidite-dominated (Porcupine Assemblage; Ayer et al., 2002a) laterally extensive basins, succeeded by aerially more restricted alluvial-fluvial or Timiskaming-style basins (Thurston and Chivers, 1990).
The geographic limit (Figure 7.2) between the northern and southern parts of the Abitibi Greenstone Belt has no tectonic significance but is herein provided merely for reader convenience and is similar to the limits between the internal and external zones of Dimroth et al. (1982) and that between the Central Granite-Gneiss and Southern Volcanic zones of Ludden et al. (1986). The boundary passes south of the wackes of the Chicobi and Scapa groups with a maximum depositional age of 2698.8 ± 2.4 Ma (Ayer et al., 1998, 2002b).
The Abitibi Subprovince is bounded to the south by the Larder Lake-Cadillac Fault Zone, a major crustal structure that separates the Abitibi and Pontiac subprovinces (Chown et al., 1992; Mueller et al., 1996a; Daigneault et al., 2002, Thurston et al., 2008).
The Abitibi Subprovince is bounded to the north by the Opatica Subprovince a complex plutonic-gneiss belt formed between 2800 and 2702 Ma (Sawyer and Benn, 1993; Davis et al. 1995). It is mainly composed of strongly deformed and locally migmatized, tonalitic gneisses and granitoid rocks (Davis et al., 1995).
1.5 Local Geology
The Monster Lake Project is located in the eastern part of the Caopatina-Desmaraisville segment of the Abitibi Greenstone Belt, south of the Chibougamau and Chapais mining camps, more specifically between the Kapunapotagen Fault to the north and Guercheville Fault to the south, and the Grenville Front to the east. The geological setting and mineralization context in the Chibougamau region has long served as a reference framework for understanding the Caopatina-Desmaraisville segment (Guha et al., 1991; Pilote et al., 1996.).
The eastern part of the Caopatina-Desmaraisville segment is underlain by the 2734-2724 Ma Deloro Assemblage. Several volcanic cycles are distinguished in this area (Daigneault and Allard, 1990; Guha et al., 1991; Leclerc et al., 2012.; Leclerc et al., 2017):
• The first volcanic cycle consists of the Chrissie Formation represented by a lower member of basalts and an upper member of felsic volcanics containing the oldest rhyolites of the Abitibi (2798.7 ± 0.7 and 2791 + 3.7 / - 2.8 Ma: Davis and Dion, 2012; David and Dion, 2010).

• The Roy Group consists of two volcanic cycles:
o The first cycle includes Obatogamau and Waconichi formations. The Obatogamau formation consists of large sequences of mafic lavas. Volcaniclastic rocks, pyroclastic rocks, and felsic flows of the Waconichi Formation mark the end of volcanic cycle II.
o The second cycle of the Roy Group includes the Bruneau and the Blondeau Formations, composed of tholeiitic basalts for the Bruneau Formation and calc-alkaline basalts, volcaniclastic and sedimentary rocks for the Blondeau Formation.
Several regional early-deformation folds are preserved in the region (Daigneault and Allard, 1990). These folds, associated with the Kenoran orogeny, are oriented N-S to NNW but without the development of schistosity. One of these folds, the Muscocho Syncline, is located between the La Dauversière and Muscocho plutons. Both limbs are cut by the regional schistosity.
Following the development of these folds, the main deformation occurred and was characterized by N-S shortening. This structural episode was the origin of the E-W tectonic grain marked by the direction of large folds axes, the regional schistosity, and the large deformation corridor shown by longitudinal faults. Three large structures are known in the region: 1) the Druillettes Syncline, 2) the La Dauversière Anticline, and 3) the Opawica Anticline. The regional schistosity is well developed and is generally EW trending, except near the felsic intrusions where it seems to mold itself to the contacts of these intrusions. This schistosity is the dominant planar element in the region.
The late deformation episode is represented by two shear cleavages that cut or fold the main regional schistosity where the deformation is weak. In the strongly deformed areas, a crenulation cleavage affects the regional schistosity or the schistosity related to the deformation corridors.
In the Caopatina-Desmaraisville segment, the faults are grouped into four groups based on their direction and overlapping relationships: EW, SE, NE, and NNE faults. The EW and SE longitudinal faults are the oldest and associated with the regional schistosity of the main deformation episode. The NE faults cut the regional schistosity and structures related to the EW faults. Late NNE faults are commonly related to the late stages of the orogenic cycle (Figure 7.5).
The EW faults, mainly represented by the Kapunapotagen and Guercheville faults, are parallel to the trend of the regional schistosity. The two faults are typical of east-trending ductile faults that crosscut the Abitibi Subprovince and are characterized by pure shear with dextral reactivation (Daigneault and Archambault 1990; Daigneault 1996). Their widths can reach up to 1 km and they are characterized by an intense schistosity, the presence of mylonitic zones, and carbonate- and sericite-rich alteration. The Guercheville Fault has a typical magnetic signature characterized by the presence of many INPUT anomalies mainly associated with graphitic sedimentary rocks.
The NE faults are well documented in the Fancamp Deformation Corridor (FDC) area between the Eau Jaune Complex and the Verneuil Pluton. The FDC is oriented NESW (Tait, 1992b; Legault et al., 1997; Legault and Daigneault, 2006). The FDC has an average width of 600 m, can be followed for up to 32 km, and dips steeply (80°) toward the SE. The FDC is different from other deformation zones in the Abitibi Subprovince by its NE orientation and the presence of two intense cleavages. Many gold showings, including the Chevrier deposit (Figure 7.3), are spatially associated with the FDC (Legault and Daigneault, 2006).

The stratigraphy of the Monster Lake Project is dominated by mafic volcanic rocks of the Obatogamau Formation represented by massive and pillowed basalts (Figure 7.6). These mafic flows are folded, sheared and strike NE, dipping steeply to the SE. The polarity within pillowed basalt of the Megane deposit is generally SE and relative to the eastern limb of the anticline. Some basalt units also show horizons of distinctive porphyritic texture in which plagioclase phenocrysts may reach 2.5 to 3 cm and constitute up to 25% of the rock volume (glomeroporhyric basalt from the Lower Obatogamau). Other basalt flows display aphanitic texture and are stratigraphically associated to the volcanogenic turbidites, as part of the Upper Obatogamau (David Member / Waconichi). Locally the turbidites present lateral variations of facies with pinching of channelized systems, or polygenic conglomerates replacing the fine sediments.
The entire sequence has been folded, resulting in a major fold in the center of the property (the early-D1 NS thrust-folds). It can easily be traced using EM-Input anomalies near Lake Irene. This fold is interpreted as being an anticline plunging toward the NE (8 and 9). The emplacement of the Eau Jaune Complex diorite induced an antiform peripheral rim who overprinted the older NS thrust fold. It is interesting to note the majority of the gold showings on the property are located where the two folds axis overlap.
This folded supracrustal sequence is cut by many EW to ENE, NNE and NE shears related to the Guercheville and Fancamp faults. Among them, the Monster Lake Shear Zone, at least 4 km long and 3 to 10 m wide, is present on the Monster Lake Project. Its direction is ENE (N020° to N045°) dipping subvertically to the SE. The nature of the rocks in the Monster Lake Shear Zone is often difficult to establish, but it is likely that many are carbonatized sheared basalts. The rocks on either side of the shear zone are generally basalts of the Obatogamau Formation.
In the northwestern part of the Project, mafic flows are intruded by the Eau Jaune Complex (EJC). The EJC is a pre- to syn-tectonic multiphase intrusion of dioritic to tonalitic composition. Many dioritic to tonalitic dykes related to the EJC cut the supracrustal rocks.
1.6 Mineralization
Mineralization is mostly associated with smokey quartz veins (grey to black) and sulphide minerals in the wall rocks (in order of abundance: pyrite, pyrrhotite, chalcopyrite and sphalerite).
The Monster Lake Shear Zone, formerly known as the Nouvelle Shear Zone, is spatially related to several gold showings: Annie showing, Eratix showing and the 52 showing.
Several of the folded graphitic volcanogenic horizons host gold showings like 325 Showing, Megane showing and the Cominco showing. All the showings associated with this horizon are located on the eastern limb of the fold. Three of these horizons have been well defined by surface mapping and diamond drilling; The Main Shear Zone, Lower Shear Zone and the Upper Shear Zone (9). The Main Shear Zone hosts the 325-Megane Zone.

The Main Shear Zone represents the joining of two showings: the 325 showing rediscovered by G.L. Géosciences Inc. in 2009 and the Megane Showing discovered by Stellar in 2010. The showings are approximately 800 m apart. The original drill discovery was made by SOQUEM in 1995 and was known as the 45 Zone (Folco, 1995a). SOQUEM interpreted the 45 Zone as a NNE-SSW ductile shear zone, parallel to stratigraphy.
The Main Shear Zone consists of a major carbonatized shear zone, oriented N020°, dipping 80° and well mineralized over a width of about 5 m.
The mineralized zone is associated with a sulphide-rich graphitic volcanogenic horizon as centimetric to decimetric interbeds. In some places, mineralization corresponds to a brecciated shear zone (chlorite-carbonate schist) containing disseminated sulphides and lenticular smokey quartz veins. In some places, smokey quartz stringers are present as millimetric to centimetric veinlets. The mineralization consists of 1% to 30% sulphides, mainly pyrrhotite with lesser amounts of pyrite and traces of chalcopyrite and sphalerite. Visible gold is frequently observed and can reach up to 0.5%. Semi-massive sulphides are often observed. The best grades are usually found inside black quartz veins, which can reach a few meters.
1.7 Mineral Resources Estimate
The updated mineral resource for the Monster Lake Gold Project (the "2023 MRE") was prepared by QP Martin Perron, P.Eng., of InnovExplo, using all available information. The effective date of the 2024 MRE is July 16, 2024.The close-out date of the Monster Lake Gold Project database is October 11, 2023.
The mineral resource area of the Monster Lake Gold Project covers an area of a 2,500 m strike length and a 400 m width and extends to a depth of 550 m below surface. The 2023 MRE is based on diamond drill holes (DDHs) drilled between 1956 and 2021 and a litho-structural model constructed in Leapfrog. The 2023 MRE was prepared using the Leapfrog Geo software v.2023.1.1 with the Edge Extension (Edge). Isatis Neo software v.2023.08 was used for the grade estimation, and block modelling. Basic statistics, capping and validations were established using a combination of Isatis and Microsoft Excel.
The QPs are of the opinion that the Monster Lake Gold Project 2023 MRE can be classified as Indicated and Inferred mineral resources based on geological and grade-continuity, data density, search ellipse criteria, drill hole spacing and interpolation parameters. The requirement of reasonable prospects for eventual economical extraction has been met by: having a minimum width for the modelling of the mineralization zones and a cut-off grade; using reasonable inputs for the long-hole mining method scenarios; and constraints consisting of mineable shapes for the underground scenarios.
The QPs consider the Monster Lake Gold Project 2023 MRE to be reliable and based on quality data and geological knowledge. The estimate follows CIM Definition Standards.

|
Monster Lake Gold Project |
|||
|
Underground Mineral Resource (at 4,1 g/t Au cut-off) |
|||
|
Classification |
Tonnes |
Grade |
Ounces |
|
(t) |
(g/t Au) |
(oz Troy Au) |
|
|
Indicated |
239 000 |
11,0 |
84 200 |
|
Inferred |
1 053 000 |
14,4 |
488 500 |
Notes to the 2024 MRE
1. These mineral resources are not mineral reserves as they do not have demonstrated economic viability. The MRE follows current CIM Definition Standards (2014) and CIM MRMR Best Practice Guidelines (2019). The results are presented undiluted and are considered to have reasonable prospects for eventual economic extraction ("RPEEE").
2. The independent and qualified persons for the mineral resource estimate, as defined by NI 43 101, are Martin Perron, P.Eng., Audrey Lapointe, P.Geo., and Simon Boudreau, P.Eng. (InnovExplo), and the effective date of the estimate is July 16, 2024.
3. The resource estimate incorporates assay results from 420 diamond drill holes recorded on the entire property and is based on a compilation of historical holes and 161 recent diamond drill holes completed by IAMGOLD, including 51 diamond drill holes (for 17,724 metres) since end of 2017.
4. The estimation encompasses thirteen (13) lenses and a dilution envelope using LeapFrog Geo and interpolated using Isatis Neo.
5. 1.0-m composites were calculated within the mineralized zones using the grade of the adjacent material when assayed or a value of zero when not assayed. High-grade capping on composites (supported by statistical analysis) was set between 10.0 and 175.0 g/t Au for high-grade envelopes and 5.0 g/t Au for the dilution envelope.
6. The estimate was completed using a sub-block model in Isatis Neo, with a parent block size of 5m x 5m x 5m (X,Y,Z) and a sub-block size of 1.25m x 1.25m x 1.25m (X,Y,Z).
7. Grade interpolation was obtained by the Ordinary Kriging (OK) method using hard boundaries.
8. Density values of 2.88 to 2.95 g/cm3 were assigned to all mineralized zones.
9. Mineral resources were classified as Indicated and Inferred. Indicated resources are defined for blocks were estimated if the 3 holes closest to the block have an average distance < 30 m, and there is reasonable geological and grade continuity. The inferred category is defined for blocks estimated if the 3 holes closest to the block have an average distance < 50 m and if the block was not classified as Indicated and there is reasonable geological and grade continuity.
10. The MRE is locally constrained and meet the RPEEE requirement by applying constraining volumes to all blocks (selective underground long-hole extraction scenario) using Deswik Mineable Shape Optimizer (DSO).
11. The RPEEE requirement is satisfied by having a cut-off grade based on reasonable parameters for an underground extraction scenario. The estimate is presented for potential underground scenarios (realized in Deswik) over a minimum width of 2 m for blocks 20 m high by 20 m long at a cut-off grade of 4.1 g/t Au for the long-hole method. Cut-off grades reflect the currently defined geometry and dip of the mineralized envelopes. The underground cut-off grade was calculated using the following parameters: mining cost = CA$150.00/t; processing & transport cost = CA$97.87/t; G&A cost = CA$25.00/t; selling costs = CA$5.00/t; gold price = US$1,800/oz; USD/CAD exchange rate = 1.25 and mill recovery = 94%.
12. Cut-off grades should be re-evaluated in light of future prevailing market conditions (metal prices, exchange rates, mining costs etc.).
13. The number of metric tons (tonnes) was rounded to the nearest thousand, following the recommendations in NI 43-101. The metal contents are presented in troy ounces (tonnes x grade / 31.10348) rounded to the nearest hundred. Any discrepancies in the totals are due to rounding effects.
14. The QPs are not aware of any known environmental, permitting, legal, title-related, taxation, socio-political, or marketing issues or any other relevant issue not reported in the Technical Report that could materially affect the Mineral Resources Estimate.
1.8 Interpretation and conclusions
The objective of InnovExplo's mandate was to provide an updated mineral resource estimate for the Monster Lake gold deposit (the "2024 MRE").
InnovExplo created a litho-geological model of the Project using all available geological and analytical information provided by IAMGOLD's geology team. In order to conduct accurate resource modelling of the deposit, InnovExplo based its mineralized-zone wireframe model on the drill hole database, the IAMGOLD geologists geological and structural detailed interpretation and the Authors' knowledge of local geology. A total of 13 mineralized lenses were modelled combined with one dilution envelope. The interpolation of the mineralized zones was constrained by the wireframes.

The QP's conclude the following:
• The database supporting the 2024 MRE is complete, valid and up to date.
• The key parameters of the 2024 MRE (density, capping, compositing, interpolation, search ellipsoid, etc.) are supported by the available data and statistical and/or geostatistical analyses.
• The 2024 MRE includes Indicated and Inferred mineral resources, with a cut-off grades of 4.1 g/t Au for an underground long-hole mining scenarios.
• Cut-off grades were calculated at a gold price of US$1,800 per troy ounce, an exchange rate of 1.25 USD/CAD, and reasonable mining, processing and G&A costs.
• In an underground mining scenario, the Project contains estimated Indicated Resources of 239,000 t at 11.0 g/t Au for 84,200 ounces of gold and Inferred Resources of 1,053,000 t at 14.4 g/t Au for 488,500 ounces of gold.
• Additional diamond drilling could potentially upgrade some of the Inferred resources to the Indicated category and potentially add to the Inferred resources since most of the mineralized zones have not been fully explored along strike or at depth.
The QP's consider the 2024 MRE to be reliable, thorough, and based on quality data, reasonable hypotheses, and parameters prepared in accordance with NI 43-101 guidance and CIM Definition Standards and CIM Best Practice Guidelines.
The QP's are of the opinion that the recommended two-phase work program and proposed expenditures are appropriate and well thought out, and that the character of the Project is of sufficient merit to justify the recommended program. The QP's believe that the proposed budget reasonably reflects the type and amount of the contemplated activities.
However, many areas in the deposits lack information to expand the mineralized zones further. Those areas have chances to carry valuable gold grades as they are directly located on the margin of interpreted mineralized zones. Many interpreted zones could be expanded and therefore increase the number of ounces in the resources
To effectively support exploration and resource expansion objectives, IAMGOLD proposed next drilling campaign will strategically balance infill drilling with the evaluation of high-priority exploration targets. The program should emphasize resource growth within the 325-Megane zone while dedicating resources to assess promising new prospects along the mineralized trend.
The 2025 drilling plan will focus on three primary objectives, encompassing approximately 15,000 meters of drilling across 24-30 holes: infill and expansion of the existing deposit, testing deep down-dip extensions, and exploratory drilling on new high-priority targets along the mineralized trend.
The infill and depth extension drilling will be conducted in the 325-Megane zone to enhance resource confidence and facilitate the upgrade of resource classifications from Inferred to Indicated. These efforts will provide essential data to refine resource models and guide future development strategies. Additionally, depth extension drilling should target in large part the 325-Megane deposit, but also Annie and other proximal areas to assess structural and mineralized continuity at depth. It is recommended to allocate 10,000 meters for this purpose.

Exploration drilling, though limited in scope, should focus on evaluating 2-3 new high-priority targets along the mineralized trend where areas of significant interest have been identified through geological and geophysical analyses.
This program will ensure a strategic approach to both resource enhancement and the discovery of new mineralized zones, positioning the project for substantial growth and long-term success.
It is also recommended that the Issuer prioritize completing a comprehensive metallurgical sampling and characterization program. This will provide critical data to inform processing strategies and enhance the overall project evaluation.
InnovExplo has prepared a cost estimate for the recommended two-phase work program to serve as a guideline. The budget for the proposed program is presented in Table 26.1. Expenditures for phase 1 (mainly the 2025 work program) are estimated at C$4,000,000 (incl. 15% for contingencies). Expenditures for Phase 2 are estimated at C$5,000,000 (incl. 15% for contingencies) and largely for drilling activities to expand the mineral resources on this project. The grand total is C$9,000,000 (incl. 15% for contingencies). Phase 2 is contingent upon the success of Phase 1.

2. INTRODUCTION
2.1 Overview and Terms of Reference
InnovExplo Inc. ("InnovExplo") was commissioned by IAMGOLD Corporation to prepare a mineral resource estimate (the "2024 MRE") on the Monster Lake Project (the "Project") and a supporting Technical Report in accordance with Canadian Securities Administrators' National Instrument 43-101 Respecting Standards of Disclosure for Mineral Projects ("NI 43 101") and its related Form 43-101F1. The mandate was assigned by Marie-France Bugnon, IAMGOLD's Vice President Exploration.
The Project comprises the Winchester, Monster Lake and Lac à l'Eau Jaune properties, which form a contiguous block of 132 active mining claims registered to IAMGOLD Corporation (100%) The mineral tenures comprising the Project have a combined surface area of 5806.63 ha. They are located in the Fancamp, Rale and Hazeur townships.
InnovExplo is an independent mining and exploration consulting firm based in Val-d'Or, Quebec, Canada.
The 2024 Technical Report follows the 2014 CIM Definition Standards on Mineral Resources and Mineral Reserves ("CIM Definition Standards") and the 2019 CIM Estimation of Mineral Resources & Mineral Reserves Best Practice Guidelines ("CIM Guidelines").
2.2 Issuers
IAMGOLD is an intermediate gold producer and developer based in Canada with operating mines in North America and West Africa. The Company has commenced production at the large-scale, long life Côté Gold Mine in partnership with Sumitomo Metal Mining Co. Ltd., which is expected to be among the largest gold mines in Canada. In addition, the Company has an established portfolio of early stage and advanced exploration projects within high potential mining districts. The corporate headquarters of IAMGOLD is located in Toronto at 150 King Street West, Suite 2200, Toronto, Ontario, M5H 1J9. IAMGOLD is a Toronto-based public company trading on the Toronto Stock Exchange (TSX) under the symbol IMG since March 19, 1996 and on the New York Stock Exchange (NYSE) under the symbol IAG since December 20, 2005.
2.3 Report Responsibility, Qualified Persons
This technical report was prepared by Audrey Lapointe, P.Geo., Senior Geologist of InnovExplo, Simon Boudreau, P.Eng., Senior Engineer of InnovExplo and Martin Perron, P.Eng., Director of Geology of InnovExplo.
The list below presents the qualified persons ("QPs") for the Technical Report and the sections for which each QP is responsible:
• Audrey Lapointe, P.Geo., (OGQ No. 975 and PGO No. 3972), Senior Geologist at InnovExplo:

• Martin Perron, P.Eng. (OIQ No.109185 and PEO No. 100629167). Director of Geology at InnovExplo:
• Simon Boudreau, P.Eng. (OIQ No. 132338, PEO No.100647394, NAPEG No.L5047). Senior Mine Engineer at InnovExplo:
2.4 Site Visit
Audrey Lapointe of InnovExplo visited the Monster Lake property on March 20 to 21, 2024 as part of the current mandate. She visited the logging and core storage facilities at Chibougamau and examined drill collars in the field. Her visit also included a review of selected core intervals and an independent resampling and density test. In addition, she also did a review of assays, the QA/QC program, downhole surveying methodologies, and the descriptions of lithologies, alteration and structures.
2.5 Effective Date
The close-out date of the drilling database is October 11, 2023, with ML-21-259 as the last drill hole added to the database.
The effective date of the mineral resource statement is July 16, 2024.
The signature date of the Technical Report is December 6, 2024
2.6 Principal Sources of Information
As part of the mandate, InnovExplo has reviewed the following information on the Project: the mining titles and their status on the GESTIM website (the Government of Quebec's online claim management system); agreements and technical data supplied by the issuer (or its agents); and the issuer's filings on SEDAR (press releases and MD&A reports).
InnovExplo has no known reason to believe that any information used to prepare this Technical Report is invalid or contains misrepresentations. The authors have sourced the information for the Technical Report from the reports listed in Item 27.
InnovExplo reviewed and appraised the information used to prepare the Technical Report, including the conclusions and recommendations. InnovExplo believes this information is valid and appropriate, considering the status of the Property and the purpose for which the Technical Report is prepared.
None of the authors involved in the Technical Report have, or have previously had, any material interest in the issuer or its related entities. The relationship with the issuer is solely a professional association between the issuer and the independent consultants. This Technical Report was prepared in return for fees based upon agreed commercial rates, and the payment of these fees is in no way contingent on the results of the Technical Report.

2.7 Currency, Units of Measure, and Acronyms
The abbreviations, acronyms and units used in this report are provided in Table 2.1 and Table 2.2. All currency amounts are stated in Canadian Dollars ($, C$, CAD) or US dollars (US$, USD). Quantities are stated in metric units, as per standard Canadian and international practice, including metric tons (tonnes, t) and kilograms (kg) for weight, kilometres (km) or metres (m) for distance, hectares (ha) for area, percentage (%) for copper and nickel grades, and gram per metric ton (g/t) for precious metal grades. Wherever applicable, imperial units have been converted to the International System of Units (SI units) for consistency (Table 2.3).
Table 2.1 - List of Acronyms
|
Acronyms |
Term |
|
43-101 |
National Instrument 43-101 (Regulation 43-101 in Québec) |
|
CAD:USD |
Canadian-American exchange rate |
|
CIM |
Canadian Institute of Mining, Metallurgy and Petroleum |
|
CIM Definition Standards |
CIM Definition Standards for Mineral Resources and Mineral Reserves |
|
CoG |
cut-off grade |
|
CRM |
Certified reference material |
|
CSA |
Canadian Securities Administrators |
|
CV |
Coefficient of variation |
|
DDH |
Diamond drill hole |
|
G&A |
General and administration |
|
GESTIM |
Gestion des titres miniers (the MERN's online claim management system) |
|
ID2 |
Inverse distance squared |
|
JV |
Joint venture |
|
JVA |
Joint venture agreement |
|
MRNF |
Ministère des Ressources Naturelles du Québec et de la Faune (Quebec's Ministry of Natural Resources and Fauna) |
|
MRC |
Municipalité régionale de comté (Regional county municipality in English) |
|
MRE |
Mineral resource estimate |
|
MRMR |
Mineral resources and mineral reserves |
|
MSO |
Mineable Shape Optimizer |
|
n/a |
Not applicable |
|
N/A |
Not available |
|
NAD |
North American Datum |
|
NAD 27 |
North American Datum of 1927 |
|
NAD 83 |
North American Datum of 1983 |
|
NI 43-101 |
National Instrument 43-101 (Regulation 43-101 in Québec) |
|
NN |
Nearest neighbour |
|
NTS |
National Topographic System |

|
OK |
Ordinary kriging |
|
PMP |
Probable maximum precipitation |
|
QA |
Quality assurance |
|
QA/QC |
Quality assurance/quality control |
|
QC |
Quality control |
|
QP |
Qualified person (as defined in National Instrument 43-101) |
|
SD |
Standard deviation |
|
SG |
Specific gravity |
|
SIGÉOM |
Système d'information géominière (the MERN's online spatial reference geomining information system) |
|
UCoG |
Underground cut-off grade |
|
UG |
Underground |
|
UTM |
Universal Transverse Mercator coordinate system |
Table 2.2 - List of units
|
Symbol |
Unit |
|
% |
Percent |
|
$, C$ |
Canadian dollar |
|
$/t |
Dollars per metric ton |
|
° |
Angular degree |
|
°C |
Degree Celsius |
|
μm |
Micron (micrometre) |
|
cm |
Centimetre |
|
cm2 |
Square centimetre |
|
cm3 |
Cubic centimetre |
|
d |
Day (24 hours) |
|
ft |
Foot (12 inches) |
|
g |
Gram |
|
Ga |
Billion years |
|
g/cm3 |
Gram per cubic centimetre |
|
g/t |
Gram per metric ton (tonne) |
|
h |
Hour (60 minutes) |
|
ha |
Hectare |
|
in |
Inch |
|
k |
Thousand (000) |
|
ka |
Thousand years |
|
kg |
Kilogram |
|
km |
Kilometre |

|
km2 |
Square kilometre |
|
km/h |
Kilometres per hour |
|
koz |
Thousand ounces |
|
lb |
Pound |
|
M |
Million |
|
m |
Metre |
|
m2 |
Square metre |
|
m3 |
Cubic metre |
|
m/s |
Metre per second |
|
Ma |
Million years (annum) |
|
masl |
Metres above mean sea level |
|
mi |
Mile |
|
min |
Minute (60 seconds) |
|
Moz |
Million (troy) ounces |
|
Mt |
Million metric tons |
|
oz |
Troy ounce |
|
oz/t |
Ounce (troy) per short ton (2,000 lbs) |
|
ppb |
Parts per billion |
|
ppm |
Parts per million |
|
s |
Second |
|
t |
Metric tonne (1,000 kg) |
|
US$ |
American dollar |
|
y |
Year (365 days) |
Table 2.3 - Conversion Factors for Measurements
|
Imperial Unit |
Multiplied by |
Metric Unit |
|
1 inch |
25.4 |
mm |
|
1 foot |
0.3048 |
m |
|
1 acre |
0.405 |
ha |
|
1 ounce (troy) |
31.1035 |
g |
|
1 pound (avdp) |
0.4535 |
kg |
|
1 ton (short) |
0.9072 |
t |
|
1 ounce (troy) / ton (short) |
34.2857 |
g/t |

3. RELIANCE ON OTHER EXPERTS
In preparing this report, the authors have relied on information from the issuer.
The authors are not expert in legal, land tenure or environmental matters. The authors have relied on the issuer's data and information and previously completed technical reports (refer to Item 27). Although the authors have reviewed the available data, they have only validated the pertinent parts of the full data set. The authors have made judgments about the general reliability of the underlying data. If the data was deemed inadequate or unreliable, the QPs did not use them or modify the procedures to account for the lack of confidence in that information.
The issuer supplied information about mining titles, option agreements, royalty agreements, environmental liabilities and permits referred to in Item 4. The QPs are not qualified to express any legal opinion concerning property titles, ownership, or possible litigation.
The issuer supplied technical information through internal technical reports and various communications. Although exercising all reasonable diligence in checking, confirming and testing the data and formulating opinions and conclusions. The authors relied on the issuer for project data and any available information generated by previous operators.
The authors have reviewed the various agreements under which the issuer holds title to the mineral claims comprising the Property; however, the authors offer no legal opinion regarding their validity. A description of the Property, mineral titles and ownership thereof is provided only for general information. The authors have commented on environmental conditions, liabilities and estimated costs only where required by NI 43-101. For this, the authors have relied on the work of other experts considered appropriately qualified. The authors offer no opinion on the state of the environment on the Property. Statements are provided for information purposes only.

4. PROPERTY DESCRIPTION AND LOCATION
4.1 Location
The Monster Lake Project is located in the province of Québec, Canada (Figure 4.1), approximately 45 km southwest of Chibougamau and 25 km southeast of the town of Chapais. It is located on map sheets 32G/07 and 32G/10 in the townships of Fancamp, Rale and Hazeur. The approximate centre of the project is at Latitude 49º33'N and Longitude 74º42'W (UTM coordinates 520530mE and 5489765mN, NAD 83, Zone 18).
4.2 Claim Status of the Monster Lake Project
The Monster Lake Project comprises the Winchester, Monster Lake, Lac à l'Eau Jaune and Monster Lake North properties, forming a contiguous block of 147 active claims registered under electronic map designation ("designation cells" or "map-designated claims") covering an aggregate area of 6,643.38 ha (Figure 4.2).
Claim status was supplied by Marie-France Bugnon, Vice President, Exploration of IAMGOLD Corporation. The status of all claims was verified using GESTIM, the government's online claim management system available at the following website address:
gestim.mines.gouv.qc.ca/MRN_GestimP_Presentation/ODM02101_login.aspx
InnovExplo has not performed an independent verification of the legality of any underlying agreement(s) that may exist concerning the claims or other agreement(s) between third parties but has relied on information provided by Marie-France Bugnon, Vice President, Exploration of IAMGOLD Corporation who has validated the information provided in Sections 4.5.
According to GESTIM, the Monster Lake Project claims are registered 100% to IAMGOLD Corporation Inc
The mining claims are subject to terms under several agreements as described in the following sections.
A detailed list of mining titles, ownership and royalties is provided in Appendix I.


Figure 4.1 - Location of the Monster Lake Project in the province of Quebec


Figure 4.2 - Claim map for the Monster Lake Project
4.2.1 Monster Lake Property
The Monster Lake property represents part of the former Fancamp property originally owned by SOQUEM Inc. SOQUEM worked on the Fancamp property between 1984 and 2002.

In November 2000, an agreement was reached between SOQUEM and Consolidated Oasis Resources Inc. ("Oasis"). The residual Fancamp property (145 claims) was divided into two parts. SOQUEM became the sole owner of the mineral rights on 49 claims (784 ha) in exchange for a 1.5% NSR royalty in favour of Oasis, and Oasis became the sole owner of the mineral rights on 96 claims (1535 ha) in exchange for a 1.5% NSR royalty in favour of SOQUEM. The granted royalties constituted the only transactions in the agreement; no cash or exploration commitments were involved. SOQUEM's claims were named the Winchester property, whereas the Oasis claims kept the original Fancamp name. Oasis later changed its name to Oasis Diamond Exploration Inc., then Temoris Resources Inc., before becoming Glen Eagle Resources Inc. ("Glen Eagle").
Between 2001 and 2008, Glen Eagle kept the Fancamp mining titles active using historical available work credits. Glen Eagle did not conduct any major exploration activities during that period; only minor sampling programs were done on the property. Many claims expired during the period as Glen Eagle did not accumulate enough new work credits to keep all mining titles active. By the end of October 2008, the Fancamp property consisted of 42 staked claims for an area of 668.2 ha. On November 27, 2008, Glen Eagle added 36 new claims (1,774.4 ha) by electronic map designation. The new mining titles were contiguous with the existing group to form a block of 78 claims with a total surface area of 2,442.6 ha.
In late 2008, Glen Eagle transferred a 70% interest in the Fancamp property to Multi-Ressources Boréal Inc. ("Boréal") in return for a commitment of $30,000 in exploration work. On September 21, 2009, Glen Eagle approved the sale of the remaining 30% in the Fancamp property for a cash payment of $5,000. With this agreement, Boréal acquired a 100% interest in the Fancamp property, which still comprised the abovementioned 78 mining titles (42 staked claims and 36 map-designated claims). Boréal changed the name of its new property to Monster Lake. Glen Eagle did not retain any royalty in this agreement. The 42 staked claims remained subject to a 1.5% NSR in favour of SOQUEM (Figure 4.3).
On November 18, 2009, Stellar Pacific Ventures ("Stellar") signed a letter of intent to acquire a 100% interest in the Monster Lake property (composition as described above). Under the terms of the agreement, Stellar had to pay $125,000 in cash, issue 750,000 shares and incur $500,000 in exploration work over a 24-month period. Boréal was granted a 1% NSR royalty (Figure 4.3), which is redeemable for $500,000.
On December 29, 2009, Stellar signed a purchase agreement to acquire a 100% interest in the 325 property (36 claims) owned by G. L. Géoservices Inc. (50%) and Marc Bouchard (50%). In relation with the agreement, Stellar had to pay $60,000 in cash, issue 435,000 shares and incur $175,000 in exploration expenditures over a 24-month period. The vendors were granted a 2% NSR royalty (Figure 4.3) of which 1.5% is redeemable for $1,000,000. Fifteen (15) of the 36 claims expired during the 24-month period of the agreement. Only 21 claims (20 staked claims and 1 map-designated mining claim) totalling 353.3 ha were transferred to Stellar in December 2011.
Between April and June 2011, Stellar added 15 claims (546.5 ha) by electronic map designation.
On May 2, 2011, Stellar entered into a Letter of Intent with Carbon2Green ("C2G"; later TomaGold), whereby C2G would acquire three mining properties (143 claims) from Stellar. The properties were all located in the Chibougamau, Val-d'Or and Urban townships in northwestern Québec. In connection with this transaction, C2G changed its name to TomaGold. The Monster Lake property was included in this transaction. By that time, the Monster Lake property consisted of 114 claims (62 staked claims and 52 map-designated claims) and cells covering an area of 3,342.4 ha in Rale Township. In exchange for the properties, TomaGold issued 22,000,000 class A shares (common shares) of its share capital to Stellar (post-consolidation) at a price of $0.15 per share for a total consideration of $3,300,000. As part of the transaction, Stellar had to incur approximately $700,000 in expenditures on the properties before the end of 2011. As a closing condition, TomaGold completed a concurrent private placement to raise a minimum of $750,000 and a maximum of $1,500,000.
At the end of 2013, the historical staked claims of Glen Eagle (42 claims) and of G. L. Géoservices Inc. (50%) and Marc Bouchard (50%) (20 claims) were converted into map-designated claims.

4.2.2 Winchester Property
The claims of SOQUEM's Winchester Property to the south of the Monster Lake property expired some time after the November 2000 agreement with Oasis, and the area became open to staking. In 2010, Gaspénor Géo-Sciences Inc. ("Gaspénor") and MGWA Holding International Inc. ("MGWA") map-staked the same area covered by the former Winchester property and retained the same property name.
In May 2012, TomaGold signed an agreement to acquire a 100% interest in the Winchester property, which consisted of 21 map-designated claims covering 1,069.9 ha. TomaGold acquired the property in exchange for $32,000 by issuing a total of 106,666 common shares of TomaGold to MGWA (80,000 shares) and Gaspénor (26,666 shares).
The Winchester property is not subject to any royalty.
4.2.3 Lac à l'Eau Jaune Property
In April 2012, TomaGold Corporation concluded an agreement with Diagnos Inc. to acquire a 100% interest in the Lac à l'Eau Jaune property, which consisted of 25 map-designated claims covering 1,394.7 ha. The property is adjacent to the Monster Lake property along its northeast edge. TomaGold acquired the property in exchange for 250,000 common shares of TomaGold issued to Diagnos, who retains a 2% NSR royalty (Figure 4.3) of which 1% is redeemable for C$1,000,000.
4.2.4 Monster Lake North Property
The Monster Lake North property comprises 15 claims covering a total area of of 836.75 hectares, or 8.37 km2. This claim block, acquired in October 2018 by IAMGOLD Corporation, is 100% owned by the company.
4.3 Quinto Resources Inc. Agreement with TomaGold
In November 2012, TomaGold signed a joint venture agreement with Quinto Resources Inc. (formerly Quinto Real Capital Corporation) ("Quinto") for the exploration and development of the Monster Lake property. The agreement granted Quinto the option to acquire an initial 50% interest in the Monster Lake property in exchange for 1,000,000 shares of Quinto to be issued on closing of the transaction, $350,000 paid to TomaGold over a four-year period, and the funding of $6 million in exploration work over a four-year period. Upon earning its 50% interest, Quinto would have the option of acquiring an additional 20% interest by the seventh anniversary of the agreement in exchange for $4 million in additional exploration work or a feasibility study fully financed by Quinto.

On September 23, 2013, TomaGold and Quinto concluded a definitive agreement to amend their 2012 option agreement. Pursuant to the agreement, TomaGold transferred and sold to Quinto an undivided interest of 10% in the property in exchange for the retrocession by Quinto of all its rights in the 2012 option agreement and its renunciation to all its rights and privileges provided in said agreement. Accordingly, subject to adjustments provided in the amendment, TomaGold gained an undivided interest of 90% in the property and became the sole operator of the project.
Moreover, TomaGold undertook to take charge of the debentures and to indemnify Quinto from the closing of the transaction and to execute the following obligations: TomaGold consented to issue new debentures and to take charge of the monetary payment obligations of the principal amount and interests due from time to time to the holders of debentures of Quinto for an initial aggregate principal amount of $500,000, the placement of which occurred on February 28, 2013.
On January 11, 2019, TomaGold announce the signature of an agreement with Quinto Resources Inc. (TSXV: QIT) ("Quinto") to acquire Quinto's 5% interest in the Monster Lake property for a cash payment of $500,000. Following this transaction, TomaGold will own a 50% interest in the Monster Lake property, with IAMGOLD Corporation ("IAMGOLD") holding the other 50%.
4.4 IAMGOLD Agreement with TomaGold
On November 12, 2013, TomaGold finalized an option agreement with IAMGOLD in which IAMGOLD may earn a 50% interest in each of the Monster Lake, Winchester and Lac à l'Eau Jaune properties (the current "Monster Lake Project") for a total of $17,575,000, including $16 million in exploration work and $1,575,000 in payments over five years. IAMGOLD acted as the project operator during the acquisition period of its 50% interest.
On November 2, 2015, TomaGold announced the terms of an amended agreement with IAMGOLD whereby IAMGOLD had acquired a 50% interest in the Monster Lake Project in exchange for a cash payment of $3,220,000 to TomaGold. For the Monster Lake property, the interests of TomaGold (90%) and Quinto (10%) became diluted on a proportionate basis to become 45% and 5%, respectively.
According to the agreement, IAMGOLD also has the option of acquiring an additional 25% interest in the Monster Lake Project by spending $10,000,000 on exploration over a 7-year period, of which a minimum of $500,000 must be spent each year. The effective start date of the exploration work commitment was January 1, 2015.
If IAMGOLD acquires a 75% interest in the Monster Lake Project, TomaGold will have the option to fund its share of the exploration expenditures to retain its interest in the project, subject to a dilution clause if TomaGold is unable to finance its share of exploration expenses. If TomaGold is diluted to a 10% interest in the project, its interest will be converted to a 1.5% NSR royalty with a buy-back clause. IAMGOLD will have the opportunity to repurchase a 0.75% NSR royalty for $2,000,000 and the payment for the remaining 0.75% NSR royalty would be capped at $8,000,000.

The agreement also identifies two additional payments that will be made in the event that IAMGOLD decides to build a mine and at the start of commercial production. For each of these steps, IAMGOLD will make an additional payment of $1,000,000 to TomaGold in cash or in common shares of IAMGOLD (at the discretion of IAMGOLD).
On September 17, 2020, TomaGold announced the signing of an asset purchase agreement (the "Agreement") for the sale of its 25% interest in the Monster Lake Project (the "Minority Interest") to IAMGOLD Corporation ("IAMGOLD"). IAMGOLD will pay TomaGold $8.5 million as consideration for the Minority Interest, consisting of $500,000 in cash and $8.0 million in IAMGOLD common shares based on a 10-day volume weighted average price (VWAP) on the TSX preceding the date of signing. IAMGOLD currently holds a 75% interest in the Monster Lake Project.
On November 11, 2020, TomaGold announced that it has closed the transaction with IAMGOLD Corporation ("IAMGOLD") for the sale of the Corporation's 25% undivided interest in the Monster Lake project and the related mineral rights. IAMGOLD paid $500,000 in cash and issued 1,464,377 common shares to TomaGold. Following this transaction, IAMGOLD now hold a 100% interest in the Monster Lake Project.


Figure 4.3 - Royalty map for the Monster Lake Project
4.5 Permits and Environmental Liabilities
Permits are required for any exploration program which involves tree-cutting to create road access for the drill rig, or to carry out drilling and stripping work. Permitting timelines are short, typically on the order of 3 to 4 weeks. The permits are issued by the Ministère des Forêts, de la Faune et des Parcs ("MFFP"; Ministry of Forestry, Wildlife and Parks). IAMGOLD has the required permits to execute the drilling and stripping programs.

QPs are unaware of any environmental liabilities, permitting issues or municipal social issues concerning the Project. All exploration activities conducted on the Project comply with the relevant environmental permitting requirements.
4.6 Other Significant Factor and Risks (Surface Rights)
The Monster Lake Project is located in Eeyou Istchee-James Bay territory on Category III lands belonging to the Government of Québec and is subject to the James Bay and Northern Quebec Agreement. Mineral exploration is allowed under specific conditions. The issuers shall be submitted to the Environmental Regime which considers the Hunting, Fishing and Trapping Regime. On Category III lands, Eeyou Istchee peoples have exclusive rights to harvest certain species of wildlife and to conduct trapping activities. Each hunting area has a tallyman. The issuers had from time to time communicated with the regional level of government and the Cree Nation Government on these matters.

5. ACCESSIBILITY, CLIMATE, LOCAL RESOURCES, INFRASTRUCTURE AND PHYSIOGRAPHY
5.1 Accessibility
The Monster Lake Project is easily accessed via an all-season gravel logging road (Figure 5.1 and Figure 5.2) that branches off provincial highway 113 about 10 km east of the town of Chapais. A network of smaller dirt logging roads also provides access to the project with UTV trails also present.
Mining and drilling operations may be generally carried out year-round with some limitations in specific areas of the Monster Lake Project, but surface exploration work (mapping, channel sampling) should be planned from mid-May to mid-October. Lakes are usually frozen and suitable for drilling from January to April. Conditions may be difficult when snow melts in May and for a few weeks during moose hunting season in the fall.
5.2 Climate
The Monster Lake Project area has a subarctic climate, despite its position below latitude 50 degrees latitude. Winters are long, cold and snowy, and summer warm and mild, though short. According to Environment Canada (climat.meteo.gc.ca/climate_normals), statistics for the the town of Chapais during the 1981-2010 period show a daily average temperature for July of 16.4°C and a daily average temperature for January of -18.8°C. The record low was -43.3 °C and the record high was 35°C. Overall, precipitation is high for a subarctic climate with an average annual precipitation of 996 mm, and 313 cm of snow in the winter season, which runs from October to May with a peak from November to March. There are, on average, 231 days without frost. Precipitation is considerable year-round, although February through April are drier. Climatic conditions do not seriously hinder exploration or mining activities, with only some seasonal adjustments for certain types of work (e.g., conducting mapping in summer and drilling boggy areas in winter).
5.3 Local Resources and Infrastructure
Social and health services, as well as services related to the mining industry, can be found at the towns of Chibougamau and Chapais located less than 40 km from the project or in the community of Ouje-Bougoumou (Figure 5.2). Qualified personnel can be found throughout the region. Chibougamau has a population of approximately 7,500, Chapais 1,500 and Ouje-Bougoumou 740 (Statistics Canada). These localities have quarry-specific equipment and workers specialized in quarrying. The necessary workforce for mining production should not be difficult to find as Chibougamau and Chapais were former mining towns.
Cellular connections, electricity, train infrastructure and other services are found within 50 km of the project. The Chibougamau/Chapais Airport is located 20 km southwest of Chibougamau or about halfway to Chapais along Highway 113.
A high voltage line crosses the Monster Lake property (Figure 5.2).
Water is readily available from the many creeks and lakes found on the Monster Lake Project.

5.4 Physiography
The region is fairly flat with the presence of numerous lakes and wetlands. The Project is covered by thick glacial deposits. Outcrop exposure on the project is average to poor.
The forest consists of various types of conifers dominated by black spruce and larch in wet areas. The forest has been harvested over most of the Project.
Fauna is typical for this type of forest, with moose, black bears, foxes, partridges, hares, beavers and numerous small mammals.
The altitude varies between 365 masl and 380 masl.

Figure 5.1 - An all-season gravel logging road on the Monster Lake Project


Figure 5.2 - Access and waterways of the Monster Lake Project and surrounding region

6. HISTORY
Most of the following information was taken and modified from Athurion et al. 2018 and Kwopnang et al., 2019.
A summary of historical work on the Monster Lake Project is presented in Table 6.5.
6.1 Period: 1936 to 1957
In 1936, Noranda Mines Ltd began preliminary work on base metal showings at Lac à l'Eau Jaune, but their findings did not justify further development (Holmes, 1952). The Chibougamau region saw significant staking activity during two rushes: the first in 1949, following Calmor Mines Ltd's discovery of a mineralized shear zone at Lac Calmor, and the second in 1950, after prospectors H. Norrie and W. Lipsett uncovered a shear zone that later became the Joe Mann Mine, which produced intermittently from 1956 to 2000. In 1950, Teck Exploration Ltd made a gold discovery near the Monster Lake Project at Lac Chico, reporting three gold zones associated with a NE-SW structure within the Fancamp Deformation Corridor (Holmes, 1952).
Canadian Nickel Company Ltd explored the Lac Irène area in the mid-1950s, drilling several holes and encountering mineralized zones with pyrrhotite, pyrite, and chalcopyrite. However, no assays were reported. Between 1955 and 1957, Canadian Nickel drilled eight holes for a total of 1005.8 meters, with three reported and filed in SIGEOM. SOQUEM later identified the historical cores for five additional holes, revealing mineralization with pyrrhotite and chalcopyrite (Vachon, 1986).
6.2 Period: 1974 to 1982
Exploration accelerated in the 1970s with Cominco Ltd conducting a major geophysical survey in 1974 over a large area, detecting numerous conductive zones. In 1975, Questor Surveys Ltd carried out airborne EM and magnetic surveys for the Ministry of Energy and Resources of Québec (MERQ), resulting in the staking of 64 claims east of Lac à l'Eau Jaune (Crown property). By 1976, Cominco followed up with ground-based surveys, investigating 31 conductive zones, including grids located on the current Monster Lake Project. Two of these grids, RAS 4 and RAS 6, showed magnetic and electromagnetic anomalies but yielded no significant assay results.Cominco continued its work in the area, drilling a hole in 1978 (W-78-10A) on the RAS-4 grid, intersecting andesite with a sulphide iron formation containing pyrite, graphitic argillites, and pyrite beds, which returned an average grade of 1.07 g/t Au over 3.5 meters.Meanwhile, Patino Mines Ltd staked several claim blocks in 1977 and carried out geophysical surveys, discovering multiple conductors. In 1978, Patino drilled several holes, including one on the Rasles #1 block, which intersected highly silicified rhyolite and returned 1.37 g/t Au over 0.9 meters. Drilling on the Rasles #9 block identified disseminated pyrrhotite and pyrite with minor quartz-carbonate veining, though no significant assays were found.In 1978, further geophysical surveys were conducted by Karl Glackmeyer and Associates and Les Relevés Géophysiques Inc., identifying multiple targets on the Crown property near the Monster Lake Project. These surveys revealed promising geophysical anomalies, but further work was limited due to policy changes, and the ground was eventually opened for staking.


Figure 6.1 - Location of historical work carried out on the Monster Lake Project before 1982. Collars of historical drill holes are shown by red circles (Turcotte, 2015)

6.3 Period: 1983 to 1990
1983-1984:
Charles D. Robbins staked 35 claims in 1983 (Figure 6.2) and commissioned a geologic and geophysical study of the property by Peter H. Smith. The area was underlain by intermediate to basic volcanic rocks, with no significant showings, though a strong magnetic anomaly was noted. A soil survey in 1984 detected slight gold anomalies near volcanic/intrusive contacts in the southwestern part of the property.
Meanwhile, SOQUEM discovered three auriferous erratic blocks with gold values ranging from 3.02 to 24.9 g/t Au, suggesting a nearby source. This led to the staking of 239 additional claims and the discovery of the Eratix gold-bearing quartz veins. In 1984, four drill holes were completed on the Eratix showing, with results up to 4.97 g/t Au over 0.67 m. New gold mineralization was found at the Quatre-Chemins showing.
1985:
SOQUEM and Noranda conducted extensive surveys in the region. Noranda staked 192 claims and carried out a geological survey, revealing a mix of mafic lavas and granitic intrusions. In the same year, the Blanchard property, now owned by James U. Blanchard, saw geological mapping and reconnaissance geophysics. Targets of interest were identified in the northern and southern parts of the property, including WNW-trending zones with potential gold mineralization.
SOQUEM and Sullivan Mining Group formed an agreement over the Fancamp property. This involved stripping, trenching, and drilling at the Eratix showing, with drill results up to 11.01 g/t Au over 1.0 m. Stripping also led to the discovery of the Nouvelle Zone, which yielded up to 16 g/t Au over 1 m.
1986:
SOQUEM continued exploration with additional drilling, trenching, and geophysical surveys. Notably, 11 drill holes (totaling 1,147 m) tested the Eratix and Nouvelle zones, with the best result from the latter showing 2.57 g/t Au over 5.1 m. Meanwhile, other companies, including Noranda and Achates, conducted surveys on surrounding properties. A major geophysical campaign by SOQUEM and Sullivan in the Nouvelle Zone did not yield significant gold values, but exploration continued across the region.
1987:
The exploration intensity increased with multiple companies active in the region. SOQUEM and Sullivan continued trenching and drilling, and Cambior acquired Sullivan's stake in the Fancamp property. Golden Rocks Exploration and Achates also completed drilling programs, but no significant gold results were obtained from their work. A 121.9 m drill hole by Achates in the northeast part of the Monster Lake Project encountered a shear zone but showed no substantial gold values.
1988-1989:
Esso Resources Canada Ltd drilled two holes on the Monster Lake Project, passing through sedimentary and volcanic rocks, but no significant gold values were found. In 1989, SOQUEM conducted a heliborne REXHEM-4 survey, and Cambior ended its partnership with SOQUEM, leaving SOQUEM with full ownership of the Fancamp claims.


Figure 6.2 - Location of historical work carried out on the Monster Lake Project before 1990. Collars of historical diamond drill holes are shown by red circles (Turcotte, 2015)

6.4 Period: 1991 to 2000
1991:
SOQUEM conducted extensive geophysical surveys, including magnetic-gradiometric and EM (VLF) surveys, covering 326 km of lines on the Fancamp property (Figure 6.3). A drilling program (8 holes, 2,126 m) followed, targeting geophysical anomalies and topographic lineaments in the Lac Irène and Rivière Eratix areas, with the best result being 4.57 g/t Au over 1 m.
In the same year, SOQUEM discovered the Trois-Chemins showing, a 7-8 m wide shear zone containing quartz veins, with channel samples returning 8.0 g/t Au over 2 m and 5.5 g/t Au over 3 m. Additional showings were found in the Lac à l'Eau Jaune area, with grab samples up to 6.2 g/t Au.
1993:
SOQUEM conducted an IP survey over the Eratix and Trois-Chemins showings, confirming mineralization anomalies. Later, SOQUEM entered into an option agreement with Consolidated Oasis Resources Inc. ("Oasis"), granting Oasis a 50% interest in the Fancamp claims. A major IP survey (67.5 km of lines) was carried out over the Fancamp property, identifying several anomalies. At the end of 1993, Pierre de Chavigny compiled all exploration data, laying the foundation for the 1994 drilling program.
1994:
In early 1994, SOQUEM and Oasis drilled 26 holes (2,666 m), targeting IP, VLF, and Mag anomalies. New gold zones, including the Annie showing (Zone III) with 14.7 g/t Au over 4.5 m, were discovered. Zone IV yielded 5.05 g/t Au over 2.9 m.
Further exploration in the summer included IP surveys (25.8 km), geological mapping, stripping, trenching, and additional drilling. Six holes (960 m) were drilled, with Zone IV returning 2.32 g/t Au over 5.1 m. By the end of the year, Oasis and SOQUEM each held 50% of the Fancamp property.
1994-1995:
From December 1994 to March 1995, SOQUEM and Oasis drilled 37 holes (5,705.5 m), expanding on the Nouvelle Zone, Annie showing, Zone IV, and Eratix showing. Two new gold-bearing structures, the No. 45 (2.09 g/t Au over 3.2 m) and No. 52 (6.1 g/t Au over 5.1 m), were discovered.
In the summer of 1995, 11 more holes (2,078 m) were drilled to trace extensions of the No. 45 and No. 52 structures. The best result was 5.06 g/t Au over 1.6 m in the No. 52 structure.
1996:
A HEM MaxMin survey (57.1 km of lines) was conducted by SOQUEM and Oasis, outlining eight conductors.
1999-2000:
In 1999, Oasis' interest in the Fancamp property was diluted to 48.41%. In 2000, a new agreement divided the property: SOQUEM took full ownership of 49 claims (renaming it the Winchester property) in exchange for a 1.5% NSR royalty, while Oasis retained the remaining claims under the Fancamp name.


Figure 6.3 - Location of SOQUEM's former Fancamp property (pre-2000). Collars of historical drill holes are shown by red circles (Turcotte, 2015)

6.5 Period: 2001 to 2010
2001:
SOQUEM entered into an option agreement with Plexmar Resources Inc. on the Winchester property, where between 2001-2002, a two-phase drilling program identified a new gold-bearing structure, the No. 86 structure. The best result was 2.35 g/t Au over 7.4 m. By the end of 2002, Plexmar earned a 50% interest in the property.
2001 to 2008:
Glen Eagle Resources Inc. (formerly Consolidated Oasis) kept the Fancamp property active through historical work credits but did not conduct major exploration. Minor sampling was done, and in 2006, an airborne EM and Mag survey was conducted over the Monster Lake area. The survey was funded by Natural Resources Canada.
2006:
Diagnos Inc. staked 21 claims east of Lac à l'Eau Jaune and granted HuntMountain Resources Ltd. an option to acquire the property. In 2007-2008, the companies conducted geological surveys, rock, and soil sampling, with a few high-grade samples found, but no significant results were obtained.
2008:
Geo Data Solutions Inc. conducted a helicopter-borne magnetic survey for Tawsho Mining, covering most of the former Lac à l'Eau Jaune property. That same year, Glen Eagle sold its 70% interest in the Fancamp property to Multi-Ressources Boréal and later disposed of the remaining 30% in 2009.
2007 to 2009:
G. L. Géoservices carried out prospecting and sampling on the 325 property, discovering the 325 showing, which returned up to 12.77 g/t Au over 3.1 m. Trenches excavated in 2009 exposed altered shear zones with up to 4.73 g/t Au.
In late 2009:
Stellar Africa Gold Inc. acquired the Monster Lake and 325 properties and merged them.
2010:
Stellar compiled historical data for the Monster Lake project and confirmed previous gold values. The Megane showing was stripped over 125 m, yielding up to 9.71 g/t Au over 5.2 m. Among other showings, only the 325 returned significant results, with 7.26 g/t Au over 1.6 m.
In December 2010, Stellar completed a 23-hole drilling program totaling 2,983.5 m, focusing on the 325, Megane, and Annie showings, as well as the No. 52 structure, with the best results from the program detailed in their reports. Best results are presented in Table 6.1.

Table 6.1 - Best results from Stellar's 2010 drilling program (Turcotte, 2015)
| Zone name | Hole | From (m) | To (m) | Core Length (m) |
Au (g/t) |
| 52 Structure | M-15-10 | 79.0 | 83.0 | 4.0 | 3.17 |
| 325 Zone | M-16-10 | 47.1 | 52.4 | 5.3 | 4.58 |
| including | 47.1 | 50.6 | 3.5 | 6.54 | |
| 325 Zone | M-17-10 | 108.5 | 110.0 | 1.5 | 34.29 |
| 325 Zone | M-18-10 | 78.0 | 83.0 | 5.0 | 5.41 |
Note: all assays were cut at 34.2857 g/t Au
In 2010, Gaspénor Géo-Sciences Inc. ("Gaspénor") and MGWA Holding ("MGWA") map-staked the area of SOQUEM's former Winchester property. SOQUEM's claims had expired and the area was open to staking. During the summer of 2011, Gaspenor and MGWA completed a geological compilation study and a geological reconnaissance program on their property (Giroux, 2011).
In 2011, Stellar drilled 24 holes (M-23-11 to M-34-11 and M-36-11 to M-11-48) totalling 2,204.0 m (O'Dowd, 2012). The drilling program targeted the 325 and Megane showings and their extensions. Best results are shown in Table 6.2.
Table 6.2 - Best results from Stellar's 2011 drilling program (Turcotte, 2015)
|
Zone name |
Hole |
From (m) |
To (m) |
Core Length |
Au (g/t) |
|
325 Zone |
M-25-11 |
49.5 |
55. |
5.5 |
12.98 |
|
325 Zone |
M-36-11 |
95.0 |
97.0 |
2.0 |
8.38 |
|
325 Zone |
M-37-11 |
100.0 |
105.0 |
5.0 |
8.05 |
|
325 Zone |
M-38-11 |
96.0 |
99.0 |
3.0 |
7.22 |
|
325 Zone |
M-44-11 |
125.0 |
129.0 |
4.0 |
4.92 |
|
including |
125.0 |
127.0 |
2.0 |
8.37 |
Note: all assays were cut at 34.2857 g/t Au
6.6 Period: 2011 to November 2013 (TomaGold Corporation)
On May 2, 2011, TomaGold Corporation ("TomaGold", formerly Carbon2Green) acquired the Monster Lake property from Stellar, along with two other gold projects (Urban and Vassan).

In October 2011, Diagnos carried out geological mapping and rock sampling on their Lac à l'Eau Jaune property, targeting the areas that had not been visited in 2007 and 2008 (Popiela, 2011). No significant results were reported.
In February 2012, TomaGold began a drilling program on their Monster Lake property. During the year, 47 holes were drilled for a total of 6,852.0 m. The drilling program focused on the 325, Annie and Cominco showings. The best results are presented in Table 6.3.
Table 6.3 - Best results from TomaGold's 2012 drilling program (Turcotte, 2015)
| Zone name | Hole | From (m) | To (m) | Core Length (m) |
Au (g/t) |
| 325 Zone | M-12-57 | 49.5 | 55.0 | 5.5 | 12.98 |
| Annie Zone | M-12-60 | 69.0 | 74.7 | 5.7 | 34.29 |
| Annie Zone | M-12-72 | 116.2 | 119.2 | 3.0 | 5.38 |
| Annie Zone | M-12-72B | 32.25 | 34.5 | 2.25 | 7.51 |
| Annie Zone | M-12-72C | 33.75 | 45.0 | 11.25 | 5.74 |
| including | 40.5 | 42.75 | 2.25 | 12.60 | |
| Annie Zone | M-12-74 | 92.8 | 98.8 | 6.0 | 5.45 |
| including | 95.8 | 98.8 | 3.0 | 7.35 |
Note: all assays were cut at 34.2857 g/t Au
In April and May 2012, TomaGold acquired 100% interests in the Lac à l'Eau Jaune and Winchester properties. In August 2012, TomaGold contracted Aecom Energy for a structural study on the Monster Lake property, confirming gold-bearing veins with a pinch-and-swell structure and erratic gold distribution due to the "nugget effect." The study showed sinistral shearing in the horizontal plane and reverse shearing in the vertical plane, with a shallow plunge to the NNE.
In October 2012, TomaGold partnered with METCHIB for mineralogical and metallurgical testing of a 45 kg sample from the 325 gold zone. The study revealed a gold head grade of 4.8 g/t Au, with the best recovery of 96.3% from direct cyanidation of whole ore. The ore was classified as medium in hardness with a ball mill work index of 14.78 kWh/t. Gold recovery in the Knelson concentrator was 59% with 10% of the initial mass. Direct cyanidation of whole ore yielded the best recovery (96.3%).
In November 2012, TomaGold signed a joint venture agreement with Quinto Resources for the Monster Lake property, granting Quinto the option to acquire a 50% interest. In February 2013, TomaGold and Quinto launched a diamond drilling program to test the extension of the 325 Zone, drilling 15 holes totaling 4,997.4 m. The program confirmed the 325 Zone extends 150 m along strike and down to 330 m in depth, remaining open at depth. Best results are shown in Table 6.4.

Table 6.4 - Best results from TomaGold's 2013 drilling program (Turcotte, 2015)
| Zone name | Hole | From (m) | To (m) | Core Length (m) |
Au (g/t) |
| 325 Zone | M-13-93 | 243.3 | 250.2 | 6.9 | 15.63 |
| 325 Zone | M-13-94 | 226.5 | 232.8 | 6.3 | 8.94 |
| 325 Zone | M-13-95 | 288.4 | 295.6 | 7.2 | 29.06 |
| 325 Zone | M-13-98 | 274.6 | 281.9 | 7.3 | 12.67 |
| 325 Zone | M-13-99 | 214.4 | 223.0 | 8.6 | 10.00 |
| 325 Zone | M-13-101 | 282.55 | 283.45 | 0.9 | 34.29 |
| 325 Zone | M-13-103 | 370.0 | 372.55 | 2.6 | 7.31 |
| 325 Zone | M-13-105 | 355.9 | 367.2 | 11.3 | 8.65 |
| including | 360.9 | 367.2 | 6.3 | 12.20 | |
| 325 Zone | M-13-106 | 259.2 | 261.0 | 1.8 | 18.62 |
Note: all assays were cut at 34.2857 g/t Au
On July 3, 2013, TomaGold announced initial results from the drilling program on its Winchester property adjacent to the Monster Lake property, about 6 km to the south-southwest of the 325 Zone. The drilling program focused on the No. 86 structure discovered in 2002 by SOQUEM. Over the course of the year, four (4) holes were drilled on this property, totalling 1,170.0 m (holes W-13-01 to W-13-04). The best result obtained in the No. 86 structure was 6.94 g/t Au over 3.25 m (hole W-93-02).

Table 6.5 - Historical work on the Monster Lake Project (modified from Turcotte, 2015)
| Year | Company/Owners | Exploration Work | Comments | Reference |
| 1949 | Noranda Mines Ltd. |
Drilling | Shallow drilling (10 DDH for 220.37 m) in the vicinity of two nickel-copper showings identified on surface. One hole intersected a mineralized diorite (Py-Po-Cp) in contact with volcanic tuff, greywacke and graphitic mafic tuff. No sampling was carried out. | Gamey (1949) |
| 1953 | Drilling | 7 DDH for 652.41 m were drilled in the area of the surface trenches on the "Lac à l'Eau Jaune" copper-nickel showings. | Gamey (1953) | |
| 1956-1957 | Canadian Nickel Company Ltd. | Drilling | 3 DDH for 384.7 m. | Company drill logs |
| 1962 | Noranda Mines Ltd. | Drilling | 1 DDH for 91.4 m. | Troop (1962) |
| 1968 | MRN | Showing Description | Brief description of Cu-Ni showing outcrops in the Lac à l'Eau Jaune area (#C-RAS-2) | Duquette (19868) |
| 1974 | Cominco Ltd. | Geophysical survey | Airborne EM and Mag surveys (492 km2 of ground with 200-m line spacing). | Stemp (1975) |
| 1975 | MERQ | Geophysical survey | Airborne EM and Mag surveys with lines spaced 650 m. | MERQ (1977) Géomines (1981) |
| 1976 | Cominco Ltd. | Geological, soil, and geophysical surveys | Detailed geological survey following by soil survey (B-horizon) over EM anomalies, and 31.5 km of HLEM profiles and Mag surveys with line spacing of 150 m. | Shimron and Wallis (1976) Robertshaw and Burton (1977) |
| 1977 | Patino Mines (Québec) Ltd. | Geophysical surveys | EM (McPhar VHEM) and Mag surveys. | Born (1980) |
| 1977 | Umex-Union Minière Explorations and Mining Corporation Ltd. | Geophysical surveys | Ground EM-Mag surveys over the Cu-Ni Lac à l'Eau Jaune showings to check the extensions. | Imbeau (1977) |
| 1978 | Cominco Ltd. | Drilling | 1 DDH totalling 182.9 m; best result: 1.07 g/t Au over 3.5 m. | Burns and Ewert (1978) |
| 1978-1981 | MERQ | Geophysical surveys Geological surveys | IP (a = 50 m; n = 2), Mag, small-loop frequency-domain EM (HEM MaxMin), and VLF EM surveys; total of 83.2 km of lines spaced 125 m. | Lavoie (1981) Géomines (1981) |

| Year | Company/Owners | Exploration Work | Comments | Reference |
| Heliborne Mag and EM survey totalling 208 km with N-S and E-W lines spaced 150 m. Detailed geological survey. |
||||
| 1980 | SEREM Ltd. | Drilling Geophysical survey |
The work included an EM survey and diamond drilling. 9 DDH were drilled for a total of 1,084.5 m on 9 EM conductors. All were explained by the presence of disseminated to semi massive Py-Po +/-Cp in andesite and diorite. Feldspar porphyries were intersected, as well as graphitic graphite tuffs and greywacke. Several assays of 0.14-0.25% Cu / 0.25 m-1.0 m. | Vachon (1980) |
| 1981-1982 | MERQ | Geophysical surveys | Magnetic and VHEM surveys over 77 km of lines spaced 100 m. | Lavoie (1982) |
| 1983-1984 | Charles D. Robbins | Geological and geophysical compilation Soil survey |
Slightly anomalous gold values detected by reconnaissance soil geochemistry survey. | Smith (1984) |
| 1984 | Glen Kasner | Geological compilation | No gold showings reported. | Constable (1985a) |
| 1984 | SOQUEM | Geological reconnaissance Geological mapping Prospecting Geophysics stripping Drilling |
Discovery of the Eratix showing, with averages up to 1,225.9 g/t Au in smokey quartz veins (native gold). 3-line IP survey test. 4 DDH for 342.6 m; best result: 4.97 g/t Au over 0.7 m. Discovery of Quatre-Chemins showing. | Thériault (1985) Vachon (1985) McCann (1987) |
| 1984-1985 | Noranda Exploration Ltd. | Geological reconnaissance | Shear identified on the Monster Lake property. | Archer et al. (1985) |
| 1985 | James U. Blanchard | Geological mapping Geophysics reconnaissance |
New geological interpretation based on historical MERQ geophysical surveys. | Smith (1985a) |
| 1985 | G. J. Hinse | Geological survey | Mineralized quartz veins observed. | Constable, (1985b) |
| 1985 | Achates Resources Ltd. | Geological survey Reconnaissance basal till sampling HEM, VLF, and Mag surveys |
Geophysical surveys confirm presence of two major structural directions (NE and ESE). No anomalous results obtained in basal till. | Smith (1985b) |
| 1985 | SOQUEM Sullivan Mining Group | Geophysical survey Detailed geological mapping Stripping Channel sampling Drilling |
Mag survey of 292 line-km with lines spaced 150 m apart, 280 km of VLF EM survey. IP survey of 20 km with lines spaced 150 m apart (a = 5, n = 2). 8 DDH for 1,066.3 m. Best result: 11.01 g/t Au over 1.0 m. | Tittley (1985) Hubert (1986) Vachon (1986) |

| Year | Company/Owners | Exploration Work | Comments | Reference |
| 1986 | SOQUEM Sullivan Mining Group | Detailed geological mapping Stripping Channel sampling Drilling | 13 trenches with cumulative length of 887 m and total surface area of 5,476 m2. 3 trenches led to the discovery of the Nouvelle Zone about 700 m SW of the Eratix showing. Best channel result: 16 g/t over 1.0 m. 15 DDH for 1485.4 m; best result: 2.57 g/t Au over 5.1 m. | McCann (1987) |
| 1986 | James U. Blanchard | Geophysical survey | 28.5 km of Mag and 30 km of HLEM MaxMin surveys; 4 conductors identified. | Smith (1986) |
| 1986 | Noranda Exploration Ltd. | Geophysical survey | IP survey covering 42 km of lines spaced 200 m (a = 50, n = 3) and 92 km of Mag survey. Some IP anomalies reported. | Turcotte (1987) |
| 1986 | Achates Resources Ltd. | Geophysical survey | 62.5 km of Mag survey and 55.4 km of MaxMin survey; line spacing of 100 m. Some conductors detected. | Lamothe (1987) |
| 1987 | SOQUEM Sullivan Mining Group | Detailed geological mapping Stripping Channel sampling |
Anomalous gold values obtained on only two trenches from channel sampling. | McCann (1987) McCann (1990) |
| 1987 | G. J. Hinse | Geological mapping Stripping Channel sampling |
66 km of Mag survey and 58.3 km of VLF survey; line spacing of 122 m. Some conductors detected. | Allard (1987) Sicard-Lochon (1987) |
| 1987 | Achates Resources Ltd. | Geophysical survey Geological compilation Drilling |
37.2 km of Mag survey, 70.6 km of VLF EM survey, 12.4 km of IP survey (a = 25, n = 4); line spacing of 100 m. Three anomalous axes detected by IP survey. A NE fault zone was interpreted based on the VLF EM survey. Hole FA-87-2 (121.9 m) cut a large shear zone. No significant gold values. | Buissières (1987a,b) Fortin (1988) |
| 1988 | Ressources Gateford Inc. | Drilling | 6 DDH for 825 m were drilled and intersected intermediate to mafic volcanic rocks, grauwackes, graphitic tuffs and porphyry syenites. Several sections show good mineralization in Cp, Sp and Po mineralization in various holes (e.g. RA-88-01; 15% Cp, 30% Po / 3.2 m; VMS type of mineralization). | Muirhead and al. (1988) |

| Year | Company/Owners | Exploration Work | Comments | Reference |
| 1989 | SOQUEM Cambior | Geophysical survey | Heliborne REXHEM-4 survey carried out by Sial Géosciences with flight lines oriented N315° and spaced 100 m apart. | Saindon and Dumont (1989) |
| 1991 | SOQUEM | Geophysical survey | 326 km of Mag and VLF surveys; line spacing of 100 m. Some conductors detected. 8 DDH for 2,126 m; best result: 4.57 g/t Au over 1.0 m. Discovery of Trois-Chemins showing. Best channel sampling results of 8.0 g/t Au over 2 m and 5.5 g/t Au over 3 m. | Saïm and Gaucher (1991) Bernier (1991a, 1991b) |
| 1993 | SOQUEM Consolidated Oasis Resources Inc. | Geophysical survey | Test IP survey on the Eratix and Trois-Chemins showings. 67.5 km of IP survey (a = 20, n = 5). Line spacing of 100 m. | Tshimbalanga (1993) Hubert et al. (1993) |
| 1995 | SOQUEM Consolidated Oasis Resources Inc. | Geophysical survey Geological mapping Trenching Drilling |
Drilling identified new gold zones (No. 54 and No. 52 structures). 48 DDH totalling 7,783.5 m; best results: 6.1 g/t Au over 5.1 m (No. 52 structure) and 2.09 g/t Au over 3.2 m (No. 45 structure). | Folco (1995a,b) |
| 1996 | SOQUEM Consolidated Oasis Resources Inc. | Geophysical survey | 57.1 km of lines, spaced every 100 or 200 m, covered by HEM MaxMin survey. 8 conductors outlined by the survey. | Lambert (1996) |
| 2001-2002 | SOQUEM Plexmar Resources Inc. |
Drilling | 9 DDH for 1,738 m. Drilling identified new gold-bearing structure (No. 86); best result: 2.35 g/t Au over 7.4 m (hole 993-02-88). | Folco (2002) |
| 2001-2008 | Glen Eagle Resources Inc. | Sampling | Minor sampling on Fancamp property. | Glen Eagle MD&A |
| 2006 | Natural Resources Canada | Airborne EM and Mag survey (MEGATEM II) | Traverse lines 200 m apart, control lines 2 km apart. Monster Lake covered in full by the survey. | Dumont and Potvin (2006a to 2006g) |

| Year | Company/Owners | Exploration Work | Comments | Reference |
| 2006-2008 | Diagnos Inc. HuntMountain Resources Ltd. | Geological survey Grab sampling Soil Sampling |
Best results were 3 grab samples grading up to 2.64 g/t Au, 20.9 g/t Ag and 4.52% Cu. | D'Amours and Popiela (2008) Popiela (2011) |
| 2008 | Celtic Minerals Ltd. | Drilling | 2 DDH for 233 m. | Marcotte and Leclerc (2008) |
| 2009 | G. L. Géoservices | Prospecting Stripping Channel Sampling |
Discovery of 325 showing. Best channel sampling result: 12.77 g/t Au over 3.1 m. | Lamothe and Bouchard (2009) |
| 2010 | Stellar Ventures Gold Inc. | Prospecting Grab sampling Humus sampling Stripping Channel sampling Drilling |
Discovery of Megane showing. Best results from channel sampling: average of 9.71 g/t Au over 5.2 m, and 3.24 g/t Au over 7.2 m. 23 DDHs for 2,983.5 m; best result: 34.29 g/t Au over 1.5 m (hole M-17-10). | O'Dowd (2012) Stellar MD&A |
| 2011 | Gaspénor Géo-Sciences Inc. MGWA Holding | Geological compilation Geological reconnaissance |
No significant results. | Giroux (2011) |
| 2011 | Diagnos Inc. | Geological survey Grab sampling |
No significant results. | Popiela (2011) |
| 2011 | Stellar Ventures Gold Inc. | Drilling | Drilling program on 325 and Megane showings. 24 DDH for 2,204.0 m; best result: 12.98 g/t Au over 5.5 m (hole M-25-11). | O'Dowd (2012) Stellar MD&A |
| 2012 | TomaGold Corporation | Drilling Structural study Mineralogical characterization and metallurgical testing |
Drilling program on 325 and Annie showings. 47 DDH for 6852.0 m; best result: 12.98 g/t Au over 5.5 m (hole M-25-11) on the 325 showing and 34.29 g/t Au over 5.7 m (M-12-60) on the Annie showing. | TomaGold MD&A Trudel (2012) Rail and al. (2012) |

| Year | Company/Owners | Exploration Work | Comments | Reference |
| 2013 | IAMGOLD Corp. (50%, Earn-in Option agreement) TomaGold Corp. (45%) Quinto Ressources Inc. (5%) |
Data Compilation Drilling |
20 DDH for 6,561.0 m The targets are the 325-Megane area and in the Winchester area. |
Press release 2013 |

7. GEOLOGICAL SETTING AND MINERALIZATION
A large part of the general geological information was taken from Turcotte, 2015. IAMGOLD has done systematic geological mapping over the last three years and has revised the geological interpretation with the accumulated information from drilling to get a more detailed local geological model.
7.1 Archean Superior Province
The Archean Superior Province (Figure 7.1) forms the core of the North American continent and is surrounded by provinces of Paleoproterozoic age to the west, north and east, and by the Grenville Province of Mesoproterozoic age to the southeast. Tectonic stability has prevailed since approximately 2.6 Ga in large parts of the Superior Province. Proterozoic and younger activity is limited to rifting of the margins, emplacement of numerous mafic dyke swarms (Buchan and Ernst, 2004), compressional reactivation, large-scale rotation at approximately 1.9 Ga, and failed rifting at approximately 1.1 Ga. With the exception of the northwest and northeast Superior margins that were pervasively deformed and metamorphosed at 1.9 to 1.8 Ga, the craton has escaped ductile deformation.
A first-order feature of the Superior Province is its linear subprovinces, or "terranes", of distinctive lithological and structural character, accentuated by subparallel boundary faults (Card and Ciesielski, 1986). Trends are generally east-west in the south, west-northwest in the northwest, and northwest in the northeast. In Figure 7.1, the term "terrane" is used in the sense of a geological domain with a distinct geological history prior to its amalgamation into the Superior Province during the 2.72 Ga to 2.68 Ga assembly events, and a "superterrane" shows evidence for internal amalgamation of terranes prior to the Neoarchean assembly. "Domains" are defined as distinct regions within a terrane or superterrane.
The Monster Lake Project is located within the Abitibi terrane. The Abitibi terrane hosts some of the richest mineral deposits of the Superior Province (Figure 7.1), including the giant Kidd Creek massive sulphide deposit (Hannington et al., 1999) and the large gold camps of Ontario and Québec (Robert and Poulsen, 1997; Poulsen et al., 2000).
Within the Abitibi terrane, the Project is located in the Matagami-Chibougamau mineral belt, which extends eastward from the Detour Lake area in Ontario through the Québec towns of Joutel, Matagami, Chapais and finally Chibougamau. The belt is characterized by Zn-Cu massive sulphide deposits (Faure et al., 1990), Cu-Au vein deposits, and local but important lode gold deposits (Lacroix et al., 1990). Of minor importance are metasedimentary iron deposits, layered intrusion Ti-V deposits, copper porphyry deposits, and intrusion-hosted nickel deposits (Card and Poulsen, 1998).

![]() |
| Figure 7.1 - Mosaic map of the Superior Province showing major tectonic elements, from Percival (2007) |
| Data sources: Manitoba (1965), Ontario (1992), Thériault (2002), Leclair (2005). Major mineral districts: 1 = Red Lake; 2 = Confederation Lake;3 = Sturgeon Lake; 4 = Timmins; 5 = Kirkland Lake; 6 = Cadillac; 7 = Noranda; 8 = Chibougamau; 9 = Casa Berardi; 10 = Normétal |

7.2 Abitibi Terrane (Abitibi Subprovince)
Previously, the Abitibi Greenstone Belt was subdivided into northern and southern parts based on stratigraphic and structural criteria (e.g., Dimroth et al., 1982; Ludden et al., 1986; Chown et al., 1992). Previous publications used an allochthonous model of greenstone belt development that portrayed the belt as a collage of unrelated fragments. Thurston et al. (2008) presented the first geochronologically constrained stratigraphic and/or lithotectonic map (Figure 7.2) covering the entire breadth of the Abitibi Greenstone Belt from the Kapuskasing Structural Zone eastward to the Grenville Province. According to Thurston et al. (2008), Superior Province greenstone belts consist of mainly volcanic units unconformably overlain by largely sedimentary Timiskaming-style assemblages, and field and geochronological data indicate that the Abitibi Greenstone Belt developed autochthonously.The Abitibi Greenstone Belt is composed of east-trending synclines of largely volcanic rocks and intervening domes cored by synvolcanic and/or syntectonic plutonic rocks (gabbro-diorite, tonalite, and granite) alternating with east-trending bands of turbiditic wackes (MERQ-OGS, 1984; Ayer et al., 2002a; Daigneault et al., 2004; Goutier and Melançon, 2007). Most of the volcanic and sedimentary strata dip vertically and are generally separated by abrupt, east-trending faults with variable dip. Some of these faults, such as the Porcupine-Destor Fault, display evidence for overprinting deformation events including early thrusting, later strike-slip and extension events (Goutier, 1997; Benn and Peschler, 2005; Bateman et al., 2008). Two ages of unconformable successor basins occur: early, widely distributed Porcupine-style basins of fine-grained clastic rocks, followed by Timiskaming-style basins of coarser clastic and minor volcanic rocks which are largely proximal to major strike-slip faults, such as the Porcupine-Destor, Larder-Cadillac and similar faults in the northern Abitibi Greenstone Belt (Ayer et al., 2002a; Goutier and Melançon, 2007). In addition, the Abitibi Greenstone Belt is cut by numerous late-tectonic plutons from syenite and gabbro to granite with lesser dykes of lamprophyre and carbonatite. The metamorphic grade in the greenstone belt displays greenschist to sub-greenschist facies (Joly, 1978; Powell et al., 1993; Dimroth et al., 1983; Benn et al., 1994) except around plutons where amphibolite grade prevails (Joly, 1978).The following more detailed description of the new subdivision of the Abitibi Greenstone Belt is mostly modified and summarized from Thurston et al. (2008) and references therein.The Abitibi Greenstone Belt is now subdivided into seven discrete volcanic stratigraphic episodes on the basis of groupings of numerous U-Pb zircon ages. New U-Pb zircon ages and recent mapping by the Ontario Geological Survey and Géologie Québec clearly show similarity in timing of volcanic episodes and ages of plutonic activity between the northern and southern Abitibi Greenstone Belt as indicated in Figure 7.2. These seven volcanic episodes are listed from oldest to youngest:

• Pre-2750 Ma volcanic episode 1
• Pacaud Assemblage (2750-2735 Ma)
• Deloro Assemblage (2734-2724 Ma)
• Stoughton-Roquemaure Assemblage (2723-2720 Ma);
• Kidd-Munro Assemblage (2719-2711 Ma);
• Tisdale Assemblage (2710-2704 Ma);
• Blake River Assemblage (2704-2695 Ma).
Two types of successor basins are present in the Abitibi Greenstone Belt: early turbidite-dominated (Porcupine Assemblage; Ayer et al., 2002a) laterally extensive basins, succeeded by aerially more restricted alluvial-fluvial or Timiskaming-style basins (Thurston and Chivers, 1990).
The geographic limit (Figure 7.2) between the northern and southern parts of the Abitibi Greenstone Belt has no tectonic significance but is herein provided merely for reader convenience and is similar to the limits between the internal and external zones of Dimroth et al. (1982) and that between the Central Granite-Gneiss and Southern Volcanic zones of Ludden et al. (1986). The boundary passes south of the wackes of the Chicobi and Scapa groups with a maximum depositional age of 2698.8 ± 2.4 Ma (Ayer et al., 1998, 2002b).
The Abitibi Subprovince is bounded to the south by the Larder Lake-Cadillac Fault Zone, a major crustal structure that separates the Abitibi and Pontiac subprovinces (Figure 7.2; Chown et al., 1992; Mueller et al., 1996a; Daigneault et al., 2002, Thurston et al., 2008).
The Abitibi Subprovince is bounded to the north by the Opatica Subprovince (Figure 7.2) a complex plutonic-gneiss belt formed between 2800 and 2702 Ma (Sawyer and Benn, 1993; Davis et al. 1995). It is mainly composed of strongly deformed and locally migmatized, tonalitic gneisses and granitoid rocks (Davis et al., 1995).

![]() |
| Figure 7.2 - Stratigraphic map of the Abitibi Greenstone Belt. The geology of the southern Abitibi Greenstone Belt is based on Ayer et al. (2005) and the Québec portion on Goutier and Melançon (2007). Figure modified from Thurston et al. (2008) |

7.3 Regional Geological Setting
The Monster Lake Project is located in the eastern part of the Caopatina-Desmaraisville segment of the Abitibi Greenstone Belt, south of the Chibougamau and Chapais mining camps, more specifically between the Kapunapotagen Fault to the north and Guercheville Fault to the south, and the Grenville Front to the east. The geological setting and mineralization context in the Chibougamau region has long served as a reference framework for understanding the Caopatina-Desmaraisville segment (Guha et al., 1991; Pilote et al., 1996.).
Numerous studies have been carried out on the Monster Lake Project area, notably: Holmes (1952, 1959); Lyall (1953, 1959); Duquette (1970); MERQ (1977); Gobeil and Racicot (1982); Gobeil and Racicot (1983); Racicot et al. (1984); Tait et al. (1986); MERQ (1989); Champagne (1989), Chown et al. (1991a, 1991b); Guha et al. (1991); Tait (1992a, 1992b); MERQ (1993); Pilote et al. (1996); Chown et al. (1998); Dion and Simard (1998,1999); Goutier and Melançon (2007); Leclerc et al. (2011, 2012); and Faure (2012).
The following description of the eastern part of the Caopatina-Desmaraisville segment (Figure 7.3) is mostly modified and summarized from Dion and Simard (1999) and Faure (2012) and retains the references therein.
The eastern part of the Caopatina-Desmaraisville segment is underlain by the 2734-2724 Ma Deloro Assemblage (Figure 7.2). Several volcanic cycles are distinguished in this area (Daigneault and Allard, 1990; Guha et al., 1991; Leclerc et al., 2012.; Leclerc et al., 2017):
• The first volcanic cycle consists of the Chrissie Formation represented by a lower member of basalts and an upper member of felsic volcanics containing the oldest rhyolites of the Abitibi (2798.7 ± 0.7 and 2791 + 3.7 / - 2.8 Ma: Davis and Dion, 2012; David and Dion, 2010).
• The Roy Group consists of two volcanic cycles:
o The first cycle includes Obatogamau and Waconichi formations. The Obatogamau formation consists of large sequences of mafic lavas. Volcaniclastic rocks, pyroclastic rocks, and felsic flows of the Waconichi Formation mark the end of volcanic cycle II.
o The second cycle of the Roy Group includes the Bruneau and the Blondeau Formations, composed of tholeiitic basalts for the Bruneau Formation and calc-alkaline basalts, volcaniclastic and sedimentary rocks for the Blondeau Formation.
Several regional early-deformation folds are preserved in the region (Daigneault and Allard, 1990). These folds, associated with the Kenoran orogeny, are oriented N-S to NNW but without the development of schistosity. One of these folds, the Muscocho Syncline, is located between the La Dauversière and Muscocho plutons. Both limbs are cut by the regional schistosity.
Following the development of these folds, the main deformation occurred and was characterized by N-S shortening. This structural episode was the origin of the E-W tectonic grain marked by the direction of large folds axes, the regional schistosity, and the large deformation corridor shown by longitudinal faults. Three large structures are known in the region: 1) the Druillettes Syncline, 2) the La Dauversière Anticline, and 3) the Opawica Anticline. The regional schistosity is well developed and is generally EW trending, except near the felsic intrusions where it seems to mold itself to the contacts of these intrusions (Figure 7.4). This schistosity is the dominant planar element in the region.

The late deformation episode is represented by two shear cleavages that cut or fold the main regional schistosity where the deformation is weak. In the strongly deformed areas, a crenulation cleavage affects the regional schistosity or the schistosity related to the deformation corridors.
In the Caopatina-Desmaraisville segment, the faults are grouped into four groups based on their direction and overlapping relationships: EW, SE, NE, and NNE faults. The EW and SE longitudinal faults are the oldest and associated with the regional schistosity of the main deformation episode. The NE faults cut the regional schistosity and structures related to the EW faults. Late NNE faults are commonly related to the late stages of the orogenic cycle (Figure 7.5).
The EW faults, mainly represented by the Kapunapotagen and Guercheville faults, are parallel to the trend of the regional schistosity. The two faults are typical of east-trending ductile faults that crosscut the Abitibi Subprovince and are characterized by pure shear with dextral reactivation (Daigneault and Archambault 1990; Daigneault 1996). Their widths can reach up to 1 km and they are characterized by an intense schistosity, the presence of mylonitic zones, and carbonate- and sericite-rich alteration. The Guercheville Fault has a typical magnetic signature characterized by the presence of many INPUT anomalies mainly associated with graphitic sedimentary rocks.
The NE faults are well documented in the Fancamp Deformation Corridor (FDC) area between the Eau Jaune Complex and the Verneuil Pluton. The FDC is oriented NESW (Tait, 1992b; Legault et al., 1997; Legault and Daigneault, 2006). The FDC has an average width of 600 m, can be followed for up to 32 km, and dips steeply (80°) toward the SE. The FDC is different from other deformation zones in the Abitibi Subprovince by its NE orientation and the presence of two intense cleavages. Many gold showings, including the Chevrier deposit (Figure 7.3), are spatially associated with the FDC (Legault and Daigneault, 2006).
The only mine in the eastern part of the Caopatina-Desmaraisville segment was the former Joe Mann mine (Figure 7.3), which produced 4,754,375 metric tonnes at grades of 8.26 g/t Au and 0.3% Cu (Houle, 2011).

![]() |
| Figure 7.3 - New geological interpretation of the eastern part of the Caopatina-Desmaraisville segment. Adapted and modified from Faure (2012) |
| CB = Chibougamau Pluton. C = Chico Pluton. EJC = Eau Jaune Complex. H = Hazeur Pluton. LD = La Dauversière Pluton. M = Muscocho Pluton. OP = Opémisca Pluton. P = Presqu`île Pluton. V = Verneuil Pluton. GF = Guercheville Fault. KF = Kapunapotagen Fault. FDC = Fancamp Deformation Corridor |

![]() |
| Figure 7.4 - Migrated Chibougamau R1 profile (seismic reflection profile with moderate coherency filter applied) (Modified from Mathieu et al., 2020b) |

![]() |
| Figure 7.5 - Relative chronology of the main tectonic and metallogenic events leading to the concentration of gold in Monster Lake deposit in relation with regional deformation |

7.4 Local Geological Setting
The stratigraphy of the Monster Lake Project is dominated by mafic volcanic rocks of the Obatogamau Formation represented by massive and pillowed basalts (Figure 7.6). These mafic flows are folded, sheared and strike NE, dipping steeply to the SE. The polarity within pillowed basalt of the Megane deposit is generally SE and relative to the eastern limb of the anticline. Some basalt units also show horizons of distinctive porphyritic texture in which plagioclase phenocrysts may reach 2.5 to 3 cm and constitute up to 25% of the rock volume (glomeroporhyric basalt from the Lower Obatogamau). Other basalt flows display aphanitic texture and are stratigraphically associated to the volcanogenic turbidites, as part of the Upper Obatogamau (David Member / Waconichi). Locally the turbidites present lateral variations of facies with pinching of channelized systems, or polygenic conglomerates replacing the fine sediments.

Figure 7.6 - Stratigraphic column of the Monster Lake Anticline, host of the 325-Megane deposit
Multiple thin graphitic volcanogenic horizons are observed intercalated between mafic flows (Figure 7.6 and Figure 7.7). These thin horizons are abundant throughout the property and are considered favorable units used to channel the flow of the hydrothermal fluid and to act as oxidizing barriers (6 and 7). The nature of the rocks within this horizon is often difficult to establish. Some imbricated, less deformed and less altered rocks are locally present. In these cases, clear lithologies can be recognized, often interbedded volcanogenic turbidites finely laminated with disseminated sulphides (nodular textures, cherty layers, or pyrite semi-massive textures in preserved areas). In general, the upper contact between the volcanogenic siltstone and mudstone layers and the basalts seems to be more gradational with the onset of the shearing gradually starting in the basalt unit, associated to protomylonitic textures and potassic bleaching, progressively increasing in intensity and ductile deformation once in the siltstone and mudstone layers, with graphitization due to mylonitisation and frictional metamorphism. The lower contact is sharp with the mostly deformed graphitized rocks at the footwall and frictional breccias. Outside the shear zone, rocks are only slightly deformed with a brittle damage zone filled by Qz-CC-CL fluids.

The entire sequence has been folded, resulting in a major fold in the center of the property (the early-D1 NS thrust-folds). It can easily be traced using EM-Input anomalies near Lake Irene. This fold is interpreted as being an anticline plunging toward the NE (8 and 9). The emplacement of the Eau Jaune Complex diorite induced an antiform peripheral rim who overprinted the older NS thrust fold. It is interesting to note the majority of the gold showings on the property are located where the two folds axis overlap.
This folded supracrustal sequence is cut by many EW to ENE, NNE and NE shears related to the Guercheville and Fancamp faults. Among them, the Monster Lake Shear Zone, at least 4 km long and 3 to 10 m wide, is present on the Monster Lake Project. Its direction is ENE (N020° to N045°) dipping subvertically to the SE. The nature of the rocks in the Monster Lake Shear Zone is often difficult to establish, but it is likely that many are carbonatized sheared basalts. The rocks on either side of the shear zone are generally basalts of the Obatogamau Formation.
In the northwestern part of the Project, mafic flows are intruded by the Eau Jaune Complex (EJC). The EJC is a pre- to syn-tectonic multiphase intrusion of dioritic to tonalitic composition. Many dioritic to tonalitic dykes related to the EJC cut the supracrustal rocks.


Figure 7.7 - Illustrations of the main lithologies hosted in the MSZ and examples of structural relations in outcrops


Figure 7.8 - Geology of the Monster Lake Project with major gold occurrences


Figure 7.9 - Close-ups of the Monster Lake property, key gold showings, zones and structures
7.5 Mineralization
Mineralization is mostly associated with smokey quartz veins (grey to black) and sulphide minerals in the wall rocks (in order of abundance: pyrite, pyrrhotite, chalcopyrite and sphalerite).
The Monster Lake Shear Zone, formerly known as the Nouvelle Shear Zone, is spatially related to several gold showings: Annie showing, Eratix showing and the 52 showing (Figure 7.8 and Figure 7.9).
Several of the folded graphitic volcanogenic horizons host gold showings like 325 Showing, Megane showing and the Cominco showing. All the showings associated with this horizon are located on the eastern limb of the fold. Three of these horizons have been well defined by surface mapping and diamond drilling; The Main Shear Zone, Lower Shear Zone and the Upper Shear Zone (9). The Main Shear Zone hosts the 325-Megane Zone.
The following discussion presents these showings from NE to SW.
7.5.1 Eratix Showing
The Eratix showing (Figure 7.8) was discovered by SOQUEM in 1984 when prospecting revealed a spectacular mineralized boulder with visible gold (Thériault, 1985). SOQUEM stripped the showing and exposed many outcrops of basalt belonging to the Obatogamau Formation (Figure 7.10). Porphyritic pillowed basalt is the most common facies, with pillows up to 3 m in diameter. Several feldspar and quartz porphyritic dykes of tonalitic composition, probably related to the Eau Jaune Complex, are also present. The structural trend follows a NS to NNE (N020°) direction. The presence of molar tooth-shaped pillows suggests proximity to a fold hinge. South of the stripping, pillowed basalts are consistently overturned with tops to the south. Gold values are associated with smoky quartz veins in a double alteration halo of quartz, muscovite and carbonate alteration. Disseminated sulphides are less common here than in similar gold showings in the area.

Detailed mapping of the stripped areas (Bellavance, 1994) identified three shear systems with overall orientations described as N090°, N065° and N045° with auriferous quartz veins. The oldest of the shear systems is the Eratix shear, striking N090° and dipping 75°. Gold-bearing quartz veins are approximately parallel to this direction. The stretching lineation is steep, plunging 53° toward N190° with an 80° west pitch, suggesting that movement was mainly in a subvertical direction. The N090° shear is driven by a sinistral N065° shear that becomes parallel to the Monster Lake Shear, which is oriented N045°. The relationship between the N065° system and the N045° system, with evidence of sinistral movement with subhorizontal components, suggests that the N065° system postdates the Monster Lake Shear. All the ductile structures present an anastomosed network, indicating a common regional stress and the development of these shears in a deformational model of ephemeral shearing.
Opaque minerals observed in the smokey quartz veins include gold, pyrrhotite, chalcopyrite and pyrite. Generally, the mineralized zones are sericitized, silicified and carbonatized (Champagne, 1989).
The best results obtained from channel sampling were 16.00 g/t Au over 1.52 m and 17.04 g/t Au over 1.83 m (Thériault, 1985). In 2015, IAMGOLD drilled this showing and obtained 7.70 g/t Au over 0.77 m (TW) from hole ML-15-146 and 1.10 g/t Au over 0.69 m (TW) and 1.06 g/t Au over 0.76 m (TW) from hole ML-15-149 (IAMGOLD Report, 2015a).

![]() |
| Figure 7.10 - Detailed geology of the Eratix showing. IAMGOLD 2019 interpretation modified from Turcotte (2015), modified from Vachon (1985) and Champagne (1989) (Monster Lake fault identified as Annie SZ) |

7.5.2 Nouvelle Zone Showing
The Nouvelle Zone showing (Figure 7.8) was discovered by SOQUEM in 1986 by trenching (McCann, 1987). This showing is about 700 m south-southwest of the Eratix showing in the Monster Lake Shear Zone. It is characterized by altered and mineralized schists, sometimes brecciated, containing smokey quartz veins and veinlets. These veins are typically millimetres to centimetres thick, but can sometimes reach up to 60 cm. The veins are stretched, lenticular and parallel to the shear. The shear cuts the pillowed/massive and porphyritic basalt of the Obatogamau Formation. The shear is frequently located at the contact with the porphyritic facies. Basalts contain some gabbro sills that occasionally represent the host lithology to mineralization.
The shear zone is between 8 and 25 m wide. At the centre of the shear is a 5-m-wide mineralized zone accompanied by intense silicification, sericitization and ankeritization (Folco, 1995a). Locally, fuchsite is observed in contact with quartz veins. Along the shear boundaries, alteration is characterized by chlorite and calcite. Mineralization consists of trace amounts to 15% pyrite and pyrrhotite, mainly disseminated in sheared rock, and locally with traces of chalcopyrite. Native gold is locally observed in cataclased or boudinated smokey quartz veins and veinlets.
The best channel result was 16.23 g/t Au over 1.00 m. Drilling results yielded gold values up to 10.51 g/t Au over 0.7 m.
7.5.3 Annie Showing / Annie Shear Zone
The Annie showing (Figure 7.8) was discovered by SOQUEM in 1994 by drilling (Bellavance, 1994). The showing is located about 1.6 km southwest of the Eratix showing in the Monster Lake Shear Zone.
Five mineralized zones (zones I to V) are contained in decametric to metric shear zones characterized by schistose rocks, locally brecciated and injected by centimetric quartz and/or carbonate veins and veinlets. These shear zones occur within and parallel to the hanging wall and footwall of the Monster Lake Shear. They are frequently found at the contact between massive/pillowed basalt and porphyritic basalt of the Obatogamau Formation.
Mineralization consists of trace amounts to 10% sulphides, mainly pyrite and pyrrhotite. The sulphides are mainly disseminated in quartz-carbonate veins and their wall rocks. Traces of chalcopyrite and graphite are locally observed. Native gold grains are sometimes visible in smokey quartz veins and veinlets. Alteration is similar to the Nouvelle showing. The best drilling result was 14.7 g/t Au over 4.5 m in Zone III (DDH 993-94-23, CL, gold values cut at 34.29 g/t). Zone IV assayed 5.05 g/t Au over 2.9 m (CL) (DDH 993-94-23, gold values are cut at 34.29 g/t Au). In 2017, hole ML-17-202 intersected the southwestern extension of the Annie Shear Zone and returned 0.96 g/t Au over 0.94 m (TW), 1.08 g/t Au over 1.22 m (TW) and 3.91 g/t Au over 1.13m (TW). Hole ML-17-204 intersected the northeastern extension of the Annie Shear Zone and returned 2.74 g/t Au over 3.83 m (TW).

7.5.4 Quatre-Chemins Showing
SOQUEM discovered the Quatre-Chemins showing (Figure 7.8) in 1984 by prospecting (McCann, 1987). This showing is located about 700 m south-southwest of the Eratix showing and about 550 m to the west of the Annie showing.
The Quatre-Chemins showing consists of a smokey and white quartz vein found on six outcrops (McCann, 1987). The vein was followed for a linear length of 400 m. The vein can reach up to 12.0 m thick. The host rock is silicified porphyritic basalt of the Obatogamau Formation. Some gabbro sills were observed in the basalt. Mineralization is associated with the graphitic volcanogenic horizons. SOQUEM noted the presence of graphitic argillite levels near the quartz veins.
Mineralization is composed of 5% (locally up to 30%) sulphides represented by pyrite, pyrrhotite, chalcopyrite and sphalerite. These sulphides are distributed in the quartz veins (generally <1% pyrite, pyrrhotite and chalcopyrite) and in the enclosing schist and walls of the veins where sulphides are commonly found as irregular layers of massive pyrite-pyrrhotite from 1 to 10 cm thick. In the latter, minor sphalerite and chalcopyrite are also present. The rocks containing mineralization are strongly silicified, brecciated and locally carbonatized. SOQUEM also noted the presence of limonite and sericite in the schist enclosing the quartz veins.
The mineralized zone forms a large fold with a NE axis. This fold has a typical magnetic signature and can be traced with EM-INPUT conductors. Channel sampling returned up to 1.35 g/t Au over 0.95 m.
7.5.5 Bertha Showing
Bertha showings were discovered by IAMGOLD (IAMGOLD Report 2016d) and are located approximately 200 to 300 m southeast of the Quatre-Chemins showing.
Bertha showings consist of grey quartz, sulphides mineralized horizons with silice and sericite-rich schists and basalts. Semi-massive sulphides (mostly pyrrhotite) are locally observed. Schistosity is lightly undulating and locally, tougth to be refold by 2nd generation folds. Sulphide-rich rocks are generally highly silicified and weakly carbonatized.
Mineralization is associated with the graphitic volcanogenic horizons and consists of sulphides beds composed mostly of pyrrhotite, chalcopyrite and minor pyrite usually distributed in the quartz veins. A 10 cm thick black quartz vein is observed 10 m north of the showing.
Best assays grades were obtained in massive sulfides beds. Three channel samples have grade varying from 1.28 to 1.56 g/t Au (IAMGOLD Report 2016d).
7.5.6 Trois-Chemins Showing
The Trois-Chemins showing (Figure 7.8) was discovered by SOQUEM in 1991 by prospecting (Bernier, 1991b). This showing is located about 125 m east of Irène Lake and about 1.5 km west of the Monster Lake Shear Zone.
The showing consists of a carbonatized shear zone 7 to 8 m wide that cuts through basalts of the Obatogamau Formation. The shear zone, oriented N075° and dipping 80° to 85°, contains a gold-bearing smokey quartz vein about 0.5 to 2.5 m wide with 10% to 40% disseminated pyrite, as well as many decimetric quartz veins with irregular veinlets.

The best channel sampling results were 87.1 g/t Au over 1.0 m, 8.0 g/t Au over 2.0 m, and 5.5 g/t Au over 3.0 m. Only one hole was drilled below the showing. Hole 993-94-01 cut the shear zone, but no gold values were obtained (Bellavance, 1994).
7.5.7 Main Shear Zone (including 325-Megane Zone)
The Main Shear Zone (Figure 7.7) represents the joining of two showings: the 325 showing rediscovered by G.L. Géosciences Inc. in 2009 and the Megane Showing discovered by Stellar in 2010. The showings are approximately 800 m apart. The original drill discovery was made by SOQUEM in 1995 and was known as the 45 Zone (Folco, 1995a). SOQUEM interpreted the 45 Zone as a NNE-SSW ductile shear zone, parallel to stratigraphy.
The Main Shear Zone consists of a major carbonatized shear zone, oriented N020°, dipping 80° and well mineralized over a width of about 5 m (Figure 7.13).
The 325-Megane Zone is one of the high-grade lenses of the Main Shear Zone
(Figure 7.11)
The mineralized zone is associated with a sulphide-rich graphitic volcanogenic horizon as centimetric to decimetric interbeds. In some places, mineralization corresponds to a brecciated shear zone (chlorite-carbonate schist) containing disseminated sulphides and lenticular smokey quartz veins. In some places, smokey quartz stringers are present as millimetric to centimetric veinlets. The mineralization consists of 1% to 30% sulphides, mainly pyrrhotite with lesser amounts of pyrite and traces of chalcopyrite and sphalerite. Visible gold is frequently observed and can reach up to 0.5%. Semi-massive sulphides are often observed. The best grades are usually found inside black quartz veins, which can reach a few meters thick (Figure 7.12).
In 2010, channel sampling by Stellar yielded 7.26 g/t Au over 1.6 m and 2.1 g/t Au over 2.1 m and 9.71 g/t Au over 5.2 m and 3.24 g/t Au over 7.2 m. The best drilling results are 46.33 g/t Au over 10.6 m (CL) (ML-14-130), 67.42 g/t Au over 4.6 m (CL) (ML-17-197), 80.28 g/t Au over 6.5 m (CL) (ML-17-198B) and 121.67 g/t Au over 4.85 m (CL) (ML-17-194). These results are presented in Appendix II.
The 325-Megane Zone and the Main Shear Zone are the main focus of the 2018 MRE (Item 14).


Figure 7.11 - 325-Megane Zone from hole ML-17-194

Figure 7.12 - Close-ups of the 325-Megane Zone in hole ML-17-194 : A) Sheared basalt with sericite-ankerite ±fuchsite alteration assemblage (top row), semi-massive sulphides and stringers with pyrrhotite, pyrite and traces of chalcopyrite in a black quartz vein (middle and bottom rows); B) Visible gold in a black quartz vein; C) Coarse grains of semi-massive pyrite.


Figure 7.13 - 2019 3D model developed by IAMGOLD to illustrate the structural relations of the gold occurences and deposits induced by the Monster Lake fault crosscutting several favorable folded horizons (MSZ, LSZ, Big Mama fault node, Annie SZ cluster, Zone 52, etc.)
7.5.8 Upper Shear Zone (Upper 325-Megane Zone)
The Upper Shear Zone is located about 300-400 m east of the Main Shear Zone and was discovered by IAMGOLD in 2014 by drilling (Figure 7.14).
The zone is characterized by moderate to strong shearing with small to large amounts of black quartz veins hosted in a thin volcanogenic horizon. The zone is moderate to strongly altered with a calcite, albite and sericite (±fuchsite) assemblage, and it is weakly mineralized except where specks and stringers of pyrrhotite are observed locally, running parallel to foliation. Visible gold has sometimes been observed (Figure 7.14).

The best drilling results were 12.35 g/t Au over 1 m (CL) (ML-17-198B) and 1.81 g/t Au over 1.9 m (CL) (ML-14-108).
The 2018 MRE does not include the Upper Shear Zone (Item 14).

Figure 7.14 - Upper Shear Zone in hole ML-14-112. Photo adapted from IAMGOLD Report (2014a)
7.5.9 Lower Shear Zone (Lower 325-Megane Zone)
IAMGOLD discovered the Lower Shear Zone approximately 100 m west of the Main Shear Zone in 2014 by drilling (Figure 7.15 and Figure 10.10).
This shear zone is very similar to the Main Shear Zone and can be characterized by strongly altered interbedded volcanogenic siltsone and mudstone layers and grey-white quartz veins (black quartz locally). The Lower Shear Zone is often intersected by felsic unit. Mineralization consists of 1-25% sulphides, mainly fine-grained pyrrhotite with lesser amounts of pyrite and traces of chalcopyrite occurring as disseminations and thin stringers running parallel to shearing. The unit shows a strong to moderate alteration characterized by silicification, sericitization, chloritization and albitization.
The best drilling results are 13.65 g/t Au over 3.77 m (CL) (ML-14-110), 85.27 g/t Au over 2.55 m (CL) (ML-17-191), 39.48 g/t Au over 1.8 m (CL) (ML-17-199) and 7.42 g/t Au over 2.9 m (CL) (ML-17-208). These results are presented in Appendix II.


Figure 7.15 - Lower Shear Zone in drill hole ML-17-184
7.5.10 Zone 52
The Zone 52 showing (Figure 7.16) was discovered by SOQUEM in 1995 by drilling (Falco, 1995a). This showing is located about 500 m west of the 325-Megane Zone.
The structure is characterized by a decametric NNE-SSW shear zone cutting massive to pillowed basalts of Obatogamau Formation. The mineralization is frequently located at the contact of porphyritic flows. The shear zone consists of a wide sericite-carbonate alteration envelope. Mineralization is associated with the Monster Lake Shear Zone.
The mineralization occupies a zone 1 to 11 m wide in the centre of the shear. It is composed of trace amounts to 10% disseminated pyrrhotite, pyrite, and chalcopyrite accompanied by millimetric to metric smokey quartz veins and veinlets. Visible gold was reported in quartz veins. Locally, traces of sphalerite and galena are observed. Auriferous mineralization is also identified as a late phase of calcite in brecciated smokey quartz veins.
The best result obtained during the 1995 drilling program was 6.10 g/t Au over 5.1 m. Hole ML-15-144 returned 1.87 g/t Au over 1.26 m, 1.58 g/t Au over 1.91 m and 1.15 g/t Au over 1.33 m (TW) (IAMGOLD Report, 2015a).
7.5.11 Cominco and Gabrielle Showing
Cominco discovered the Cominco showing (Figure 7.16) in 1978 with a drillhole (W-78-10A) testing a geophysical conductor (Burns and Ewert, 1978). It is located roughly 400 m south-southeast of the 52 showing and 500 m southwest of the Megane showing.
The Cominco showing was later rediscovered and named the Gabrielle showing. In their reports, IAMGOLD refers to this showing as the Gabrielle showing.
The showing is associated with a metric to decametric shear zone oriented NNE-SSO (Folco, 1995). Within the shear zone the rock is highly sericitized, carbonated and injected with grey to black quartz (O'Dowd, 2011). Hole W-78-10A intercepted a graphitic cherty sulphide iron formation containing interlayered horizons of pyrite-bearing graphitic argillites, graphitic cherts and massive pyrite beds.

The cherty sulphide iron formation horizon with 15-20% pyrite and pyrrhotite and a ratio of 3:1 with minor blebs and stringers of chalcopyrite. The pyrite-bearing graphitic argillites horizon contains 10-15% pyrite with minor pyrrhotite in a very graphitic matrix. The black graphitic chert forms horizons of 15 to 20 cm thick and contains only minor sulphides although thin band and stringers of massive pyrite occur. The highest gold grades were found in the horizon described as highly contorted graphitic metasediments with 5-10% pyrite and pyrrhotite with massive graphite and within a fine grained light grey silty metasediment (Burns and Ewert, 1978). The shear zone often contains a gold-bearing black quartz vein about 0.5m wide with 5% to 10% disseminated sulphides. Some visible gold was also observed.
Mineralization is also found on surface with channel samples returning gold values of 24.45 g/t on 1 m (sample 14447) and 13.21 g/t on 1 m (sample 14465; O'Dowd, 2011), and 185.0 g/t and 21.3g/t on two (2) grab samples in a black quartz vein (IAMGOLD Report 2016d). IAMGOLD tested the downdip extension of the Gabrielle showing in 2014 with two (2) holes. Both holes intersected the planned targets: volcanogenic horizon but no significant results were obtained (IAMGOLD Report, 2015b).

Figure 7.16 - Presentation of the Trois Chemins, Gabrielle 1 and 2, and Zone 52 showings and structural relations implied in gold remobilization and concentration.

8. DEPOSIT TYPES
Most of the following information was taken from Turcotte, 2015.
Much has been published on gold deposits in the last decade, leading to significant improvement in the understanding of some models, the definition of new types or sub-types of deposits, and the introduction of new terms (Robert et al., 2007). However, significant uncertainty remains regarding the specific distinction between some types of deposits. Consequently, some giant deposits are ascribed to different deposit types by different authors.
As represented in Figure 8.1, thirteen globally significant types of gold deposits have been recognized, each with its own well-defined characteristics and environment of formation. As proposed by Robert et al. (1997) and Poulsen et al. (2000), many of these gold deposit types can be grouped into clans; i.e., families of deposits that either formed by related processes or are distinct products of large-scale hydrothermal systems.

Figure 8.1 - Inferred crustal levels of gold deposition showing the different types of gold deposits and the inferred deposit clan (note the logarithmic depth scale). From Dubé and Gosselin (2007), modified from Poulsen et al. (2000)
These clans effectively correspond to the main classes of gold models, such as the reduced intrusion-related and oxidized intrusion-related orogenic classes (Hagemann and Brown, 2000). Deposit types such as Carlin, gold-rich VMS, and low-sulphidation are viewed by different authors either as stand-alone models or as members of the broader oxidized intrusion-related clan. They are treated here as stand-alone deposit types, whereas high- and intermediate-sulphidation and alkaline epithermal deposits are considered as part of the oxidized intrusion-related clan.

The gold showings in the eastern part of the Caopatina-Desmaraisville Segment are grouped into four distinct categories represented by types A-I to A-IV (Dion and Simard, 1999). These categories were based on the nature of the enclosing rocks and the structural context. These categories are:
• A-I Type: Gold mineralization associated with E-W shear zones (subparallel to stratification) cutting mafic volcanic and intrusive rocks:
• A1a Type: Quartz-sulphide;
• A1b Type: Low disseminated pyrite.
• A-II Type: Gold mineralization associated with NE and NW shear zones cutting mafic volcanic and intrusive rocks.
• A-III Type: Gold mineralization associated with felsic to intermediate rocks.
• A-IV Type: Gold mineralization associated with felsic volcanic rocks, graphitic sedimentary rocks and/or iron formations.
The gold zones observed on the Monster Lake Project can be associated with an A-II type orogenic gold occurrence model related to NE shear zones. Most of these gold zones are associated with thin volcanogenic horizons and the NE trending Monster Lake Shear Zone. The Monster Lake Shear Zone is probably a second-order shear related to the major Guercheville Fault. The gold zones, with their quartz-carbonate veins, also correspond to structurally controlled, complex epigenetic deposits hosted in deformed metamorphosed terranes (Dubé and Gosselin, 2007).
At the district scale, greenstone-hosted quartz-carbonate-vein deposits are associated with large-scale carbonate alteration commonly distributed along major fault zones (Figure 8.2) and associated subsidiary structures (Dubé and Gosselin, 2007). At the deposit scale, the nature, distribution and intensity of the wall-rock alteration is largely controlled by the composition and competence of the host rocks and their metamorphic grade. Typically, the alteration haloes are zoned and characterized at greenschist facies by iron-carbonatization and sericitization, with sulphidation of the immediate vein selvages (mainly pyrite, less commonly arsenopyrite).


Figure 8.2 - Schematic diagram illustrating the setting of greenstone-hosted quartz-carbonate vein deposits (from Poulsen et al., 2000)
Ore-grade mineralization also occurs as disseminated sulphides in altered (carbonatized) rocks along vein selvages. Ore shoots are commonly controlled by: 1) the intersections between different veins or host structures, or between a gold- and/or competent rock type such as iron-rich gabbro (geometric ore shoot); or 2) the slip vector bearing structure and an especially reactive of the controlling structure(s) (kinematic ore shoot). For laminated fault-fill veins, the kinematic ore shoot will be oriented at a high angle to the slip vector (Robert et al., 1994; Robert and Poulsen, 2001).
The main gangue minerals are quartz and carbonate with variable amounts of white micas, chlorite, scheelite and tourmaline. The sulphide minerals typically constitute less than 10% of the ore. The main ore minerals are native gold with pyrite, pyrrhotite and chalcopyrite without significant vertical zoning (Dubé and Gosselin, 2007).

9. EXPLORATION
This item presents the issuer's exploration work on the Property and was modified and updated from the previous technical report on the Property (Athurion et al., 2018). Drilling activities are reported in Item 10.
9.1 2013 Work Program
9.1.1 3D Modelling and Geological Database
The first work by IAMGOLD began in December 2013 and consisted in completing some early-stage 3D modelling of the interpreted fold and the Monster Lake Shear. The preliminary model provided a better appreciation of the complexity of the geology and structure of the Monster Lake property (Figure 9.1). In the meantime, historical geological surface mapping on the Monster Lake property was digitized to ensure all available data was utilized and reviewed. This work yielded a more comprehensive geological map of the area.
9.1.2 Review of Historical Ground Geophysical Survey
SOQUEM provided the original data from historical ground-based magnetic, IP and resistivity surveys over the Megane and Annie showing areas (Table 9.1). The dataset was reviewed in detail, and it was noticed that considerably different IP and resistivity responses were obtained between the combined 325-Megane area and the Annie area. Several IP inversion sections were generated for Megane.
Highlights of the review are as follows:
• The footwall of the shear zone and mineralization at Megane seem to be characterized by very low resistivity and high chargeability;
• The other side of the fold - interpreted by SOQUEM and inferred by data compilation - is also distinguished by a similar low resistivity/high resistivity zone in the hanging wall; and
• The area surrounding Annie is characterized by a high resistivity/weak chargeability response.
The IP inversion sections were integrated into the 3D geological model to generate new shallow targets.

Table 9.1 - Iamgold work on the Monster Lake Project (modified from Turcotte, 2015)
| Year | Company/Owners | Exploration Work | Comments | Reference |
| 2014 | IAMGOLD Corp. (50%, Earn-in Option agreement) TomaGold Corp. (45%) Quinto Ressources Inc. (5%) |
Data compilation Drilling geological mapping stripping channel sampling ground geophysical survey |
28 DDH for 12,886.0 m 27 Channel samples (100.44 m) The DDH were to test lateral extensions of the 325-Megane zone, as well as areas along strike within the interpreted structural corridor referred to as the Monster Lake Shear Zone (MLSZ). The channels were taken of outcrops exposed and cut perpendicular to the observe trend. These new showings, coming from the channels, have not been previously drill tested and represent priority targets for follow up. |
Press release 2015 |
| 2015 | IAMGOLD Corp. (50%, Earn-in Option agreement) TomaGold Corp. (45%) Quinto Ressources Inc. (5%) |
Compilation and modelling Drilling Geological mapping Channel sampling Ground geophysical survey |
30 DDH for 11,719 m 13 Channels (19.22 m) Main target for these years is 325-Megane, zone 52, MLSZ, West limb and Eratix prospect areas. Around haft of the DDH are on 325 Megane zone. |
Press release 2015 Iamgold database 2023 |
| 2016 |
IAMGOLD Corp. (50%, Earn-in Option agreement) TomaGold Corp. (45%) Quinto Ressources Inc. (5%) |
Drilling Geological mapping Channel sampling Selected geochemical and Geophysical survey |
21 DDH for 8,167.0 m 34 Channels (53.75 m) Drills holes targets are Annie zone, 325-Megane, East Limb, West Limb, Big Mama, LSZ-2 and MSZ. 5 DDH with différent problem related to core orientation. 2 DDH with VG, observed in zone LSZ-2 and another zone not identified. |
Press release 2016 Iamgold database 2023 |
| 2017 | IAMGOLD Corp. (50%, Earn-in Option agreement) TomaGold Corp. (45%) Quinto Ressources Inc. (5%) |
Drilling Geological mapping Channel sampling |
31 DDH for 12,558.0 m 14 Channels (24.95 m) The main targets are 325-Megane, LSZ-1, LSZ-2, ANSZ-02, Main Annie zone and MSZ. Note that a third of the drill holes are in the sector of 325 Megane for infill and testing the extension. |
Press release 2017 Iamgold database 2023 |

| Year | Company/Owners | Exploration Work | Comments | Reference |
| 2018 | IAMGOLD Corp. (50%) TomaGold Corp. (45%) Quinto Ressources Inc. (5%) |
Drilling |
26 DDH for 8,068.0 m Target are, 325-Megane, LSZ-1, LSZ-2, ANSZ-02 and 230-SZ. 22 drill holes are in the sector of 325 Megane for infill and testing extension to improve confidence. |
Press release 2018 Iamgold database 2023 |
| 2019 | IAMGOLD (50%) TomaGold(50%) |
Drilling | 15 DDH for 5,099.0 m) Target are, Main Annie zone, LSZ-1, BigMama, MSZ and ANSZ-02. |
Press release 2019 Iamgold database 2023 |
| 2020 | IAMGOLD (50%) TomaGold(50%) |
Drilling Geochemical and geophysical survey |
7 DDH for 2,992.0 m Target are Main Annie shear zone, BigMama, MSZ and ANSZ-02. |
Press release 2020 Iamgold database 2023 |

![]() |
| Figure 9.1 - Early-stage 3D modelling of interpreted folds and the Monster Lake NE shear zone. From IAMGOLD Report (2014a) |

9.2 2014 Work Program
9.2.1 Magnetic Survey
IAMGOLD (Figure 9.2; Létourneau and Paul, 2014). The survey consisted of one block covered by 1408.0 line-km with a line spacing of 75 m, a tie-line spacing of 750 m and an average altitude of 45 m. The HeliMAGer™ system is a towed bird system configured as a horizontal magnetic gradiometer with two cesium vapour magnetometers installed at each end of the lateral arm, 6 m apart, and a Totem-2A VLF receiver on the lower arm. The radar altimeter and DGPS system were mounted on the central body of the HeliMAGerTM system. The direction of the flight lines was N140°- N320°, SE-NW and the direction of the tie-lines was N050°- N230°, SW-NE.


Figure 9.2 - Map of the 2014 IAMGOLD magnetic survey (reduction to pole), processed by IAMGOLD
9.2.2 Lithogeochemistry Program
Samples from surface outcrops at the 325-Megane Zone were collected to complement the sampling of two (2) drill holes and better define the alteration and host protolith of the gold mineralization (IAMGOLD Report, 2014c). This helped expand the knowledge on protoliths and certain other lithologies for all types of gold zones throughout the Monster Lake Block, as well as the associated alteration zoning.

Four days were spent selecting and collecting samples to assist the litho-geochemical study. Samples were collected from ten major showings on the Monster Lake Block for a total of 98 samples of various lithological units exhibiting different degrees of alteration (from unaltered to intensely altered). These were analyzed by ICP for litho-geochemical signatures. All samples collected were recorded in detail and photographed.
9.2.3 Petrographic Study
In March 2014, IAMGOLD retained IOS Services Géoscientifiques ("IOS") to conduct a petrographic study on various lithologies observed on the Monster Lake Project (Tremblay, 2014).
Ten (10) core samples from the Monster Lake Project were sent to IOS (Table 9.2). The samples came from three (3) historical holes on the 325 and Annie showings (M-12-60, M13-104 & M13-106). The purpose of the study was to identify and characterize lithofacies and alteration. Thin sections were prepared for microscopic petrography. Some thin sections were polished for an opaque mineral study.
Table 9.2 - Description of core samples used for the petrographic study (Turcotte, 2015)
| Sample number |
DDH number |
From (m) | To (m) |
Lithology from DDH log | Lithology from Tremblay (2014) |
| 1 | M-13-103 | 90.43 | 90.55 | Crystal tuff | Quartz porphyritic basalt |
| 2 | M-13-99 | 96.60 | 96.80 | Ash tuff | Carbonatized volcanic rock |
| 3 | M-13-99 | 327.00 | 327.10 | Glomeroporphyritic rock | Porphyritic basalt |
| 4 | M-13-99 | 330.36 | 330.50 | Rock with phantoms of megacrysts | Sheared porphyritic andesite |
| 5 | M-12-60 | 74.37 | 74.50 | Strongly altered rock | Mylonitic schist |
| 6 | M-12-60 | 50.45 | 50.57 | Silica zone | Crenulated schist |
| 7 | M-12-60 | 47.10 | 47.20 | Quartz vein (visible gold) + sericite alteration | Cataclastic quartz-albite vein |
| 8 | M-12-60 | 75.47 | 75.56 | Strongly altered rock | Carbonated volcanic rock |
| 9 | M-13-106 | 260.77 | 260.86 | Smokey quartz vein (visible gold) | Brecciated quartz vein |
| 10 | M-13-104 | 275.00 | 275.19 | Mineralized zone | Semi-massive sulphides |
The petrographic study identified lithofacies less affected by deformation and alteration, such as porphyritic basalt with coarse porphyritic plagioclase (sample numbers 3 and 4) or basalt with or without quartz phenocrysts (sample 1). An aphyric volcanic rock facies was also observed. This rock was affected by strong penetrative carbonatization associated with muscovite ± chlorite (samples 2 and 8, and possibly 6). Sample 5 is a mylonitic schist containing carbonate, quartz, chlorite, muscovite and tourmaline. The protolith cannot be identified but may be porphyritic basalt similar to those of samples 3 and 4.
Gold was observed in samples 7 and 9 but was not in sample 10 despite the high reported gold grade. Sample 7 is a cataclastic quartz-albite vein in which gold was found in several places, especially as free grains (Table 9.3) associated with carbonate minerals in the fissures of albite-quartz veins. Gold is locally present as inclusions in pyrite or along pyrite grain boundaries, or along the contacts of pyrrhotite and chalcopyrite. Sample 8 is a cataclastic quartz vein in which gold is present along a fissure cut by a series of carbonate-filled fractures. Gold is free or found along cracks in pyrite or along the contacts with sphalerite.


Figure 9.3 - Reflected-light photomicrograph of sample 7. Free gold grains (AU) in albite (AB) and as inclusions in pyrite (PY). Photo from 2014 IOS report
In sample 10, semi-massive sulphides are associated with an assemblage of albite, quartz, calcite ± tourmaline, which permeates foliated fragments of sericite schist.
Preliminary comments indicate that gold is found as free grains either within the fine cracks in pyrite crystals or along the grain boundaries, and less frequently along the grain boundaries of sphalerite, pyrrhotite and chalcopyrite crystals. The gold size varies from 1 to 750 μm. In these samples, mineralization is hosted by cataclastic quartz veins and by carbonatized (mostly calcite) and silicified deformed and fragmented sericite schists.
According to macroscopic and microscopic observations, host rocks of mineralized zones that were previously identified as a "felsic tuff" unit are better defined as schist, protomylonite and mylonite, all belonging to either the Monster Lake Shear Zone or to thin volcanogenic siltstone and mudstone layers observed throughout the property. The protolith of these rocks will be defined by litho-geochemistry but locally relict minerals are indicative of a strongly silicified and carbonatized porphyritic volcanic protolith.

9.2.4 Till Survey
In 2014, IAMGOLD retained Rémi Charbonneau of Inlandsis Consultants to carry out a till survey on the Monster Lake Project. The 2014 program consisted of 137 samples collected along nine E-W lines spaced 200-400 m apart, covering the entire Project (Figure 9.4). A binocular microscope study and gold grain analysis was part of the mandate. A significant amount of gold was observed under the microscope. The survey returned three occurrences of auriferous tills: Main Train, Eratix and Northeast. While it was determined that the Main Train was derived from known gold zones, the Eratix and Northeast occurrences could not be explained by known bedrock sources (Charbonneau, 2015).
Ninety-eight (98) glacial sediment samples were collected in 2015 to test the Northeast and Eratix areas identified in 2014. The Northeast area returned three nearly contiguous samples with more than 260ppb Au. The Eratix Sector returned a small cluster of high gold values (three samples with 400 to 1900 ppb Au) associated with a few coarse grains and arsenic in the dense mineral fraction. Significant gold targets within both sectors were identified (Charbonneau and Robillard, 2015).


Figure 9.4 - Results of the 2014-2015 till survey programs on the Monster Lake Project

9.2.5 Geological Mapping and Sampling
The 2014 summer field program was prepared during the spring and started on May 23 (IAMGOLD Report, 2014b). The final compilation work for the Monster Lake property formed the basis for the geological mapping and sampling program to be conducted in this priority area.
Geological data was systematically collected and recorded on a fixed template to ensure comprehensive and consistent records. A field map was updated daily to show progress, and a geological map using Government of Québec mapping standards was produced at the end of the program, along with a digital copy. Property-scale maps were generated at a scale of 1:5000, and detailed maps of selected areas were generated at 1:1000 or 1:500.
The results of the summer mapping program are presented below by claim block. The Monster Lake Block was given top priority during the field work, followed by the Lac à l'Eau Jaune Block, and the Winchester Block was considered a third-order priority area.
9.2.5.1 Monster Lake Block
Work began on the Monster Lake Block with detailed geological and structural mapping. Reconnaissance work was not necessary because the selected area of interest already had a significant amount of historical work, including geological mapping, stripping, grab and channel sampling and diamond drilling.
The work focused on understanding the structural relationships and completing a coherent geological interpretation. The information was used to help focus efforts at Lac à l'Eau Jaune and Winchester blocks.
Teams began with widespread traverses to gain a better geological understanding. There are several locations along the Monster Lake Shear Zone where thin overburden conceals outcrops, which made the initial exploration work difficult. The Beep Mat system was used to test these areas. The technician began near the known mineralized showings (325, Megane and Gabrielle showings) and travelled along strike, picking up conductive outcrops just below the overburden or swamps. This exploration technique helped identify areas for follow-up work, such as trenching, channel sampling and future drilling. The Beep Mat survey proved to be a very effective exploration tool in this particular area (IAMGOLD Report, 2014c). The interpreted fold was confirmed by outlining a conductive graphitic unit that follows the hinge. A portion of the Big Mama E-W shear zone was delineated, and several areas where the Lower Shear Zone comes within approximately 1.5 m of the surface were identified.
The work continued with detailed mapping of pre-existing trenches and strippings. The following 12 areas were pre-selected for the summer work program (IAMGOLD Report, 2014c, 2014d): Annie-1, Annie-2, Annie-3, Annie-4A, Big Mama, 325, Bertha-1, Bertha-2, Megane-1, Megane-2, Megane 2.5 and Gabrielle). The trenching and stripping work in these areas had been done by the previous claim holder, Stellar.
9.2.5.2 Lac à l'Eau Jaune Block
Lac à l'Eau Jaune Block over a two-week period in pre-selected areas of interest. The purpose was to gain a better understanding of the ground in this area of limited historical work. Geologists identified areas suitable for more detailed geological and structural mapping, as well as stripping and channel sampling.

The selection of three main areas of interest was based on, but not limited to, pre-existing showings, Mag anomalies, position along strike of known mineralization and the Monster Lake Shear, abundance of outcrops, and historical grab sample results. Road access was fully explored, and cut lines were identified in the field and geo-referenced.
The team completed widespread traverses. About 33 outcrops were geologically described and sampled. Two out of the three areas selected for first pass mapping were visited. Two locations of dense outcrop exposure were identified for follow-up structural mapping.
9.2.5.3 Winchester Block
Beep Mat work was also conducted on portions of the Winchester Block in hopes of identifying near-surface anomalous areas for future work (IAMGOLD Report, 2014c). This work was intermittent because other activities were added to the exploration program. The intended work was never completed, and no significant anomalies were identified.
9.2.6 Trenching Program
x 1.5m dimensions, totalling 990 m3. The objective was to test the following targets on the Monster Lake Block:
• Trenches 1, 2, 3, 5 and 6 to test the Lower Shear Zone of the 325-Megane area that had been identified by Beep Mat work earlier in the summer program;
• Trench 4 to test the eastern strike of the Big Mama Shear Zone, more specifically the intersection between this E-W shear and the N-S Lower Shear Zone;
• Trench 8 to test the hinge of the fold; and
• Trenches 7 and 9 to test a triple junction of the Main Shear Zone, the Lower Shear Zone and the Big Mama Shear Zone on the western limb of the fold.
All trenches successfully intersected mineralized zones that included varying degrees of shearing (usually intense) and variable amounts of semi-massive to massive sulphide lenses, black quartz, graphite and alteration assemblages of sericite and chlorite. Detailed mapping and channel sampling were carried out on these trenches.
Highlights documented in IAMGOLD Report (2016b) are as follows:
• Trench TR-007: E5761015: 1.25 m at 16.3 g/t Au, E5761024: 0.30 m at 4.53 g/t Au and E5761023: 0.60 m at 2.09 g/t Au.
• Trench TR-009: E5746652: 1.00 m at 2.83 g/t Au, E5746664: 1.00 m at 2.09 g/t Au and E5746656: 0.50 m at 1.43 g/t Au.
• Trench TR-003: E5761067: 1.10 m at 1.15 g/t Au and E5761067: 0.5 m at 0.78 g/t Au.
• Trench TR-002: E5746670: 0.20 m at 3.12 g/t Au and E574667: 0.5 m at 1.61 g/t Au.

9.3 2015 Work Program
9.3.1 Mapping, Prospecting, Sampling and Trenching
Field mapping work during the summer of 2015 targeted the areas of the Trois-Chemins and Monster Lake East showings on the Monster Lake, Winchester and Lac à l'Eau-Jaune blocks. The objective was to collect enough data to assess the geological potential of these areas.
Daily traverses were planned by identifying areas of potential outcrops using aerial images (e.g., Google Earth). Geologists and geotechnicians used a Garmin CX65 GPS for surveying purposes and Brunton Transit, Suunto MC2G5006, Silva Ranger CL and Silva Ranger 75 compasses.
At each outcrop encountered, the following information was collected: a GPS point; an outcrop description (sketch, lithology, alteration, mineralization, structure, etc.); photograph(s); and grab sample(s) if necessary. If a sample was taken, a unique identifying tag was assigned. The work was carried out in several stages, including:
• General mapping of existing outcrops and new outcrops for a better understanding of local geology.
• Beep Mat surveys to find new conductive targets for mapping and sampling purposes. The survey followed a conductive graphitic unit defining the limbs and nose of a fold, an E-W structure (Big Mama) as well as the Lower Shear Zone.
• Detailed mapping of showings (historical, new targets, etc.) to gain a better understanding of the spatial distribution of the different entities encountered.
9.3.1.1 Trois-Chemins and Monster Lake East areas (Monster Lake Block)
Bedrock was reached in only 8 of 14 trenches. Six trenches were closed immediately as no bedrock was encountered. Trenches were 15 by 30 m long by 2 to 3 m wide with a depth of 1.5 m, for a total excavated volume of approximately 1057.5 m3. The excavation work was carried out using a 320-excavator belonging to Alain Maltais Enterprises of Chibougamau. During excavation, organic material was removed and set apart from the other soil horizons for future use during reclamation. If present, water was drained from the trench before outcrop washing. Manual washing was done with a pump and hose system as well as shovels and pickaxes, if required, to remove the more difficult material. Detailed mapping was carried out and channel samples were collected by geotechnicians using a hydraulic circular hand saw on predefined intervals traced by the geologist. For this, two notches are cut side by side to a depth of 15 to 20 cm to create a channel from which the samples were then extracted in their entirety using a hammer and chisel. Ninety-four (94) channel samples were taken on the Trois-Chemins showing (Monster Lake Block).
The most significant results are presented in Table 9.3.
This work confirmed the geological potential of the historical Trois-Chemins outcrop. A major structure dominates this zone and can be observed on three contiguous outcrops. The shear zone is approximately 7 m wide and 40 m long. The mean schistosity is N64° and the dip is from 62° to 90° to the southeast. This shear zone affects altered basalt (carbonatization, sericitization, silicification) and served as a channel for circulating hydrothermal fluids. Gold-bearing channel samples were taken along a black quartz vein that appears to be at a lithological contact in the fold nose. The 2015 samples confirmed previous results and the continuity of mineralization in the main black quartz vein.

Table 9.3 - Significant results (>0.5 g/t) of the 2015 sampling programs on the Trois-Chemins showing. (IAMGOLD Report, 2016c)
|
Outcrop |
Sample |
WR_Kg |
Au_ppm |
Au_FA_ppm |
Au_FA2_ppm |
Au_FA3_ppm |
Au_GA_ppm |
|
AF001 |
E6706601 |
1.66 |
29.600 |
>10.00 |
|
|
29.6 |
|
AF001 |
E6706602 |
2.15 |
26.500 |
>10.00 |
|
|
26.5 |
|
AF001 |
E6706603 |
1.42 |
27.600 |
>10.00 |
|
|
27.6 |
|
AF001 |
E6706606 |
3.00 |
4.900 |
4.90 |
|
|
|
|
AF001 |
E6706607 |
3.43 |
2.010 |
2.01 |
|
|
|
|
AF001 |
E6706612 |
3.47 |
7.195 |
7.40 |
|
|
6.99 |
|
AF001 |
E6706614 |
2.79 |
0.975 |
0.975 |
|
|
|
|
AF001 |
E6706615 |
3.56 |
1.750 |
1.75 |
|
|
|
|
AF001 |
E6706621 |
3.70 |
0.736 |
0.736 |
|
|
|
|
AF001 |
E6706622 |
2.32 |
6.810 |
6.88 |
|
|
6.74 |
|
AF001 |
E6706624 |
2.89 |
0.987 |
0.987 |
|
|
|
|
AF001 |
E6706630 |
1.95 |
0.779 |
0.547 |
1.01 |
|
|
|
AF001 |
E6706636 |
3.32 |
0.530 |
0.53 |
|
|
|
|
AF001 |
E6706637 |
2.97 |
0.615 |
0.615 |
|
|
|
|
AFF001 |
E6706640 |
1.99 |
4.850 |
4.85 |
|
|
|
|
AFF001 |
E6706641 |
2.57 |
1.920 |
1.92 |
|
|
|
|
AFF001 |
E6706644 |
3.88 |
51.700 |
>10.0 |
|
|
51.7 |
|
AFF001 |
E6706645 |
4.37 |
2.780 |
2.78 |
|
|
|
|
AFF001 |
E6706648 |
3.48 |
2.345 |
2.62 |
2.07 |
|
|
|
AFF001 |
E6706652 |
2.11 |
1.000 |
1.00 |
|
|
|
|
AFF001 |
E6706655 |
1.93 |
0.852 |
0.852 |
|
|
|
|
AFF001 |
E6706658 |
3.35 |
1.685 |
1.73 |
1.64 |
|
|
|
AFF001 |
E6706661 |
2.99 |
3.475 |
3.00 |
|
3.95 |
|
|
AFF001 |
E6706664 |
1.65 |
0.964 |
0.964 |
|
|
|
|
AFF001 |
E6706665 |
2.40 |
1.140 |
1.14 |
|
|
|
|
AFF001 |
E6706670 |
3.00 |
0.948 |
0.948 |
|
|
|
|
AFF001 |
E6706674 |
0.80 |
0.574 |
0.574 |
|
|
|
|
TR-15-14 |
E6706687 |
3.30 |
1.440 |
1.44 |
|
|
|
|
TR-15-14 |
E6706691 |
1.38 |
0.695 |
0.695 |
|
|
|
|
TR-15-14 |
E6706697 |
2.39 |
1.260 |
1.26 |
|
|
|
|
TR-15-14 |
E6706698 |
4.14 |
1.320 |
1.32 |
|
|
|

Seventeen (17) grab samples were collected on the Monster Lake East showing. Only three returned gold values: 0.761g/t Au, 0.658 g/t Au and 0.623 g/t Au. The first sample was taken in a small sheared and oxidized area, the second in a white quartz vein near a sheared area, and the third in a milky quartz lens in a felsic unit. The location of the 2015 field program is presented in Figure 9.5.
The work in the Trois-Chemins and Monster Lake East areas uncovered the main lithologies known in the region. Large geological assemblages were recorded, including the stacking of a volcanic series typical of the Obatogamau Group (pillowed to massive flows, and megaporphyric feldspar basalt) and intrusions related to the Chico Stock and Eau Jaune Complex.
9.3.1.2 Lac à l'Eau Jaune Block
Prospecting work took place from May 2 to July 21, 2015, including compilation days. The eastern part of the block (unexplored in 2014) was fully explored except for the far northeast end, which is swampy. Ninety-four (94) outcrops were examined and 21 grab samples collected (Figure 9.8).
The geological units in the area covered consist mainly of pillowed basalt (metric to decimetric pillows, often deformed), sometimes massive, and an outcrop displaying a megaporphyry with 20% feldspar megaphenocrysts. The southeastern part of the block revealed volcaniclastics and blocks and lapilli tuffs units. Thin dykes were also observed and described as intermediate intrusive and tonalite units.
The relationship between mineralization and structure could not be clearly established. No significant results were obtained except for a sample grading 0.406 g/t Au. This sample is located at the 91-269 historical showing discovered by SOQUEM in 1991 where a grab sample returned 1.65 g/t Au (IAMGOLD Report, 2015d).
9.3.1.3 Winchester Block
Prospecting took place from June 19 to September 9, 2015, including compilation days. Most of the block was explored except for the southwest sector where no access could be found (swampy area with many streams). A total of 370 outcrops were examined, 4 trenches excavated, 38 grab samples collected and 32 channel samples sawed
(Figure 9.9). Most outcrops required manual stripping of the overburden, which averaged 10 to 15 cm thick. Several stripping points were planned on the widest outcrops. See the Monster Lake Block description above for details about the trenching and channelling work. The trenches measured 30 m long by 4 m wide with an average thickness of 1.5 m of overburden for a total of excavated volume of 720 m3.
The trenches targeted Beep Mat anomalies and lithologies with potential (altered basalt zone in the south) as well as a graphitic sulphide and quartz unit. No significant results were obtained, although samples analyzed by ICP-MS showed anomalous levels of silver, copper and zinc in massive sulphide units (IAMGOLD Report, 2015c).
9.4 2016 Work Program
Field mapping work during the summer of 2016 targeted the eastern and western parts of the Monster Lake Block and the western part of the Lac à l'Eau-Jaune Block.

The 2016 program followed the same approach (procedures and equipment) as the 2015 program. The work was carried out in several stages, including:
• General mapping of existing outcrops and new outcrops for a better understanding of the local geology.
• Beep Mat surveys to find new conductive targets for mapping and sampling purposes.
• Detailed mapping of showings (historical, new targets, etc.) to gain a better understanding of the spatial distribution of the different entities encountered.
9.4.1 Mapping, Prospecting, Sampling and Trenching
9.4.1.1 Monster Lake Block
On the Monster Lake Block, 79 outcrops were examined, 7 trenches were excavated, 20 grab samples were collected, and 152 channel samples were cut (Figure 9.5.7). For details about the trenching and channelling work, see the 2015 description above.
The trenches measured approximately 6 to 40 m long by 3 to 13 m wide. Detailed mapping was carried out on these trenches.
Only one of the 20 grab samples (S476021) yielded a significant value (10.150 g/t Au). It was collected on trench TR-16-02 and is a sample of blackish-smokey quartz, highly oxidized with 0.5% pyrrhotite and chalcopyrite and with molybdenite plating.
The results of the channel sampling program were not significant. The two best results are presented below (IAMGOLD Report, 2018a):
9.4.1.2 Lac à l'Eau Jaune Block
On the Lac à l'Eau-Jaune Block, 95 outcrops were examined, and 16 grab samples collected and sent to ALS Laboratory. The results were not significant. The best value was 0.999 g/t Au for S476116, a sample containing a 3 cm smokey quartz vein and quartz fragments (30% of the sample) in a sericite-chlorite altered and sheared basalt unit apparently devoid of sulphides in the sampling area (IAMGOLD Report, 2017a).
9.5 2017 Work Program
9.5.1 Mapping, Prospecting, Sampling and Trenching
Mapping and sampling work on the Monster Lake Block was conducted from October 10 to 21, 2017 by the IAMGOLD team (Figure 9.57). Forty-eight (48) channel samples were collected and sent to ALS Laboratory.

Three of the five trenches excavated in fall 2017 were mapped.
The 2016 program followed the same approach (procedures and equipment) as the 2015 program. A magnetic declination of -15° was applied. For details about the trenching and channelling work, see the 2015 description above.
The following are some of the most significant results obtained in 2017:
• 7.67 g/t Au over 0.80 m (IMGVD17252) for a sample of basalt in trench TR-17-10;
• 7.11 g/t Au over 0.60 m (IMGVD17280) for a sample from a sheared area in trench TR-17-04; the sample consists of 50% of black quartz vein containing 5% pyrrhotite and 5% pyrite; and
• 4.910 g/t Au over 0.50 m (IMGVD17253) for a sample from a sheared area in trench TR-17-10; 80% of the sample is a black quartz vein containing 5% pyrrhotite and 1% pyrite.
Only 6% of the samples returned gold values greater than 0.5 g/t (IAMGOLD Report, 2018b).
9.6 2018 Summer Field Program
The 2018 mapping campaign on the Monster Lake property took place between mid-July and the end of August 2018. The initial objectives were to carry out first, regional mapping in the southern part of the Lac à l'Eau Jaune claim block to identify lithologies north of the Chico complex and to verify whether the eastern part of the Eratix mineralized system appears south of this claim block. Secondly, mapping of trenches of Zone 52, located on the Monster Lake claim block, was carried out with the aim of focusing on the structural control of Zone 52 gold mineralization (through detailed mapping and identification of major structural families). The lithologies observed to the south of the Lac à l'Eau Jaune claim block were essentially pillow basalts with slightly schistose pillow margins tending to align preferentially along strike N20°. The potentially gold-bearing shear zones of the Eratix system were not observed during this mapping work. (Figure 9.7 and Figure 9.8)
9.7 2019 Summer Field Program
The 2019 mapping work was completed on the Monster Lake North Block. The objective was to list the various lithologies outcropping on the property and identify potential mineralized structures. A total of thirty-three (33) outcrops were examined from July 7 to 10, 2019 by the IAMGOLD team (Figure 9.5). The lithologies observed are brecciated basalts and pyroxene gabbros both belonging to the Obatogamau series. Porphyritic tonalite and granodiorite dykes locally cut these basalts. Two sulfide-rich schist boulders have been observed. The Beep Mat signal suggests that this shear zone extends along strike N170° for some 50m. Five (5) samples were collected but did not significant gold values. However, a few samples did return significant base metal values (IMGVD31003: 1,590 ppm Cu and 1,470 ppm Zn; IMGVD31005: 1,160 ppm Cu and 1,240 ppm Zn; and IMGVD31006: 1, 670ppm Cu and 367ppm Zn) (Kwopnang et al. 2019).


Figure 9.5 - Location of the exploration work conducted by IAMGOLD on the Monster Lake North Block in 2019
9.8 2020 Till Survey
In 2020, SL-Exploration Inc. and Rémi Charbonneau conducted a systematic till sampling survey on the Monster Lake Gold Project.

A total of 130 glacial sediment samples were collected across the Monster Lake Property, covering the Eau-Jaune, Winchester, and northern Monster Lake Claim Blocks. Visible gold counts ranged from 20 to 226 grains. Gold assays (INAA) of the dense mineral fraction (HMC) showed strong results, ranging from 1000 ppb to a maximum of 14,700 ppb Au. The fine fraction (<64 μm) analyzed by fire assay (30g) with ICP-AES returned values between 36 and 138 ppb Au.
The 2020 results confirmed the gold signals previously identified in 2014 and 2015 on the Eau-Jaune and Monster Lake Claim Blocks. Additionally, a new gold dispersal trend was detected from the southern part of the recently acquired Monster Lake North Block. A new auriferous till sector with strong gold signals was also found on the southern part of the Winchester Claim Block (Charbonneau, 2022). (Figure 9.8 and Figure 9.9).
9.9 2021 Field Program
In 2021, IAMGOLD completed a two (2) phases field program including mapping and sampling, and VLF-EM surveys on the Monster Lake property (Figure 9.7). The aim of 2021 program was to obtain more information to help update the geological map and delineate the most prospective zones. The mapping and sampling phase was completed over two separate days, on May 09, 2021, over the area east of the Megane-Annie deposit on the Monster Lake block, and on August 5, 2021, on the Winchester claim block further south (Figure 9.9). The purpose was to identify potential remote-sensing outcrops, visit historical SOQUEM trenches and identify new outcrops. A total of 15 outcrops were examined and sampled for a total of six (6) samples sent for analysis. No significant results from rock analyses and the outcrops visited confirmed the presence of numerous linear shear zones crosscutting the region but which, in the field, can be seen as discrete shear zones averaging one metre in width sometimes accompanied by hydrothermal injections. The VLF-EM surveys were carried out over two areas of the property (Winchester and Est-Megane), from March 26 to 28, 2021, then on July 31 and August 07, 2021. The purpose of these surveys was to refine the precision of the location of mylonitized and graphitic volcanogenic turbidite horizons host rocks of the gold deposits on the property. The VLF-EM ground surveys made it possible to increase the precision of the location of volcanogenic turbidite intervals embedded in the Obatogamau volcanic sequence, particularly basalts. Comparison with the airborne VTEM survey carried out in 2015 confirmed the validity of surface surveys with the VLF-EM (Zamparutti, 2023).


Figure 9.6 - Results of the 2020 till survey programs on the Monster Lake Project


Figure 9.7 - Location of the exploration work conducted by IAMGOLD on the Monster Lake Block between 2014 and 2024


Figure 9.8 - Location of the exploration work conducted by IAMGOLD on the Lac à l'Eau Jaune Block between 2014 and 2024


Figure 9.9 - Location of the exploration work conducted by IAMGOLD on the Winchester Block between 2014 to 2024

9.10 2022 and 2023 Data Compilation
In 2022 and 2023, IAMGOLD focused on data compilation and interpretation for the Monster Lake project, with no drilling activities conducted in either year. During this period, the company prioritized other exploration projects, maintaining a strategic focus on gathering and analyzing geological data. In 2023, additional fieldwork was undertaken, including geological mapping and a geochemical ground survey using MMI (Mobile Metal Ion) techniques. These efforts are part of IAMGOLD's ongoing commitment to advancing its exploration initiatives.

10. DRILLING
This item presents the issuer's exploration work on the Property and was modified and updated from the previous technical report on the Property (Athurion et al., 2018).
This item includes a summary of the issuer's drilling activities on the Property from 2014 to 2021. Drilling data was provided by the issuer's geology team or obtained by the QPs during their site visits and subsequent discussions.
Highlights of historical drilling by former owners are presented in Item 6.
10.1 Drilling Methodology
All drilling at the Monster Lake Project is conducted from surface with a maximum drill hole length of 738 m. The core diameter for the 2014 to 2021 drilling was NQ (47.6 mm core diameter). All diamond drilling carried out between 2014, 2015 and 2019 was contracted to Forage M. Rouillier Inc. based in Amos (Québec). In 2016 and 2018, drilling was contracted to Chibougamau Diamond Drilling Ltd based in Chibougamau (Québec). In 2017, the drilling contractor was Spektra Drilling Canada Inc. based in Val-d'Or (Québec). In 2020, the drilling contractor was Forage Gyllis and in 2021 G4 Drilling both based in Val-D'Or (Québec).
Diamond drill holes are planned using vertical cross-sections, vertical longitudinal sections and level plans in order to intersect the mineralized zone at the proper angle (perpendicular to its strike and dip wherever possible).
IAMGOLD employees survey the drill hole collars and mark their positions with foresights and backsights. A handheld Garmin GPSMAP 62s (2014 to 2017) or GPSMAP 60CSx (2019-2020) with a Universal Transverse Mercator (UTM) 1983 North American Datum (NAD83) system is used to record position data, and compass and chain methods are used to locate two foresight tickets and one backsight picket. A few drill holes were aligned using a REFLEX TN14 GYROCOMPASS directly on the drill.
Once the drill rig is positioned at the planned location, the downhole dip and drill hole orientations are surveyed using a REFLEX EZ-SHOT unit. REFLEX EZ Track (2019-2020) Reflex surveys start 15 m below the casing, and readings are taken every 30 m downhole. The results are immediately sent to IAMGOLD's geologists to respond quickly to problems. Although magnetic minerals affected the Reflex instrument, it is for the most part adequate in determining the deviation of the drill hole while it is in progress. In the first test, a deviation margin for azimuth and inclination of ± 2° was tolerated for the infill holes and ± 5° for the exploration holes.
The core is marked with blocks at the beginning and end of each drill run interval at the drill site. For the 2017 drilling campaign, after the end of the hole was reached, measurements (azimuth, plunge and magnetism) were also taken every 3 m using a REFLEX Multi-shot device. Multi-shot deviation tests were electronically transferred to the Gems Logger database.
After a hole is completed and the rig moved off the drill site, the casing is covered with a steel cap and a wooden or steel marker is placed next to the casing with the hole collar identification.
Surveyor Paul Roy returned to sites and surveyed the casing locations and elevations using a differential GPS (GNSS Leica GS15 and GNSS Leica GS18 (2019-2020)). Paul Roy also completed a differential GPS survey for 178 historical holes mainly drilled by SOQUEM, Stellar and TomaGold.

10.2 Downhole Core Orientation Survey
Core is oriented and marked during drilling using a Reflex ACT electronic orientation tool. The drillers use the kit to trace a mark (short line) on the underside of the core oriented with the Reflex Act tool before the core is removed from the core tube. This line corresponds to the underside of the core as it was in the hole before breaking off with the core tube.
When receiving oriented core from the drill, the core is assembled with each piece placed in its original position. The driller's core mark is aligned so that a continuous line can be drawn with a grease pencil along the whole run. Arrows pointing down hole are marked on each piece of core.
A direct measurement of the alpha angle can be made by rotating the core until the surface to be measured appears to make a maximum angle with the core axis (CA).
Accurate measurement of the beta angle can be made using specially constructed circular protractors or, more simply, a flexible wrap-around protractor printed on paper or heavy transparent film.
Both angles (alpha and beta) are then entered into a spreadsheet in Gems Logger software, along with the hole orientation survey data, to obtain the true orientation of the structures. The orientations can then be determined using a stereographic plotting program.
10.3 Core Recovery and RQD Survey
each drilling run of 3 m. Rock-quality designation (RQD) is a rough measure of the degree of jointing or fracture in a rock mass, measured as a percentage of the drill core in lengths of 10 cm or more in each run (3 m). The percent core recovery for each run and the RQD are recorded in the log spreadsheet in Gems Logger software. Core recovery and RQD are generally very good on the Monster Lake Project.
Once the cores had been oriented, RQD and point magnetic susceptibility measurements were carried out at the core facility by Native Exploration Services. Geological logging is then performed using Core Logger data compilation tool (2019-2020).
10.4 2014 to 2021 Drilling Programs
The issuer has completed many diamond drilling programs on the Monster Lake Project since 2014. At the effective date of this report, total drilling on the Project amounted to 104,555.55 m in 420 surface DDH. Since 2014, 63,054.11 m of drilling was completed (161 surface DDH). Figure 10.1 shows the location of the 2014 to 2021 drilling programs and Table 10.1 summarizes the issuer's annual drilling totals. Appendix II presents the significant DDH results of the 2014 to 2021 drilling programs.

10.4.1 2014 Drilling Program
The first drilling program carried out by IAMGOLD started in February and proceeded as scheduled, ending on May 16, 2014. Eleven (11) holes of NQ-size core were drilled for a total of 4,650.35 m (ML-14-108 to ML-14-116). The program successfully expanded the 325-Megane Zone and identified two additional prospective horizons: the Upper Shear Zone and the Lower Shear Zone. The 325-Megane Zone, previously outlined by TomaGold, is hosted in a thin volcanogenic horizon proximal to the Monster Lake Shear Zone (Figure 7.14 and Figure 7.15). Based on the available information, the three zones appear to be subparallel and approximately 100 m apart (Turcotte, 2015).
The 2014 fall-winter drilling program was completed in two phases and included 17 holes for 8,236.00 m (ML-14-117 to ML-14-133) (Figure 10.2). The drilling program was designed to target areas of high potential and to provide IAMGOLD with sufficient information to better understand the geological controls on gold mineralization. The holes were positioned at the junctions of major N-S and E-W structures, in the nose of the fold, and in the extensions of the Annie and Gabrielle showings and the 325-Megane Zone (infill and expansion drilling). The programs successfully expanded the 325-Megane Zone and identified two additional mineralized zones: the Upper Shear Zone and Lower Shear Zone. Based on the available information, all three zones appear to be subparallel and approximately 100 to 400 m apart. The 325-Megane Zone, previously outlined by TomaGold, is related to the Main Zone. Table 10.2 presents the significant results of the 2014 programs (IAMGOLD Report, 2015b).
Table 10.1 - Summary of 2014 to 2021 drilling programs
|
Year |
No. of holes |
Metres |
|
2014 |
28 |
12,886.35 |
|
2015 |
30 |
11,719.03 |
|
2016 |
21 |
8166.50 |
|
2017 |
31 |
12,558.00 |
|
2018 |
26 |
8,068.30 |
|
2019 |
15 |
5098.93 |
|
2020 |
7 |
2,992.00 |
|
2021 |
3 |
1,565.00 |
|
Total |
161 |
63,054.11 |

![]() |
| Figure 10.1 - Holes drilled by IAMGOLD on the Monster Lake Property since 2014 |

Table 10.2 - Significant results of the 2014 drilling programs
| Hole ID | From (m) | To (m) | Core Length (m) |
Au (g/t) | Zone | |
| ML-14-108 | 56.10 | 58.00 | 1.90 | 1.81 | Upper 325-Megane Zone | |
| 445.25 | 446.50 | 1.25 | 6.44 | |||
| 457.00 | 467.47 | 10.47 | 11.55 | 325-Megane Zone | ||
| Including | 458.00 | 460.00 | 2.00 | 48.90 | ||
| including | 466.00 | 467.47 | 1.47 | 11.10 | ||
| ML-14-110 | 210.10 | 211.26 | 1.16 | 1.04 | ||
| 508.00 | 509.45 | 1.45 | 0.71 | 325-Megane Zone | ||
| 636.86 | 640.63 | 3.77 | 13.65 | Lower 325-Megane Zone | ||
| including | 638.80 | 639.88 | 1.08 | 46.17 | ||
| ML-14-122 | 23.75 | 24.40 | 0.65 | 8.78 | Monster Lake Shear Zone | |
| ML-14-130 | 52.00 | 53.00 | 1.00 | 1.14 | Upper Shear Zone | |
| 97.65 | 98.00 | 0.35 | 3.38 | |||
| 200.00 | 201.00 | 1.00 | 1.29 | |||
| 477.00 | 487.60 | 10.60 | 46.33 | 325-Megane & M.L. Shear Zone | ||
| including | 480.10 | 482.64 | 2.54 | 182.80 | ||
| 489.70 | 491.00 | 1.30 | 1.46 | Lower Shear Zone | ||
| ML-14-131 | 491.55 | 495.50 | 3.95 | 18.68 | 325-Megane & M.L. Shear Zone | |
| including | 492.05 | 494.84 | 2.79 | 25.00 | ||
| 583.50 | 584.78 | 1.28 | 1.58 | Lower Shear Zone | ||
| ML-14-132 | 435.38 | 435.95 | 0.57 | 2.05 | 325-Megane & M.L. Shear Zone | |
| 439.80 | 448.00 | 8.20 | 6.74 | |||
| including | 442.60 | 446.45 | 0.85 | 21.65 | ||
| including | 446.50 | 448.00 | 1.50 | 16.11 | ||
| 555.40 | 556.40 | 1.00 | 1.96 | Lower Shear Zone |

![]() |
| Figure 10.2 - Holes drilled by IAMGOLD on the Monster Lake Property in 2014 |

10.4.2 2015 Drilling Program
A total of approximately 11,719.03 m in thirty (30) DDH was drilled at the Monster Lake Project during two drilling campaigns in 2015. (Figure 10.3).
The first drilling campaign was designed to evaluate priority targets identified by a target-generation exercise completed over the entire property. The target areas evaluated by drilling included the western limit of the prominent folded unit along which new fold showings were identified in 2014; the southwest and northeast strike extensions of the 325-Megane Zone and the Main Shear Zone; and the Zone 52 and Erratix prospect areas. A few holes were also drilled to better delineate the 325-Megane Zone (IAMGOLD news release of June 25, 2015).
The second campaign was designed to evaluate targets developed by previous drilling and the 2015 mapping and trenching programs. Targeting continued to focus on the extensions of the Main Shear Zone (hosting the 325-Megane Zone) and the Monster Lake Shear Zone as well as adjacent structures identified by the exploration program (IAMGOLD news release of February 22, 2016).
The grade continuity of the 325-Megane Zone was tested by nine (9) infill holes (ML-15-134 to ML-15-136, ML-15-138, ML-15-155, ML-15-158 and ML-15-160 to ML-15-162). The zone was intersected, and some positive results obtained, but generally lower than expected. Holes ML-15-134, ML-15-155, ML-15-158, ML-15-161 intersected the best results due to their central position within the zone. The other holes, ML-15-135, ML-15-136, ML-15-138, ML-15-160 and ML-15-162, were all drilled just outside the zone as seen in the longitudinal section (Figure 10.3), which would explain the lower-than-expected results; however, they did improve the lateral definition of the 325-Megane Zone.
Four (4) holes tested the NE downdip extension of the 325-Megane Zone. The low assay results in holes ML-15-140 and ML-15-150 confirmed they were drilled beyond the zone. Overall, the results were not very encouraging with the exception of a small interval hosting 1.93 g/t Au over 0.82 m (TW) in hole ML-15-140. No significant results were obtained in hole ML-15-150 and holes ML-15-143 and ML-15-152 were only slightly more successful. These results suggest that the zone weakens with depth and plunges to the NE (IAMGOLD Report, 2015a).
The positive results in hole ML-15-147 (3.64 g/t Au over 10.72 m (TW)) are probably due to the intersection of two prominent structures; the Monster Lake Shear Zone and an E-W structure often called the New Min Zone. This intersection between structures produces the two distinct shear orientations seen in the hole: an orientation of 20° to 30° CA in the upper portion and 50° to 60° CA in the lower portion. It can also explain why the interval is so large (+50 m) when all other holes in the area have intervals ranging between 2 to 10 m (IAMGOLD Report, 2015a). IAMGOLD tested the E-W structure again during the second phase of drilling with hole ML-15-156 and obtained 0.53 g/t Au over 0.25 (TW). This zone corresponds to a chlorite-carbonate-sericite shear containing 5-10% sulphides (pyrrhotite and pyrite) and traces of chalcopyrite (IAMGOLD Report, 2016a).
Holes ML-15-157 and ML-15-159 targeted the downdip extension of the Upper Shear Zone. No significant results were obtained in hole ML-15-159 and a single intersect of 0.57 g/t Au over 0.77 m (TW) was encountered in hole ML-15-157 (IAMGOLD Report, 2016a).

Holes ML-15-137 and ML-15-139 tested the western limb of the folded unit for mineralization similar to the 325-Megane Zone. Mineralization was weak and the sheared intervals showed less deformation and minor amounts of black quartz compared to the eastern limb. Results were unimpressive from this location (IAMGOLD Report, 2015a).
ML-15-141 tested a magnetic anomaly in the western limb of the fold. This hole intersected two small shear zones that did not yield any significant results; however, it did intersect a 68-m-wide magnetic gabbro at 163.00 m, which is likely the reason for the magnetic anomaly (IAMGOLD Report, 2015a).
Three (3) holes, ML-15-142, ML-15-146 and ML-15-149, tested the Eratix Showing at depth. All three intersected the planned targets: a subvertical shear zone plus some smaller shears. The zones were small and grades were low. No significant results were received from hole ML-15-142, whereas hole ML-15-146 yielded a single intersect of 7.70 g/t Au over 0.77 m (TW) and hole ML-15-149 yielded 1.10 g/t Au over 0.69 m (TW) and 1.06 g/t Au over 0.76 m (TW) (IAMGOLD Report, 2015a).
Hole ML-15-144 tested the downdip extension of the 52 Shear Zone. It intersected the targeted shear zone but yielded lower results than expected (IAMGOLD Report, 2015a).
Five (5) holes (ML-15-145, ML-15-148, ML-15-151, ML-15-153 and ML-15-154) targeted the SW extension of the Main Shear Zone, south of the 325-Megane Zone. Drilling in this location was successful in the sense that all holes intersected their planned targets: the Main Shear Zone and the Lower Shear Zone. However, although the intervals hosted encouraging amounts of sulphides and moderate to strong alteration, they lacked significant amounts of black quartz and yielded low grades (IAMGOLD Report, 2015a).
Table 10.3 presents the significant results of the 2015 programs.
Table 10.3 - Significant results of the 2015 drilling programs
| Hole ID | From (m) | To (m) | Core Length (m) |
Au (g/t) | Zone | |
| ML-15-134 | 213.20 | 214.00 | 0.90 | 1.43 | 325-Megane & M.L. Shear Zone | |
| 216.00 | 217.60 | 1.60 | 18.80 | |||
| ML-15-135 | 226.20 | 227.73 | 1.53 | 7.25 | 325-Megane & M.L. Shear Zone | |
| 252.70 | 253.80 | 1.10 | 1.98 | |||
| ML-15-136 | 213.79 | 232.87 | 1.08 | 2.11 | Monster Lake Shear Zone | |
| ML-15-137 | 129.40 | 130.04 | 0.64 | 1.08 | Main Shear Zone - West Limb of Fold | |
| ML-15-138 | 242.40 | 243.40 | 1.00 | 1.00 | Monster Lake Shear Zone | |
| 244.50 | 246.00 | 1.50 | 1.18 | |||
| 252.10 | 252.80 | 0.70 | 2.74 | |||
| ML-15-140 | 464.00 | 464.90 | 0.90 | 1.93 | M. L. Shear Zone & extension 325-Megane | |
| ML-15-143 | 544.81 | 546.00 | 1.19 | 4.01 | M. L. Shear Zone & extension 325-Megane |

| 552.81 | 554.48 | 1.67 | 1.84 | |||
| ML-15-144 | 34.00 | 36.10 | 2.10 | 1.58 | ||
| 58.56 | 60.02 | 1.46 | 1.15 | |||
| 206.40 | 207.78 | 1.38 | 1.87 | Zone 52 Shear Zone | ||
| ML-15-146 | 108.60 | 109.60 | 1.00 | 7.70 | Erratix Showing | |
| ML-15-147 | 229.72 | 235.70 | 5.98 | 4.51 | Monster Lake Shear Zone | |
| including | 234.70 | 235.70 | 1.00 | 10.80 | ||
| 240.14 | 258.95 | 18.81 | 3.64 | Monster Lake Shear Zone | ||
| including | 255.30 | 258.95 | 3.65 | 9.04 | ||
| 260.92 | 263.54 | 2.62 | 2.50 | |||
| 272.80 | 274.45 | 1.65 | 1.48 | |||
| 278.18 | 279.80 | 1.62 | 2.71 | |||
| ML-15-149 | 81.50 | 82.50 | 1.00 | 1.06 | Erratix Showing | |
| 252.10 | 253.00 | 0.90 | 1.10 | |||
| ML-15-151 | 248.88 | 249.60 | 0.72 | 2.03 | SW Strike extension of M. L. Shear Zone | |
| 262.80 | 263.56 | 0.76 | 1.86 | |||
| ML-15-152 | 441.38 | 444.13 | 2.75 | 4.13 | 325-Megane & M.L. Shear Zone | |
| including | 443.00 | 443.53 | 0.53 | 12.00 | ||
| 448.00 | 449.11 | 1.11 | 5.89 | 325-Megane & M.L. Shear Zone | ||
| 452.00 | 459.52 | 7.52 | 4.21 | |||
| 485.00 | 486.00 | 1.00 | 2.01 | |||
| ML-15-154 | 139.87 | 143.12 | 3.25 | 1.55 | SW Strike extension of M. L. Shear Zone | |
| ML-15-155 | 146.32 | 147.00 | 0.68 | 3.43 | ||
| 472.10 | 476.90 | 4.80 | 3.30 | Monster Lake shear Zone | ||
| ML-15-158 | 494.68 | 495.30 | 0.62 | 2.87 | Monster Lake shear Zone | |
| ML-15-160 | 473.00 | 477.50 | 4.50 | 0.79 | Monster Lake shear Zone | |
| including | 473.00 | 474.20 | 1.20 | 1.66 | ||
| ML-15-161 | 476.91 | 477.60 | 0.69 | 3.45 | ||
| 481.23 | 484.60 | 3.37 | 9.05 | Monster Lake shear Zone | ||
| including | 483.30 | 483.90 | 0.60 | 48.90 | ||
| 488.54 | 489.90 | 1.36 | 1.14 | |||
| ML-15-162 | 126.00 | 126.70 | 0.70 | 3.52 | ||
| 491.40 | 495.70 | 4.30 | 1.61 | Monster Lake shear Zone |

![]() |
| Figure 10.3 - Holes drilled by IAMGOLD on the Monster Lake Property in 2015 |
10.4.3 2016 Drilling Program
The 2016 winter diamond drilling program started in February and ended in April. The program consisted of twenty-one (21) holes totaling 8,166.50 m and was designed to test multiple target areas, such as the northeastern extension of the 325-Megane Zone; historical results from the Trois-Chemins showing; the junction between E-W and NE-SW structures to the east of the Trois-Chemins and Monster Lake East showings; the nose of the folded unit; the SW extension of the 325-Megane Zone; and the intervals in two (2) infill holes drilled on the 325-Megane ore shoot (Figure 10.4).

The holes targeting the 325-Megane and Lower Shear zones show encouraging results in terms of geological continuity. No significant results were encountered in the other targets. In some holes, black quartz veins were observed but did not yield gold values.
Holes ML-16-163 and ML-16-176B were both drilled as infill holes on the 325-Megane Zone to ensure grade continuity. Results were mixed overall, with a small interval of 0.86 g/t Au over 0.64 m (TW) in ML-16-163 and encouraging results of 8.64 g/t Au over 0.63 pi m (TW), 0.55 g/t Au over 0.70 m (TW), 2.30 g/t Au over 0.75 m (TW) in ML-16-176B. (IAMGOLD Report, 2016b).
Two (2) holes, ML-16-166 and ML-16-164, tested the downdip extension of high grades obtained during historical and 2015 channel sampling at the Trois-Chemins showing. Historical channel samples collected by SOQUEM in 1991 yielded promising results such as 106.7 g/t Au, 22.7 g/t Au, 16.8 g/t Au and 15.00 g/t Au. IAMGOLD returned to this outcrop in 2015 and duplicated some of the positive results initially reported by SOQUEM. Highlights of this work include 51.7 g/t Au, 29.6 g/t Au, 27.6 g/t Au, 26.5 g/t Au, 6.99 g/t Au and 6.74 g/t Au. Both holes intersected a sheared interval which was characterized by a weak schistosity and 5% to 40% transposed and boudinaged white or clear quartz veins and minor amounts of transposed and brecciated black quartz veins. Mineralization consisted of trace amounts of disseminated pyrrhotite and pyrite (±chalcopyrite). No significant results were obtained in these holes. (IAMGOLD Report, 2016b)
Four (4) holes, ML-16-167, ML-16-169, ML-16-170 and ML-16-181, targeted the junction of NNW and E-W structures located approximately 400 m east to the of the Trois-Chemins showing. All intersected a shear zone with a large black quartz vein (0.9-1.1m thick) hosting 1% to 3% disseminated pyrite and pyrrhotite (±chalcopyrite). This zone is probably the northern extension of Zone 52. The quartz vein was not encountered in hole ML-16-181. No significant results were obtained.
Three (3) holes, ML-16-172, ML-16-173 and ML-16-174, drilled approximately 2 km east of the 325-Megane Zone, tested an area where the E-W Structure of 325-Megane (a favourable unit) coincides with a volcanogenic horizon, a VTEM anomaly and anomalous grab samples. These holes intersected a series of basaltic flows and gabbro sills. One or two small shear zones were also intersected. No significant results were obtained.
Seven (7) holes (ML-16-165, ML-16-168, ML-16-171, ML-16-175, ML-16-177, ML-16-179 and ML-16-182) tested the economic potential of the northern part of the Main Shear Zone between the 325-Megane Zone and the Monster Lake Shear Zone. The junction of the Main Zone and the Monster Lake Shear Zone was thought to be intersected in holes ML-15-147 (4.51 g/t Au over 3.41 m (TW) and 3.64 g/t Au over 10.72 m (TW)) and ML-12-57 (2.27 g/t Au over 5.9 m (CL)). All holes intersected the Main Shear Zone and three intersected the Monster Lake Shear Zone (ML-16-179, ML-16-165 and ML-16-168). No significant results were received for this zone. Holes ML-16-171, ML-16-175, ML-16-177, ML-16-179 and ML-16-182 also interested the Lower Shear Zone. Overall, results in the Main and Monster Lake Shear Zone from these holes were encouraging but not as good as expected (IAMGOLD Report, 2016b).

Two (2) holes, ML-16-178 and ML-16-180, targeted the SW extension of the Monster Lake Shear Zone. Both intersected their planned targets: the Main and Lower shear zones. However, although the intervals hosted encouraging amounts of mineralization and moderate to strong alteration, they lacked significant amounts of black quartz and yielded low grades (IAMGOLD Report, 2016b).
Hole ML-16-183 tested the depth extension of the fold nose that had been tested in 2014 with limited success: several shallow intercepts of the structure and one narrow intercept in ML-14-122 of 8.58 g/t Au over 0.65 m (CL). Hole ML-16-183 intersected a shear zone characterized by well-developed shearing, strong to moderate silica and sericite, and local graphite. Mineralization consists of 1 to 2% disseminated pyrrhotite and pyrite, locally up to 5%, with traces of chalcopyrite. No significant results were obtained (IAMGOLD Report, 2016b).
Table 10.4 presents the significant results of the 2016 programs.
Table 10.4 - Significant results of the 2016 drilling programs
|
Hole ID |
|
From (m) |
To (m) |
Core |
Au (g/t) |
Zone |
|
ML16-171 |
|
346.24 |
347.64 |
1.40 |
20.16 |
325-Megane Zone |
|
ML16-175 |
|
399.36 |
400.18 |
0.82 |
9.01 |
325-Megane Zone |
|
|
414.30 |
420.60 |
6.30 |
2.68 |
325-Megane Zone |
|
|
ML16-176B |
|
343.38 |
344.10 |
0.72 |
8.64 |
325-Megane Zone |
|
|
469.55 |
470.35 |
0.80 |
14.1 |
Lower Shear Zone |
|
|
ML16-179 |
|
237.70 |
244.33 |
6.63 |
3.07 |
Monster Lake shear Zone |
|
|
249.33 |
253.65 |
4.32 |
2.12 |
Monster Lake shear Zone |
|
|
ML16-182 |
|
375.00 |
376.60 |
1.60 |
6.72 |
325-Megane Zone |

|
|
| Figure 10.4 - Holes drilled by IAMGOLD on the Monster Lake Property in 2016 |
10.4.4 2017 Drilling Program
A total of approximately 12,558.0 m was drilled in 31 DDH during two drilling campaigns in 2017. Two holes were abandoned at a depth of 46.5 m and 36 m.

The first campaign was designed to target areas of high potential along the Main Shear Zone and the Monster Lake Shear Zone and associated shear zones to improve confidence and expand known zones of mineralization, including mineralization in the parallel Lower Shear Zone and in the Annie Shear Zone. Structural patterns suggest the potential for additional mineralized shoots along this major corridor (IAMGOLD news release of May 11, 2017).
The second drilling campaign was designed to test gold-bearing structures in areas that are accessible during the summer season. Drilling specifically targeted the Lower Shear Zone and the completion of one (1) additional infill hole at the 325-Megane Zone (IAMGOLD news release of November 5, 2017).
Eight (8) holes (ML-17-186, ML-17-189, ML-17-190, ML-17-192, ML-17-193, ML-17-196, ML-17-206 and ML-17-207) tested the economic potential of the northern part of the Main Shear Zone, between the 325-Megane Zone and the Monster Lake Shear Zone. The junction of the Main Shear Zone and the Monster Lake Shear Zone was thought to be intersected in hole ML-15-147 (4.51 g/t Au over 3.41 m (TW) and 3.64 g/t Au over 10.72 m (TW)) and ML-12-57 (2.27 g/t Au over 5.9 m (CL)). The results from holes ML-17-190 and ML-17-206 (northernmost drill holes) confirm the previous results indicating this area is intersected by multiple mineralized shears and may be an extension of the zone. Two mineralized shear zones were encountered in the holes. The best results were from hole ML-17-190: 2.92 g/t Au over 3.32m (TW) and 5.21 g/t Au over 4.42m (TW) (both logged as the Monster Lake Shear Zone) and 9.82 g/t Au over 1.93m (TW) (logged as the Main Shear Zone). Only one sheared interval (the Main Shear Zone) was intersected in holes ML-17-192, ML-17-193, ML-17-196 and ML-17-207, yielding good results in each case.
ML-17-204 and ML-17-205 tested the historical results of hole ML-12-60 which yielded 34.29 g/t Au over 5.7m (CL). These holes were positioned to the northeast of the Annie Shear Zone. The Annie Shear Zone was intersected and is characterized by moderate to strong shearing and 20% smokey quartz veins associated with a sericite-ankerite-carbonate-fuchsite alteration assemblage and 3% to 5% pyrite and pyrrhotite. Black quartz veins were also noted. Hole ML-17-205 provided no significant results and hole ML-17-204 returned 2.74 g/t Au over 3.83 m (TW).
ML-17-202 tested the historical results of holes 993-94-17, 993-94-22, 993-94-23, 993-94-26A and 993-94-28 in the southwest extension of the Annie Shear Zone. Highlights of the historical holes were 14.7 g/t Au over 4.5 m (CL) in hole 993-94-23 and 5.05 g/t Au over 2.9 m (CL) in hole 993-94-23 (gold values were cut at 34.29 g/t Au; Bellavance, 1994). Hole ML-17-202 intersected three mineralized zones characterized by sheared and altered basalts. One of these, the Annie Shear Zone, displays a sericite-carbonate-chlorite alteration assemblage with a weak to moderate shear containing 1% pyrite and pyrrhotite. Black quartz veins were also found. This zone returned 0.96 g/t Au over 0.94m (TW). The two other zones returned 1.08 g/t Au over 1.22m (TW) and 3.91 g/t Au over 1.13m (TW).
Thirteen (13) holes targeted the Lower Shear Zone. The results defined two areas of mineralization in the Lower Shear Zone (Figure 10.5). The southernmost area was intercepted by holes ML-17-191, ML-17-208, ML-17-199 and ML-17-209. The zone is characterized by weak to moderate shearing associated with a sericite-ankerite-graphite-silica(±fuschite) alteration assemblage and smokey to dark quartz-carbonate veins containing 1% to 10% pyrite and pyrrhotite with trace amounts of chalcopyrite. Felsic dykes intersect this zone. All four (4) drill holes yielded encouraging results, such as 85.27 g/t Au over 1.80m (TW) and 54.20 g/t Au over 0.67m (TW) in hole ML-17-191. Holes ML-17-184, ML-17-185, ML-17-200, ML-17-192, ML-17-186 and ML-17-193 intersected the northernmost mineralized zone in the Lower Shear Zone, which generally has the same characteristics as the southern zone. Most of these holes returned good results.

Six (6) holes (ML-17-194, ML-17-195B, ML-17-197, ML-17-198B, ML-17-201B and ML-17-210) were drilled as infill drill holes on the 325-Megane Zone (Figure 10.5). These holes demonstrated the continuity of very high-grade mineralization in this lens where tested. They also extended mineralization in the northern part of the shoot with positive results in holes ML-17-197, ML-17-201B and ML-17-210 (IAMGOLD Report, 2017b).
Table 10.5 presents the significant results of the 2017 programs.
Table 10.5 - Significant results of the 2017 drilling programs
| Hole ID | From (m) | To (m) | Core Length (m) |
Au (g/t) | Zone | |
| ML17-190 | 283.30 | 291.00 | 7.70 | 5.21 | Main Shear Zone | |
| 308.60 | 311.60 | 3.00 | 9.82 | Main Shear Zone | ||
| 344.10 | 345.00 | 0.90 | 36.90 | Main Shear Zone | ||
| ML17-191 | 509.90 | 512.45 | 2.55 | 85.27 | Lower Shear Zone | |
| ML17-194 | 339.00 | 343.85 | 4.85 | 121.67 | Main Shear Zone | |
| ML17-197 | 347.30 | 351.90 | 4.60 | 67.42 | Main Shear Zone | |
| ML17-198B | 467.00 | 473.50 | 6.50 | 80.28 | Main Shear Zone | |
| ML17-199 | 539.40 | 541.20 | 1.80 | 39.48 | Lower Shear Zone | |
| ML17-208 | 623.75 | 626.65 | 2.90 | 7.42 | Lower Shear Zone | |
| ML17-210 | 456.00 | 461.70 | 5.70 | 2.14 | Main Shear Zone |

![]() |
| Figure 10.5 - Holes drilled by IAMGOLD on the Monster Lake Property in 2017 |
10.4.5 2018 Drilling Program
The 2018 winter diamond drilling program started on January 19, 2018, with two rigs. A total of 26 holes were drilled for 8068.3.00m (Figure 10.6). The program was designed to improve confidence in the continuity of the mineralization and to test for extensions of the known mineralized zones. Key objectives of the drilling program included: infill drilling targeting the upper part of the 325-Megane Zone largely delineated by only historical drilling; testing for proximal extensions along strike and at depth; and evaluating newly discovered areas of mineralization within a structure parallel to the Main Shear Zone and adjacent to the 325-Megane Zone, referred to as the Lower Shear Zone. All of the areas targeted in this program were best accessed during the winter when the ground is frozen. (see news IAMGOLD news release dated June 14, 2018). Table 10.6 presents the significant results of the 2018 programs.

Table 10.6 - Significant results of the 2018 drilling programs
|
Hole ID |
|
From (m) |
To (m) |
Core |
Au (g/t) |
Zone |
|
ML16-176B |
|
469.55 |
470.35 |
0.80 |
14.10 |
Lower Shear Zone |
|
ML18-211 |
|
466.00 |
468.00 |
2.00 |
1.11 |
Main Shear Zone |
|
ML18-212 |
|
26.00 |
31.00 |
5.00 |
23.96 |
Main Shear Zone |
|
|
including |
27.30 |
29.00 |
1.70 |
67.22 |
Main Shear Zone |
|
ML18-213 |
|
48.10 |
52.50 |
4.40 |
39.24 |
Main Shear Zone |
|
|
including |
49.00 |
50.25 |
1.25 |
127.38 |
Main Shear Zone |
|
ML18-217 |
|
123.90 |
130.00 |
6.10 |
40.94 |
Main Shear Zone |
|
|
including |
125.40 |
126.20 |
0.80 |
251.00 |
Main Shear Zone |
|
ML18-224 |
|
513.80 |
518.75 |
4.95 |
32.07 |
Lower Shear Zone |
|
|
including |
515.80 |
516.65 |
0.85 |
134.00 |
Lower Shear Zone |
|
ML18-225 |
|
175.50 |
178.50 |
3.00 |
72.17 |
Main Shear Zone |
|
|
including |
175.50 |
177.50 |
2.00 |
107.30 |
Main Shear Zone |

![]() |
| Figure 10.6 - Holes drilled by IAMGOLD on the Monster Lake Property in 2018 |
10.4.6 2019 Drilling Program
The 2019 drilling program on the Monster Lake claim block ran from January 25 to April 15, 2019. Fifteen (15) holes were drilled for a total of 5,098.93 m (Figure 10.7). The objective was to test priority areas along the strike of the main structural corridor, hosting the 325-Megane zone, for additional zones of mineralization with potential to increase total mineral resources on the property. Three main target areas were tested along the Monster Lake Mineralized Corridor and included: the southern extensions of the 325-Megane and Lower Shear zones; the general area of the intersection of the Main Shear zone and the Big Mama Shear zone to the northeast of the 325-Megane zone; and the Annie Shear zone system also to the northeast along strike of the 325-Megance zone. The 2019 program yielded positive results from the Big Mama and Annie areas, which included the intersection of some local high-grade intervals carrying visible gold. These positive results continue to demonstrate the potential for the discovery of additional mineralized shoots along the Monster Lake structural corridor (IAMGOLD news release dated July 23, 2019, Kwopnang et al, 2019). Table 10.7 presents the significant results of the 2019 programs.

Table 10.7 - Significant results of the 2019 drilling program
|
Hole ID |
|
From (m) |
To (m) |
Core |
Au (g/t) |
Zone |
|
ML-19-235 |
|
215.00 |
215.70 |
0.70 |
1.25 |
Main Shear Zone |
|
ML-19-236 |
|
41.50 |
42.30 |
0.80 |
1.77 |
E-W Shear Zone |
|
|
146.00 |
149.20 |
3.20 |
1.03 |
Main Shear Zone |
|
|
ML-19-237 |
|
333.43 |
338.00 |
4.57 |
1.39 |
Main Shear Zone |
|
ML-19-238 |
|
211.55 |
212.55 |
1.00 |
1.84 |
Lower Shear Zone |
|
ML-19-239 |
|
168.30 |
173.25 |
4.95 |
1.26 |
Main Shear Zone |
|
ML-19-243 |
|
128.00 |
132.50 |
4.50 |
1.88 |
Big Mama Shear Zone |
|
ML-19-244 |
|
182.20 |
183.00 |
0.80 |
357.00 |
Annie - Secondary Shear Zone |
|
|
245.30 |
246.00 |
0.70 |
2.77 |
Annie Shear Zone |
|
|
|
255.00 |
256.00 |
1.00 |
1.08 |
|
|
|
ML-19-245 |
|
155.08 |
168.11 |
13.03 |
2.27 |
Big Mama Shear Zone |
|
including |
155.08 |
156.47 |
1.39 |
6.45 |
|
|
|
including |
166.64 |
168.11 |
1.47 |
7.65 |
|
|
|
|
219.40 |
221.35 |
1.95 |
1.20 |
Main Shear Zone |
|
|
ML-19-246 |
|
392.10 |
393.85 |
1.75 |
5.27 |
Secondary Shear Zone |
|
|
417.83 |
422.15 |
4.32 |
1.61 |
Main Shear Zone |
|
|
including |
417.83 |
418.75 |
0.92 |
4.08 |
|
|
|
ML-19-248 |
|
255.90 |
262.70 |
6.80 |
3.85 |
Annie Shear Zone |
|
including |
259.00 |
260.67 |
1.67 |
6.43 |
|
|
|
ML-19-249 |
|
196.50 |
197.00 |
0.50 |
133.00 |
Annie - Secondary Shear Zone |
|
|
210.40 |
210.90 |
0.50 |
4.40 |
Annie - Secondary Shear Zone |
|
|
|
292.28 |
298.21 |
5.93 |
0.75 |
Annie Shear Zone |
|
|
|
302.53 |
306.44 |
3.91 |
1.78 |
|
|
|
ML-19-250 |
|
342.50 |
343.85 |
1.35 |
5.51 |
Annie Shear Zone |
|
|
347.50 |
349.75 |
2.25 |
1.71 |
Annie Shear Zone |

![]() |
| Figure 10.7 - Holes drilled by IAMGOLD on the Monster Lake Property in 2019 |
10.4.7 2020 Drilling Program
The 2020 drilling program was executed in two phases due to the suspension of activities in March 2020, as directed by the Government of Quebec in response to the COVID-19 crisis. The program was subsequently restarted and completed in June 2020. A total of seven (7) holes were drilled for a total of 2,992 m (Figure 10-8). One hole was abandoned at a depth of 90m, then resumed due to a strong deviation. The objective of the 2020 drilling program was to test priority areas along the strike of the main Monster Lake structural corridor, which hosts the 325-Megane zone, for additional zones of mineralization with potential to increase total mineral resources on the property. The focus was on testing the Annie Shear Zone extending to the northeast along strike of the 325-Megane zone to extend the mineralization intersected during 2019 (Figure 10.11).

The drilling program continued to intersect the targeted shear zones with further positive results from the Annie area. The increasing understanding of the complex structural context has highlighted several discrete parallel shear zones hosting mineralization adjacent to the main known structural corridor. These results highlight the potential for the discovery of additional mineralized shoots along the Monster Lake structural corridor (IAMGOLD news release dated August 13, 2020, Kwopnang et al, 2020). Table 10.8 presents the significant results of the 2020 programs.
Table 10.8 - Significant results of the 2020 drilling program
|
Hole ID |
|
From (m) |
To (m) |
Core |
Au (g/t) |
Zone |
|
ML-20-251 |
|
238.88 |
241.70 |
2.82 |
5.63 |
Big Mama Shear Zone |
|
|
326.00 |
327.00 |
1.00 |
3.50 |
Monster Lake Shear Zone |
|
|
ML-20-252 |
|
235.25 |
236.00 |
0.75 |
4.84 |
Annie - Secondary Shear Zone (02) |
|
|
275.45 |
276.90 |
1.45 |
2.69 |
Annie - Secondary Shear Zone (03) |
|
|
|
341.70 |
354.00 |
12.30 |
2.09 |
Main Shear Zone |
|
|
including |
350.50 |
353.35 |
2.85 |
4.52 |
|
|
|
ML-20-253 |
|
341.30 |
345.10 |
3.80 |
16.89 |
Annie - Secondary Shear Zone (02) |
|
including |
342.40 |
343.43 |
1.03 |
7.36 |
|
|
|
including |
344.30 |
345.10 |
0.80 |
66.50 |
|
|
|
|
408.70 |
411.00 |
2.30 |
1.03 |
Annie Shear Zone |
|
|
|
425.00 |
426.00 |
1.00 |
2.49 |
|
|
|
ML-20-255 |
|
301.10 |
303.40 |
2.30 |
2.36 |
Annie - Secondary Shear Zone (02) |
|
|
408.20 |
412.20 |
4.00 |
1.89 |
Annie Shear Zone |
|
|
ML-20-256 |
|
351.00 |
357.00 |
6.00 |
0.73 |
Annie Shear Zone |

![]() |
| Figure 10.8 - Holes drilled by IAMGOLD on the Monster Lake Property in 2020 |
10.4.8 2021 Drilling Program
In support of the continued evaluation of the resource potential of the Annie Shear Zone, located along the approximately 4 kilometres-long structural corridor hosting the Megane 325 resource. A total of three (3) holes were drilled, for a total of 1,565 metres (Figure 10.9). The area around the fault node between the Annie Shear Zone and the Main Shear Zone (MSZ, horizon of mylonitized graphitic anticline tuffs), targeted by drill hole ML-21-257, was not intercepted due to strong deviation. However, these shear zones were intercepted individually. The Main Annie Shear Zone was intersected by the other two (2) holes (ML-21-258 and ML-21-259). The results will be used to guide future drilling programs, and the compilation of the summer field program results continues to identify additional targets for future evaluation (Goma and Zamparutti, 2022). Table 10.9 presents the significant results of the 2021 programs.

Table 10.9 - Significant results of the 2021 drilling program
|
Hole ID |
|
From (m) |
To (m) |
Core |
Au (g/t) |
Zone |
|
ML-21-257 |
|
404.50 |
415.00 |
10.50 |
1.42 |
Annie Shear Zone |
|
|
451.00 |
457.75 |
6.75 |
1.23 |
Fault node Main Annie Shear Zone x Main Shear Zone |
|
|
ML-21-258 |
|
323.85 |
324.85 |
1.00 |
18.30 |
Annie Shear Zone - Annie Shear Zone (02) |
|
|
383.44 |
384.67 |
1.23 |
1.22 |
Annie Shear Zone - Main Annie Shear Zone (02) |
|
|
|
413.53 |
414.85 |
1.32 |
1.33 |
||
|
ML-21-259 |
|
508.00 |
512.00 |
4.00 |
192 |
Annie Shear Zone - Annie Shear Zone (02) |

![]() |
| Figure 10.9 - Holes drilled by IAMGOLD on the Monster Lake Property in 2021 |

![]() |
| Figure 10.10 - Typical cross section showing the Main Shear Zone and the Lower Shear Zone |

![]() |
| Figure 10.11 - Longitudinal section of the 325-Megane Zone and Lower Shear Zone. IAMGOLD 2020 interpretation |

11. SAMPLE PREPARATION, ANALYSES AND SECURITY
The following paragraphs describe IAMGOLD's sample preparation, analysis and security procedures for the diamond drilling programs carried out from May 2014 and June 2021 on the Monster Lake Project. The information was provided by the Monster Lake geological team. InnovExplo reviewed the the QA/QC program and results for the 2014 to 2021 drilling programs.
11.1 Laboratory Accreditation and Certification
The International Organization for Standardization ("ISO") and the International Electrotechnical Commission ("IEC") form the specialized system for worldwide standardization. ISO/IEC 17025 General Requirements for the Competence of Testing and Calibration Laboratories sets out the criteria for laboratories wishing to demonstrate that they are technically competent, operating an effective quality system, and able to generate technically valid calibration and test results. The standard forms the basis for the accreditation of competence of laboratories by accreditation bodies. ISO 9001 applies to management support, procedures, internal audits and corrective actions. It provides a framework for existing quality functions and procedures.
The main difference between ISO/IEC 17025 and ISO 9001 is one of accreditation versus certification. Accreditation to ISO/IEC 17025 recognizes the technical competence of a laboratory for specified activities. Accreditation is restricted to a laboratory's testing, measurement or calibration activities. ISO 9001 certification means compliance with a standard or specification (e.g., systems or product standards), and the use of management systems auditors who have been qualified by an independent body as meeting internationally agreed criteria. Certification provides a "whole of organization" approval aimed at meeting customer requirements and achieving continual improvement. It does not provide assurance of specific technical competence or the accuracy of products. For that, a product must be approved by ISO/IEC 17025. All conformity assessment bodies should have ISO/IEC 17025 accreditation.
The general requirements for the competence of testing and calibration laboratories are described in the document CAN-P-4E (ISO/IEC 17025:2005). These requirements are designed to apply to all types of calibration and objective testing and therefore need to be interpreted with respect to the type of calibration and testing concerned and the techniques involved. The document CAN-P-1579:2014 sets forth the Standards Council of Canada's ("SCC") requirements for the accreditation of mineral analysis testing laboratories. The program is designed to ensure mineral analysis testing laboratories meet minimum quality and reliability standards and to ensure a demonstrated uniform level of proficiency among these mineral analysis testing laboratories. CAN-P-1579:2014 identifies the minimum requirements for accreditation of laboratories supplying mineral analysis testing services. This includes, but is not limited to, the measurement of all media used in mining exploration and processing including sediments, rocks, ores, metal products, tailings, other mineral samples, water and vegetation.
The sample preparation facility belonging to AGAT Laboratories Ltd ("AGAT") in Val-d'Or (Québec) was used for all drilling programs before 2016. Processed and prepared samples were sent to AGAT Laboratories in Mississauga (Ontario) for assaying. The Mississauga facility received ISO/IEC 17025 accreditation through the SCC. AGAT is also certified ISO 9001. AGAT is an independent commercial laboratory.

Samples of the drilling programs of 2016 and 2017, 2018, 2019, 2020 and 2021 were sent to the ALS Minerals laboratory in Val-d'Or (Québec) ("ALS") for preparation and assaying. ALS is part of ALS Global and has ISO 9001:2008 certification and ISO/IEC 17025:2005 accreditation through the SCC. ALS is an independent commercial laboratory.
11.2 Sampling Method and Approach
The drill core is boxed, covered, and sealed at the drill rigs. The boxes are transported to one of two sites by the drilling company employees: to Chibougamau in the case of Chibougamau Diamond Drilling Ltd (2016, 2018) and to Chapais in the case of Forage M. Rouillier Inc. (2014, 2015, 2019), Spektra Drilling Canada Inc. (2017), Chibougamau Drilling Ltd (2018), Forage Gyllis (2020) or G4 Drilling (2021). If the boxes are sent to Chapais, IAMGOLD employees transfer them to the core logging facility in Chibougamau where other IAMGOLD employees take over the core handling.
At the core logging facility, drill core measurements are validated by field workers under the employ of IAMGOLD who correct important offsets in the measurements between the wooden blocks placed every 3 m along the core (if necessary). Then, metre marks are drawn onto the core before logging commences. The core is logged and sampled by, or under the supervision of, IAMGOLD geologists who are members in good standing of the OGQ (Québec Order of Geologists) or the OIQ (Québec Order of Engineers). Core samples consist of half-split core with lengths ranging from 0.5 to 1.5 m. Within mineralized zones, core samples do not exceed 1 m. Core sample intervals are identified by geologists by marking the core and adding sample tags with a unique number. Photos are taken once the geologist has completed this step.
The core is tagged by inserting two sample tags at the end of each interval. The third part of the tag remains in the book to keep a reference of the interval's footage. The same type of tags is used for QA/QC samples.
Splitting is carried out by an experienced technician using a typical table-feed circular core saw following the geologist's markings. The IAMGOLD employee in the cutshack places the bottom half of the core in plastic bag with the matching sample tag while the other half is replaced in the core box and stored for future reference. One half of each quality control sample ticket is placed in the appropriate type of control sample bag, which were prepared beforehand. A list of quality control sample numbers is posted on the wall in the cutshack and regularly updated by IAMGOLD staff.
Approximately five (5) samples are placed in a rice bag closed hermetically by tie-wrap and the contents are identified on the outside of the bag.
Once all samples from one drill hole are ready, the samples are shipped to the laboratory facility in Val-d'Or by Autobus Maheux Ltd in batches of variable sizes. Each shipment contains the work order prepared by a geologist, indicating the sample preparation and assay procedures to be followed by the laboratory. This work order is also sent by email to the laboratory.
Regardless of the number of samples per shipment, the laboratory prepares batches of 25 consisting of:

• 23 regular samples;
• 1 analytical blank; and
• 1 certified reference material ("CRM") standard.
At the request of IAMGOLD, the laboratory also assays one coarse duplicate (reject) for every 25 samples and one pulp duplicate for every 10 samples. No field duplicates are assayed.
Since 2014, IAMGOLD used two laboratories for preparing and assaying their samples. Samples from the 2014 and 2015 drilling programs were sent to AGAT and samples from the 2016 to 2021 drilling programs were sent to ALS.
The following sections describe the sample preparation protocols for each laboratory.
11.2.1 Sample Preparation (AGAT)
Once the samples are received at the AGAT facility in Val-d'Or, they are sorted, bar-coded and logged into AGAT's LIMS program. They are then placed in the sample drying room and dried at 60°C. Any samples received in a damaged state (i.e., punctured sample bag, loose core) are documented and the client is informed with pictures.
Samples are crushed to 90% passing 10 mesh, and split using a Jones riffle splitter. A 1,000 g split is pulverized to 95% passing 140 mesh. A pulp duplicate is collected from every 20th sample of each work order during sample preparation. These are reported on the QA/QC portion of the report. Sieve tests are performed on the crusher at the beginning of each day and on the pulp of the 20th sample. If there is a failure, the samples are re-milled to ensure that they pass.
Prepared samples are digested with aqua regia for 1 h using temperature-controlled hot blocks. The resulting digests are diluted to 50 mL with de-ionized water. Sample splits of 1 g are routinely used. Samples are then sent for fire assay.
For the metallic sieve, a 1,000 g split of crushed material (90% passing 10 mesh) is pulverized using a ring and puck mill to ensure approximately 95% passing 140 mesh. The material on top of the screen is referred to as the "plus" (+) fraction, and the material passing through the screen is the "minus" (-) fraction. The weights of both fractions are recorded. The entire "plus" fraction is sent for fire assay determination, whereas two 30 g replicates of the "minus" fraction are taken for determination of gold by fire assay. The finish is gravimetric, AA or ICP-OES. "Plus" and "minus" gold assay fractions, their weights, and the calculated "total gold" of the sample are included in every report. Upon request, individual gold assays may be reported for every fraction.
The calculation for "total gold" is as follows:
![]()
Blanks, sample replicates, duplicates, and internal reference materials (both aqueous and geochemical standards) are routinely used as part of AGAT's QA program. Either Mettler-Toledo Microbalances or PerkinElmer 7300DV and 8300DV ICP-OES instruments are used in the analysis.

11.2.2 Sample Preparation (ALS)
Once the samples are received at the ALS facility in Val-d'Or, they are sorted, bar-coded and logged into the ALS program. The samples are then dried and weighed.
Samples are crushed using method CRU‐32, consisting of fine crushing to better than 90% of the sample passing 2 mm (Tyler 9 mesh) and split using a riffle splitter (SPL-21). A crushed sample split of up to 1000 g is pulverized in a ring mill using a chrome steel ring set to at least 95% of the ground material passing through a 106 μm screen (Tyler 150 mesh, method PUL-35a). For the metallic sieve, the entire sample is pulverized.
For gold analysis by metallic sieve, 1000 g of the final prepared pulp is passed through a 100 micron (Tyler 150 mesh) stainless steel screen to separate the oversize fractions. Any material remaining on the screen (>100 µm) is retained and analyzed in its entirety by fire assay with gravimetric finish and reported as the Au coarse fraction result ("Au (+)"). Material passing through the screen (<100 µm) is homogenized and two subsamples (50g) are analyzed by fire assay with AAS finish (Au-AA25 and Au-AA25D). The average of the two AAS results is taken and reported as the Au fine fraction result ("Au (-)"). All three values are used in calculating the combined gold content of the plus and minus fractions.
The gold values for the Au (+) 100 μm and Au (-) 100 μm fractions are reported together with the weight of each fraction as well as the calculated total gold content of the sample. The calculation for "total gold" is as follows:

11.3 Analytical Procedures (AGAT)
11.3.1 Fire Assay
The following description for the fire assay procedure was supplied by AGAT (Mississauga). Samples (50 g each) are sent to the fire assay area numbered and in order. A rack of 84 crucibles is labelled with an assigned letter code and numbered 1 to 84. The sample is mixed with fire assay fluxes (borax, soda ash, silica, litharge) and Ag (added as a collector), and the mixture placed in a fire clay crucible. The mixture is then preheated at 850°C, with an intermediate phase at 950°C and finished at 1060°C. The entire fusion process lasts 60 minutes. The crucibles are then removed from the assay furnace and the molten slag (lighter material) is carefully poured from the crucible into a mould, leaving a lead button at the base of the mould. The lead button is then placed in a preheated cupel which absorbs the lead when cupelled at 950°C to recover the Ag and Au (doré bead).
11.3.2 Atomic Absorption Finish
The entire Ag doré bead is dissolved in aqua regia and the gold content is determined by atomic absorption (AA). AA is an instrumental method of determining element concentration by introducing an element in its atomic form to a light beam of appropriate wavelength causing the atom to absorb light. The reduction in the intensity of the light beam directly correlates with the concentration of the elemental atomic species.

AGAT generally reruns all AA results over 10,000 ppb by gravimetry to ensure accurate values. However, at the request of IAMGOLD, any sample assaying >5.0 g/t Au was rerun with gravimetric finish.
11.3.3 Gravity Finish
The lead buttons from the fusion process contain all the gold from the samples as well as the silver that was added. The buttons are placed in a cupelling furnace at 950°C where all the lead is either volatilized or absorbed by the cupels. This generates a prill or doré bead for each sample consisting of the silver plus any gold present.
Once the cupels have cooled sufficiently, the bead from each is placed in an appropriately labelled test tube. The doré bead is then transferred to a porcelain crucible and the silver is dissolved with dilute nitric acid, at around 90°C. The remaining gold is washed, removing the silver solution from the crucible. The residual wash material is then removed using both decanting and evaporation. The resulting gold flakes are annealed into a gold bead and weighed using a microbalance. A simple weight comparison is used to mathematically calculate the amount of gold in the sample.
11.4 Analytical Procedures (ALS)
The following description for the fire assay procedure was supplied by ALS.
Gold was analyzed by fire assay with AAS finish (ALS code Au-AA24) using a 50 g sample weight. The method offers detection limits from 0.005 to 10 ppm. A prepared sample was fused with a mixture of lead oxide, sodium carbonate, borax, silica and other reagents as required, inquarted with 6 mg of gold-free silver and then cupelled to yield a precious metal bead. The bead was digested in 0.5 mL dilute nitric acid in the microwave oven. Concentrated hydrochloric acid (0.5 mL) was then added and the bead was further digested in the microwave at a lower power setting. The digested solution was cooled, diluted to a total volume of 4 mL with de-mineralized water, and analyzed by atomic absorption spectroscopy against matrix-matched standards. At the request of IAMGOLD, any sample assaying > 5.0 g/t Au was re-assayed using a gravimetric finish on the digested solution (Au-GRA22) where the detection limits are from 0.05 to 1000 ppm.
For the gravimetric finish, a prepared sample (30 to 50 g) is fused with a mixture of lead oxide, sodium carbonate, borax, silica and other reagents in order to produce a lead button. The lead button containing the precious metals is cupelled to remove the lead. The remaining gold and silver bead is parted in dilute nitric acid, annealed and weighed as gold. Silver, if requested, is then determined by the difference in weights.
At the request of IAMGOLD, any sample assaying > 10 g/t Au or containing visible gold was reassayed using the screen metallic procedure (Au-SCR22).
Samples were also assayed by an ICP method for a suite of 48 elements (ME-MS61). This method combines a four-acid digestion with ICP-MS instrumentation. A four-acid digestion quantitatively dissolves nearly all minerals in the majority of geological materials. Prepared sample (0.25 g) is digested with perchloric, nitric and hydrofluoric acids. The residue is leached with dilute hydrochloric acid and diluted to volume. The final solution is then analyzed by inductively coupled plasma-atomic emission spectrometry and inductively coupled plasma-mass spectrometry. Results are corrected for spectral inter-element interferences.

11.5 QA/QC Results
A total of 7,760 samples (including 1,441 QA/QC samples) were submitted to the laboratories during the 2014 to 2017 drilling programs. Quality control procedures included routine insertion of standards (CRMs), field blanks, rejects (coarse duplicates) and pulp.
ALS and AGAT laboratories, as part of their standard internal QA/QC, also run duplicates, standards and field blanks. No re-assays at a secondary laboratory were done during the QA/QC program.
Shana Dickenson, P.Geo. (OGQ No. 1951), IAMGOLD's senior geologist, was responsible for QA/QC management using GEOVIA Lab Logger software. The authors were not involved in the collecting and recording of the data, which was responsibility of IAMGOLD personnel. The authors only synthesized the results to evaluate the validity and reliability of the DDH database.
11.5.1 Blank
Contamination is monitored by the routine insertion of a sample of barren crushed white marble ("blank") that goes through the same sample preparation and analytical procedures as the core samples. The blanks are usually selectively placed after potential high-grade samples. According to IAMGOLD'S protocol, one blank is inserted in every batch of 25 samples. The blanks are submitted with samples for crushing and pulverizing to determine if there has been contamination or sample cross-contamination in preparation. Elevated values for blanks may also indicate sources of contamination in the fire assay procedure (contaminated reagents or crucibles) or sample solution carry-over during instrumental finish.
According to IAMGOLD's QA/QC protocol, if any blank yields a gold value above 0.02 g/t Au, ten (10) samples before and after the anomalous blank should be re-assayed. For the 2014 to 2017 drilling programs, 250 (76%) of the 327 blanks sent to the laboratory returned values at or below the detection limit (AA finish) and 5 samples (1.5%) exceeded this recommended value (Figure 11.1) and were therefore re-assayed. All five samples were analyzed by AGAT. One sample returned with a Au grade below the recommended value, two had insufficient material to be re-assayed, and the results for the other two were still pending at the close-out date of the database (January 20, 2018).
Regarding the ongoing monitoring of the blank between 2018 and 2021, the analyses do not reveal any outliers exceeding the limit of 10 standard deviations.
InnovExplo is of the opinion that IAMGOLD's use of blanks to monitor contamination during the 2014 to 2021 drilling programs is valid and the data reliable.


Figure 11.1 - Results for blanks used by IAMGOLD during the 2014 to 2021 drilling programs on the Monster Lake Project
11.5.2 Certified Reference Materials (Standards)
One certified reference material (CRM) sample is included in every batch of 25 samples to monitor accuracy. Standards are used to determine whether there are problems with the assays for specific sample batches or possible long-term biases in the overall dataset.
Eleven (11) standards were used for the drilling programs from 2014 to 2017. The gold grades range from 0.599 to 30.04 g/t Au, as follows:
• SE68 with a theoretical value of 0.599 ± 0.004 g/t Au;
• SF57 with a theoretical value of 0.848 ± 0.03 g/t Au;
• SF85 with a theoretical value of 0.848 ± 0.006 g/t Au;
• SJ53 with a theoretical value of 2.637 ± 0.048 g/t Au;
• SK52 with a theoretical value of 4.107 ± 0.088 g/t Au;
• SK78 with a theoretical value of 4.134 ± 0.04 g/t Au;
• SN60 with a theoretical value of 8.595 ± 0.073 g/t Au;
• SF67 with a theoretical value of 8.595 ± 0.223 g/t Au;
• SN75 with a theoretical value of 8.671 ± 0.054 g/t Au;
• SP73 with a theoretical value of 18.17 ± 0.12 g/t Au;
• SQ36 with a theoretical value of 30.04 ± 0.24 g/t Au.

Three (3) standards were used for the drilling programs from 2018 to 2021. The gold grades range from 0.866 to 12.11 g/t Au, based on the method of fire assays, the details are as follows:
• OREAS 215 with a theoretical value of 3.54 ± 0.03 g/t Au;
• OREAS 220 with a theoretical value of 0.866 ± 0.06 g/t Au;
• OREAS 229 with a theoretical value of 12.11 ± 0.06 g/t Au;
A total of 358 CRM samples were sent to the laboratories from 2014 to 2021. IAMGOLD's quality control protocol stipulates that if any analyzed standard yields a gold value above or below three standard deviations (3SD) of the certified grade for that standard, then the project manager is informed and must decide whether the batch containing that standard should be re-analyzed.
Between 2014 and 2017, a total of 95.3% (234 samples) of the results passed the quality control criteria. Twelve (12) of the 24 problematic samples had insufficient material for the gravimetry finish. InnovExplo recommends that the laboratory be provided with a larger amount of each standard to avoid this issue in the future.
Table 11.1 - Results for standards used by IAMGOLD for the 2014 to 2017 drilling programs on the Monster Lake Project
| Standard (CRM) |
Standard supplier |
Laboratory | Certified gold value (g/t) | Quantity inserted | IAMGOLD Mean grade (AU g/t) | Lower process limit (- 3SD) | Upper process limit (+3SD) | Failed (NSS or Outliers) | (%) passing quality control |
| SF57 | Rocklabs Ltd | AGAT | 0.848 | 29 | 0.856 | 0.758 | 0.938 | 0 | 100.0% |
| SQ36 | Rocklabs Ltd | AGAT+ALS | 30.04 | 17 | 29.326 | 28.240 | 31.840 | 3 (3 NSS) | 82.4% |
| SJ53 | Rocklabs Ltd | AGAT | 2.637 | 21 | 2.661 | 2.493 | 2.781 | 2 | 90.5% |
| SK52 | Rocklabs Ltd | AGAT | 4.107 | 18 | 4.135 | 3.843 | 4.371 | 0 | 100.0% |
| SN60 | Rocklabs Ltd | AGAT+ALS | 8.595 | 26 | 8.464 | 7.926 | 9.264 | 2 | 92.3% |
| SF67 | Rocklabs Ltd | AGAT | 0.835 | 33 | 0.836 | 0.772 | 0.898 | 0 | 100.0% |
| SK78 | Rocklabs Ltd | AGAT+ALS | 4.134 | 40 | 4.115 | 3.720 | 4.548 | 4 (2 NSS) | 90.0% |
| SF85 | Rocklabs Ltd | AGAT+ALS | 0.848 | 18 | 0.831 | 0.794 | 0.902 | 1 | 94.4% |
| SN75 | Rocklabs Ltd | AGAT | 8.671 | 22 | 8.384 | 8.074 | 9.268 | 2 NSS | 90.9% |
| SE68 | Rocklabs Ltd | AGAT | 0.599 | 21 | 0.589 | 0.560 | 0.640 | 3 | 85.7% |
| SP73 | Rocklabs Ltd | AGAT | 18.17 | 13 | 18.250 | 16.910 | 19.430 | 7 (5 NSS) | 46.2% |

| 258 | 24 (12 NSS) | 90.7% | |||||||
| Without NSS | 95.3% |
Note: NSS = Not Sufficient Sample
Since 2018, a total of 93% of the results passed the quality control criteria. Seven (7) are problematic samples, theses failed standards were not re-assayed due to no significant values. InnovExplo is of the opinion that the results for all standards are reliable and valid.
Table 11.2 - Results for standards used by IAMGOLD for the 2018 to 2021 drilling programs on the Monster Lake Project
| Standard (CRM) |
Standard supplier |
Laboratory | Certified gold value (g/t) |
Quantity inserted |
IAMGOLD Mean grade (AU g/t) |
Lower process limit (- 3SD) |
Upper process limit (+3SD) |
Failed (NSS or Outliers) |
(%) passing quality control |
| STD-215 | Oreas | ALS | 3.54 | 39 | 3.446 | 3.51 | 3.57 | 3 | 92% |
| STD-220 | Oreas | ALS | 0.866 | 54 | 0.837 | 0.86 | 0.873 | 2 | 96% |
| STD-229 | Oreas | ALS | 12.11 | 5 | 11.97 | 12.05 | 12.18 | 2 | 60% |
| 98 | 7 | 93% | |||||||
11.5.3 Duplicates
Duplicates are used to check the representativeness of the results for a given population and to monitor precision during the preparation and analysis process. A total of 970 duplicates (rejects and pulps) were sent to the laboratories from 2014 to 2021. No field duplicates were used during this period.
11.5.3.1 Coarse Duplicate (reject)
A coarse duplicate (or reject) is a duplicate of the original sample taken immediately after the first crushing and splitting step. Both subsamples are then pulverized and assayed according to regular sample procedures. Coarse duplicates are used to monitor the quality of sample preparation. By measuring the precision of coarse duplicates, the incremental loss of precision can be determined for the coarse-crush stage of the process, thus indicating whether two subsamples taken after primary crushing is sufficient to ensure a representative subsplit for that crushed particle size.
IAMGOLD's quality control protocol requires that the laboratory prepare a coarse duplicate (reject) every 25 samples.
For the 2014 to 2021 drilling programs, a total of 369 coarse crush duplicates were assayed. Four holes (ML-17-185, ML-17-195B, ML-18-216 and ML-21-259) in the assays data do not have rejects or pulp duplicates, so theses holes were not used in the subsequent analysis. One outlier (IMGVD0009350DUP) has been removed from the plotted data because it was most likely caused by human error. The original sample (IMGVD0009350) yielded a value of 18.45 g/t Au while the duplicate only assayed 0.0025 g/t Au.

Figure 11.2 and Figure 11.3 are plots of the 56 crush duplicates grading ≥ 0.1 g/t Au showing a linear regression slope of 0.871 and a correlation coefficient 99.65%. The correlation coefficient is given by the square root of R² and represents the degree of scatter around the linear regression slope. The results indicate a good reproducibility of gold values.

Figure 11.2 - Linear graph comparing original samples to coarse duplicates grading ≥ 0.1 g/t Au (n=56) for drilling programs between 2014 and 2021


Figure 11.3 - Close-up view of Figure 11.2 comparing original samples to coarse duplicates grading ≥ 0.1 g/t Au (n=56) for drilling programs between 2014 and 2021. Only samples grading less than 10 g/t Au are shown
11.5.3.2 Pulp Duplicate
Pulp duplicates consist of second splits of prepared samples ready to be analyzed and are indicators of analytical precision, which may be also affected by the quality of pulverization and homogenization. Both original and duplicate samples are assayed according to regular sample procedures.
Pulp duplicates are necessary to ensure that proper preparation procedures are used during pulverization. By measuring the precision of pulp duplicates, the incremental loss of precision can be determined for the pulverization stage of the process, thus indicating whether two subsamples taken after pulverizing is sufficiently representative for the given pulverized particle size.
According to IAMGOLD's protocol, one pulp duplicate was run every ten (10) samples.
A total of 591 pulp duplicates were identified in the database for the period between 2014 and 2021. Figure 11.4 and Figure 11.5 are plots of the 94 pulp duplicates grading ≥ 0.1 g/t Au showing a linear regression slope of 1.0208 and a correlation coefficient of 99.88%. The results indicate excellent reproducibility of gold values.


Figure 11.4 - Linear graph comparing original samples to pulp duplicates grading ≥ 0.1 g/t Au (n=94) for drilling programs between 2014 and 2021


Figure 11.5 - Close-up view of Figure 11.4 comparing original samples to pulp duplicates grading ≥ 0.1 g/t Au (n=94) for drilling programs between 2014 and 2021. Only samples grading less than 5 g/t Au are shown
11.5.3.3 Precision of Duplicates
To determine reproducibility, precision is calculated by the following formula:
![]()
Precision ranges from 0 to 200% with the best being 0%, meaning that both the original and duplicate samples returned the same grade. Figure 11.6 illustrates precision (%) versus cumulative frequency (%) and shows the following aspects:
• 71% of coarse duplicates have a precision better than 20%;
• 71% of pulp duplicates have a precision better than 20%.
The precision of pulp duplicates is better than the precision of coarse duplicates. The results are in agreement with gold tendencies in the industry. Figure 11.7 indicates that samples with higher grades tend to show greater precision than samples containing less than 1.0 g/t Au because only slight variations of several tens of ppb for grades closer to the gold detection limit cause very poor precision.
In general, reproducibility is not adversely affected because most instances of poor precision can be attributed to samples with the lowest grades.


Figure 11.6 - Precision versus cumulative frequency for pulp duplicates (blue) and coarse duplicates (green) grading ≥0.1 g/t Au


Figure 11.7 - Precision versus average gold grade for pulp duplicates (blue) and coarse duplicates (green) grading ≥0.1 g/t Au
11.6 Re-assays vs Original Assay
According to IAMGOLD's QA/QC protocol, if any QA/QC sample fails, ten (10) samples before and after the anomalous QA/QC sample should be re-assayed. Once the results are received, IAMGOLD staff verify that the values are approximately the same between the original data and the re-assay data. No re-assay data were entered in the "Au final" column in the database.
A total of 367 re-assays were identified in the database corresponding to the period between 2014 and 2018. Reproducibility is problematic for samples grading more than 50 g/t Au due to the nugget effect. For this reason, all such samples were removed from the data for the plot (Figure 11.8) of the 56 re-assay pairs grading 0.1 to 50 g/t Au. The plot shows a linear regression slope of 0.74 and a correlation coefficient of 98.16%. The results indicate a good reproducibility of gold values and confirms that the original data do not need to be replaced by the re-assay data.


Figure 11.8 - Linear graph comparing original samples and re-assays with grades of 0.1 to 50 g/t Au (n=56) for drilling programs between 2014 and 2018
The campaigns between 2019-2021 didn't focus on the economic deposit, (BigMama, Annie zone, MSZ and ANSI-02), so re-assays were not a priority. Iamgold plan to catch up with the re-assays in 2025.
11.7 Umpire Laboratory (ALS VS AGAT)
Check assays were collected from 2014 to 2018, with a gap in 2016-2017 (83 samples). Excluding these years, 240 results are available for comparison.
- 2014-2015, AGAT was the primary lab, and ALS the umpire lab (187 samples).
- 2016-2018, ALS was the primary lab, and AGAT the umpire lab (137 samples, 54 analyzed).
A strong correlation of R=0.97 to 0.99 was observed. Overall, the number of check assays is low, with few high-grade samples selected; the samples were chosen randomly. (Figure 11.9).


Figure 11.9 - Linear graph comparing umpire laboratory. (ALS vs AGAT)
Check Assays were collected from 2014 to 2018. There is a gap in the data for 2016 and 2017 (83 samples). Excluding the samples collected in 2016 and 2017, a total of 240 results are available for review comparable pairs.
2014-2015 AGAT was the primary lab, and ALS was the umpire lab (187 total samples)
2016-2018 ALS was the primary lab, and AGAT was the umpire lab (137 total samples; 54 analyzed).
In general, a good correlation observed between R=0.97,the number of check assays overall is low, and few high-grade samples were selected for check assays - the samples were selected randomly.(Figure 11.10).

Figure 11.10 - Linear graph comparing Primary Lab vs Umpire Lab

11.8 Conclusions
InnovExplo reviewed the sample preparation, security and analytical procedures, as well as insertion rates and the performance of blanks, standards and duplicates, and concluded that the observed failure rates are within expected ranges and that no significant assay biases are present.
In InnovExplo's opinion, the procedures followed at the Monster Lake Project is conform to industry practices and the quality of the assay data is adequate and acceptable to support a mineral resource estimate.

12. DATA VERIFICATION
The diamond drill hole database used for the mineral resource estimate (the "2023 MRE") was provided by IAMGOLD. The latest drilling program in the Monster Lake resource area ended on June 28, 2021. All drill holes completed between 2018 and 2021 have been added to the holes considered in the latest 43-101, issued in 2018.The last hole considered into the database was ML-21-259. This data validation focused only on the 49 completed drilling holes added since 2018.
Given the complete work already accomplished on the database, (NI43-101MRE 2018) we concentrated on the holes added since 2018. We audited in detail 5% of the drill holes, which represents for this period, 4 of them. The drill holes verified are the following: ML_18-217, ML-18-234, ML-19-238 and ML-20-253. Following the detail of these holes, you should know that a basic overview of all the holes, added since 2018, has also been made.
Table 12.1 - Represents the 5% of holes, drilled during the period from 2018 to 2021.
| TYPE | DDH | Total Length | AVG assays Lenght (m) |
Number of assays |
total length assays (m) |
% analyses* |
| DDH | ML-18-217 | 279 | 1.04 | 50 | 52.18 | 19% |
| DDH | ML-18-234 | 417 | 1.15 | 51 | 58.90 | 14% |
| DDH | ML-19-238 | 241 | 1.16 | 40 | 46.55 | 19% |
| DDH | ML-20-253 | 474 | 1.22 | 41 | 50.10 | 11% |
| total | 1,411 | 182 | 208 | 15% |
*Hole less than 5% assayed will be rejected.
|
TYPE |
DDH |
Header |
Survey |
Assays |
Lithology |
Density |
|
DDH |
ML-18-217 |
ok |
ok |
small adjustment |
ok |
ok |
|
DDH |
ML-18-234 |
ok |
ok |
small adjustment |
ok |
ok |
|
DDH |
ML-19-238 |
validate AZ-DIP |
ok |
small adjustment |
ok |
ok |
|
DDH |
ML-20-253 |
validate AZ-DIP |
ok |
small adjustment |
ok |
ok |
InnovExplo's data verification included a visit to the Monster Lake Project. Audrey Lapointe visited the core logging and storage facilities in Chibougamau on March 20 and 21, 2024. The author conducted an examination of specific drill collars in the field and performed a review, including independent resampling and density tests of chosen core intervals. This also encompassed an assessment of assays, the QA/QC program, descriptions of lithologies, alterations and structures. Most of the database verification took place at the InnovExplo office in Val-d'Or before and after the site visits.

12.1 Historical Work
The information used in this report was taken mainly from NI 43-101 MRE 2018, prepared by INNOVEXPLO. InnovExplo assumes that exploration activities conducted in the last six years, by Iamgold, were in accordance with prevailing industry standards. During the site visit, the author verified the collar location of DDH ML-18-220, ML-18-221, ML-18-222, ML-18-223, ML-18-224 and ML-19-238 using a Garmin GPSMAP 60CSx (accuracy of ±3 m) and determined it was at the correct approximate location.
12.2 IAMGOLD Database
12.2.1 Coordinate System
The coordinate system for the Leap Frog project is NAD83 UTM Zone 18.
12.2.2 Drill Hole Locations
All diamond drill holes on the Monster Lake Project between 2018 and 2021 have been professionally surveyed by Paul Roy, Arpenteur-Géomètre of Chibougamau.
Six (6) casings were reviewed by the author during the site visit using a GPSMAP 60CSx (Figure 12.1). The differences between the InnovExplo measurements and those recorded in the IAMGOLD database are within the order of precision of the instrument. The authors concluded that the collar locations are adequate and reliable.

Figure 12.1 - A) Photograph showing the GPSMAP 60CSx used to verify the location of a drill collar during the site visit. B) Photograph showing one of the metal identification labels used for drill hole collars on the Project
12.2.3 Down-Hole Survey
Downhole surveys were performed on all the holes.
Single-shot downhole surveys (REFLEX EZ-TRAC) were done in holes drilled between 2018 and 2021. Downhole survey information was verified for 4 DDH and no majors errors were observed.

12.2.4 Assays
InnovExplo was granted access to the original assay certificates for all holes drilled from 2018 to 2021 and the assays were verified. InnovExplo noted that for holes before 2018 have still the values below the detection limits were usually incorrectly entered into the database as zeros or as a value 2x the detection limit. InnovExplo made the recommendation to IAMGOLD that these values be set to half the detection limit. For the 2024 MRE, this recommended correction was made mainly on the DDH between 2018 and 2021, but to the rest of the database, that advice need to be address.
At the request of IAMGOLD, any sample assaying more than 5.0 g/t Au is re-assayed using a gravimetric finish on the digested solution and any sample assaying more than 10 g/t Au or containing visible gold was re-assayed using the screen metallic procedure. In the assay table, the gravimetric finish result always replaces a value obtained by AA finish and when a sample was assayed using the screen metallic procedure, the value recorded as "Au final" always corresponds to the Au value obtained by metallic sieve method.
InnovExplo also noticed a shift in the mineralized zone of hole ML-17-210 that had no apparent geological explanation. After discussion with IAMGOLD, both parties concluded that the problem likely arises from a footage error. No changes have been made to the position of this hole. The geological model shows a curve which is induced by the position of the hole, a location which seems erroneous in the interpreted geological context.
That intercept, in the ML-17-210, is the 325-Mogane zone and is described as being "example of high-grade mineralization in a pinch and swell style related to dilation zones by crosscutting faults in sinistral-reverse transpressive system" (Adrien Zamparutti) which could be represented by irregular geological model. In addition, the displacement of the zone is approximately 20 meters relative to the main axis of the Morgane zone, which represents around half of the drilling grid. It is the opinion of Innovexplo that the position of this hole will not have a major impact on the resource estimate.
The final database is considered to be of good overall quality.
12.3 IAMGOLD Logging, Sampling and Assaying Procedures
IAMGOLD procedures are described in section 11.2.
InnovExplo reviewed several sections of mineralized core while visiting the onsite core logging and core storage facilities. All core boxes were labelled and properly stored outside. Sample tags were still present in the boxes and it was possible to validate sample numbers and confirm the presence of mineralization in witness half-core samples from the mineralized zones (Figure 12.2 and Figure 12.3).
InnovExplo is of the opinion that the protocols in place are adequate.


Figure 12.2 - A, B) Photographs of the interior of the core logging facility; C) Photograph of the roofed core racks at the core storage facility

Figure 12.3 - A) Standards used during the drilling programs; C) Commercial crushed white marble used as blank material during the drilling programs
12.4 Independent Resampling
InnovExplo resampled a series of intervals from the 2018 and 2021 drilling program. Before the site visit, quarter-splits of selected core intervals were sawed by IAMGOLD personnel. Author selected samples representing mineralized zone and a range of gold grades to be re-analyzed at the ALS laboratory in Val-d'Or (Figure 12.4). The author put the samples into individual plastic bags, grouped them, and then placed them inside one rice bag closed hermetically with a tie wrap. The rice bag was taken to the laboratory by InnovExplo personnel with a work order indicating the sample preparation and assay procedures to be followed by the laboratory.
Twelve (12) samples taken from four (4) drill hole intervals were assayed for gold using fire assay with AA finish (AA-AA24). Samples assaying more than 5 g/t Au with AA were rerun with gravimetric finish (GRA22) (Table 12.2).


Figure 12.4 - Photograph of core resampled by InnovExplo: (A) method for sample identification; (B) remaining quarter-core witness samples. Hole ML-21-258.
Table 12.2 - Gold results from the core resampling program, Monster Lake Project
|
Drill Hole |
Original |
Field Duplicate |
Rock code |
|||
|
|
Sample No. |
Au (ppm) |
Sample No. |
Au_AA24 |
Au_GRA22 |
|
|
ML-18-212 |
IMGVD11068 |
77.100 |
IMGVD67233 |
|
151.5 |
Megane VHG 1 |
|
ML-18-212 |
IMGVD11069 |
50.600 |
IMGVD67234 |
|
23.8 |
Megane VHG 1 |
|
ML-18-212 |
IMGVD11071 |
1.420 |
IMGVD67235 |
0.673 |
|
Megane HG |
|
ML-18-212 |
IMGVD11072 |
2.200 |
IMGVD67236 |
1.455 |
|
Megane HG |
|
ML-18-224 |
IMGVD15264 |
30.800 |
IMGVD67237 |
9.34 |
11.05 |
LSZ-1-HG |
|
ML-18-224 |
IMGVD15267 |
1.205 |
IMGVD67238 |
0.417 |
|
LSZ-1-HG |
|
ML-18-224 |
IMGVD15269 |
134.000 |
IMGVD67239 |
|
101 |
LSZ-1-HG |
|
ML-18-224 |
IMGVD15271 |
8.700 |
IMGVD67240 |
3.6 |
|
LSZ-1-HG |
|
ML-18-227 |
IMGVD11581 |
3.100 |
IMGVD67241 |
2.69 |
|
Megane HG |
|
ML-18-227 |
IMGVD11582 |
6.990 |
IMGVD67242 |
9.84 |
9.57 |
Megane VHG 4 |
|
ML-21-258 |
IMGVD41983 |
1.035 |
IMGVD67243 |
0.755 |
|
ANSZ-02 HG |
|
ML-21-258 |
IMGVD41987 |
2.100 |
IMGVD67244 |
1.925 |
|
ANSZ-02 HG |
Figure 12.5 is a plot of the 12 original-duplicate pairs showing a linear regression slope of 0.98 and a correlation coefficient of 70.23%. The results indicate good reproducibility of the original samples and show acceptable results despite some discrepancies for individual re-assays. InnovExplo believes the field duplicate results from the independent resampling program are reliable and valid for a gold project.



Figure 12.5 - A) Linear graph comparing originals to field duplicates (12 samples) from the resampling program; B) Close-up showing samples under 10 g/t Au

12.5 Density
The author supervised the resumption of density by the IAMGOLD technician, on samples identified during the site visit. Seven (7) densities were taken from four (4) drillholes were measured.
The technician followed the protocol established by IAMGOLD for taking density measurements. First calibration of the balance, with a specific weight, before starting the measurement. A review of the balance calibration will be inserted every 5 measurements taken on the samples. The technician uses the right hand for the dry sample and the left hand for the wet sample.

Figure 12.6 - Photograph of the Density station by InnovExplo: (A) Balance calibration; (B) Designated station for taking sample density
Table 12.3 - Density results from the validation program, Monster Lake Project
|
MONSTER LAKE -DATABASE |
SITE VISIT DENSITY DATA |
|||||||
|
HOLE-ID |
DISTANCE(M) |
DENSITY |
SAMPLE_NO |
ROCKTYPE |
DEPTH (m) from |
depth (m) to |
DENSITY |
ROCKTYPE |
|
ML-18-212 |
9.00 |
3.08 |
SG-ML-351 |
V3B |
|
|
|
|
|
ML-18-212 |
18.00 |
2.93 |
SG-ML-352 |
V2TU |
|
|
|
|
|
ML-18-212 |
28.10 |
2.77 |
SG-ML-353 |
M8 |
27.0 |
27.1 |
2.80 |
M8 |
|
ML-18-212 |
67.80 |
2.98 |
SG-ML-355 |
V3B MPL |
|
|
|
|
|
ML-18-212 |
87.85 |
2.72 |
SG-ML-354 |
V3B MPL |
|
|
|
|
|
ML-18-224 |
500.00 |
2.82 |
SG-ML-254 |
V3B |
|
|
|
|
|
ML-18-224 |
510.00 |
2.68 |
SG-ML-255 |
M8 |
511.5 |
511.7 |
2.72 |
M8 |
|
ML-18-224 |
520.00 |
2.83 |
SG-ML-256 |
V3B MPH |
519.0 |
519.2 |
2.84 |
V3B MPH |

| ML-18-224 | 530.00 | 3.07 | SG-ML-257 | V3B MPL | ||||
| ML-18-224 | 540.00 | 2.85 | SG-ML-258 | V3B MPL | ||||
| ML-18-227 | 262.45 | 3.05 | SG-ML-486 | V3B | ||||
| ML-18-227 | 271.90 | 3.05 | SG-ML-487 | V3B | ||||
| ML-18-227 | 282.30 | 2.98 | SG-ML-488 | V3B | 284.4 | 284.65 | 2.90 | V3B |
| ML-18-227 | 292.18 | 2.68 | SG-ML-489 | I2 | 289.0 | 289.2 | 3.11 | M8 ( 20% sulfide) |
| ML-18-227 | 302.08 | 3.06 | SG-ML-490 | V3B MPL | ||||
| ML-18-227 | 312.24 | 2.93 | SG-ML-491 | V3B MPL | ||||
| ML-21-258 | 282.50 | 2.94 | SG-ML-1056 | V3B | ||||
| ML-21-258 | 312.00 | 2.77 | SG-ML-1057 | V3B | ||||
| ML-21-258 | 342.42 | 2.57 | SG-ML-1058 | V2AP | 323.7 | 323.85 | 2.73 | I2 |
| ML-21-258 | 372.00 | 2.95 | SG-ML-1059 | V3B | 329.1 | 330 | 3.01 | V3B |
| ML-21-258 | 402.30 | 3.14 | SG-ML-1060 | V3B |
12.6 Conclusions
The databases are of good overall quality. Variations have been noted during the validation process but have no material impact on the 2024 MRE. The database is of sufficient quality to be used for a resource estimate.

13. MINERAL PROCESSING AND METALLURGICAL TESTING
The issuers had not carried out NI 43-101 compliant mineral processing or metallurgical test work on samples from the Project.

14. MINERAL RESOURCE ESTIMATES
The updated mineral resource for the Monster Lake Gold Project (the "2023 MRE") was prepared by QP Martin Perron, P.Eng., of InnovExplo, using all available information.
The effective date of the 2024 MRE is July 16, 2024.
The close-out date of the Monster Lake Gold Project database is October 11, 2023.
14.1 Methodology
The mineral resource area of the Monster Lake Gold Project covers an area of a 2,500 m strike length and a 400 m width and extends to a depth of 550 m below surface.
The 2023 MRE is based on diamond drill holes (DDHs) drilled between 1956 and 2021 and a litho-structural model constructed in Leapfrog.
The 2023 MRE was prepared using the Leapfrog Geo software v.2023.1.1 with the Edge Extension (Edge). Isatis Neo software v.2023.08 was used for the grade estimation, and block modelling. Basic statistics, capping and validations were established using a combination of Isatis and Microsoft Excel.
The main steps in the methodology were as follows:
• Review and validation of the DDH database;
• Validation of the topographic surface;
• Modelling of the bedrock surfaces, the fault surfaces and the interpretation of the mineralized domains based on lithological and structural information and metal content;
• Performing a capping study on assay data for each mineralized domains;
• Grade compositing;
• Geostatistics (spatial statistics);
• Grade interpolation;
• Validation of the grade interpolation;
• Mineral resource classification;
• Assess the mineral resource with "reasonable prospects for potential economic extraction" by selecting the appropriate cut-off grades and produce "resources-level" optimized underground mineable shapes;
• Generation of a mineral resource statement;
14.2 Drill Hole Database
The DDH database contains 420 surface (104,555.55 m). This selection contains 16,200 sampled intervals taken from 18,132.31 m of drilled core. All the sampled intervals were assayed for gold. The database also includes lithological, alteration as well as structural descriptions and measurements taken from drill core logs.
The mineral resource database covers the strike length of the mineral resource area at variable drill spacings ranging mainly from 10 to 50 m.
In addition to the tables of raw data, the mineral resource database includes tables of calculated drill hole composites and wireframe solid intersections, which are required for the statistical evaluation and mineral resource block modelling.

14.3 Mineralization Model (Definition and Interpretation of Estimation Domains)
The mineralization and structural models were provided to the QP and validated by him, using the DDH database as the primary source of information (assays, lithological units, alteration, and mineralization).
The structural model consists of 3 modelled volumes representing 3 shear zones: Shear ANSZ-02 HG, Main Annie and Monster Shear Zone.

The mineralization model consists of 18 mineralized zones (Figure 14.1) that were designed without a minimum thickness (true thickness of the mineralization zone) and are, therefore, not diluted. The mineralized zones were modelled on the extents of logged geological control(s) characteristic to each zone as described in Item 7 (quartz-carbonate veining, strong brecciation, high pyrite content with sericitization, silicification and carbonatization alteration) and snapped to assays irrespective of Au grades. These mineralization zones are used as interpolation domains.


Figure 14.1 - Inclined View of the Mineralization Model Looking Northwest: Dilution Blocks Model and Mineralized Zones A) Block Model estimation with Ordinary Kriging (view ISO) B) Mineralized zones and Shears zones

14.4 Other 3D Surfaces (Topography, Bedrock and Voids Model)
Individual 3D surfaces were created to define the surface topography and overburden/bedrock contact. The topography surface was created from the Quebec Government's freely available 2016 Lidar data ("Ministère des Forêts, de la Faune et des Parcs") that has an approximately 2 m resolution. The overburden-bedrock contact surface was modelled using logged overburden intervals and is used to clip the 3D wireframes of the mineralization zones.
14.5 High-grade Capping
Basic univariate statistics were completed on all individual structures. Capping was applied to raw assays. Capping values were selected by combining the dataset analysis (coefficient of variation, decile analysis, metal content) with the probability plot and log-normal distribution of grades. Table 14.1 presents a summary of the statistical analysis for each domain.


Figure 14.2 - Shows example graphs supporting the capping value for Zone 325-Megane HG.

Table 14.1 - Uncapped and Capped Gold Assay Statistics
| Code | Domain Name |
Uncapped Assays | Capped Assays | ||||||||||
| Count | Mean (g/t) |
Std. (g/t) |
Min (g/t) |
Max (g/t) |
CoV | Capping Value (g/t) |
Count Capped |
Mean (g/t) |
Std. (g/t) |
Max (g/t) |
CoV | ||
| 101 | MSZ_Total_0.3ppm | 2206 | 0.17 | 1.29 | 0.00 | 53.80 | 7.40 | N/A | 0 | 0.17 | 1.29 | 53.80 | 7.40 |
| 102 | Megane_VHG; MEG_5; LSZ-1 HG | 421 | 16.72 | 58.79 | 0.00 | 615.00 | 3.52 | 175 | 10 | 13.07 | 33.53 | 175.00 | 2.57 |
| 103 | 325-Megane HG; 230-SZ; MSZ-North Section; ANSZ-02 VHG; LSZ-2 HG | 1170 | 0.75 | 4.98 | 0.00 | 133.00 | 6.64 | 20 | 7 | 0.57 | 1.91 | 20.00 | 3.38 |
| 201 | Main_ANNIE SZ | 735 | 2.98 | 27.09 | 0.00 | 493.00 | 9.09 | 10 | 13 | 0.65 | 1.72 | 10.00 | 2.66 |
| 301 | ANSZ-02 HG; ANSZ-03 HG | 261 | 1.38 | 9.12 | 0.00 | 145.30 | 6.59 | 10 | 4 | 0.85 | 1.90 | 10.00 | 2.22 |
| 401 | Annie-SSZ N70; BigMama_BigMama SZ | 72 | 1.47 | 2.55 | 0.00 | 16.40 | 1.73 | N/A | 0 | 1.47 | 2.55 | 16.40 | 1.73 |
| 500 | Barren | 6004 | 0.16 | 4.77 | 0.00 | 357.00 | 29.73 | 5 | 16 | 0.07 | 0.35 | 5.00 | 5.18 |
Std = standard deviation; Min = minimum; Max = maximum; CoV = coefficient of variation


Figure 14.2 - Capping Analysis (Plots) for the Assays in for Zone 325-Megane HG

14.6 Compositing
To minimize any bias introduced by the variable sample lengths, the gold assays of the DDH data were composited to 1.0 m lengths in each of the mineralization zones and dilution blocks. The thickness of the mineralized structures, the proposed block size and the original sample lengths were considered when determining the composite length. Tails measuring less than 0.25 m were discarded. The QP opted to assign 0.00 g/t Au grade to intervals that were not sampled. Drill holes that were not sampled at all were ignored. A total of 19,070 composites were generated for the Monster Lake Gold Project.
Table 14.2 shows the basic statistics for the composites of the domains (mineralized zones). It illustrates the effect of capping and compositing on the Coefficient of Variation (CoV) of the capped data.
Table 14.2 - Summary Statistics for the Composites
| Code | Domain Name | Capped Assays | Composites | ||||
| Mean (g/t Au) |
CoV | Count | Max (g/t Au) |
Mean (g/t Au) |
CoV | ||
| 101 | MSZ_Total_0.3ppm | 0.17 | 7.40 | 2353 | 43.25 | 0.15 | 6.62 |
| 102 | Megane_VHG; MEG_5; LSZ-1 HG | 13.07 | 2.57 | 406 | 175.00 | 11.57 | 2.41 |
| 103 | 325-Megane HG; 230-SZ; MSZ-North Section; ANSZ-02 VHG; LSZ-2 HG | 0.57 | 3.38 | 1247 | 20.00 | 0.49 | 3.02 |
| 201 | Main_ANNIE SZ | 0.65 | 2.66 | 889 | 10.00 | 0.54 | 2.55 |
| 301 | ANSZ-02 HG; ANSZ-03 HG | 0.85 | 2.22 | 279 | 10.00 | 0.70 | 2.13 |
| 401 | Annie-SSZ N70; Big Mama_Big Mama SZ | 1.47 | 1.73 | 80 | 13.42 | 1.36 | 1.58 |
| 500 | Barren | 0.07 | 5.18 | 6808 | 5.77 | 0.06 | 4.86 |
Max = maximum; CoV = coefficient of variation
Note: Mean and CoV of capped assays are different than Table 14.1 as a grade of 0.00 g/t Au assigned to intervals not sampled, was accounted in the statistics of the table above
14.7 Density
Densities are used to calculate tonnages for the estimated volumes derived from the resource-grade block model.
For the 2023 MRE, a total of 1210 bulk specific gravity ("SG") measurements were provided by IAMGOLD and integrated into the database. Of these, only 149 are in the mineralized zones, taken from 21 drill holes. SG measurements during the 2017 drilling program were determined by standard water immersion methods on half-core samples. All SG measurements taken before the 2017 drilling program used the pycnometer method on pulps. Summary statistics of the SG data are presented by zone in Table 14.3.
The overall average density is 2.93 g/cm3 and was round to a fixed density of 2.90 g/cm3. This fixed density value of 2.90 g/cm3 was applied to each mineralized zone, as well as the waste area. A density of 2.00 g/cm3 was assigned to the overburden.

Table 14.3 - Summary statistics for the specific gravity measurements
| Zone | Block Code | Count | Mean | Median | Value Used |
| Waste | 999 | 275 | 2.94 | 2.95 | 2.95 |
| 325_HG | 300 | 38 | 2.90 | 2.86 | 2.86 |
| 325_LG | 400 | 111 | 2.92 | 2.88 | 2.88 |
| LSZ_1 | 600 | 0 | Same as 325_LG | 2.88 | |
| LSZ_2 | 700 | ||||
14.8 Block Model
A block model was created, which included all the mineralization zones. Due to the different orientations of the interpolation domains, an unrotated sub-block model was used in Isatis Neo. The interpolation domains and the historical underground voids were used as sub-blocking triggers.
The origin of the block model is the upper-southwest corner. Block dimensions reflect the drilling spacing, the size of the mineralized zones and plausible mining methods.
Table 14.4 shows the properties of the block model.
Table 14.4 - Block Model Properties
| Description | X | Y | Z |
| Block Model Origin (UTM NAD 83 Zone 18) | 519435 | 5487705 | -580 |
| Rotation Angle | None | None | None |
| Parent Block Dimension | 5.00 m | 5.00 m | 5.00 m |
| Number of Parent Blocks | 333 | 470 | 196 |
| Minimum Sub-block Dimension | 1.25 m | 1.25 m | 1.25 m |
14.9 Variography and Search Ellipsoids
For the deposit, 3D directional variography was completed on DDH composites of capped gold assay data. The study was carried out in Isatis. The 3D direction-specific investigations were done on each interpolation domains (mineralized zone and dilution blocks) and yielded best-fit models along orientations that correspond to the mean strike and dip of each zones/blocks.
Some zones did not contain enough composites to properly assess a best-fit model; therefore, the same model was used for the mineralized zones inside the same block. Three (3) sets of search ellipsoids (first, second and third search pass) were built from the variogram analysis, corresponding to 0.5x, 1.0x and 1.5x the results obtained from the variography study.
The 3D direction-specific search ellipsoids were guided by the mid-planes of each of modelled domains for an anisotropic search. The dilution blocks also used the mid-plane of the mineralized zones to guide the anisotropic search close to the zones, but it used the orientation resulting from their specific variography study farther from the zones.


Figure 14.3 - Section Views of the Ellipsoid Radii for Zone 1 (Code 101)


Figure 14.4 - Example of the variography study for Zone 1


Figure 14.3Figure 14.5 - Presents an example of the search ellipse (full ranges) according to the composite data points of the same high-grade zone Figure 14.4 shows an example of the variography study for Zone 101.

14.10 Grade Interpolation
The interpolation profiles were customized for each mineralized domain and dilution block to estimate grades with hard boundaries. The variography study provided the parameters used to interpolate the grade model using the composites. The interpolation inside each interpolation domains was run in Isatis.neo software on discretized blocks. A three-pass strategy was used with the capped composites.
The Ordinary Kriging method was selected because it better honours the grade distribution of the deposit. Inverse distance to the square power was performed as a validation tool.
The parameters of the grade estimation specific to Isatis are summarized in Table 14.5.

Table 14.5 - Estimation Parameters
| Mineralized Zone |
Pass | Ellipsoid | Composite Parameters | Isatis Orientation | Ranges (Based on Variogram) | Outlier Restriction | |||||||
| Min Comp |
Max Comp |
Max CMP/ddh |
Dip | Dip Az | Pitch | Major (m) |
Int. (m) |
Minor (m) |
Distance (m) | Value (g/t Au) |
|||
| 101 | 1 | 3.3/1.7/1 | 4 | 12 | 3 | 65 | 110 | 20 | 30 | 15 | 9 | N/A | N/A |
| 2 | 3.3/1.7/1 | 4 | 12 | 3 | 50 | 25 | 15 | N/A | N/A | ||||
| 3 | 3.3/1.7/1 | 3 | 12 | 3 | 75 | 38 | 23 | N/A | N/A | ||||
| 102 | 1 | 22.0/12.0/1 | 4 | 12 | 3 | 65 | 110 | 70 | 30 | 16 | 1 | N/A | N/A |
| 2 | 22.0/12.0/1 | 4 | 12 | 3 | 50 | 27 | 2 | N/A | N/A | ||||
| 3 | 22.0/12.0/1 | 3 | 12 | 3 | 75 | 41 | 3 | N/A | N/A | ||||
| 103 | 1 | 6.0/6.0/1 | 4 | 12 | 3 | 65 | 110 | 100 | 30 | 30 | 5 | N/A | N/A |
| 2 | 6.0/6.0/1 | 4 | 12 | 3 | 50 | 50 | 8 | N/A | N/A | ||||
| 3 | 6.0/6.0/1 | 3 | 12 | 3 | 75 | 75 | 13 | N/A | N/A | ||||
| 201 | 1 | 6.8/4.0/1 | 4 | 12 | 3 | 86 | 137 | 120 | 30 | 18 | 4 | N/A | N/A |
| 2 | 6.8/4.0/1 | 4 | 12 | 3 | 50 | 30 | 7 | N/A | N/A | ||||
| 3 | 6.8/4.0/1 | 3 | 12 | 3 | 75 | 44 | 11 | N/A | N/A | ||||
| 301 | 1 | 12.0/6.0/1 | 4 | 12 | 3 | 82 | 127 | 110 | 30 | 15 | 3 | N/A | N/A |
| 2 | 12.0/6.0/1 | 4 | 12 | 3 | 50 | 25 | 4 | N/A | N/A | ||||
| 3 | 12.0/6.0/1 | 3 | 12 | 3 | 75 | 38 | 6 | N/A | N/A | ||||
| 401 | 1 | 12.0/6.0/1 | 4 | 12 | 3 | 82 | 127 | 110 | 30 | 15 | 3 | N/A | N/A |
| 2 | 12.0/6.0/1 | 4 | 12 | 3 | 50 | 25 | 4 | N/A | N/A | ||||
| 3 | 12.0/6.0/1 | 3 | 12 | 3 | 75 | 38 | 6 | N/A | N/A | ||||
| 500 | 1 | 7.0/4.0/1 | 4 | 12 | 3 | 65 | 110 | 140 | 30 | 17 | 4 | N/A | N/A |
| 2 | 7.0/4.0/1 | 4 | 12 | 3 | 50 | 29 | 7 | N/A | N/A | ||||
| 3 | 7.0/4.0/1 | 3 | 12 | 3 | 75 | 43 | 11 | N/A | N/A | ||||
Notes; N/A=Not Applicable

14.11 Block Model Validation
Validation was done visually and statistically by the QP to ensure that the final mineral resource block model is consistent with the primary data.
First, the volume estimates for each code attributed by the mineralized zones were compared between the block model and the three-dimensional wireframe models.
Additionally, block model grades, composite grades and assays were visually compared on sections, plans and longitudinal views for both densely and sparsely drilled areas. No significant differences were observed. A generally good match was noted in the grade distribution without excessive smoothing in the block model (Figure 14.9 and Table 14.6 compares, for Zone Megane (rock code 101) the composites to the block grade).
Table 14.6 statistically compares, the global mean of the block model for the three (3) interpolation scenarios and the composite grades (including the declustered mean for the composites) for major mineralized structures for each zone at zero cut-off for the Measured, Indicated and Inferred blocks.
The trend and local variation of the estimated inverse distance square (ID2) and ordinary kriging (OK) models were compared to the nearest-neighbor (NN) model and composite data using swath plots in three directions (North, East and Elevation) for the Measured, Indicated and Inferred blocks (Figure 14.6, Figure 14.7 and Figure 14.8 show Zone Megane (rock code 1.1) as an example).
Cases in which the composite mean is higher than the block mean are often a consequence of clustered drilling patterns in high-grade areas. It is also worth noting that the mean of the composites is independent of the classification.
The comparison between composite and block grade distribution and the overall validation did not identify significant issues.
Table 14.6 - Comparison of the Mean Grades for Blocks and Composites
| Mineralized Zone |
Composites | Measured, Indicated and Inferred Blocks | |||||
| Count | Grade | Declustered Grade |
Count | ID2 Model (g/t Au) |
OK Model (g/t Au) |
NN Model (g/t Au) |
|
| 101 | 2353 | 0.15 | 0.11 | 404696 | 0.10 | 0.10 | 0.11 |
| 102 | 406 | 11.57 | 9.55 | 131801 | 11.74 | 11.21 | 10.07 |
| 103 | 1247 | 0.49 | 0.65 | 259325 | 0.47 | 0.49 | 0.58 |
| 201 | 889 | 0.54 | 0.50 | 81179 | 0.61 | 0.55 | 0.49 |
| 301 | 279 | 0.70 | 0.73 | 75429 | 0.78 | 0.81 | 1.10 |
| 401 | 80 | 1.36 | 0.98 | 13230 | 1.29 | 1.05 | 1.66 |
| 500 | 6808 | 0.06 | 0.05 | N/A | N/A | N/A | N/A |


Figure 14.6 - Swath Plot Comparison for Zone Megane (Code 101) of Block Estimates along East-West Axis/Section


Figure 14.7 - Swath Plot Comparison for Zone Megane (Code 101) of Block Estimates along North-South Axis/Section


Figure 14.8 - Plot Comparison for Zone Megane (Code 101) of Block Estimates along Vertical Axis/Section


Figure 14.9 -Section type of Megane zone. BM_ML_june_17_2024 Vs DDH composite.

14.12 Economic Parameters and Cut-Off Grade
Cut-off grade ("CoG") parameters were determined by QP, Marc R. Beauvais, P.Eng., using the parameters presented in Table 14.7. The deposit is reported at a rounded CoG of 4.4 g/t Au using the Long-Hole mining method (LH), for all zones where general dip is greater or equal to 43 degrees.
The QP considers the selected cut-off grade of 4.4 g/t Au to be adequate based on the current knowledge of the Project and to be instrumental in outlining mineral resources with reasonable prospects for eventual economic extraction for an underground mining scenario.
Table 14.7 - Input Parameters Used to Calculate the Underground Cut-off Grade (Using the Long-hole Mining Method) for the Monster Lake Gold Project
| Input parameter | Value |
| Gold price (US$/oz) | 1,800 |
| Exchange rate (USD:CAD) | 1.25 |
| Gold Price ($/oz) | 2,250 |
| Royalty (%) | 2 |
| Recovery (%) | 94 |
| LH minimal stope angle (°) | 43 |
| Global mining costs ($/t) | 150.00 |
| Processing & transport costs ($/t) | 97.87 |
| General and administration (G&A) costs ($/t) | 25.00 |
| Total cost ($/t) | 272.87 |
| Mineral resource cut-off grade (g/t Au) | 4.1 |
For long-hole method, the DSO parameters used a standard length of 20.0 m longitudinally, along the strike of the deposit, a 20.0 m height and a minimum of 2.0 m. The minimum shape measures 10.0 m x 10.0 m x 2.0 m. The standard shape was optimized first. If it was not potentially economical, smaller stope shapes were optimized until it reached the minimum mining shape.
The use of those conceptual mining shapes as constraints to report mineral resource estimates demonstrate that the "reasonable prospects for eventual economic extraction" meet the criteria defined in the CIM Definition Standards; May 10, 2014, and the MRMR Best Practice Guidelines; November 29, 2019.
14.13 Mineral Resource Classification
The 2023 MRE comprises Indicated and Inferred mineral resources. The categories were prepared using a script in Isatis. The resulting classifications were subsequently refined using a series of outline rings (clipping boundaries) to upgrade inferred blocks or downgrade indicated blocks. The QPs consider this a necessary step to homogenize the mineral resource volumes in each category and avoid the inclusion of isolated blocks in the Indicated category.

The classification takes into account the following criteria:
• Interpolation pass
• Distance to closest information
• Number of drill holes used to estimate the block's grade
The indicated category was assigned to blocks estimated in the first pass with a minimum of three (3) drill holes in areas where the minimum distance from a drill hole is less than 30 m.
The inferred category is defined for blocks estimated in the first and second pass with a minimum of three (3) drill holes in areas where the minimum distance from a drill hole is less than 50 m.
14.14 Mineral Resource Estimate
The QPs are of the opinion that the Monster Lake Gold Project 2023 MRE can be classified as Indicated and Inferred mineral resources based on geological and grade-continuity, data density, search ellipse criteria, drill hole spacing and interpolation parameters. The requirement of reasonable prospects for eventual economical extraction has been met by: having a minimum width for the modelling of the mineralization zones and a cut-off grade; using reasonable inputs for the long-hole mining method scenarios; and constraints consisting of mineable shapes for the underground scenarios.
The QPs consider the Monster Lake Gold Project 2023 MRE to be reliable and based on quality data and geological knowledge. The estimate follows CIM Definition Standards.
Table 14.8 displays the results of the Monster Lake Gold Project 2024 MRE.
Figure 14.8 and Figure 14.9 show the classified mineral resources before the constraining volumes (DSOs) for the Monster Lake Gold Project.

Table 14.8 - 2024 Mineral Resource Estimate of the Monster Lake Gold Project (Effective date of July 16, 2024)
| Monster Lake Gold Project | |||
| Underground Mineral Resource (at 4,1 g/t Au cut-off) | |||
| Classification | Tonnes | Grade | Ounces |
| (t) | (g/t Au) | (oz Troy Au) | |
| Indicated | 239 000 | 11,0 | 84 200 |
| Inferred | 1 053 000 | 14,4 | 488 500 |
Notes to the 2024 MRE
1. These mineral resources are not mineral reserves as they do not have demonstrated economic viability. The MRE follows current CIM Definition Standards (2014) and CIM MRMR Best Practice Guidelines (2019). The results are presented undiluted and are considered to have reasonable prospects for eventual economic extraction ("RPEEE").
2. The independent and qualified persons for the mineral resource estimate, as defined by NI 43 101, are Martin Perron, P.Eng., Audrey Lapointe, P.Geo., and Simon Boudreau, P.Eng. (InnovExplo), and the effective date of the estimate is July 16, 2024.
3. The resource estimate incorporates assay results from 420 diamond drill holes recorded on the entire property and is based on a compilation of historical holes and 161 recent diamond drill holes completed by IAMGOLD, including 51 diamond drill holes (for 17,724 metres) since end of 2017.
4. The estimation encompasses thirteen (13) lenses and a dilution envelope using LeapFrog Geo and interpolated using Isatis Neo.
5. 1.0-m composites were calculated within the mineralized zones using the grade of the adjacent material when assayed or a value of zero when not assayed. High-grade capping on composites (supported by statistical analysis) was set between 10.0 and 175.0 g/t Au for high-grade envelopes and 5.0 g/t Au for the dilution envelope.
6. The estimate was completed using a sub-block model in Isatis Neo, with a parent block size of 5m x 5m x 5m (X,Y,Z) and a sub-block size of 1.25m x 1.25m x 1.25m (X,Y,Z).
7. Grade interpolation was obtained by the Ordinary Kriging (OK) method using hard boundaries.
8. Density values of 2.88 to 2.95 g/cm3 were assigned to all mineralized zones.
9. Mineral resources were classified as Indicated and Inferred. Indicated resources are defined for blocks were estimated if the 3 holes closest to the block have an average distance < 30 m, and there is reasonable geological and grade continuity. The inferred category is defined for blocks estimated if the 3 holes closest to the block have an average distance < 50 m and if the block was not classified as Indicated and there is reasonable geological and grade continuity.
10. The MRE is locally constrained and meet the RPEEE requirement by applying constraining volumes to all blocks (selective underground long-hole extraction scenario) using Deswik Mineable Shape Optimizer (DSO).
11. The RPEEE requirement is satisfied by having a cut-off grade based on reasonable parameters for an underground extraction scenario. The estimate is presented for potential underground scenarios (realized in Deswik) over a minimum width of 2 m for blocks 20 m high by 20 m long at a cut-off grade of 4.1 g/t Au for the long-hole method. Cut-off grades reflect the currently defined geometry and dip of the mineralized envelopes. The underground cut-off grade was calculated using the following parameters: mining cost = CA$150.00/t; processing & transport cost = CA$97.87/t; G&A cost = CA$25.00/t; selling costs = CA$5.00/t; gold price = US$1,800/oz; USD/CAD exchange rate = 1.25 and mill recovery = 94%.
12. Cut-off grades should be re-evaluated in light of future prevailing market conditions (metal prices, exchange rates, mining costs etc.).
13. The number of metric tons (tonnes) was rounded to the nearest thousand, following the recommendations in NI 43-101. The metal contents are presented in troy ounces (tonnes x grade / 31.10348) rounded to the nearest hundred. Any discrepancies in the totals are due to rounding effects.
14. The QPs are not aware of any known environmental, permitting, legal, title-related, taxation, socio-political, or marketing issues or any other relevant issue not reported in the Technical Report that could materially affect the Mineral Resources Estimate.


Figure 14.10 - Classified Mineral Resources Within the Constraining Volumes for the Monster Lake Gold Project (Looking North) (4 = Indicated, 5 = Inferred, 6 = Exploration Potential)

Figure 14.11 - Classified Mineral Resources Within the Constraining Volumes for the Monster Lake Gold Project (Looking West) (4 = Indicated, 5 = Inferred, 6 = Exploration Potential)

14.15 Sensitivity to Cut-Off Grade
2024 mineral resource estimate. The reader should be cautioned that the numbers provided should not be interpreted as a mineral resource statement. The reported quantities and grade at different cut-off grades are presented in-situ and for the sole purpose of demonstrating the sensitivity of the mineral resource model to the selection of a reporting cut-off grade.
Table 14.9 - Sensitivity of the 2023 MRE to Different Gold Prices (Effective Date of July 16, 2024)
| Gold Price (US$/oz) |
Cut-off Grade (g/t Au) UG (LH) |
Monster Lake Gold Project | ||
| Metric Tonnes |
Grade (g/t Au) |
Troy Ounces (oz Au) |
||
| INDICATED MINERAL RESOURCES | ||||
| 1,500 | 5.0 | 208,000 | 12.0 | 80,200 |
| 1,600 | 4.7 | 216,000 | 11.7 | 81,400 |
| 1,700 | 4.4 | 227,000 | 11.3 | 82,800 |
| 1,800 | 4.1 | 239,000 | 11.0 | 84,200 |
| 1,900 | 3.9 | 252,000 | 10.6 | 85,800 |
| 2,000 | 3.7 | 264,000 | 10.3 | 87,000 |
| 2,100 | 3.5 | 272,000 | 10.0 | 87,700 |
| 2,200 | 3.4 | 276,000 | 9.9 | 88,200 |
| INFERRED MINERAL RESOURCES | ||||
| 1,500 | 5.0 | 917,000 | 16.2 | 476,400 |
| 1,600 | 4.7 | 959,000 | 15.6 | 481,700 |
| 1,700 | 4.4 | 998,000 | 15.0 | 481,700 |
| 1,800 | 4.1 | 1,053,000 | 14.4 | 488,500 |
| 1,900 | 3.9 | 1,091,000 | 14.0 | 492,800 |
| 2,000 | 3.7 | 1,141,000 | 13.6 | 498,600 |
| 2,100 | 3.5 | 1,186,000 | 13.2 | 503,200 |
| 2,200 | 3.4 | 1,216,000 | 13.0 | 506,700 |
Note: Numbers may not add up due to rounding. The reader is cautioned that the figures provided in Table 14.9 should not be interpreted as a statement of mineral resources. Quantities and estimated grades for different gold prices (and cut-off grades) are presented for the sole purpose of demonstrating the sensitivity of the mineral resources model to the choice of a specific gold price.

15. MINERAL RESERVE ESTIMATES
There are no mineral resource estimates for the Property.
16. MINING METHODS
Not applicable at the current stage of the Project.
17. RECOVERY METHODS
Not applicable at the current stage of the Project.
18. PROJECT INFRASTRUCTURE
Not applicable at the current stage of the Project.
19. MARKET STUDIES AND CONTRACTS
Not applicable at the current stage of the Project.
20. ENVIRONMENTAL STUDIES, PERMITTING, AND SOCIAL OR COMMUNITY IMPACT
Not applicable at the current stage of the Project.
21. CAPITAL AND OPERATING COSTS
Not applicable at the current stage of the Project.
22. ECONOMIC ANALYSIS
Not applicable at the current stage of the Project.

23. ADJACENT PROPERTIES
Figure 23.1 shows all the current owners of mining titles adjacent to the Monster Lake Property.
At the effective date of this report, the GESTIM database records numerous mineral exploration properties in the region around the Monster Lake Project. Most of the adjacent claims are owned by junior exploration companies or local prospectors. Recent exploration work on these properties has focused on gold and base metals.
The descriptions in this section are drawn from information publicly disclosed by the owners of the adjacent properties.
The information about mineralization on adjacent properties is not necessarily indicative of mineralization on IAMGOLD's property. The author has not verified the mineral resource estimates or published geological information pertaining to the adjacent properties.


Figure 23.1 - Map of Monster Lake Project and adjacent properties

24. OTHER RELEVANT DATA AND INFORMATION
All relevant data and information regarding the Project have been disclosed under the relevant sections of this report.

25. INTERPRETATION AND CONCLUSIONS
The objective of InnovExplo's mandate was to provide an updated mineral resource estimate for the Monster Lake gold deposit (the "2024 MRE").
InnovExplo created a litho-geological model of the Project using all available geological and analytical information provided by IAMGOLD's geology team. In order to conduct accurate resource modelling of the deposit, InnovExplo based its mineralized-zone wireframe model on the drill hole database, the IAMGOLD geologists geological and structural detailed interpretation and the Authors' knowledge of local geology. A total of 13 mineralized lenses were modelled combined with one dilution envelope. The interpolation of the mineralized zones was constrained by the wireframes.
The QP's conclude the following:
• The database supporting the 2024 MRE is complete, valid and up to date.
• The key parameters of the 2024 MRE (density, capping, compositing, interpolation, search ellipsoid, etc.) are supported by the available data and statistical and/or geostatistical analyses.
• The 2024 MRE includes Indicated and Inferred mineral resources, with a cut-off grades of 4.1 g/t Au for an underground long-hole mining scenarios.
• Cut-off grades were calculated at a gold price of US$1,800 per troy ounce, an exchange rate of 1.25 USD/CAD, and reasonable mining, processing and G&A costs.
• In an underground mining scenario, the Project contains estimated Indicated Resources of 239,000 t at 11.0 g/t Au for 84,200 ounces of gold and Inferred Resources of 1,053,000 t at 14.4 g/t Au for 488,500 ounces of gold.
• Additional diamond drilling could potentially upgrade some of the Inferred resources to the Indicated category and potentially add to the Inferred resources since most of the mineralized zones have not been fully explored along strike or at depth.
The QP's consider the 2024 MRE to be reliable, thorough, and based on quality data, reasonable hypotheses, and parameters prepared in accordance with NI 43-101 guidance and CIM Definition Standards and CIM Best Practice Guidelines.
Table 25.1 identifies the significant internal risks, potential impacts and possible risk mitigation measures that could affect the future economic outcome of the Project. The list does not include the external risks that apply to all mining projects (e.g., changes in metal prices, exchange rates, availability of investment capital, change in government regulations, etc.).
Significant opportunities that could improve the economics, timing and permitting are identified in Table 25.2. Further information and study are required before these opportunities can be included in the Project economics.

Table 25.1 - Risks for the Monster Lake Project
| RISK | Potential Impact | Possible Risk Mitigation |
| Poor social acceptability | Possibility that the Monster Lake Project could not be explored or exploited. | Develop a pro-active and transparent strategy to identify all stakeholders and develop a communication plan. Organize information sessions, publish information on the mining project, and meet with host communities. |
| Inability to attract experienced professionals | The ability to attract and retain competent, experienced professionals is a key factor to success. | An early search for professionals will help identify and attract critical people through all project phases, from early exploration to more advanced. |
| Metallurgical recoveries below expectations | Recovery might differ from what is currently being assumed. | Further variability testing of the deposit to confirm metallurgical conditions and efficiencies. |
Table 25.2 - Opportunities for the Monster Lake Project
| OPPORTUNITIES | Explanation | Potential benefit |
| Conduct density tests from core samples | Potential to increase or confirm the bulk density value currently used for the resource estimate. | An increase in bulk density increases the tonnage and therefore the ounces of gold. |
| Metallurgical recoveries above expectations | Recovery might differ from what is currently being assumed. | Further variability testing of the deposit to confirm metallurgical conditions and efficiencies. |
| Resource development potential | Potential for additional discoveries at depth and around the deposit by drilling. Potential to convert inferred mineral resources to a higher level of confidence. | Adding indicated and inferred mineral resources increases the economic value of the mining project. |
| Experienced workforce | An experienced workforce is already present in the Abitibi region to the south | Creation of a team-building environment. |
| Bulk sample | Validate and test the mining and metallurgical assumptions and the resource model | Could potentially advance the project to the next stage - PEA study |

26. RECOMMENDATIONS
The QP's are of the opinion that the recommended two-phase work program and proposed expenditures are appropriate and well thought out, and that the character of the Project is of sufficient merit to justify the recommended program. The QP's believe that the proposed budget reasonably reflects the type and amount of the contemplated activities.
However, many areas in the deposits lack information to expand the mineralized zones further. Those areas have chances to carry valuable gold grades as they are directly located on the margin of interpreted mineralized zones. Many interpreted zones could be expanded and therefore increase the number of ounces in the resources
To effectively support exploration and resource expansion objectives, IAMGOLD proposed next drilling campaign will strategically balance infill drilling with the evaluation of high-priority exploration targets. The program should emphasize resource growth within the 325-Megane zone while dedicating resources to assess promising new prospects along the mineralized trend.
The 2025 drilling plan will focus on three primary objectives, encompassing approximately 15,000 meters of drilling across 24-30 holes: infill and expansion of the existing deposit, testing deep down-dip extensions, and exploratory drilling on new high-priority targets along the mineralized trend.
The infill and depth extension drilling will be conducted in the 325-Megane zone to enhance resource confidence and facilitate the upgrade of resource classifications from Inferred to Indicated. These efforts will provide essential data to refine resource models and guide future development strategies. Additionally, depth extension drilling should target in large part the 325-Megane deposit, but also Annie and other proximal areas to assess structural and mineralized continuity at depth. It is recommended to allocate 10,000 meters for this purpose.
Exploration drilling, though limited in scope, should focus on evaluating 2-3 new high-priority targets along the mineralized trend where areas of significant interest have been identified through geological and geophysical analyses.
This program will ensure a strategic approach to both resource enhancement and the discovery of new mineralized zones, positioning the project for substantial growth and long-term success.
It is also recommended that the Issuer prioritize completing a comprehensive metallurgical sampling and characterization program. This will provide critical data to inform processing strategies and enhance the overall project evaluation.
26.1 Costs Estimate for Recommended Work
InnovExplo has prepared a cost estimate for the recommended two-phase work program to serve as a guideline. The budget for the proposed program is presented in Table 26.1. Expenditures for phase 1 (mainly the 2025 work program) are estimated at C$4,000,000 (incl. 15% for contingencies). Expenditures for Phase 2 are estimated at C$5,000,000 (incl. 15% for contingencies) and largely for drilling activities to expand the mineral resources on this project. The grand total is C$9,000,000 (incl. 15% for contingencies). Phase 2 is contingent upon the success of Phase 1.

Table 26.1 - Estimated Costs for the Recommended Work Program
| PHASE 1 | WORK PROGRAM | BUDGET COST |
| Perform a metallurgical study on the mineralized material | $100,000 | |
| Diamond drilling (15,000 m) | $3,270,000 | |
| Infill and expansion drilling (4,000 m) | ||
| Depth extension drilling (8,000 m) | ||
| Exploration drilling (3,000 m) | ||
| Contingency (~ 15%) | $630,000 | |
| Phase 1 subtotal | $4,000,000 | |
| PHASE 2 | WORK PROGRAM | BUDGET COST |
| Diamond drilling (20,000 m) | $4,400,000 | |
| Contingency (~ 15%) | $600,000 | |
| Phase 2 subtotal | $5,000,000 | |
| TOTAL (Phase 1 and Phase 2) | $9,000,000 |

27. REFERENCES
Alexandria Minerals Corporation. Fancamp-Embry Properties [online]. Available at : http://www.azx.ca/projects/fancamp-embry/ [Accessed 15 March 2018]
Allard, M., 1987. Geophysical Report, Magnetic and VLF Surveys, G. J. Hinse Geological Services Ltd "Grid I", Rale Township. Service Exploration Enrg. 9 pages. GM-45637.
Archer, P., Tremblay, R., and Bouchard, G., 1985. Rapport de reconnaissance géologique, propriété rasles 2. Explorations Noranda Ltée. 18 pages. GM-42695.
Ayer, J., Amelin, Y., Corfu, F., Kamo, S., Ketchum, J.F., Kwok, K., and Trowell, N.F., 2002a, Evolution of the Abitibi greenstone belt based on U-Pb geochronology: Autochthonous volcanic construction followed by plutonism, regional deformation and sedimentation: Precambrian Research, v. 115, p. 63-95.
Ayer, J.A., Ketchum, J., and Trowell, N.F., 2002b, New geochronological and neodymium isotopic results from the Abitibi greenstone belt, with emphasis on the timing and the tectonic implications of Neoarchean sedimentation and volcanism: Ontario Geological Survey Open File Report 6100, p. 5-1-5-16.
Ayer, J.A., Thurston, P. C., Bateman, R., Dubé, B., Gibson, H. L., Hamilton, M. A., Hathway, B., Hocker, S.M., Houlé, M., Hudak, G.J., Ispolatov, V., Lafrance, B., Lesher, C.M., MacDonald, P.J., Péloquin, A.S., Piercey, S.J., Reed, L.E., and Thompson, P.H., 2005, Overview of results from the Greenstone Architecture Project: Discover Abitibi Initiative: Ontario Geological Survey Open File Report 6154, 125 pages.
Ayer, J.A., Trowell, N.F., Amelin, Y., and Corfu, F., 1998, Geological compilation of the Abitibi greenstone belt: Toward a revised stratigraphy based on compilation and new geochronology results: Ontario Geological Survey Miscellaneous Paper 169, p. 4-1-4-14.
Bateman, R., Ayer, J.A., and Dubé, B., 2008, The Timmins-Porcupine gold camp, Ontario: Anatomy of an Archean greenstone belt and ontogeny of gold mineralizations. Economic Geology, v. 103, p. 1285-1308.
Bellavance, Y., 1994. Campagne de forage, hiver 1994, projet Fancamp (993), cantons de Rales et Fancamp, SNRC 32 G/9 et 32 G/10. 31 pages. GM-53353.
Benn, K., Miles, W., Ghassemi, M. R., Gillet, J., 1994. Crustal structure and kinematic framework of the north-western Pontiac Subprovince, Québec: an integrated structural and geophysical study. Canadian Journal; of Earth Sciences, Vol. 31, pages 271-281.
Bernier, M. A., 1991a. Rapport de sondage au diamant avec journaux des trous 993-91-27 à 991-91-34, Projet Fancamp, Cantons de Rale et Fancamp, SNRC 32 G/9 et 32 G/10. SOQUEM. 26 pages. GM-50535.
Bernier, M. A., 1991b. Campagne d'exploration mai-octobre 1991, Projet Fancamp, Cantons de Rale et Fancamp, SNRC 32 G/9 et 32 G/10. SOQUEM. 61 pages. GM-51182.
Bérubé, P., 1994. Rapport sur un levé de polarisation provoquée effectué par SAGAX Géophysique Inc. dans le cadre du projet Fancamp (993), cantons de Rasles et de Fancamp, SNRC 32G/10. SOQUEM. 13 pages. GM-53050.

Blue Thunder Mining Corporation. Blue Thunder Mining Corporation and the recently acquired Chinook Property in Chibougamau gold camp [online]. Available at : https://bluethundermining.com/
Boileau, P., 2016. Levé de polarisation provoquée et de résistivité effectué sur le projet Fancamp. GM69349. 9 pages.
Born, P., 1980. Rapport de levés géologiques dans les cantons Rasles, Lescure et Hazeur pour le compte de: "Les Mines Patino (Québec) Limitée". 8 pages. GM-36464.
Brunswick Resources Inc. (June 7, 2016). Brunswick Resources acquires Lake Irène Properties in Québec. [News release]. Retrieved from: http://www.brunswickresources.com/press-release/detail-46.html
Buchan, K. L., and Ernst, R. E., 2004. Diabase dyke swarms and related units in Canada and adjacent regions (with accompanying notes). Geological Survey of Canada, Map 2022A, 1:5,000,000.
Buissières, Y., 1987a. DDH logs of hole FA-87-1 to FA-88-11. Achates resources Ltd. 61 pages. GM-48495.
Buissières, Y., 1987b. Trvaux d'exploration janvier et février 1987, propriétés de Chibougamau. Explorations Golden Rock Inc. 24 pages. GM-45432.
Burns, R. F., and Ewert, W. D., 1978. Drill hole record, Windy Property. Cominco Ltd. 117 pages. GM-34348.
Canadian Nickel Company Limited 1956a. DDH log of hole 13261. 2 pages. GM-04373A.
Canadian Nickel Company Limited 1956b. DDH log of hole 13265. 2 pages. GM-04373B.
Canadian Nickel Company Limited 1957. DDH log of hole 13286. 2 pages. GM-00184.
Card, K. D., and Ciesielski, A., 1986. Subdivisions of the Superior Province of the Canadian Shield. Geoscience Canada, v. 13, pp. 5-13.
Card, K.D., and Poulsen, K.H., 1998, Geology and mineral deposits of the Superior Province of the Canadian shield, in Lucas, S., and St-Onge, M.R., eds., Geology of the Precambrian Superior and Grenville Provinces and Precambrian Fossils in North America: Geological Survey of Canada, Geology of Canada 7, p. 13-194.
Champagne, P., 1989. Géochimie de l'indice aurifère Erratix, Chibougamau. Mémoire présenté à l'Université du Québec à Chicoutimi comme exigence partielle de la Maîtrise en Sciences Appliquées (M.Sc.A.). 130 pages.
Charbonneau, R. and Robillard I., 2015. Glacial sediment follow-up sampling in 2015. Monster Lake Property, Chibougamau Chapais Area, Québec. Inlandsis Consultants. 74 pages. GM-69706.
Charbonneau, R., 2015. Final report on the 2014 glacial sediment sampling, Monster Lake Property, Chibougamau Chapais Area, Québec. Inlandsis Consultants. 74 pages. GM-69707.
Charbonneau, R. 2022. Report on the 2020 glacial sediment sampling, Monster lake property, Chibougamau Chapais area, Québec. Inlandsis Consultants. 81 pages. GM-72730.

Chown, E. H., Daigneault, R., and Mueller, W., 1991a. Part 1: Geological Setting of the Eastern Extremity of the Abitibi belt. In Litho-Tectonic Framework and associated mineralization of the eastern extremity of Abitibi Greenstone Belt, Quebec (Field Trip 3). Edited by j. Guha, E. H. Chown and R. Daigneault. Geological Survey of Canada. Open File 2158. pp. 1-32.
Chown, E. H., Daigneault, R., Lauzière, K., Mueller, W., and Tait, L, 1991b. Geology of the Caopatina Segment. In Litho-Tectonic Framework and associated mineralization of the eastern extremity of Abitibi Greenstone Belt, Quebec (Field Trip 3). Edited by j. Guha, E. H. Chown and R. Daigneault. Geological Survey of Canada. Open File 2158. pp. 82-96.
Chown, E. H., Daigneault, R., Mueller, W., and Mortensen, J., 1992. Tectonic evolution of the Northern Volcanic Zone of Abitibi Belt. Canadian Journal of Earth Sciences, v. 29, pp. 2211-2225.
Chown, E. H., Daigneault, R., Mueller, W., and Pilote, P. 1998. Part 1: Geological Setting of the Eastern Extremity of the Abitibi belt. In Geology and Metallogeny of the Chapais-Chibougamau Mining District: a New Vision of the Discovery Potential. Proceedings of the Chapais-Chibougamau 1998 Symposium. Editor: P. Pilote. pp. 1-27. DV 98-04.
Constable, D. W., 1985a. Report on the Glen Kasner Property Located in Rasles Township, Chibougamau Area, Quebec. Constable Consulting Inc. 29 pages. GM-42058.
Constable, D. W., 1985b. Geological Report of G. J. Hinse Geological Services Limited Property, Rasles Township, Quebec. Constable Consulting Inc. 21 pages. GM-42438.
D'Amours, I., and Popiela, B., 2008. Report on Data Modelling using CARDS & 2007 Phase 1 of Exploration Program (prospecting/sampling), property of Eau Jaune, Township: Rale and Fancamp, NTS 32G10, Québec, Canada. Diagnos Inc.19 pages. GM-63404.
Daigneault, R., 1996. Couloirs de déformation de la Sous-Province de l'Abitibi. Ministère des Ressources naturelles du Québec, 114 pages. MB 96-33.
Daigneault, R., and Allard, G.O., 1990. Le Complexe du Lac Doré et son environnement géologique (région de Chibougamau-sous-province de l'Abitibi): Ministère de l'Énergie des Mines et des Ressources du Québec. 275 pages. MM 89-03.
Daigneault, R., Mueller, W.U., Chown, E. H., 2002. Oblique Archean subduction: accretion and exhumation of an oceanic arc during dextral transpression, Southern Volcanic Zone, Abitibi Subprovince, Canada. Precambrian Research 115: 261-290.
Daigneault, R., Mueller, W.U., Chown, E.H., 2004. Abitibi greenstone belt plate tectonics: the diachronous history of arc development, accretion and collision. In Eriksson, P.G., Altermann, W., Nelson, D.R., Mueller, W.U., Catuneanu, O. (Eds.). The Precambrian Earth: Tempos and Events, Series: Developments in Precambrian geology, vol. 12, Elsevier, pages. 88-103.
David, J. et Dion, C., 2010. Géochronologie d'échantillons recueillis par géologie Québec, année 2009−2010. Ministère des Ressources naturelles et Faune du Québec, 33 pages, GM-64849.
David, J., 1980. Levés géophysique dans la région de Rasles (Co. Abitibi-Est). Ministère de l'Énergie et des ressources du Québec. 13 pages. GM-40304.

Davis, W.D. et Dion, C., 2012. Datation ID-TIMS d'échantillons recueillis en 2011-2012 par Géologie Québec. Ministère des Ressources naturelles et Faune du Québec, 26 pages, GM 66443.
Davis, W.J., Machado, N., Gariépy, C., Sawyer, E.W., and Benn, K., 1995. U-Pb geochronology of the Opatica tonalite-gneiss belt and its relationship to the Abitibi greenstone belt, Superior Province, Québec. Canadian Journal of Earth Sciences, 32: 113-127.
Desrochers, J-P.; 2010. Report on the Trenching Program on the Fancamp Project, Fancamp Township, Northern Quebec. Murgor Resources Inc. GM65165. 61 pages.
Dimroth, E, Imrech, L., Rocheleau, M., Goulet, N., 1982. Evolution of the south-central part of the Archean Abitibi Belt, Quebec. Part I: stratigraphy and paleostratigraphic model. Canadian Journal of Earth Sciences, Vol. 19, pages 1729-1758.
Dimroth, E, Imrech, L., Rocheleau, M., Goulet, N., 1983. Evolution of the south-central part of the Archean Abitibi Belt, Quebec. Part III: plutonic and metamorphic evolution and geotectonic model. Canadian Journal of Earth Sciences, Vol. 20, pages 1374-1388.
Dion, C. and Simard, A., 1998. Geological and Metallogenic Compilation of the Caopatina Segment. In Geology and Metallogeny of the Chapais-Chibougamau Mining District: a New Vision of the Discovery Potential. Proceedings of the Chapais-Chibougamau 1998 Symposium. Editor: P. Pilote. pp. 51-53. DV 98-04.
Dion, C. and Simard, A., 1999. Compilation et synthèse géologique et métallogénique du Segment de Caopatina, région de Chibougamau. Ministère des Ressources naturelles. 80 pages. MB 99-33.
Dube, 2014. Technical Report on Heliborne Magnetic and TDEM Survey of Monster Ouest and Monster Est Projects. GM68198. 38 pages
Dubé, B., and Gosselin, P., 2007, Greenstone-hosted quartz-carbonate vein deposits, in Goodfellow, W.D., ed., Mineral Deposits of Canada: A Synthesis of Major Deposit-Types, District Metallogeny, the Evolution of Geological Provinces, and Exploration Methods: Geological Association of Canada, Mineral Deposits Division, Special Publication No. 5, p. 49-73.
Dumont, R., and Potvin, J., 2006a. Apparent conductance with electromagnetic anomalies, MEGATEM II survey Chibougamau 2006, Parts of NTS 32 G/10 - 32 G/11 - 32 G/06 - 32 G/07, Quebec. Geological Survey of Canada, Open file 5239, scale 1 : 50 000.
Dumont, R., and Potvin, J., 2006b. Residual total magnetic total field with electromagnetic anomalies, MEGATEM II survey Chibougamau 2006, Parts of NTS 32 G/10 - 32 G/11 - 32 G/06 - 32 G/07, Quebec. Geological Survey of Canada, Open file 5243, scale 1 : 50 000.
Dumont, R., and Potvin, J., 2006c. Electromagnetic decay constant (TAU) with electromagnetic anomalies, MEGATEM II survey Chibougamau 2006, Parts of NTS 32 G/10 - 32 G/11 - 32 G/06 - 32 G/07, Quebec. Geological Survey of Canada, Open file 5247, scale 1 : 50 000.
Dumont, R., and Potvin, J., 2006d. Secon vertical deriative of total magnetic filed Keating coefficients, MEGATEM II survey Chibougamau 2006, Parts of NTS 32 G/10 - 32 G/11 - 32 G/06 - 32 G/07, Quebec. Geological Survey of Canada, Open file 5251, scale 1 : 50 000.

Dumont, R., and Potvin, J., 2006e. Residual total magnetic total field with electromagnetic anomalies, MEGATEM II survey Chibougamau 2006, Parts of NTS 32 G/10 - 32 G/11 - 32 G/07 - 32 G/06, Quebec. Geological Survey of Canada, Open file 5263, scale 1 : 20 000.
Dumont, R., and Potvin, J., 2006f. Residual total magnetic total field with electromagnetic anomalies, MEGATEM II survey Chibougamau 2006, Parts of NTS 32 G/10, Quebec. Geological Survey of Canada, Open file 5264, scale 1 : 20 000.
Dumont, R., and Potvin, J., 2006g. Residual total magnetic total field with electromagnetic anomalies, MEGATEM II survey Chibougamau 2006, Parts of NTS 32 G/07 - 32 G/10, Quebec. Geological Survey of Canada, Open file 5265, scale 1 : 20 000.
Duquette, G. 1968. Fiche de gites, Gite C-RAS-2. Noranda Mines Ltd. 4 pages. GM-25193.
Duquette, G., 1970. Archean Stratigraphy and Ore Relationships in the Chibougamau District. Department of Natural resources, Mines Branch. Gouvernement du Quebec. Special Paper 8. 22 pages. ES-008.
Ellemers, M.. and Kerr, D.J., 2003. Compilation Report on the Fancamp Gold Property. AccuMin Mineral Services Inc. GM61854. 25 pages.
Ewert W. D., 1978. Diamond Drill Log Windy Project. DDH W-78-01 to W-78-13. Cominco Ltd. 111 pages. GM-34348.
Faure, S., 2012. Réévaluation de la géologie et des modèles d'exploration pour l'or dans le segment Caopatina - Desmaraisville, sud de Chibougamau. Rapport, Projet CONSOREM 2012-02, 57 pages.
Faure, S., Jébrack, M., and Bouillon, J. J., 1990. Géologie et minéralisation en Zn-Cu-Ag-Au des Mines Selbaie. Dans La ceinture polymétallique du Nord-Ouest québécois, (éd.) M. Rive, P. Verpaelst, Y. Gagnon, J. M. Lulin, G. Riverin et A. Simard. L'Institut canadien des mines et de la métarllurgie, Volume Spécial 43, p. 363-372.
Folco, P., 1994. Campagne d'exploration été- automne 1994, projet Fancamp (993), cantons de Rale et Fancamp, SNRC 32 G/7, 32 G/10. SOQUEM. 31 pages. GM-53051.
Folco, P., 1995a. Campagne de sondage hiver 1994-1995, projet Fancamp (993), cantons de Rale et Fancamp. SOQUEM. 320 pages. GM-53912.
Folco, P., 1995b. Campagne de sondage été 1995, projet Fancamp (993), cantons de Rale et Fancamp. SOQUEM. 36 pages. GM-53789.
Folco, P., and Schmitt, L., 2002. Rapport annuel d'exploration 2001-2002, district de Chibougamau, secteur Joe Mann, propriété Winchester (993), SNRC 32G/10 et 32G/7. SOQUEM. 20 pages. GM-59621.
Fortin, G., 1988. Levé de polarisation provoquée, propriété Fancamp de Achates Resources Ltd. Magma Exploration et Ageos Sciences Inc. 15 pages. GM_46722.
Gagné, M. R., and Masson, J., 2013. A Step Foward! An Act to Amend the Minig Act (2013 S.Q., c. 32). Mining Bulletin. Fasken Martineau. 7 pages.

Gamey, C.E. 1949. Diamond drill record, Lac a l'Eau Jaune area. Noranda Mines Ltd. 13 pages. GM-00433.
Gamey, C.E. 1953. Diamond drill record, Lac a l'Eau Jaune area. Noranda Mines Ltd. 10 pages. GM-02387.
Garant, M. and Riopel, P., 2014. Rapport sur la campagne de forage d'exploration de février 2014. Entreprises Minières Globex Inc. GM68850. 94 pages.
Garant, M. 2014. Rapport de cartographie et de reconnaissance de terrain, Lac a l'eau jaune. Entreprise Minière Globex Inc. 44 pages. 2 plans. GM 68846.
Géomines Ltée, 1981. Etude de la propriété minière de la Couronne dans le canton de Rasles. Ministère de l'Énergie et des Ressources du Québec. 25 pages. GM-40304.
Giroux, M., 2011. Rapport de compilation et de reconnaissance géologique, projet Winchester, secteur de Chibougamau, feuillet 32G10. MGWA Holding Inc. et Gaspenor Geo-Sciences Inc. 15 pages. GM-66413.
Globex Mining Entreprises Inc. Eau Jaune Lake Property - Gold [online]. Available at: http://www.globexmining.com/property.php?id=155 [Accessed 15 March 2018]
Gobeil, A., 1981. Géologie des claims de la couronne situés au nord-est du canton de Rasles. Ministère de l'énergie et des Ressources du Québec. 2 pages. GM-40304.
Gobeil, A., and Racicot, D., 1982. Région des lacs Caopatina et des Vents. Ministère de l'Énergie et des Ressources du Québec. DP 82-18.
Gobeil, A., and Racicot, D., 1983. Carte Lithostratigraphique de la région de Chibougamau. Ministère de l'Énergie et des Ressources du Québec. 14 pages. MM 83-02.
Goma, N., Zamparutti, A. 2022. Rapport de forage, Été 2021, propriété Monster Lake No. 273. IAMGOLD Corporation. 175 pages. GM-72909.
Gosman, D., 1978. DDH logs of holes F-4-1, F-6-1, R-1-1, R-2-1, R-2-2, R-3-1, R-4-1, R-9-1 to R-9-4, and RO-1-1. Patino Mines (Quebec) Limited. 36 pages. GM-34727.
Goutier, J., 1997, Géologie de la région de Destor: Ministère des Ressources naturelles du Québec 37 pages. RG 96-13.
Goutier, J., and Melançon, M., 2007, Compilation géologique de la Sous-province de l'Abitibi (version préliminaire): Ministère des Ressources naturelles et de la Faune du Québec.
Guha, J., Chown, E.H., et Daigneault, R., 1991. Litho-tectonic framework and associated mineralization of the eastern extremity of the Abitibi Greenstone Belt, Québec (Field Trip 3). Geological Survey of Canada, Open File 2158, 131 pages.
Guzon, V., 2012. Mining Rights in the Province of Quebec. Blakes Bulletin Real Estate - Mining Tenures July 2012. Blake, Cassels & Graydon LLP. 7 pages.
Hagemann, S.G., and Brown P.E., 2000. Gold in 2000: An introduction. Society of Economic Geologists, Reviews in Economic Geology, vol. 13, p. 1-7.
Hannington, M. D., Barrie T. C., and Bleeker, W., 1999. The giant Kidd Creek volcanogenic massive sulphide deposit, western Abitibi Subprovince, Canada. In Hannington, M. D., eds., Volcanic-Associated massive Sulfide Deposits: Processes and Examples in Modern and Ancient Settings. Review in Economic Geology, vol. 8, pages 325-356.

Holmes, W. S., 1952. Preliminary Report on Fancamp-Hauy Area, Abitibi-East County. Geological Surveys Branch, Department of Mines, Province of Quebec, Canada. 12 pages. RP-271.
Holmes, W. S., 1959. Fancamp-Hauy Area, Abitibi-East Electoral District. Geological Surveys Branch, Department of Mines, Province of Quebec, Canada. 46 pages. RG-084.
Houle, P., 2011. Nouvelle vision du potentiel aurifère de la région Chapais-Chibougamau. Présentation publique dans le cadre du Symposium Mines Baie-James 2011. (http://www.mrn.gouv.qc.ca/mines/quebec-mines/2011-03/31mai/am/01-patrick.pdf).
Hubert, J.-M., 1986. Levé de polarisation provoquée. Propriété Fancamp (100993). SOQUEM. 15 pages. GM-43345.
Hubert, J.-M., Ben Abess, H., and Potvin, H., 1993. Rapport sur un levé de polarisation provoquée effectué par SAGAX Géophysique inc. SOQUEM. 11 pages. GM-53351.
IAMGOLD Report, 2014a. Report on Exploration Activities on Monster Lake Property - 1st Quarter 2014. IAMGOLD Corporation. Internal Report. 15 pages.
IAMGOLD Report, 2014b. Report on Exploration Activities on Monster Lake Property - 2nd Quarter 2014. IAMGOLD Corporation. Internal Report. 20 pages.
IAMGOLD Report, 2014c. Monthly Report - Monster Lake exploration activities July 2014. IAMGOLD Corporation. Internal Report. 8 pages.
IAMGOLD Report, 2014d. Monthly Report - Monster Lake exploration activities August 2014. IAMGOLD Corporation. Internal Report. 11 pages.
IAMGOLD Report, 2015a. Rapport de forage - Automne 2015. Propriété Monster Lake n273. IAMGOLD Corporation. Rapport interne préliminaire. 62 pages.
IAMGOLD Report, 2015b. Technical Report for the Monster Lake Project on Diamond Drilling Activities - Fall and Winter 2014. IAMGOLD Corporation. Internal Report. 49 pages.
IAMGOLD Report, 2015c. Rapport des travaux de cartographie de surface - Été 2015 - Propriété Winchester. IAMGOLD Corporation. Internal Report. 40 pages.
IAMGOLD Report, 2015d. Rapport des travaux de cartographie de surface et de forage au diamant - Été 2015 - Propriété Lac à L'Eau-Jaune. IAMGOLD Corporation. Internal Report. 35 pages.
IAMGOLD Report, 2016a. Technical Report for the Monster Lake Project on Diamond Drilling Activities - Winter 2015. IAMGOLD Corporation. Internal Report. 55 pages.
IAMGOLD Report, 2016b. Technical Report for the Monster Lake Project on Diamond Drilling Activities - Winter 2016. IAMGOLD Corporation. Internal Report. 60 pages.
IAMGOLD Report, 2016c. Rapport des travaux de cartographie de surface - été 2015. IAMGOLD Corporation. Internal Report. 37 pages.
IAMGOLD Report, 2016d. Rapport des travaux de prospection - Campagne Été 2014. IAMGOLD Corporation. Internal Report. 211 pages.

IAMGOLD Report, 2017a. Rapport des travaux de cartographie de surface - Propriété Lac à l'Eau Jaune. IAMGOLD Corporation. Internal Report. 38 pages.
IAMGOLD Report, 2017b. Rapport de forage - Hiver 2017 et Été 2017 - Propriété Monster Lake. IAMGOLD Corporation. Internal Report. 72 pages.
IAMGOLD Report, 2018a. Rapport des travaux de cartographie de surface - Été 2016 - Propriété Monster Lake. IAMGOLD Corporation. Internal Report. 91 pages.
IAMGOLD Report, 2018b. Rapport des travaux de prospection - Automne 2017 - Propriété Monster Lake. IAMGOLD Corporation. Internal Report. 62 pages.
IAMGOLD. (August 20, 2014). Exploration update on the Monster Lake Project. [News release]. Retrieved from http://www.iamgold.com/investors/news-releases/default.aspx
IAMGOLD. (February 22, 2016). IAMGOLD updates its ongoing exploration program at Monster Lake Project, Québec. [News release]. Retrieved from http://www.iamgold.com/investors/news-releases/default.aspx
IAMGOLD. (February 5, 2015). IAMGOLD intersects high grade gold at Monster Lake Project in Québec. [News release]. Retrieved from http://www.iamgold.com/investors/news-releases/default.aspx
IAMGOLD. (July 6, 2017). IAMGOLD reports further high grade results from the Monster Lake Project, Québec. [News release]. Retrieved from http://www.iamgold.com/investors/news-releases/default.aspx
IAMGOLD. (June 16, 2016).IAMGOLD intersects a second gold zone on the Monster Lake Project. [News release]. Retrieved from http://www.iamgold.com/investors/news-releases/default.aspx
IAMGOLD. (June 25, 2015). IAMGOLD intersects high grade gold at Monster Lake Project in Québec. [News release]. Retrieved from http://www.iamgold.com/investors/news-releases/default.aspx
IAMGOLD. (May 11, 2017). IAMGOLD expands gold potential on the Monster Lake Project, Québec. [News release]. Retrieved from http://www.iamgold.com/investors/news-releases/default.aspx
IAMGOLD. (November 1, 2017). IAMGOLD provides update on the Monster Lake Project, Québec. [News release]. Retrieved from http://www.iamgold.com/investors/news-releases/default.aspx
IAMGOLD. (March 28, 2018). IAMGOLD Reports Initial Mineral Resource Estimate for the Monster Lake Project, Québec. [News release]. Retrieved from http://www.iamgold.com/investors/news-releases/default.aspx
IAMGOLD. (May 10, 2018). IAMGOLD Files NI 43-101 Technical Report for Previously Announced Initial Mineral Resource Estimate for the Monster Lake. [News release]. Retrieved from http://www.iamgold.com/investors/news-releases/default.aspx
IAMGOLD. (June 14, 2018). IAMGOLD Continues to Intersect High Grades at Monster Lake Project, Québec. [News release]. Retrieved from http://www.iamgold.com/investors/news-releases/default.aspx

IAMGOLD. (July 13, 2019). IAMGOLD Reports positive results from its 2019 drilling program at Monster Lake Project, Québec. [News release]. Retrieved from http://www.iamgold.com/investors/news-releases/default.aspx
IAMGOLD. (August 13, 2020). IAMGOLD intersects mineralization along strike at Monster lake, Québec; provides results from 2020 exploration program. [News release] Retrieved from http://www.iamgold.com/investors/news-releases/default.aspx
Imbeau, G. 1977. Propriété du Lac a l'Eau Jaune. Umex Inc. 2 pages. 2 plans. GM-32633.
Jean, A., 2016. Campagne de forage sur les propriétés Hazeur et Monster Island, région de Chibougamau. Corporation TomaGold. GM69751. 99 pages.
Jobin, C., and Déry, J. P., 1982. Levé de magnétisme et d'électromagnétisme au sol, Rasles, Quebec. Les Relevés Géophysiques Inc. Ministère de l'énergie et des ressources du Québec. 5 pages. GM-40304.
Jolly, W. T., 1978. Metamorphic history of the Archean Abitibi Belt. In Metamorphism in the Canadian Shield. Geological Survey of Canada, Paper 78-10, pp. 63-78.
Kwopnang, M., Zamparutti, A., Dickenson, S. 2019. Rapport de cartographie, Été 2019, propriété Monster Lake North No. 805. IAMGOLD Corporation. 40 pages. GM-71534.
Kwopnang, M., Zamparutti, A., Dickenson, S. 2019. Rapport de forage, Hiver 2019, propriété Monster Lake No. 273. IAMGOLD Corporation. 383 pages. GM-72001.
Kwopnang, M., Zamparutti, A., Dickenson, S. 2020. Rapport de forage, Hiver 2020, propriété Monster Lake No. 273. IAMGOLD Corporation. 675 pages. GM-71909.
Lacroix, S., Simard, A., Pilote, P., and Dubé, L. M., 1990. Regional geologic elements and mineral resources of the Harricana-Turgeon Belt, Abitibi of NW Quebec. In The Northwestern Quebec Polymetallic Belt, (ed.) M. Rive, P. Verpaelst, Y. Gagnon, J. M. Lulin, G. Riverin et A. Simard. Canadian Institute of Metallurgy, Special Volume 43, p. 313-326.
Laforest, G., 1987. Report on the Fancamp Property of Achates Resources Ltd, Fancamp Township. Minexpert Inc. 17 pages. GM-46579.
Lambert, G., 1996. Rapport sommaire sur des levés électromagnétiques E.M.H. MaxMin I, projet 993, propriétét fancamp, canton Rasles, NTS 32G/07, 32G/10. Gérard Lambert Géosciences. SOQUEM. 9 pages. GM-54374.
Lambert, G. 2014. Report on total field magnetometer and phase-domain induced polarization surveys, Eau Jaune Lake property. Entreprise Minière Globex Inc. 16 pages. 18 plans. GM-68847.
Lamothe, G., 1987. Rapport de levés géophysiques, Propriété Fancamp détenue par Achates Resources Ltd. Magma Exploration. 11 pages. GM-45724.
Lamothe, G., and Bouchard, M., 2009. Rapport d'exploration simplifié, propriété 325. 3 pages. GM-64665.
Lavoie, C., 1981. Compilation, propriété du Ministère de l'Énergie et des Resources projet Rasles, canton Rasles - Province de Québec. GEOLA Ltée. 26 pages. GM-40304.

Lavoie, C., 1982. Étude et compilation de levés géologique, magnétique et électromagnétique, propriété du Ministère de l'Énergie et des Resources, projet Rasles, canton Rasles - Province de Québec. GEOLA Ltée. 10 pages. GM-40304.
Leber, R., 1988. DDH logs of LC-33 and LC-34. Esso Minerals Canada Ltd. 284 pages. GM-48402.
Leclair, A., 2005. Géologie du nord-est de la Province du Supérieur. Ministère des Ressources naturelles du Québec. Map DV 2004-04, 1:750,000.
Leclerc, F., Bédard, J.H., Harris, L.B., McNicoll, V.J., Goulet, N., Roy, P., and Houle, P., 2011. Tholeiitic to calc-alkaline cyclic volcanism in the Roy Group, Chibougamau area, Abitibi greenstone belt-revised stratigraphy and implications for VHMS exploration: Canadian Journal of Earth Sciences, v. 48, p. 661−694.
Leclerc, F., Roy, P. Houle, P., Pilote, P. Bédard, J. Harris, L.B., McNicoll, V.J., Van Breemen, O., David, J. and Goulet, N., 2017. Géologie de la region de Chibougamau. Ressources naturelles du Québec. RG 2015-03
Legault, M. and Daigneault, R., 2006. Synvolcanic gold mineralization within a deformation zone: the Chevrier deposit, Chibougamau, Abitibi Subprovince, Canada. Mineralium Deposita, 41: 203-228.
Legault, M., Daigneault, R., Coututre, J.-F., 1997. Contexte structural et métallogénique des indice aurifères du couloir de déformation de Fancamp. Ministère des Ressources naturelles du Québec, Secteur des mines. 63 pages. MB 97-32.
Létourneau, O., and Paul, R., 2014. Helicopter-borne geophysical survey, Chibougamau, Québec, NTS map sheets 32 G/07 and 32 G/10. Data acquisition report, Monster Lake project. Geophysics GPR International Inc. Internal Report. 19 pages.
Ludden, J.N., Hubert, C., and Gariépy, C., 1986, The tectonic evolution of the Abitibi greenstone belt of Canada: Geological Magazine, v. 123, p. 153-166.
Lyall H. B., 1953. Preliminary Report on Brongniart-Lescure Area, Abitibi-East County. Geological Surveys Branch, Department of Mines, Province of Quebec, Canada. 12 pages. RP-285.
Lyall H. B., 1959. Brongniart-Lescure Area, Electoral District of Abitibi-East. Geological Surveys Branch, Department of Mines, Province of Quebec, Canada. 38 pages. RG-085.
Manitoba, 1965. Geological map of Manitoba. Manitoba Department of Mines and Natural Resources, Map 65-1, 1:1,267,200.
Marcotte, J.A., Leclerc, A., Roy, P. 2008. Assessment report discussing prospecting, geophysics, and diamond drilling on the Muscocho property. Celtic Minerals Ltd. 194 pages. 16 plans. GM-63777.
Mathieu, L., Snyder, Bedeaux, Cheraghi, Lafrance, Thurston, Sherlock, 2020.Advancing earth and space sciences, Tectonics (volume 39), Deep into the Chibougamau Area, Abitibi Greenstone Belt: Structure of Neoarchean crust revealed by seismic reflection profiling.
McCann, J. A., 1987. Campagne d'exploration, septembre 1986 à mai 1987, Projet Fancamp (100993). SOQUEM. 21 pages. GM-46027.

McCann, J. A., 1990. Synthèse des travaux d'exploration, projet Fancamp (100993). SOQUEM. Rapport interne. 17 pages.
MERQ, 1977. Levé EM (Input) - Région de La Dauversière. Flying and compilation by Questor Surveys Ltd. Ministère de l'Énergie et des Ressources du Québec. DP-496.
MERQ, 1989. Traitement des données géophysiques (aéromagnétiques) - Lac à l'Eau Jaune, 32G/10, Cartes 2100 A et B. Compilation par SIAL Géosciences Inc.. Ministère de l'Énergie et des Resources du Québec. DV 89-10.
MERQ, 1993. Traitement des données géophysiques (aéromagnétiques) - Lac Verneuil, Parties des découpures SNRC : 32G/07, 08, 09, 10. Cartes 2200 A, B, C. Levé et compilation par Val-d'Or Géophysique Ltée.. Ministère de l'Énergie et des Resources du Québec. DV 93-24.
MERQ-OGS, 1984, Lithostratigraphic map of the Abitibi subprovince: Ontario Geological Survey and Ministère de l'Énergie et des Ressources, Québec, Map 2484 and DV 83-16.
Mortensen, J.K., 1993. U-Pb geochronology of the eastern Abitibi subprovince. Part 1: Chibougamau-Matagami-Joutel region: Canadian Journal of Earth Sciences, vol 30, pages 11−28.
Mueller, W. U., Daigneault, R., Mortensen, J, Chown, E. H., 1996a. Archean terrane docking: upper crust collision tectonics, Abitibi Greenstone Belt, Québec, Canada. Tectonophysics 265:127-150.
Muirhead, A., Jones, P. 1988. Diamond drill record, Rale property. Ressources Gateford Inc. 33 pages. 1 plan. GM-47482.
Murdy, A., 1978. Report on rasles Township Exploration Programme. Patino Mines (Quebec) Limited. 9 pages. GM-33835.
National Assembly, 2013. Bill 70 (2013, chapter 32) An Act to amend the Mining Act. Québec Official Publisher 2013. 32 pages.
O'Dowd, P., 2012. NI 43-101 Technical Report Evaluation Report Monster lake Property, Abitibi, NTS 32G10. Tomagold Corporation Inc. and Quinto Real Corporation Inc. 96 pages. GM-67483.
Ontario, 1992. Bedrock geology of Ontario. Ontario Geological Survey, Maps 2541, 2542 and 2543, 1:1,000,000.
Percival, J. A., 2007. Geology and metallogeny of the Superior Province, Canada, in Goodfellow, W.D. (ed.), Mineral deposits of Canada: A synthesis of major deposit types, district metallogeny, the evolution of geological provinces, and exploration methods. Geological Association of Canada, Mineral Deposits Division, Special Publication No. 5, p. 903-928.
Pilote, P., Dion, C. et Morin, R., 1996. Géologie et évolution métallogénique de la région de Chibougamau : gîtes de type Cu-Au-Mo porphyriques aux gisements filoniens mésothermaux aurifères. Ministère des Ressources naturelles du Québec, , 172 pages. MB 96-14.
Popiela, B., 2011. Lac à l'Eau Jaune Property, Exploration Program, November 2011, Rale/Fancamp Townships, Chibougamau-Chapais District, NTS 32G/10. JAPOSAT Satellite Mapping. Diagnos Inc. 37 pages. GM-66177.

Poulsen, K. H., Robert, F., and Dubé, B., 2000. Geological classification of Canadian cold deposits. Geological Survey of Canada, Bulletin 540, 106 pages.
Powell, W. D., Carmichael, D. M., and Hodgon, C. J., 1993. Thermobarometry in a subgreenschist to greenschist transition in metabasite of the Abitibi greenstone belt, Superior Province, Canada. Journal of Metamorphic Geology, Vol. 11, pages 165-178.
Racicot, D., Chown, E. H., and Hanel, T., 1984. Plutons of the Chibougamau-Desmaraisville Belt: A Preliminary Survey. In Chibougamau: Stratigraphy and mineralization. Proceedings of the Chibougamau symposium and field trip sponsored by the Geology Division of CIM ; edited by Jayanta Guha and Edward H. Chown. Canadian Institute of Metallurgy, Special Volume 34, p. 178-187.
Rail, M., Lapointe, J., and Paquet, M., 2012. Scoping metallurgical study on a Tomagold's Monster lake deposit sample. Metallurgical Services METCHIB. 19 pages. Internal Report.
Robert, F, Poulsen, K.H., and Dubé, B., 1997. Gold deposits and their geological classification. In: A.G. Gubins (ed.), Proceedings of Exploration '97: Fourth Decennial International Conference on Mineral Exploration, p. 209-220.
Robert, F., and Poulsen, K. H., 1997. World-class Archean gold deposits in Canada: An overview. Australian Journal of Earth Sciences, vol. 44, pages 329-351.
Robert, F., and Poulsen, K.H., 2001. Vein formation and deformation in greenstone gold deposits. In: Richards, J.P., and Tosdal, R.M. (eds.), Structural Controls on Ore Genesis. Society of Economic Geologists, Reviews in Economic Geology, vol. 14, p. 111-155.
Robert, F., Brommecker, R., Bourne, B.T., Dobak, P. J., McEwan, C.J., Rowe, R. R., Zhou, X., 2007. Models and Exploration Methods for Major Gold Deposit Types. In: B. Milkereit (ed.), Proceedings of Exploration 07: Fifth Decennial International Conference on Mineral Exploration, p. 691-711.
Robert, F., Poulsen, K.H., and Dubé, B., 1994. Structural analysis of lode gold deposits in deformed terranes and its application: Geological Survey of Canada, Short course notes, Open File Report 2850, 140 pages.
Robertshaw, P., and Burton, G. B., 1977. Geophysical Report 1976 Windy Project. Cominco Ltd. Exploration Eastern District. 28 pages. GM-32745.
Saïm, Y., and Gaucher, E., 1991. Levé de TBF et de magnétométrie effectuée sur la propriété Fancamp (100993), Cabtons Rasles et Fancamp. GEOSIG Inc. 4 pages. GM-50226.
Saindon, D., and Dumont, R., 1989. Rapport du levé héliporté, canton Rale et Fancamp, Projet 100993. Sial GéoSciences Inc. 22 pages. GM-50227.
Sawyer, E. W., and Benn, K., 1993. Structure of the high-grade Opatica Belt and adjacent lowgrade Abitibi Subprovince, Canada: An Archean mountain front. Journal of Structural Geology, v.15, p. 1443-1458.
Shimron, A. E., and Wallis, C. S., 1976. Geological Report 1976 Windy Project. Cominco Ltd. Exploration Eastern District. 17 pages. GM-32746.
Sicard-Lochon, E., 1987. Rapport géologique, G. J. Hinse Geological Services Ltd « Grid I » et « Grid II », lac Irène, Canton de Rasles. Services Exploration Enrg. 17 pages. GM-46371.

Smith, P. H., 1984. A report on the rasles Group, rasles Township, Chibougamau District. Claims Robbins. 11 pages. GM-41487.
Smith, P. H., 1985a. Report and Recommandations, Blanchard Property, Rasles Township, Chibougamau District. Claims Blanchard. 7 pages. GM-42501.
Smith, P. H., 1985b. Summary Report, Geology, Geochemistry and Geophysics, Achates Resources Ltd, Fancap/Rasles Property. Achates Resources Ltd. 3 pages. GM-42513.
Smith, P. H., 1986. Report on 1986 Work and Proposals for Further Work, Blanchard Property, Rale Township, Chibougamau District. Claims Blanchard. 8 pages. GM-44061.
Statistics Canada. Census Program [online]. Available at: www12.statcan.gc.ca [Accessed 9 April 2018].
Stemp, R. W., 1975. Report on Airborne Geophysical Survey of the Windy Project of Quebec. Report prepared by Kenting Earth Sciences Limited for Cominco Ltd. 13 pages. GM-31615.
St-Hilaire, C., 2008. Technical and Interpretation Report Heliborne Aeromagnetic Survey, Chevrier Project, Chapais Area, Québec, for Tawsho Mining Inc. Géophysique Camille St-Hilaire Inc. 30 pages. GM-65023.
Tait, L., 1992a. Géologie de la région du lac à l'Eau Jaune (Territoire-du-Nouveau-Québec). Ministère de l'Énergie et des Ressources du Québec. ET 90-08.
Tait, L., 1992b. Géologie de la région du lac à l'Eau Jaune (Territoire-du-Nouveau-Québec). Ministère de l'Énergie et des Ressources du Québec. 80 pages. MB 91-29.
Tait, L., Pilote, P., and Chown, E. H., 1986. Géologie de la région du lac à l'Eau Jaune. Ministère de l'Énergie et des Ressources du Québec. DP 86-09.
Théberge, D., 2014. NI 43-101 Technical Report Pertaining the Chicougamau Property Monster Lake West Block and Meston Lake West Block, Northwestern Quebec, Chibougamau Mining Camp, NTS 32 G/10 and 32 G/07. Report prepared for Mazorro Resources Inc. and Genius Properties Ltd by Solumines. 61 pages.
Thériault, G., 1985. Rapport de la campagne de prospection 1984-1985, Projet Eratix (100973). SOQUEM. 10 pages. GM-42391.
Thériault, R., 2002. Carte géologique du Québec (édition 2002). Géologie Québec, Ministère des Ressources naturelles du Québec. 8 pages, 1 map at 1:2,000,000. DV 2002-06.
Thurston, P.C., and Chivers, K.M., 1990, Secular variation in greenstone sequence development emphasizing Superior province, Canada: Precambrian Research, v. 46, p. 21-58.
Thurston, P.C., Ayer, J.A., Goutier, J., and Hamilton, M.A., 2008, Depositional gaps in the Abitibi greenstone belt stratigraphy: A key to exploration for syngenetic mineralization. Economic Geology, v. 103, p. 1097−1134.
Tittley, H. Z., 1985. Levé magnétique et électromagnétique T.B.F., Projet Fancamp (110993). SOQUEM. 13 pages. GM-42557.

TomaGold Corporation. (February 22, 2016). TomaGold announces the results of drilling on its Monster Lake and adjacent properties. [News release]. Retrieved from: http://www.tomagoldcorp.com/en/investors/news-releases.html
TomaGold Corporation. (February 26, 2018). TomaGold to test a major multi-kilometre copper geochemical anomaly on the Monster Lake East property. [News release]. Retrieved from: http://www.tomagoldcorp.com/en/investors/news-releases.html
TomaGold Corporation. (September 26, 2016). TomaGold reports successful drilling program on the Hazeur property. [News release]. Retrieved from: http://www.tomagoldcorp.com/en/investors/news-releases.html
Tremblay, L., 2014. Description pétrographique de dix (10) échantillons de sondages, projet Monster Lake. IOS Services Géoscientifiques Internal Report, 83 pages.
Troop, A.J. 1962. DDH Log. Icon Synd., Claims Powelson. 2 pages. 1 plan. GM-11825.
Trudel, P., 2012. Analyse structurale dela propriété Monster Lake, Chibougamau, Québec. AECOM Énergie, Canada-Est. 26 pages. Internal Report.
Tshimbalanga, S., 1993. Essai de levé de polarisation provoquée effectues sur la propriété Fancamp 10-993 située dans le canton Rasles. GEOSIG inc. SOQUEM. 7 pages. GM-53352.
Turcotte, B., 2015. Technical report for the Monster Lake Project (according to National Instrument 43-101 and Form 43-101F1) as of September 15, 2014, Val-d'Or, Québec, Canada. Prepared by InnovExplo Inc. for IAMGOLD Corporation, 151 pages. SEDAR Website.
Turcotte, R., 1986. Levé géophysique, Propriété de Exploration Noranda Ltée, Projet Rasles, Canton de Rasles, Province de Québec. Val-d'Or Géophysique Ltée. 11 pages. GM-44422.
Vachon, A. 1980. Log de sondage carotte. Serem Ltee. 57 pages. 1 plan. GM-36757.
Vachon, A., 1985. Campagne d'exploration, automne 1984, Indice Eratix, Projet Fancamp (100993). SOQUEM. 24 pages. GM-42492.
Vachon, A., 1986. Campagne d'exploration, juin 1985 à février 1986, Projet Fancamp (100993). SOQUEM. 31 pages. GM-43024.
Zamparutti, A. 2023. Rapport des travaux de terrains, Été 2021, propriété Monster lake. IAMGOLD Corporation. 52 pages. GM-73206.

APPENDIX I - LIST OF MINING TITLES

| Property | Title Type | Title ID | NTS | Area HA | Registry Date | Expiration Date | Total Credits | Owner |
| Lac à l'eau Jaune | CDC | 2001121 | 32G10 | 55.78 | 2006-02-20 0:00 | 2026-02-19 23:59 | 7,964.00 $ | IAMGold Corporation |
| Lac à l'eau Jaune | CDC | 2001122 | 32G10 | 55.78 | 2006-02-20 0:00 | 2026-02-19 23:59 | 9,629.00 $ | IAMGold Corporation |
| Lac à l'eau Jaune | CDC | 2001123 | 32G10 | 55.78 | 2006-02-20 0:00 | 2026-02-19 23:59 | 12,597.36 $ | IAMGold Corporation |
| Lac à l'eau Jaune | CDC | 2001124 | 32G10 | 55.78 | 2006-02-20 0:00 | 2026-02-19 23:59 | 4,361.00 $ | IAMGold Corporation |
| Lac à l'eau Jaune | CDC | 2001125 | 32G10 | 55.78 | 2006-02-20 0:00 | 2026-02-19 23:59 | 2,696.00 $ | IAMGold Corporation |
| Lac à l'eau Jaune | CDC | 2001126 | 32G10 | 55.79 | 2006-02-20 0:00 | 2026-02-19 23:59 | 7,963.00 $ | IAMGold Corporation |
| Lac à l'eau Jaune | CDC | 2001127 | 32G10 | 55.79 | 2006-02-20 0:00 | 2026-02-19 23:59 | 10,104.99 $ | IAMGold Corporation |
| Lac à l'eau Jaune | CDC | 2001128 | 32G10 | 55.79 | 2006-02-20 0:00 | 2026-02-19 23:59 | 10,098.35 $ | IAMGold Corporation |
| Lac à l'eau Jaune | CDC | 2001129 | 32G10 | 55.79 | 2006-02-20 0:00 | 2026-02-19 23:59 | 7,331.35 $ | IAMGold Corporation |
| Lac à l'eau Jaune | CDC | 2001130 | 32G10 | 55.79 | 2006-02-20 0:00 | 2026-02-19 23:59 | 5,216.35 $ | IAMGold Corporation |
| Lac à l'eau Jaune | CDC | 2001131 | 32G10 | 55.79 | 2006-02-20 0:00 | 2026-02-19 23:59 | 5,267.00 $ | IAMGold Corporation |
| Lac à l'eau Jaune | CDC | 2001132 | 32G10 | 55.79 | 2006-02-20 0:00 | 2026-02-19 23:59 | 8,433.35 $ | IAMGold Corporation |
| Lac à l'eau Jaune | CDC | 2001133 | 32G10 | 55.79 | 2006-02-20 0:00 | 2026-02-19 23:59 | 10,483.35 $ | IAMGold Corporation |
| Lac à l'eau Jaune | CDC | 2001134 | 32G10 | 55.79 | 2006-02-20 0:00 | 2026-02-19 23:59 | - $ | IAMGold Corporation |
| Lac à l'eau Jaune | CDC | 2001135 | 32G10 | 55.79 | 2006-02-20 0:00 | 2026-02-19 23:59 | - $ | IAMGold Corporation |
| Lac à l'eau Jaune | CDC | 2001136 | 32G10 | 55.8 | 2006-02-20 0:00 | 2026-02-19 23:59 | 469.35 $ | IAMGold Corporation |
| Lac à l'eau Jaune | CDC | 2001137 | 32G10 | 55.8 | 2006-02-20 0:00 | 2026-02-19 23:59 | 469.35 $ | IAMGold Corporation |
| Lac à l'eau Jaune | CDC | 2001138 | 32G10 | 55.8 | 2006-02-20 0:00 | 2026-02-19 23:59 | - $ | IAMGold Corporation |
| Lac à l'eau Jaune | CDC | 2001139 | 32G10 | 55.8 | 2006-02-20 0:00 | 2026-02-19 23:59 | - $ | IAMGold Corporation |
| Lac à l'eau Jaune | CDC | 2026347 | 32G10 | 55.8 | 2006-09-27 0:00 | 2026-09-26 23:59 | - $ | IAMGold Corporation |
| Lac à l'eau Jaune | CDC | 2026348 | 32G10 | 55.79 | 2006-09-27 0:00 | 2026-09-26 23:59 | - $ | IAMGold Corporation |
| Lac à l'eau Jaune | CDC | 2174117 | 32G10 | 55.77 | 2008-11-04 0:00 | 2026-11-03 23:59 | 2,247.00 $ | IAMGold Corporation |
| Lac à l'eau Jaune | CDC | 2174118 | 32G10 | 55.77 | 2008-11-04 0:00 | 2026-11-03 23:59 | - $ | IAMGold Corporation |
| Lac à l'eau Jaune | CDC | 2174119 | 32G10 | 55.77 | 2008-11-04 0:00 | 2026-11-03 23:59 | 5,506.79 $ | IAMGold Corporation |
| Lac à l'eau Jaune | CDC | 2174120 | 32G10 | 55.77 | 2008-11-04 0:00 | 2026-11-03 23:59 | 664.64 $ | IAMGold Corporation |
| Monster Lake | CDC | 2176547 | 32G10 | 42.22 | 2009-01-15 0:00 | 2027-01-14 23:59 | - $ | IAMGold Corporation |

| Property | Title Type | Title ID | NTS | Area HA | Registry Date | Expiration Date | Total Credits | Owner |
| Monster Lake | CDC | 2176548 | 32G10 | 22.21 | 2009-01-15 0:00 | 2027-01-14 23:59 | 1,145.51 $ | IAMGold Corporation |
| Monster Lake | CDC | 2176549 | 32G10 | 55.85 | 2009-01-15 0:00 | 2027-01-14 23:59 | 25,655.41 $ | IAMGold Corporation |
| Monster Lake | CDC | 2176550 | 32G10 | 55.85 | 2009-01-15 0:00 | 2027-01-14 23:59 | 25,655.41 $ | IAMGold Corporation |
| Monster Lake | CDC | 2176551 | 32G10 | 40.92 | 2009-01-15 0:00 | 2027-01-14 23:59 | 4,072.51 $ | IAMGold Corporation |
| Monster Lake | CDC | 2176552 | 32G10 | 44.46 | 2009-01-15 0:00 | 2027-01-14 23:59 | 30,018.41 $ | IAMGold Corporation |
| Monster Lake | CDC | 2176553 | 32G10 | 55.84 | 2009-01-15 0:00 | 2027-01-14 23:59 | 90,828.47 $ | IAMGold Corporation |
| Monster Lake | CDC | 2176554 | 32G10 | 55.84 | 2009-01-15 0:00 | 2027-01-14 23:59 | 18,760.42 $ | IAMGold Corporation |
| Monster Lake | CDC | 2176555 | 32G10 | 47.5 | 2009-01-15 0:00 | 2027-01-14 23:59 | 3,342.51 $ | IAMGold Corporation |
| Monster Lake | CDC | 2176556 | 32G10 | 24.47 | 2009-01-15 0:00 | 2027-01-14 23:59 | 3,195.51 $ | IAMGold Corporation |
| Monster Lake | CDC | 2176557 | 32G10 | 3.12 | 2009-01-15 0:00 | 2027-01-14 23:59 | 3,195.51 $ | IAMGold Corporation |
| Monster Lake | CDC | 2176558 | 32G10 | 44.96 | 2009-01-15 0:00 | 2027-01-14 23:59 | 2,170.51 $ | IAMGold Corporation |
| Monster Lake | CDC | 2176559 | 32G10 | 55.83 | 2009-01-15 0:00 | 2027-01-14 23:59 | 2,958.51 $ | IAMGold Corporation |
| Monster Lake | CDC | 2176560 | 32G10 | 55.83 | 2009-01-15 0:00 | 2027-01-14 23:59 | 19,471.90 $ | IAMGold Corporation |
| Monster Lake | CDC | 2176561 | 32G10 | 55.82 | 2009-01-15 0:00 | 2027-01-14 23:59 | - $ | IAMGold Corporation |
| Monster Lake | CDC | 2176562 | 32G10 | 55.82 | 2009-01-15 0:00 | 2027-01-14 23:59 | - $ | IAMGold Corporation |
| Monster Lake | CDC | 2176563 | 32G10 | 55.82 | 2009-01-15 0:00 | 2027-01-14 23:59 | - $ | IAMGold Corporation |
| Monster Lake | CDC | 2176564 | 32G10 | 55.82 | 2009-01-15 0:00 | 2027-01-14 23:59 | 670.23 $ | IAMGold Corporation |
| Monster Lake | CDC | 2176565 | 32G10 | 44.58 | 2009-01-15 0:00 | 2027-01-14 23:59 | 671.23 $ | IAMGold Corporation |
| Monster Lake | CDC | 2176566 | 32G10 | 33.05 | 2009-01-15 0:00 | 2027-01-14 23:59 | - $ | IAMGold Corporation |
| Monster Lake | CDC | 2176567 | 32G10 | 55.82 | 2009-01-15 0:00 | 2027-01-14 23:59 | - $ | IAMGold Corporation |
| Monster Lake | CDC | 2176568 | 32G10 | 55.82 | 2009-01-15 0:00 | 2027-01-14 23:59 | 21,702.07 $ | IAMGold Corporation |
| Monster Lake | CDC | 2176569 | 32G10 | 55.81 | 2009-01-15 0:00 | 2027-01-14 23:59 | 646.51 $ | IAMGold Corporation |
| Monster Lake | CDC | 2176570 | 32G10 | 55.81 | 2009-01-15 0:00 | 2027-01-14 23:59 | 646.51 $ | IAMGold Corporation |
| Monster Lake | CDC | 2176571 | 32G10 | 52.07 | 2009-01-15 0:00 | 2027-01-14 23:59 | 329.44 $ | IAMGold Corporation |
| Monster Lake | CDC | 2176572 | 32G10 | 37.21 | 2009-01-15 0:00 | 2027-01-14 23:59 | - $ | IAMGold Corporation |
| Monster Lake | CDC | 2176573 | 32G10 | 53.82 | 2009-01-15 0:00 | 2027-01-14 23:59 | - $ | IAMGold Corporation |

| Property | Title Type | Title ID | NTS | Area HA | Registry Date | Expiration Date | Total Credits | Owner |
|
Monster Lake |
CDC |
2176574 |
32G10 |
55.81 |
2009-01-15 0:00 |
2027-01-14 23:59 |
- $ |
IAMGold Corporation |
|
Monster Lake |
CDC |
2176575 |
32G10 |
55.81 |
2009-01-15 0:00 |
2027-01-14 23:59 |
- $ |
IAMGold Corporation |
|
Monster Lake |
CDC |
2176576 |
32G10 |
55.8 |
2009-01-15 0:00 |
2027-01-14 23:59 |
646.51 $ |
IAMGold Corporation |
|
Monster Lake |
CDC |
2176577 |
32G10 |
55.8 |
2009-01-15 0:00 |
2027-01-14 23:59 |
646.51 $ |
IAMGold Corporation |
|
Monster Lake |
CDC |
2176578 |
32G10 |
55.8 |
2009-01-15 0:00 |
2027-01-14 23:59 |
- $ |
IAMGold Corporation |
|
Monster Lake |
CDC |
2176579 |
32G10 |
55.8 |
2009-01-15 0:00 |
2027-01-14 23:59 |
383.27 $ |
IAMGold Corporation |
|
Monster Lake |
CDC |
2176580 |
32G10 |
55.8 |
2009-01-15 0:00 |
2027-01-14 23:59 |
- $ |
IAMGold Corporation |
|
Monster Lake |
CDC |
2176581 |
32G10 |
55.8 |
2009-01-15 0:00 |
2027-01-14 23:59 |
- $ |
IAMGold Corporation |
|
Monster Lake |
CDC |
2176582 |
32G10 |
55.8 |
2009-01-15 0:00 |
2027-01-14 23:59 |
- $ |
IAMGold Corporation |
|
Monster Lake |
CDC |
2182172 |
32G10 |
22.93 |
2009-04-07 0:00 |
2025-04-06 23:59 |
7,412.51 $ |
IAMGold Corporation |
|
Monster Lake |
CDC |
2284073 |
32G10 |
54.54 |
2011-04-12 0:00 |
2025-04-11 23:59 |
49,212.86 $ |
IAMGold Corporation |
|
Monster Lake |
CDC |
2284074 |
32G10 |
55.84 |
2011-04-12 0:00 |
2025-04-11 23:59 |
1,095.52 $ |
IAMGold Corporation |
|
Monster Lake |
CDC |
2284075 |
32G10 |
43.59 |
2011-04-12 0:00 |
2025-04-11 23:59 |
1,095.51 $ |
IAMGold Corporation |
|
Monster Lake |
CDC |
2284076 |
32G10 |
15.83 |
2011-04-12 0:00 |
2025-04-11 23:59 |
2,191.21 $ |
IAMGold Corporation |
|
Monster Lake |
CDC |
2285785 |
32G10 |
19.86 |
2011-04-13 0:00 |
2025-04-12 23:59 |
9,078.51 $ |
IAMGold Corporation |
|
Monster Lake |
CDC |
2285786 |
32G10 |
55.86 |
2011-04-13 0:00 |
2025-04-12 23:59 |
6,362.52 $ |
IAMGold Corporation |
|
Monster Lake |
CDC |
2290062 |
32G10 |
49.65 |
2011-05-04 0:00 |
2025-05-03 23:59 |
6,933.00 $ |
IAMGold Corporation |
|
Monster Lake |
CDC |
2292551 |
32G10 |
35.66 |
2011-06-02 0:00 |
2025-06-01 23:59 |
284,595.12 $ |
IAMGold Corporation |
|
Monster Lake |
CDC |
2293590 |
32G10 |
20.59 |
2011-06-06 0:00 |
2025-06-05 23:59 |
1,928.71 $ |
IAMGold Corporation |
|
Monster Lake |
CDC |
2293591 |
32G10 |
55.84 |
2011-06-06 0:00 |
2025-06-05 23:59 |
- $ |
IAMGold Corporation |
|
Monster Lake |
CDC |
2293592 |
32G10 |
11.61 |
2011-06-06 0:00 |
2025-06-05 23:59 |
1,928.71 $ |
IAMGold Corporation |
|
Monster Lake |
CDC |
2293593 |
32G10 |
55.86 |
2011-06-07 0:00 |
2025-06-06 23:59 |
- $ |
IAMGold Corporation |
|
Monster Lake |
CDC |
2293594 |
32G10 |
55.83 |
2011-06-07 0:00 |
2025-06-06 23:59 |
4,748.00 $ |
IAMGold Corporation |
|
Monster Lake |
CDC |
2294781 |
32G10 |
8.05 |
2011-06-09 0:00 |
2025-06-08 23:59 |
406,407.77 $ |
IAMGold Corporation |
|
Monster Lake |
CDC |
2294782 |
32G10 |
7.89 |
2011-06-09 0:00 |
2025-06-08 23:59 |
665,085.18 $ |
IAMGold Corporation |
|
Monster Lake |
CDC |
2373855 |
32G10 |
55.86 |
2013-09-04 0:00 |
2025-08-19 23:59 |
202,924.00 $ |
IAMGold Corporation |

| Property | Title Type | Title ID | NTS | Area HA | Registry Date | Expiration Date | Total Credits | Owner |
| Monster Lake | CDC | 2373856 | 32G10 | 55.86 | 2013-09-04 0:00 | 2025-08-19 23:59 | 234,324.90 $ | IAMGold Corporation |
| Monster Lake | CDC | 2373857 | 32G10 | 55.84 | 2013-09-04 0:00 | 2025-08-19 23:59 | 1,516,031.22 $ | IAMGold Corporation |
| Monster Lake | CDC | 2373858 | 32G10 | 55.85 | 2013-09-04 0:00 | 2025-08-19 23:59 | 305,632.79 $ | IAMGold Corporation |
| Monster Lake | CDC | 2373859 | 32G10 | 50.69 | 2013-09-04 0:00 | 2025-08-19 23:59 | 201,458.31 $ | IAMGold Corporation |
| Monster Lake | CDC | 2373860 | 32G10 | 55.83 | 2013-09-04 0:00 | 2025-08-19 23:59 | 108,783.72 $ | IAMGold Corporation |
| Monster Lake | CDC | 2373861 | 32G10 | 55.82 | 2013-09-04 0:00 | 2025-08-19 23:59 | 130,299.97 $ | IAMGold Corporation |
| Monster Lake | CDC | 2373862 | 32G10 | 13.64 | 2013-09-04 0:00 | 2025-08-19 23:59 | 39,752.48 $ | IAMGold Corporation |
| Monster Lake | CDC | 2373863 | 32G10 | 0.27 | 2013-09-04 0:00 | 2025-08-19 23:59 | 1,829.69 $ | IAMGold Corporation |
| Monster Lake | CDC | 2373864 | 32G10 | 33.65 | 2013-09-04 0:00 | 2025-08-19 23:59 | 91,249.60 $ | IAMGold Corporation |
| Monster Lake | CDC | 2373865 | 32G10 | 35.26 | 2013-09-04 0:00 | 2025-08-19 23:59 | 100,297.87 $ | IAMGold Corporation |
| Monster Lake | CDC | 2373866 | 32G10 | 12.26 | 2013-09-04 0:00 | 2025-08-19 23:59 | 34,484.50 $ | IAMGold Corporation |
| Monster Lake | CDC | 2373867 | 32G10 | 47.52 | 2013-09-04 0:00 | 2025-08-19 23:59 | 129,700.31 $ | IAMGold Corporation |
| Monster Lake | CDC | 2373868 | 32G10 | 40.01 | 2013-09-04 0:00 | 2025-08-19 23:59 | 122,600.10 $ | IAMGold Corporation |
| Monster Lake | CDC | 2373869 | 32G10 | 5.3 | 2013-09-04 0:00 | 2025-08-19 23:59 | 17,824.96 $ | IAMGold Corporation |
| Monster Lake | CDC | 2373870 | 32G10 | 32.94 | 2013-09-04 0:00 | 2025-08-19 23:59 | 94,548.33 $ | IAMGold Corporation |
| Monster Lake | CDC | 2373871 | 32G10 | 47.8 | 2013-09-04 0:00 | 2025-08-19 23:59 | 210,360.35 $ | IAMGold Corporation |
| Monster Lake | CDC | 2373872 | 32G10 | 44.23 | 2013-09-04 0:00 | 2025-08-19 23:59 | 264,461.43 $ | IAMGold Corporation |
| Monster Lake | CDC | 2373873 | 32G10 | 8.33 | 2013-09-04 0:00 | 2025-08-19 23:59 | 23,589.68 $ | IAMGold Corporation |
| Monster Lake | CDC | 2373874 | 32G10 | 6.21 | 2013-09-04 0:00 | 2025-08-19 23:59 | 23,837.77 $ | IAMGold Corporation |
| Monster Lake | CDC | 2373875 | 32G10 | 36 | 2013-09-04 0:00 | 2025-08-19 23:59 | 100,389.02 $ | IAMGold Corporation |
| Monster Lake | CDC | 2373876 | 32G10 | 31.36 | 2013-09-04 0:00 | 2025-08-19 23:59 | 95,502.30 $ | IAMGold Corporation |
| Monster Lake | CDC | 2373877 | 32G10 | 47.96 | 2013-09-04 0:00 | 2025-08-19 23:59 | 980,778.90 $ | IAMGold Corporation |
| Monster Lake | CDC | 2373878 | 32G10 | 1.31 | 2013-09-04 0:00 | 2025-08-19 23:59 | 6,825.69 $ | IAMGold Corporation |
| Monster Lake | CDC | 2373879 | 32G10 | 20.18 | 2013-09-04 0:00 | 2025-08-19 23:59 | 499,496.55 $ | IAMGold Corporation |
| Monster Lake | CDC | 2373880 | 32G10 | 52.71 | 2013-09-04 0:00 | 2025-08-19 23:59 | 392,557.04 $ | IAMGold Corporation |
| Monster Lake | CDC | 2373881 | 32G10 | 11.24 | 2013-09-04 0:00 | 2025-08-19 23:59 | 32,851.56 $ | IAMGold Corporation |

| Property | Title Type | Title ID | NTS | Area HA | Registry Date | Expiration Date | Total Credits | Owner |
| Monster Lake | CDC | 2373882 | 32G10 | 3.74 | 2013-09-04 0:00 | 2025-08-19 23:59 | 14,110.90 $ | IAMGold Corporation |
| Monster Lake | CDC | 2373883 | 32G10 | 14.93 | 2013-09-04 0:00 | 2025-08-19 23:59 | 45,441.53 $ | IAMGold Corporation |
| Monster Lake | CDC | 2373884 | 32G10 | 18.6 | 2013-09-04 0:00 | 2025-08-19 23:59 | 48,620.67 $ | IAMGold Corporation |
| Monster Lake | CDC | 2373885 | 32G10 | 11.39 | 2013-09-04 0:00 | 2025-08-19 23:59 | 32,930.87 $ | IAMGold Corporation |
| Monster Lake | CDC | 2373886 | 32G10 | 10.87 | 2013-09-04 0:00 | 2025-08-19 23:59 | 30,631.12 $ | IAMGold Corporation |
| Monster Lake | CDC | 2373887 | 32G10 | 22.77 | 2013-09-04 0:00 | 2025-08-19 23:59 | 59,098.09 $ | IAMGold Corporation |
| Monster Lake | CDC | 2373888 | 32G10 | 1.99 | 2013-09-04 0:00 | 2025-08-19 23:59 | 5,353.53 $ | IAMGold Corporation |
| Monster Lake North | CDC | 2523385 | 32G10 | 55.79 | 2018-10-22 0:00 | 2026-10-21 23:59 | - $ | IAMGold Corporation |
| Monster Lake North | CDC | 2523386 | 32G10 | 55.78 | 2018-10-22 0:00 | 2026-10-21 23:59 | - $ | IAMGold Corporation |
| Monster Lake North | CDC | 2523387 | 32G10 | 55.78 | 2018-10-22 0:00 | 2026-10-21 23:59 | - $ | IAMGold Corporation |
| Monster Lake North | CDC | 2523388 | 32G10 | 55.79 | 2018-10-22 0:00 | 2026-10-21 23:59 | - $ | IAMGold Corporation |
| Monster Lake North | CDC | 2523389 | 32G10 | 55.78 | 2018-10-22 0:00 | 2026-10-21 23:59 | - $ | IAMGold Corporation |
| Monster Lake North | CDC | 2523390 | 32G10 | 55.79 | 2018-10-22 0:00 | 2026-10-21 23:59 | - $ | IAMGold Corporation |
| Monster Lake North | CDC | 2523391 | 32G10 | 55.78 | 2018-10-22 0:00 | 2026-10-21 23:59 | - $ | IAMGold Corporation |
| Monster Lake North | CDC | 2523392 | 32G10 | 55.78 | 2018-10-22 0:00 | 2026-10-21 23:59 | - $ | IAMGold Corporation |
| Monster Lake North | CDC | 2523393 | 32G10 | 55.78 | 2018-10-22 0:00 | 2026-10-21 23:59 | - $ | IAMGold Corporation |
| Monster Lake North | CDC | 2523394 | 32G10 | 55.78 | 2018-10-22 0:00 | 2026-10-21 23:59 | - $ | IAMGold Corporation |
| Monster Lake North | CDC | 2523395 | 32G10 | 55.78 | 2018-10-22 0:00 | 2026-10-21 23:59 | 936.75 $ | IAMGold Corporation |
| Monster Lake North | CDC | 2523396 | 32G10 | 55.78 | 2018-10-22 0:00 | 2026-10-21 23:59 | - $ | IAMGold Corporation |

| Property | Title Type | Title ID | NTS | Area HA | Registry Date | Expiration Date | Total Credits | Owner |
|
Monster Lake North |
CDC |
2523397 |
32G10 |
55.78 |
2018-10-22 0:00 |
2026-10-21 23:59 |
- $ |
IAMGold Corporation |
|
Monster Lake North |
CDC |
2548213 |
32G10 |
55.79 |
2019-12-13 0:00 |
2026-12-12 23:59 |
- $ |
IAMGold Corporation |
|
Monster Lake North |
CDC |
2548214 |
32G10 |
55.79 |
2019-12-13 0:00 |
2026-12-12 23:59 |
- $ |
IAMGold Corporation |
|
Winchester |
CDC |
2217575 |
32G10 |
55.9 |
2010-04-20 0:00 |
2026-04-19 23:59 |
1,917.00 $ |
IAMGold Corporation |
|
Winchester |
CDC |
2217576 |
32G10 |
55.9 |
2010-04-20 0:00 |
2026-04-19 23:59 |
147,671.50 $ |
IAMGold Corporation |
|
Winchester |
CDC |
2217577 |
32G10 |
55.9 |
2010-04-20 0:00 |
2026-04-19 23:59 |
15,674.96 $ |
IAMGold Corporation |
|
Winchester |
CDC |
2217578 |
32G10 |
55.9 |
2010-04-20 0:00 |
2026-04-19 23:59 |
1,572.00 $ |
IAMGold Corporation |
|
Winchester |
CDC |
2217579 |
32G10 |
55.89 |
2010-04-20 0:00 |
2026-04-19 23:59 |
251.00 $ |
IAMGold Corporation |
|
Winchester |
CDC |
2217580 |
32G10 |
55.89 |
2010-04-20 0:00 |
2026-04-19 23:59 |
1,129.00 $ |
IAMGold Corporation |
|
Winchester |
CDC |
2217581 |
32G10 |
55.89 |
2010-04-20 0:00 |
2026-04-19 23:59 |
3,825.00 $ |
IAMGold Corporation |
|
Winchester |
CDC |
2217582 |
32G10 |
55.89 |
2010-04-20 0:00 |
2026-04-19 23:59 |
3,825.00 $ |
IAMGold Corporation |
|
Winchester |
CDC |
2217583 |
32G10 |
55.89 |
2010-04-20 0:00 |
2026-04-19 23:59 |
1,128.00 $ |
IAMGold Corporation |
|
Winchester |
CDC |
2217584 |
32G10 |
55.88 |
2010-04-20 0:00 |
2026-04-19 23:59 |
3,574.00 $ |
IAMGold Corporation |
|
Winchester |
CDC |
2217585 |
32G10 |
55.88 |
2010-04-20 0:00 |
2026-04-19 23:59 |
3,825.00 $ |
IAMGold Corporation |
|
Winchester |
CDC |
2217586 |
32G10 |
55.88 |
2010-04-20 0:00 |
2026-04-19 23:59 |
3,825.00 $ |
IAMGold Corporation |
|
Winchester |
CDC |
2217587 |
32G10 |
50.58 |
2010-04-20 0:00 |
2026-04-19 23:59 |
4,614.00 $ |
IAMGold Corporation |
|
Winchester |
CDC |
2217588 |
32G10 |
55.88 |
2010-04-20 0:00 |
2026-04-19 23:59 |
7,184.00 $ |
IAMGold Corporation |
|
Winchester |
CDC |
2217589 |
32G10 |
55.6 |
2010-04-20 0:00 |
2026-04-19 23:59 |
- $ |
IAMGold Corporation |
|
Winchester |
CDC |
2217590 |
32G10 |
8.35 |
2010-04-20 0:00 |
2026-04-19 23:59 |
1,301.00 $ |
IAMGold Corporation |
|
Winchester |
CDC |
2217591 |
32G10 |
5.18 |
2010-04-20 0:00 |
2026-04-19 23:59 |
1,301.00 $ |
IAMGold Corporation |
|
Winchester |
CDC |
2218397 |
32G07 |
55.91 |
2010-04-21 0:00 |
2026-04-20 23:59 |
1,666.00 $ |
IAMGold Corporation |
|
Winchester |
CDC |
2218398 |
32G07 |
55.91 |
2010-04-21 0:00 |
2026-04-20 23:59 |
251.00 $ |
IAMGold Corporation |
|
Winchester |
CDC |
2218399 |
32G07 |
55.91 |
2010-04-21 0:00 |
2026-04-20 23:59 |
251.00 $ |
IAMGold Corporation |

| Property | Title Type | Title ID | NTS | Area HA | Registry Date | Expiration Date | Total Credits | Owner |
| Winchester | CDC | 2218400 | 32G07 | 55.91 | 2010-04-21 0:00 | 2026-04-20 23:59 | - $ | IAMGold Corporation |
| 147 | 6,643.38 |

APPENDIX II - SIGNIFICANT DDH RESULTS OF THE 2014 TO 2021 DRILLING
PROGRAMS ON THE MONSTER LAKE PROJECT

| Hole | From (m) | To (m) | Core length (m) |
True width(1) (m) |
Au(2) (g/t) | Zone(3) |
| ML-14-108 | 56.10 | 58.00 | 1.90 | 1.65 | 1.81 | Upper Shear Zone |
| 445.25 | 446.50 | 1.25 | 1.08 | 6.44 | ||
| 457.00 | 467.47 | 10.47 | 9.07 | 11.55 | 325-Megane Zone | |
| including | 458.00 | 460.00 | 2.00 | 1.73 | 48.90 | |
| including | 466.00 | 467.47 | 1.47 | 1.27 | 11.10 | |
| ML-14-109 | 66.00 | 71.16 | 5.16 | 4.47 | 1.30 | Upper Shear Zone |
| including | 69.00 | 71.16 | 2.16 | 1.87 | 1.64 | Upper Shear Zone |
| 559.77 | 560.41 | 0.64 | 0.55 | 0.95 | 325-Megane Zone | |
| ML-14-110 | 210.10 | 211.26 | 1.16 | 1.00 | 1.04 | |
| 508.00 | 509.45 | 1.45 | 1.26 | 0.71 | 325-Megane Zone | |
| 636.86 | 640.63 | 3.77 | 3.26 | 13.65 | Lower Shear Zone | |
| including | 638.80 | 639.88 | 1.08 | 0.94 | 46.17 | |
| ML-14-111 | 59.59 | 60.13 | 0.54 | 0.47 | 3.48 | Upper Shear Zone |
| 300.92 | 301.92 | 1.00 | 0.87 | 1.40 | 325-Megane Zone | |
| 420.18 | 421.16 | 0.98 | 0.85 | 1.85 | Lower Shear Zone | |
| ML-14-112 | 480.90 | 489.27 | 8.37 | 7.25 | 1.32 | 325-Megane Zone |
| including | 485.18 | 487.27 | 2.09 | 1.81 | 2.97 | |
| 596.51 | 597.65 | 1.14 | 1.00 | 1.48 | Lower Shear Zone | |
| ML-14-113 | 514.00 | 518.47 | 4.47 | 3.87 | 1.50 | 325-Megane Zone |
| ML-14-114 | 273.80 | 274.99 | 1.19 | 1.03 | 1.89 | 325-Megane Zone |
| ML-14-115 | 53.62 | 54.86 | 1.24 | 1.07 | 1.58 | Upper Shear Zone |
| 422.50 | 424.62 | 2.12 | 1.84 | 2.30 | 325-Megane Zone | |
| 426.10 | 431.96 | 5.86 | 5.07 | 2.62 | ||
| including | 426.94 | 429.15 | 2.21 | 1.91 | 6.21 | |
| ML-14-116 | 83.92 | 84.46 | 0.54 | 0.47 | 5.84 | Upper Shear Zone |
| 278.07 | 281.22 | 3.15 | 2.73 | 2.42 | 325-Megane Zone | |
| ML-14-117 | 76.21 | 80.76 | 4.55 | 3.94 | 0.72 | MLSZ |
| including | 76.32 | 77.05 | 0.73 | 0.63 | 2.35 | |
| ML-14-118 | 27.00 | 27.95 | 0.95 | 0.82 | 1.36 | |
| 50.54 | 52.72 | 2.18 | 1.89 | NSR | Upper Shear Zone | |
| 500.15 | 501.39 | 1.24 | 1.07 | 1.13 | Main Shear Zone | |
| 505.20 | 506.35 | 1.15 | 1.00 | 2.12 |

|
|
510.50 |
514.70 |
4.20 |
3.64 |
3.15 |
|
|
including |
511.50 |
512.50 |
1.00 |
0.87 |
6.53 |
|
|
|
668.40 |
669.40 |
1.00 |
0.87 |
4.82 |
Lower Shear Zone |
|
ML-14-119 |
No significant results |
|
|
|
|
|
|
ML-14-120 |
No significant results |
|
|
|
|
|
|
ML-14-121 |
No significant results |
|
|
|
|
|
|
ML-14-122 |
23.75 |
24.40 |
0.65 |
0.56 |
8.78 |
Main Shear Zone |
|
ML-14-123 |
No significant results |
|
|
|
|
|
|
ML-14-124 |
210.00 |
213.00 |
3.00 |
2.60 |
0.60 |
MLSZ (Annie Showing) |
|
ML-14-125 |
90.50 |
91.50 |
1.00 |
0.87 |
1.40 |
Upper Shear Zone |
|
|
546.60 |
564.40 |
17.80 |
15.41 |
NSR |
Main Shear Zone |
|
|
701.15 |
702.96 |
1.81 |
1.57 |
0.84 |
Lower Shear Zone |
|
ML-14-126 |
No significant results |
|
|
|
MLSZ (Annie Showing) |
|
|
ML-14-127 |
No significant results |
|
|
|
|
|
|
ML-14-128 |
509.73 |
512.90 |
3.17 |
2.75 |
0.80 |
Main Shear Zone |
|
ML-14-129 |
No significant results |
|
|
|
|
|
|
ML-14-130 |
52.00 |
53.00 |
1.00 |
0.87 |
1.14 |
Upper Shear Zone |
|
|
97.65 |
98.00 |
0.35 |
0.30 |
3.38 |
|
|
|
200.00 |
201.00 |
1.00 |
0.87 |
1.29 |
|
|
|
477.00 |
487.60 |
10.60 |
9.18 |
46.33 |
325-Megane Zone |
|
including |
480.10 |
482.64 |
2.54 |
2.20 |
182.80 |
|
|
|
489.70 |
491.00 |
1.30 |
1.13 |
1.46 |
Lower Shear Zone |
|
ML-14-131 |
74.00 |
81.00 |
7.00 |
6.06 |
NSR |
Upper Shear Zone |
|
|
491.55 |
495.50 |
3.95 |
3.42 |
18.68 |
325-Megane and MLSZ |
|
including |
492.05 |
494.84 |
2.79 |
2.42 |
25.00 |
|
|
|
583.50 |
584.78 |
1.28 |
1.11 |
1.58 |
Lower Shear Zone |
|
ML-14-132 |
435.38 |
435.95 |
0.57 |
0.49 |
2.05 |
325-Megane and MLSZ |
|
|
439.80 |
448.00 |
8.20 |
7.10 |
6.74 |
|
|
including |
442.60 |
443.45 |
0.85 |
0.74 |
21.65 |
|
|
including |
446.50 |
448.00 |
1.50 |
1.30 |
16.11 |
|
|
|
555.40 |
556.40 |
1.00 |
0.87 |
1.96 |
Lower Shear Zone |
|
ML-14-133 |
150.00 |
166.00 |
16.00 |
13.86 |
NSR |
Upper Shear Zone |
| 597.05 | 598.90 | 1.85 | 1.60 | 0.90 | MLSZ | |

Notes:
True widths of intersections are approximately 85-90% of the core interval.
Assays are reported uncut. Drill hole intercepts are calculated using a 0.50 g/t Au lower cut-off.
MLSZ = Monster Lake Shear Zone.
| Hole | From (m) | To (m) | Core length (m) |
True width(1) (m) |
Au(2) (g/t) | Zone(3) |
| ML-15-134 | 213.20 | 214.10 | 0.90 | 0.82 | 1.43 | 325-Megane Zone |
| 216.00 | 217.60 | 1.60 | 1.46 | 18.80 | ||
| ML-15-135 | 226.20 | 227.73 | 1.53 | 1.39 | 7.25 | 325-Megane Zone |
| 252.70 | 253.80 | 1.10 | 1.00 | 1.98 | ||
| ML-15-136 | 231.79 | 232.87 | 1.08 | 0.98 | 2.11 | 325-Megane Zone |
| 236.10 | 240.20 | 4.10 | 3.73 | 0.89 | ||
| ML-15-137 | 129.40 | 130.04 | 0.64 | 0.58 | 1.08 | Main Shear Zone - western limb of fold |
| ML-15-138 | 242.40 | 243.40 | 1.00 | 0.91 | 1.00 | Main Shear Zone & ext. 325-Megane Zone |
| 244.50 | 246.00 | 1.50 | 1.37 | 1.18 | ||
| 252.10 | 252.80 | 0.70 | 0.64 | 2.74 | ||
| ML-15-139 | No significant results | Main Shear Zone - western limb of fold | ||||
| ML-15-140 | 464.00 | 464.90 | 0.90 | 0.82 | 1.93 | Main Shear Zone & ext. 325-Megane Zone |
| ML-15-141 | No significant results | Large EM anomaly - western limb of fold | ||||
| ML-15-142 | No significant results | Eratix Showing | ||||
| ML-15-143 | 544.81 | 546.00 | 1.19 | 1.08 | 4.01 | Main Shear Zone & ext. 325-Megane Zone |
| 552.81 | 554.48 | 1.67 | 1.52 | 1.84 | ||
| ML-15-144 | 34.00 | 36.10 | 2.10 | 1.91 | 1.58 | |
| 58.56 | 60.02 | 1.46 | 1.33 | 1.15 | ||

| Hole | From (m) | To (m) | Core length (m) |
True width(1) (m) |
Au(2) (g/t) | Zone(3) |
|
|
206.40 |
207.78 |
1.38 |
1.26 |
1.87 |
MLSZ (Zone 52) |
|
ML-15-145 |
No significant results |
|
|
|
SW strike ext. of Main Shear Zone |
|
|
ML-15-146 |
108.60 |
109.60 |
1.00 |
0.77 |
7.70 |
Eratix Showing |
|
ML-15-147 |
229.72 |
235.70 |
5.98 |
3.41 |
4.51 |
Intersection of MLSZ and Main Shear Zone |
|
including |
234.70 |
235.70 |
1.00 |
0.57 |
10.80 |
|
|
|
240.14 |
258.95 |
18.81 |
10.72 |
3.64 |
MLSZ |
|
including |
255.30 |
258.95 |
3.65 |
2.08 |
9.04 |
|
|
|
260.92 |
263.54 |
2.62 |
1.49 |
2.50 |
|
|
|
272.80 |
274.45 |
1.65 |
0.94 |
1.48 |
|
|
|
278.18 |
279.80 |
1.62 |
0.92 |
2.71 |
|
|
ML-15-148 |
No significant results |
|
|
|
SW strike ext. of Main Shear Zone |
|
|
ML-15-149 |
81.50 |
82.50 |
1.00 |
0.76 |
1.06 |
Eratix Showing |
|
|
252.10 |
253.00 |
0.90 |
0.69 |
1.10 |
|
|
ML-15-150 |
No significant results |
|
|
|
Main Shear Zone & ext. 325-Megane Zone |
|
|
ML-15-151 |
248.88 |
249.60 |
0.72 |
0.66 |
2.03 |
SW strike ext. of Main Shear Zone |
|
|
262.80 |
263.56 |
0.76 |
0.69 |
1.86 |
|
|
ML-15-152 |
441.38 |
444.13 |
2.75 |
2.09 |
4.13 |
325-Megane Zone and MLSZ |
|
including |
443.00 |
443.53 |
0.53 |
0.40 |
12.00 |
|
|
|
448.00 |
449.11 |
1.11 |
0.84 |
5.89 |
325-Megane Zone and MLSZ |
|
|
452.00 |
459.52 |
7.52 |
5.72 |
4.21 |
|
|
|
485.00 |
486.00 |
1.00 |
0.76 |
2.01 |
|
|
|
556.60 |
558.55 |
1.95 |
1.48 |
0.95 |
|
|
ML-15-153 |
No significant results |
|
|
|
SW strike ext. of Main Shear Zone |
|
|
ML-15-154 |
139.87 |
143.12 |
3.25 |
2.96 |
1.55 |
SW strike ext. of Main Shear Zone |

| Hole | From (m) | To (m) | Core length (m) |
True width(1) (m) |
Au(2) (g/t) | Zone(3) |
|
LEJ-15-01 |
No significant results |
|
|
|
Lac à L'Eau Jaune Shear Zone |
|
|
ML-15-155 |
146.32 |
147.00 |
0.68 |
0.56 |
3.43 |
|
|
|
472.10 |
476.90 |
4.80 |
3.93 |
3.30 |
Main Shear Zone & ext. 325-Megane Zone |
|
ML-15-156 |
149.75 |
150.25 |
0.50 |
0.25 |
0.53 |
|
|
ML-15-157 |
241.50 |
242.50 |
1.20 |
0.77 |
0.57 |
Upper Shear Zone |
|
ML-15-158 |
494.68 |
495.30 |
0.62 |
0.40 |
2.87 |
Main Shear Zone & ext. 325-Megane Zone |
|
ML-15-159 |
No significant results |
|
|
|
Upper Shear Zone |
|
|
ML-15-160 |
473.00 |
477.50 |
4.50 |
3.69 |
0.79 |
Main Shear Zone & ext. 325-Megane Zone |
|
including |
473.00 |
474.20 |
1.20 |
0.98 |
1.66 |
|
|
ML-15-161 |
476.91 |
477.60 |
0.69 |
0.57 |
3.45 |
|
|
|
481.23 |
484.60 |
3.37 |
2.76 |
9.05 |
Main Shear Zone & ext. 325-Megane Zone |
|
including |
483.30 |
483.90 |
0.60 |
0.49 |
48.90 |
|
|
|
488.54 |
489.90 |
1.36 |
1.11 |
1.14 |
|
|
ML-15-162 |
126.00 |
126.70 |
0.70 |
0.57 |
3.52 |
|
|
|
491.40 |
495.70 |
4.30 |
3.29 |
1.61 |
325-Megane Zone |
Notes:
True widths of intersections are approximately 85-90% of the core interval.
Assays are reported uncut. Drill hole intercepts are calculated using a 0.50 g/t Au lower cut-off.
MLSZ = Monster Lake Shear Zone.

|
Hole |
From (m) |
To (m) |
Core length (m) |
True |
Au(2) |
Zone(3) / Target |
|
ML-16-163 |
497.07 |
497.90 |
0.83 |
0.64 |
0.86 |
325-Megane Zone |
|
ML-16-164 |
No significant results |
|
|
|
Trois-Chemins |
|
|
ML-16-165 |
350.68 |
352.64 |
1.96 |
1.50 |
0.97 |
MLSZ and Main Shear Zone |
|
ML-16-166 |
No significant results |
|
|
|
Trois-Chemins |
|
|
ML-16-167 |
No significant results |
|
|
|
Junction NNE and E-W structures |
|
|
ML-16-168 |
No significant results |
|
|
|
MLSZ and Main Shear Zone |
|
|
ML-16-169 |
No significant results |
|
|
|
Junction NNE and E-W structures |
|
|
ML-16-170 |
No significant results |
|
|
|
Junction NNE and E-W structures |
|
|
ML-16-171 |
127.78 |
128.26 |
0.48 |
0.42 |
10.10 |
Main Shear Zone and Lower Shear Zone |
|
|
233.41 |
237.77 |
4.36 |
3.78 |
0.96 |
Main Shear Zone |
|
|
346.24 |
347.64 |
1.40 |
1.21 |
20.16 |
Lower Megane Zone |
|
ML-16-172 |
No significant results |
|
|
|
Eastern ext. of the E-W Structure of 325 Showing, volcanogenic horizon |
|
|
ML-16-173 |
No significant results |
|
|
|
Eastern ext. of the E-W Structure of 325 Showing, volcanogenic horizon |
|
|
ML-16-174 |
No significant results |
|
|
|
Eastern ext. of the E-W Structure of 325 Showing, volcanogenic horizon |
|
|
ML-16-175 |
399.36 |
400.18 |
0.82 |
0.71 |
9.01 |
Main and Lower Shear Zone |
|
|
414.30 |
420.60 |
6.30 |
5.46 |
2.68 |
|
|
including |
420.00 |
420.60 |
0.60 |
0.52 |
13.20 |
|
|
|
426.70 |
428.00 |
1.30 |
1.13 |
16.00 |
|
|
ML-16-176A |
No significant results |
|
|
|
|
|
|
ML-16-176B |
343.38 |
344.10 |
0.72 |
0.63 |
8.64 |
325-Megane Zone |
|
|
348.05 |
348.85 |
0.80 |
0.70 |
0.55 |
|
|
|
352.55 |
353.40 |
0.85 |
0.75 |
2.30 |
|
|
ML-16-177 |
212.60 |
219.75 |
7.15 |
5.72 |
0.71 |
Main Shear Zone |
|
ML-16-178 |
521.84 |
523.42 |
1.58 |
1.26 |
0.68 |
South ext. of Main Shear Zone |
|
|
558.45 |
559.50 |
1.05 |
0.84 |
0.52 |
|
|
ML-16-179 |
237.70 |
244.33 |
6.63 |
4.26 |
3.07 |
Main Shear Zone and MLSZ |
|
including |
241.59 |
243.83 |
2.24 |
1.44 |
7.91 |
|
|
|
249.33 |
253.65 |
4.32 |
2.78 |
2.12 |
|

| Hole | From (m) | To (m) | Core length (m) |
True width(1) (m) |
Au(2) (g/t) |
Zone(3) / Target |
|
including |
250.41 |
251.06 |
0.65 |
0.42 |
7.10 |
|
|
|
256.84 |
257.88 |
1.04 |
0.67 |
0.85 |
|
|
|
260.00 |
261.00 |
1.00 |
0.64 |
2.37 |
|
|
|
397.75 |
399.00 |
1.25 |
0.88 |
1.76 |
|
|
ML-16-180 |
No significant results |
|
|
|
South ext. Main Shear Zone |
|
|
ML-16-181 |
No significant results |
|
|
|
Junction NNE and E-W structures |
|
|
ML-16-182 |
267.75 |
268.50 |
0.75 |
0.62 |
0.52 |
|
|
|
375.00 |
376.60 |
1.60 |
1.31 |
6.72 |
Main and Lower Shear Zone |
|
ML-16-183 |
No significant results |
|
|
|
Fold Nose |
|
Notes:
True widths of intersections are approximately 65-90% of the core interval.
Assays are reported uncut. Drill hole intercepts are calculated using a 0.50 g/t Au lower cut-off.
MLSZ = Monster Lake Shear Zone.
|
Hole |
From |
To (m) |
Core length |
True |
Au(2) (g/t) |
Zone |
|
ML-14-116-EXT |
399.90 |
405.70 |
5.80 |
5.02 |
NSR |
Lower Shear Zone N |
|
ML-17-184 |
319.40 |
322.25 |
2.85 |
2.18 |
3.20 |
Main Shear Zone and Lower Shear Zone N |
|
ML-17-185 |
165.00 |
165.90 |
0.90 |
0.64 |
6.48 |
Main Shear Zone |
|
|
172.50 |
174.35 |
1.85 |
1.31 |
2.14 |
|
|
|
272.60 |
273.00 |
0.40 |
0.28 |
6.60 |
Lower Shear Zone N |
|
ML-17-186 |
409.05 |
409.54 |
0.49 |
0.42 |
3.71 |
Main Shear Zone |
|
|
423.80 |
425.30 |
1.50 |
1.30 |
4.66 |
|
|
|
579.00 |
581.50 |
2.50 |
2.17 |
0.93 |
Lower Shear Zone N |
|
ML-17-187 |
No significant results |
|
|
|
|
|
|
ML-17-188 |
253.50 |
254.00 |
0.50 |
0.43 |
1.76 |
Main Shear Zone |
|
|
256.10 |
256.70 |
0.60 |
0.32 |
1.56 |
|
|
ML-17-189 |
264.20 |
265.10 |
0.90 |
0.87 |
3.08 |
MLSZ (Annie showing) |
|
ML-17-190 |
253.60 |
258.30 |
4.70 |
3.32 |
2.92 |
MLSZ |
|
including |
253.60 |
254.50 |
0.90 |
0.64 |
7.25 |
|
|
|
283.30 |
291.00 |
7.70 |
4.42 |
5.21 |
|
|
including |
283.80 |
286.00 |
2.20 |
1.26 |
15.99 |
|
|
|
308.60 |
311.60 |
3.00 |
1.93 |
9.82 |
|

|
including |
309.60 |
310.60 |
1.00 |
0.64 |
25.10 |
|
|
|
344.10 |
345.00 |
0.90 |
0.64 |
36.90 |
|
|
ML-17-191 |
383.80 |
386.20 |
2.40 |
2.32 |
0.72 |
Main Shear Zone |
|
|
509.90 |
512.45 |
2.55 |
1.80 |
85.27 |
Lower Shear Zone S |
|
ML-17-192 |
271.00 |
273.00 |
2.00 |
1.29 |
1.83 |
Main Shear Zone and Lower Shear Zone |
|
|
274.60 |
277.60 |
3.00 |
1.93 |
0.98 |
|
|
ML-17-193 |
379.90 |
380.50 |
0.60 |
0.46 |
1.29 |
Main Shear Zone, Lower Shear Zone and MLSZ |
|
|
575.90 |
577.00 |
1.10 |
0.84 |
1.47 |
Lower Shear Zone N |
|
ML-17-194 |
333.50 |
334.60 |
1.10 |
0.71 |
3.45 |
325-Megane Zone |
|
|
339.00 |
343.85 |
4.85 |
3.12 |
121.67 |
|
|
including |
340.40 |
342.10 |
1.70 |
1.09 |
316.89 |
|
|
ML-17-195B |
328.80 |
331.60 |
2.80 |
1.80 |
2.48 |
325-Megane Zone |
|
ML-17-196 |
387.50 |
388.50 |
1.00 |
0.71 |
2.37 |
MLSZ |
|
|
417.80 |
418.70 |
0.90 |
0.64 |
1.14 |
|
|
ML-17-197 |
335.30 |
336.30 |
1.00 |
0.77 |
10.05 |
325-Megane Zone |
|
|
338.70 |
339.50 |
0.80 |
0.61 |
1.90 |
|
|
|
342.00 |
344.30 |
2.30 |
1.76 |
2.28 |
|
|
|
347.30 |
351.90 |
4.60 |
3.52 |
67.42 |
|
|
including |
349.80 |
351.30 |
1.50 |
1.15 |
203.31 |
|
|
ML-17-198B |
96.00 |
97.00 |
1.00 |
0.77 |
12.35 |
Upper Shear Zone |
|
|
467.00 |
473.50 |
6.50 |
4.98 |
80.28 |
325-Megane Zone |
|
including |
470.30 |
472.70 |
2.40 |
1.84 |
208.41 |
|
|
|
478.80 |
479.85 |
1.05 |
0.80 |
1.34 |
|
|
ML-17-199 |
402.90 |
406.50 |
3.60 |
3.26 |
NSR |
Main Shear Zone |
|
|
539.40 |
541.20 |
1.80 |
1.56 |
39.48 |
Lower Shear Zone S |
|
including |
539.40 |
540.45 |
1.05 |
0.91 |
66.50 |
|
|
ML-17-200 |
322.80 |
328.00 |
5.20 |
3.98 |
NSR |
Main Shear Zone |
|
|
422.30 |
423.60 |
1.30 |
1.13 |
1.47 |
Lower Shear Zone N |
|
ML-17-201B |
271.00 |
272.60 |
1.60 |
1.23 |
1.01 |
325-Megane Zone |
|
|
278.40 |
282.40 |
4.00 |
3.06 |
3.66 |
|
|
|
286.60 |
288.00 |
1.40 |
1.07 |
1.24 |
|
|
ML-17-202 |
245.40 |
246.70 |
1.30 |
1.22 |
1.08 |
MLSZ (Annie Showing) |
|
|
280.20 |
281.40 |
1.20 |
1.13 |
3.91 |
|
|
ML-17-203 |
194.20 |
195.50 |
1.30 |
1.13 |
1.27 |
|
|
|
209.00 |
209.90 |
0.90 |
0.78 |
3.73 |
Main Shear Zone |

|
|
303.80 |
308.10 |
4.30 |
3.72 |
NSR |
Lower Shear Zone N |
|
ML-17-204 |
203.40 |
208.40 |
5.00 |
3.83 |
2.74 |
MLSZ (Annie Showing) |
|
ML-17-205 |
No significant results |
|
|
|
Main Shear Zone and Lower Shear Zone |
|
|
ML-17-206 |
347.70 |
348.70 |
1.00 |
0.64 |
1.50 |
MLSZ |
|
|
357.50 |
358.90 |
1.40 |
0.90 |
1.27 |
|
|
ML-17-207 |
360.80 |
361.80 |
1.00 |
0.77 |
1.42 |
MLSZ |
|
ML-17-208 |
497.25 |
499.60 |
2.35 |
1.80 |
1.41 |
Main Shear Zone |
|
|
619.75 |
620.95 |
1.20 |
0.98 |
1.33 |
Lower Shear Zone S |
|
|
623.75 |
626.65 |
2.90 |
2.38 |
7.42 |
|
|
including |
625.40 |
626.65 |
1.25 |
1.02 |
16.51 |
|
|
|
630.45 |
631.45 |
1.00 |
0.82 |
1.71 |
|
|
ML-17-209 |
516.30 |
517.40 |
1.10 |
0.90 |
1.18 |
Main Shear Zone |
|
|
655.90 |
657.80 |
1.90 |
1.56 |
2.82 |
Lower Shear Zone S |
|
ML-17-210 |
456.00 |
461.70 |
5.70 |
4.67 |
2.14 |
325-Megane Zone |
|
including |
456.00 |
458.40 |
2.40 |
1.97 |
3.03 |
|
|
including |
460.20 |
461.70 |
1.50 |
1.23 |
3.02 |
|
Notes:
True widths of intersections are approximately 60-90% of the core interval.
Assays are reported uncut. Drill hole intercepts are calculated using a 0.50 g/t Au lower cut-off.

| Monster Lake Project Drilling Final Results - 2018 Drilling Program | ||||||
| Hole No. | From | To | Interval | True Width (2) |
Au (1) (3) | ZONE |
| (m) | (m) | (m) | (m) | (g/t) | ||
| ML-18-211 | 466 | 468 | 2 | 1.75 | 1.11 | Main Shear Zone |
| ML-18-212 | 26 | 31 | 5 | 3.83 | 23.96 | Main Shear Zone |
| Including | 27.3 | 29 | 1.7 | 1.3 | 67.22 | |
| ML-18-213 | 38.1 | 38.8 | 0.7 | 0.61 | 1.18 | Main Shear Zone |
| 48.1 | 52.5 | 4.4 | 3.84 | 39.24 | ||
| Including | 49 | 50.25 | 1.25 | 1.09 | 127.38 | |
| 53.25 | 54.15 | 0.9 | 0.79 | 1.45 | ||
| 137.8 | 140 | 2.2 | 1.92 | 0.9 | Lower Shear Zone | |
| ML-18-214 | 68.87 | 70.65 | 1.78 | 1.55 | 1.46 | Main Shear Zone |
| 78.2 | 81.45 | 3.25 | 2.84 | 3.81 | ||
| ML-18-215 | 370.6 | 372.7 | 2.1 | 1.83 | 1.32 | Main Shear Zone |
| ML-18-216 | 101.6 | 102.77 | 1.17 | 1.02 | 0.97 | Main Shear Zone |
| 111.45 | 113.3 | 1.85 | 1.61 | 34.78 | ||
| ML-18-217 | 118.8 | 119.8 | 1 | 0.87 | 8.35 | Main Shear Zone |
| 120.8 | 121.8 | 1 | 0.87 | 2.01 | ||
| 123.9 | 130 | 6.1 | 5.32 | 40.94 | ||
| Including | 125.4 | 126.2 | 0.8 | 0.7 | 251 | |
| 133.1 | 134.6 | 1.5 | 1.31 | 0.8 | ||
| ML-18-218 | 75.9 | 77.1 | 1.2 | 1.05 | 1.69 | E-W (az N70°) Shear Zone |
| 537.5 | 539.2 | 1.7 | 1.48 | 2.4 | Lower Shear Zone | |
| ML-18-219 | 138 | 143.3 | 5.3 | 4.63 | 1.09 | Main Shear Zone |
| ML-18-220 | 60.6 | 63.9 | 3.3 | 2.88 | 2.31 | Main Shear Zone |
| 69.8 | 70.8 | 1 | 0.87 | 1.08 | ||
| ML-18-221 | 76.1 | 77.83 | 1.73 | 1.51 | 1.47 | Main Shear Zone |
| 88.8 | 90 | 1.2 | 1.05 | 1.92 | ||
| ML-18-222 | 88.7 | 98.7 | 10 | 8.73 | 1.31 | Main Shear Zone |
| Including | 88.7 | 91.7 | 3 | 2.62 | 2.83 | |
| ML-18-223 | 113.55 | 115.72 | 2.17 | 1.89 | 3.09 | Main Shear Zone |

| 125.05 | 129.9 | 4.85 | 4.23 | 3.75 | ||
|
ML-18-224 |
98.8 |
100 |
1.2 |
1.05 |
1.21 |
E-W Shear Zone |
|
|
513.8 |
518.75 |
4.95 |
4.32 |
32.07 |
Lower Shear Zone |
|
Including |
515.8 |
516.65 |
0.85 |
0.74 |
134 |
|
|
ML-18-225 |
175.5 |
178.5 |
3 |
2.62 |
72.17 |
Main Shear Zone |
|
Including |
175.5 |
177.5 |
2 |
1.75 |
107.3 |
|
|
|
182.5 |
183.5 |
1 |
0.87 |
4.33 |
|
|
ML-18-226 |
220.3 |
220.97 |
0.67 |
0.58 |
2.86 |
Main Shear Zone |
|
ML-18-227 |
287.4 |
288.75 |
1.35 |
1.18 |
5.55 |
Main Shear Zone |
|
|
292.3 |
293.4 |
1.1 |
0.96 |
1.15 |
|
|
ML-18-228 |
245.6 |
248.6 |
3 |
2.62 |
0.52 |
Main Shear Zone |
|
|
356 |
356.5 |
0.5 |
0.44 |
1.43 |
Lower Shear Zone |
|
ML-18-229 |
336 |
340.35 |
4.35 |
3.8 |
4.52 |
Main Shear Zone |
|
Including |
348.54 |
349.27 |
0.73 |
0.64 |
3.79 |
|
|
ML-18-230 |
14.05 |
15.6 |
1.55 |
1.35 |
6.52 |
E-W (az N70°) Shear Zone |
|
|
193.35 |
194.35 |
1 |
0.87 |
0.74 |
Main Shear Zone |
|
|
259.5 |
260.1 |
0.6 |
0.52 |
1.05 |
Lower Shear Zone |
|
|
284 |
288.2 |
4.2 |
3.67 |
0.46 |
|
|
ML-18-231 |
No significant results |
|
||||
|
ML-18-232 |
217.6 |
219.55 |
1.95 |
1.7 |
0.77 |
Main Shear Zone |
|
|
222.9 |
223.9 |
1 |
0.87 |
0.93 |
|
|
ML-18-233 |
116.65 |
117.55 |
0.9 |
0.79 |
1.43 |
E-W Shear Zone |
|
|
182 |
186.1 |
4.1 |
3.58 |
1.47 |
Main Shear Zone |
|
ML-18-234 |
373.3 |
375.8 |
2.5 |
2.18 |
2.97 |
Lower Shear Zone |
|
ML-16-176B Ext |
469.55 |
470.35 |
0.8 |
0.7 |
14.1 |
Lower Shear Zone |
|
M-13-102 Ext |
No significant results |
Lower Shear Zone |
||||
|
Notes: |
1. Drill hole intercepts are calculated using a 0.50 g/t Au assay cut-off. |
|
|
2. True widths of intersections are approximately 85 to 90% of the core interval. |
|
|
3. Assays are reported uncut but high grade sub-intervals are highlighted. |

|
Monster Lake Project Drilling Results - 2019 Drilling Program |
||||||
|
Hole No. |
From |
To |
Interval |
True Width (2) |
Au (1) (3) |
ZONE |
|
|
(m) |
(m) |
(m) |
(m) |
(g/t) |
|
|
ML-19-235 |
215 |
215.70 |
0.7 |
0.54 |
1.25 |
Main Shear Zone |
|
ML-19-236 |
41.5 |
42.30 |
0.8 |
0.61 |
1.77 |
E-W Shear Zone |
|
|
146 |
149.20 |
3.2 |
2.45 |
1.03 |
Main Shear Zone |
|
ML-19-237 |
333.43 |
338.00 |
4.57 |
3.5 |
1.39 |
Main Shear Zone |
|
ML-19-238 |
211.55 |
212.55 |
1 |
0.77 |
1.84 |
Lower Shear Zone |
|
ML-19-239 |
168.3 |
173.25 |
4.95 |
3.79 |
1.26 |
Main Shear Zone |
|
ML-19-240 |
No significant results |
|||||
|
ML-19-241 |
No significant results |
|||||
|
ML-19-242 |
No significant results |
|||||
|
ML-19-243 |
128 |
132.5 |
4.5 |
2.58 |
1.88 |
Big Mama Shear Zone |
|
ML-19-244 |
182.2 |
183 |
0.8 |
0.51 |
357 |
Annie - Secondary Shear Zone |
|
|
245.3 |
246 |
0.7 |
0.45 |
2.77 |
Annie Shear Zone |
|
|
255 |
256 |
1 |
0.64 |
1.08 |
|
|
ML-19-245 |
155.08 |
168.11 |
13.03 |
7.47 |
2.27 |
Big Mama Shear Zone |
|
Including (3) |
155.08 |
156.47 |
1.39 |
0.8 |
6.45 |
|
|
Including (3) |
166.64 |
168.11 |
1.47 |
0.84 |
7.65 |
|
|
|
219.4 |
221.35 |
1.95 |
1.49 |
1.2 |
Main Shear Zone |
|
ML-19-246 |
392.1 |
393.85 |
1.75 |
1.34 |
5.27 |
Secondary Shear Zone |
|
|
417.83 |
422.15 |
4.32 |
3.31 |
1.61 |
Main Shear Zone |
|
Including (3) |
417.83 |
418.75 |
0.92 |
0.7 |
4.08 |
|
|
ML-19-247 |
No significant results |
|||||
|
ML-19-248 |
255.9 |
262.7 |
6.8 |
4.37 |
3.85 |
Annie Shear Zone |
|
Including (3) |
259 |
260.67 |
1.67 |
1.07 |
6.43 |
|
|
ML-19-249 |
196.5 |
197 |
0.5 |
0.25 |
133 |
Annie - Secondary Shear Zone |
|
|
210.4 |
210.9 |
0.5 |
0.25 |
4.4 |
Annie - Secondary Shear Zone |
|
|
292.28 |
298.21 |
5.93 |
2.97 |
0.75 |
Annie Shear Zone |
|
|
302.53 |
306.44 |
3.91 |
1.96 |
1.78 |
|
|
ML-19-250 |
330.3 |
335 |
4.7 |
2.35 |
0.57 |
Annie Shear Zone |
| ML-19-250 | 342.5 | 343.85 | 1.35 | 0.68 | 5.51 | Annie Shear Zone |
| ML-19-250 | 347.5 | 349.75 | 2.25 | 1.13 | 1.71 | Annie Shear Zone |

| Notes: | 1. Drill hole intercepts are calculated using a 0.50 g/t Au assay cut-off. | |||||
| 2. True widths of intersections are approximately 50 to 80% of the core interval. | ||||||
| 3. Assays are reported uncut but high grade sub-intervals are highlighted. | ||||||
|
Monster Lake Project Drilling Results - 2020 Drilling Program |
||||||
|
Hole No. |
From |
To |
Interval |
True Width (2) |
Au (1) (3) |
ZONE |
|
|
(m) |
(m) |
(m) |
(m) |
(g/t) |
|
|
ML-20-251 |
238.88 |
241.7 |
2.82 |
1.81 |
5.63 |
Big Mama Shear Zone |
|
|
326 |
327 |
1 |
0.57 |
3.5 |
Monster Lake Shear Zone |
|
ML-20-252 |
235.25 |
236 |
0.75 |
0.57 |
4.84 |
Annie - Secondary Shear Zone (02) |
|
|
275.45 |
276.9 |
1.45 |
1.11 |
2.69 |
Annie - Secondary Shear Zone (03) |
|
|
341.7 |
354 |
12.3 |
9.42 |
2.09 |
Main Shear Zone |
|
Including (3) |
350.5 |
353.35 |
2.85 |
2.18 |
4.52 |
|
|
ML-20-253 |
341.3 |
345.1 |
3.8 |
2.91 |
16.89 |
Annie - Secondary Shear Zone (02) |
|
Including (3) |
342.4 |
343.43 |
1.03 |
0.79 |
7.36 |
|
|
Including (3) |
344.3 |
345.1 |
0.8 |
0.61 |
66.5 |
|
|
|
408.7 |
411 |
2.3 |
1.76 |
1.03 |
Annie Shear Zone |
|
|
425 |
426 |
1 |
0.77 |
2.49 |
|
|
ML-20-254 |
No significant results |
|||||
|
ML-20-255 |
301.1 |
303.4 |
2.3 |
1.95 |
2.36 |
Annie - Secondary Shear Zone (02) |
|
|
408.2 |
412.2 |
4 |
3.39 |
1.89 |
Annie Shear Zone |
|
ML-20-256 |
351 |
357 |
6 |
4.6 |
0.73 |
Annie Shear Zone |
| ML-20-256A | Abandoned due to excessive drill hole deviation | |||||

|
Notes: |
1. Drill hole intercepts are calculated using a 0.50 g/t Au assay cut-off. |
|
|
|
2. True widths of intersections are approximately 60 to 84% of the core interval. |
|
|
|
3. Assays are reported uncut but high grade sub-intervals are highlighted. |
|
Monster Lake Project Drilling Results - 2021 Drilling Program |
||||||
|
Hole No. |
From |
To |
Interval |
True Width (2) |
Au (1) (3) |
ZONE |
|
|
(m) |
(m) |
(m) |
(m) |
(g/t) |
|
|
ML-21-257 |
406 |
407.5 |
1.5 |
0.75 |
2.84 |
Annie Shear Zone |
|
ML-21-258 |
323.85 |
324.85 |
1.0 |
0.5 |
18.3 |
Annie - Secondary Shear Zone (02) |
|
ML-21-259 |
509 |
510 |
1.0 |
0.5 |
2.46 |
Annie Shear Zone |